Insecticidal Activity of Essential Oils against Mealybug Pests (Hemiptera: Pseudococcidae): A Systematic Review and Meta-Analysis
Abstract
1. Introduction
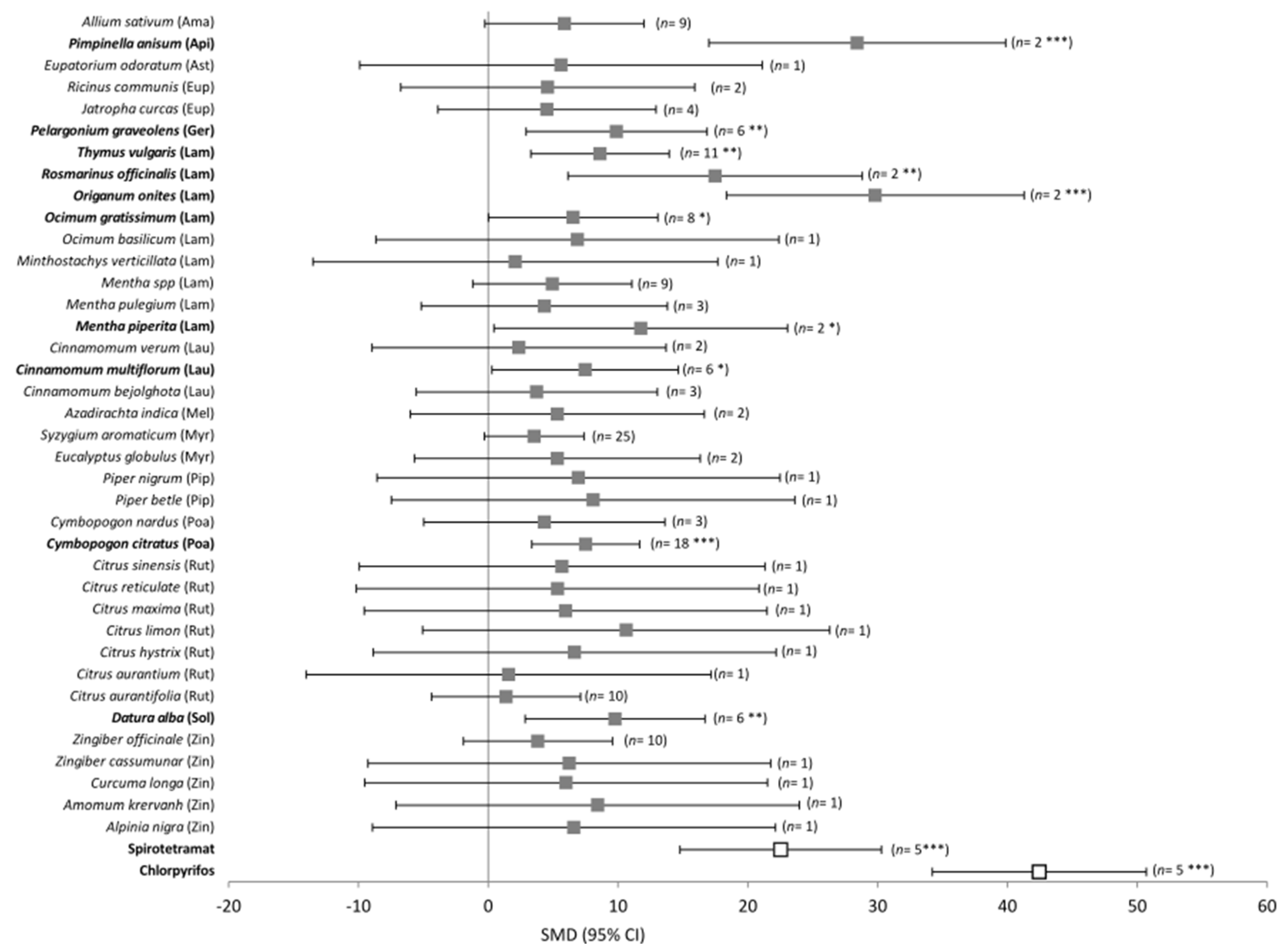
2. Results
3. Discussion
4. Materials and Methods
Statistical Analysis
Author Contributions
Funding
Institutional Review Board Statement
Informed Consent Statement
Data Availability Statement
Conflicts of Interest
References
- Portilla, A.A.R.; Cardona, F.J.S. Coccoidea de Colombia, con énfasis en las cochinillas harinosas (Hemiptera: Pseudococcidae). Rev. Fac. Nac. Agron. Medellin 2004, 57, 2383–2412. [Google Scholar]
- Estopà Consuegra, L. Control Biológico de la Cochinilla Algodonosa de la Vid Planococcus Ficus (Signoret)(Hemiptera: Pseudococcidae) en Uva de Mesa en el Valle del Vinalopó. Influencia y Manejo de las Hormigas. Master’s Thesis, Universidad Politécnica de València, València, Spain, 2016. [Google Scholar]
- Hollingsworth, R.G. Limonene, a citrus extract, for control of mealybugs and scale insects. J. Econ. Entomol. 2005, 98, 772–779. [Google Scholar] [CrossRef] [PubMed]
- Palma-Jiménez, M.; Blanco-Meneses, M.; Guillén-Sánchez, C. Las cochinillas harinosas (Hemiptera: Pseudococcidae) y su impacto en el cultivo de Musáceas. Agron. Mesoam. 2019, 30, 281–298. [Google Scholar] [CrossRef]
- Becerra, V.; González, M.; Herrera, M.; Miano, J. Dinámica poblacional de Planococcus ficus Sign. (Hemiptera—Pseudococcidae) en viñedos. Mendoza (Argentina). Rev. FCA UNCuyo 2006, XXXVIII, 1. [Google Scholar]
- Daane, K.; Almeida, R.; Bell, V.; Botton, M.; Fallahzadeh, M.; Mani, M. Arthropod Management in Vineyards: Pests, Approaches and Future Directions; Bostanian, N.J., Vincent, C., Isaacs, R., Eds.; Springer: New York, NY, USA, 2012; pp. 271–307. [Google Scholar]
- Santa-Cecília, L.V.C.; Silva, K.H. Interaction between mealybugs (Pseudococcidae) and coffee plants. Coffee Sci. 2020, 15, e151690. [Google Scholar] [CrossRef]
- Mathulwe, L.; Malan, A.; Stokwe, N. A review of the biology and control of the obscure mealybug, Pseudococcus viburni (Hemiptera: Pseudococcidae), with special reference to biological control using entomopathogenic fungi and nematodes. Afr. Entomol. 2021, 29, 1–16. [Google Scholar] [CrossRef]
- Mansour, R.; Belzunces, L.P.; Suma, P.; Zappalà, L.; Mazzeo, G.; Grissa-Lebdi, K.; Russo, A.; Biondi, A. Vine and citrus mealybug pest control based on synthetic chemicals. A review. Agron. Sustain. Dev. 2018, 38, 37. [Google Scholar] [CrossRef]
- Isman, M.B. Botanical insecticides, deterrents, and repellents in modern agriculture and an increasingly regulated world. Annu. Rev. Entomol. 2006, 51, 45–66. [Google Scholar] [CrossRef]
- Fantke, P.; Friedrich, R.; Jolliet, O. Health impact and damage cost assessment of pesticides in Europe. Environ. Int. 2012, 49, 9–17. [Google Scholar] [CrossRef]
- Harelimana, A.; Rukazambuga, D.; Hance, T. Pests and diseases regulation in coffee agroecosystems by management systems and resistance in changing climate conditions: A review. J. Plant Dis. Prot. 2022, 129, 1041–1052. [Google Scholar] [CrossRef]
- Peschiutta, M.L.; Brito, V.; Achimón, F.; Dambolena, J.; Zygadlo, J.; Ordano, M. Botanical compounds to combat vineyards mealybugs: An ideal alternative for organic vitiviniculture. Res. Rev. J. Bot. Sci. 2018, 7, 9–16. [Google Scholar]
- Campos, E.V.; Proença, P.L.; Oliveira, J.L.; Bakshi, M.; Abhilash, P.; Fraceto, L.F. Use of botanical insecticides for sustainable agriculture: Future perspectives. Ecol. Indic. 2019, 105, 483–495. [Google Scholar] [CrossRef]
- Damalas, C.A.; Koutroubas, S.D. Botanical pesticides for eco-friendly pest management. In Pesticides in Crop Production; John Wiley & Sons, Ltd.: Hoboken, NJ, USA, 2020; pp. 181–193. [Google Scholar]
- Peschiutta, M.L.; Brito, V.; Ordano, M.; Zygadlo, J.A. Efficacy of selected volatile compounds for organic vine mealybug control. VITIS 2019, 58, 1–6. [Google Scholar]
- Regnault-Roger, C.; Vincent, C.; Arnason, J. Essential oils in insect control: Low-risk products in a high-stakes world. Annu. Rev. Entomol. 2012, 57, 405–424. [Google Scholar] [CrossRef]
- Zunino, M. Bioplaguicidas; Zygadlo, J., Ed.; Universidad Nacional de Córdoba: Córdoba, Argentina, 2017; pp. 29–59. [Google Scholar]
- Bakkali, F.; Averbeck, S.; Averbeck, D.; Idaoma, M. Biological effects of essential oils—A review. Food Chem. Toxicol. 2008, 46, 446–475. [Google Scholar] [CrossRef]
- D’Agostino, G.; Giambra, B.; Palla, F.; Bruno, M.; Badalamenti, N. The application of the essential oils of Thymus vulgaris L. and Crithmum maritimum L. as biocidal on two Tholu bommalu indian leather puppets. Plants 2021, 10, 1508. [Google Scholar] [CrossRef]
- Tsai, M.-L.; Wu, C.-T.; Lin, T.-F.; Lin, W.-C.; Huang, Y.-C.; Yang, C.-H. Chemical composition and biological properties of essential oils of two mint species. Trop. J. Pharm. Res. 2013, 12, 577–582. [Google Scholar] [CrossRef]
- Li, Y.; Kong, D.; Fu, Y.; Sussman, M.R.; Wu, H. The effect of developmental and environmental factors on secondary metabolites in medicinal plants. Plant Physiol. Biochem. 2020, 148, 80–89. [Google Scholar] [CrossRef]
- Peschiutta, M.L.; Achimón, F.; Brito, V.D.; Pizzolitto, R.P.; Zygadlo, J.A.; Zunino, M.P. Fumigant toxicity of essential oils against Sitophilus zeamais (Motschulsky)(Coleoptera: Curculionidae): A systematic review and meta-analysis. J. Pest Sci. 2021, 95, 1–20. [Google Scholar] [CrossRef]
- Achimón, F.; Peschiutta, M.L.; Brito, V.D.; Beato, M.; Pizzolitto, R.P.; Zygadlo, J.A.; Zunino, M.P. Exploring contact toxicity of essential oils against Sitophilus zeamais through a Meta-Analysis Approach. Plants 2022, 11, 3070. [Google Scholar] [CrossRef]
- Sifa, A.; Prijono, D.; Rauf, A. Keefektifan tiga jenis insektisida nabati terhadap kutu putih pepaya Paracoccus marginatus dan keamanannya terhadap larva kumbang predator Curinus coeruleus. JHPT Trop. 2013, 13, 124–132. [Google Scholar] [CrossRef]
- Peschiutta, M.; Pizzolitto, R.; Ordano, M.; Zaio, Y.; Zygadlo, J. Laboratory evaluation of insecticidal activity of plant essential oils against the vine mealybug, Planococcus ficus. Vitis 2017, 56, 79–83. [Google Scholar] [CrossRef]
- El-Ashram, D.; Abd El-Mageed, S.; Shaaban, A.R. Potential toxicity of some essential oils on mealybug, Maconellicoccus hirsutus (Hemiptera: Pseudococcidae). Egypt. J. Plant Prot. Res. Inst. 2020, 3, 794–803. [Google Scholar]
- Tak, J.-H.; Isman, M.B. Enhanced cuticular penetration as the mechanism for synergy of insecticidal constituents of rosemary essential oil in Trichoplusia ni. Sci. Rep. 2015, 5, 12690. [Google Scholar] [CrossRef] [PubMed]
- De Souza, M.; Da Silva, L.; Macêdo, M.; Lacerda-Neto, L.; dos Santos, M.; Coutinho, H.; Cunha, F. Adulticide and repellent activity of essential oils against Aedes aegypti (Diptera: Culicidae)—A review. S. Afr. J. Bot. 2019, 124, 160–165. [Google Scholar] [CrossRef]
- Ebadollahi, A.; Jalali Sendi, J. A review on recent research results on bio-effects of plant essential oils against major Coleopteran insect pests. Toxin Rev. 2015, 34, 76–91. [Google Scholar] [CrossRef]
- Ebadollahi, A.; Ziaee, M.; Palla, F. Essential oils extracted from different species of the Lamiaceae plant family as prospective bioagents against several detrimental pests. Molecules 2020, 25, 1556. [Google Scholar] [CrossRef]
- Pumnuan, J.; Insung, A. Fumigant toxicity of plant essential oils in controlling thrips, Frankliniella schultzei (Thysanoptera: Thripidae) and mealybug, Pseudococcus jackbeardsleyi (Hemiptera: Pseudococcidae). J. Entomol. Res. 2016, 40, 1–10. [Google Scholar] [CrossRef]
- Jain, S.; Sharma, M.P. Biodiesel production from Jatropha curcas oil. Renew. Sustain. Energy Rev. 2010, 14, 3140–3147. [Google Scholar] [CrossRef]
- Kobenan, K.C.; Bini, K.K.N.; Kouakou, M.; Kouadio, I.S.; Zengin, G.; Ochou, G.E.C.; Boka, N.R.K.; Menozzi, P.; Ochou, O.G.; Dick, A.E.J.C. Chemical composition and spectrum of insecticidal activity of the essential oils of Ocimum gratissimum L. and Cymbopogon citratus stapf on the main insects of the cotton entomofauna in Côte d’Ivoire. Chem. Biodivers 2021, 18, e2100497. [Google Scholar] [CrossRef]
- Brahmi, R.; Abdellaoui, K.; Harbi, A.; Abbes, K.; Rahmouni, R.; Tounsi, S.; Suma, P.; Chermiti, B.J.V. Toxicity and neurophysiological impacts of three plant-derived essential oils against the vineyard mealybug Planococcus ficus. Vitis 2022, 61, 1–10. [Google Scholar]
- Erdemir, T.; Erler, F. Fumigant toxicity of five plant essential oils against citrus mealybug, Planococcus citri Risso (Hemiptera: Pseudococcidae). Fresenius Environ. Bul.l 2018, 27, 3231–3235. [Google Scholar]
- Ghafoor, H.A.; Afzal, M.; Riaz, M.A.; Majeed, M.Z. In-Vitro toxicity evaluation of some phytoextracts against mealybug Drosicha mangiferae (Hemiptera: Pseudococcidae) infesting citrus orchards in Pakistan. Pak. J. Zool. 2019, 51, 1815. [Google Scholar] [CrossRef]
- Attia, S.; Mansour, R.; Abdennour, N.; Sahraoui, H.; Blel, A.; Rahmouni, R.; Grissa Lebdi, K.; Mazzeo, G. Toxicity of Mentha pulegium essential oil and chemical pesticides toward citrus pest scale insects and the coccinellid predator Cryptolaemus montrouzieri. Int. J. Trop. Insect Sci. 2022, 42, 3513–3523. [Google Scholar] [CrossRef]
- Karamaouna, F.; Mylonas, P.; Papachristos, D.; Kontodimas, D.; Michaelakis, A.; Kapaxidi, E. Integrated Management of Arthropod Pests and Insect Borne Diseases; Springer: Berlin/Heidelberg, Germany, 2010; pp. 29–59. [Google Scholar]
- Satar, G.; Ateş, H.F.; Satar, S. Effects of different insecticides on life stages of Planococcus citri Risso (Hemiptera: Pseudococcidae). IOBC-WPRS Bull. 2013, 95, 183–190. [Google Scholar]
- Vanaclocha, P.; Vidal-Quist, C.; Oheix, S.; Montón, H.; Planes, L.; Catalán, J.; Tena, A.; Verdú, M.J.; Urbaneja, A. Acute toxicity in laboratory tests of fresh and aged residues of pesticides used in citrus on the parasitoid Aphytis melinus. J. Pest Sci. 2013, 86, 329–336. [Google Scholar] [CrossRef]
- Urlacher, E.; Monchanin, C.; Rivière, C.; Richard, F.-J.; Lombardi, C.; Michelsen-Heath, S.; Hageman, K.J.; Mercer, A.R. Measurements of chlorpyrifos levels in forager bees and comparison with levels that disrupt honey bee odor-mediated learning under laboratory conditions. J. Chem. Ecol. 2016, 42, 127–138. [Google Scholar]
- Rattan, R.S. Mechanism of action of insecticidal secondary metabolites of plant origin. Crop Prot. 2010, 29, 913–920. [Google Scholar] [CrossRef]
- Colovic, M.B.; Krstic, D.Z.; Lazarevic-Pasti, T.D.; Bondzic, A.M.; Vasic, V.M. Acetylcholinesterase inhibitors: Pharmacology and toxicology. Curr. Neuropharmacol. 2013, 11, 315–335. [Google Scholar] [CrossRef]
- Dambolena, J.S.; Zunino, M.P.; Herrera, J.M.; Pizzolitto, R.P.; Areco, V.A.; Zygadlo, J.A. Terpenes: Natural products for controlling insects of importance to human health—A structure-activity relationship study. Psyche 2016, 47, 777–780. [Google Scholar] [CrossRef]
- Liu, T.-T.; Chao, L.K.-P.; Hong, K.-S.; Huang, Y.-J.; Yang, T.-S. Composition and insecticidal activity of essential oil of Bacopa caroliniana and interactive effects of individual compounds on the activity. Insects 2019, 11, 23. [Google Scholar] [CrossRef] [PubMed]
- Martins, G.d.S.O.; Zago, H.B.; Costa, A.V.; Araujo, L.M.D.; Carvalho, J.R. Chemical composition and toxicity of Citrus essential oils on Dysmicoccus brevipes (Hemiptera: Pseudococcidae). Rev. Caatinga 2017, 30, 811–817. [Google Scholar] [CrossRef]
- Dohi, S.; Terasaki, M.; Makino, M. Acetylcholinesterase inhibitory activity and chemical composition of commercial essential oils. J. Agric. Food Chem. 2009, 57, 4313–4318. [Google Scholar] [CrossRef] [PubMed]
- López, M.; Pascual-Villalobos, M. Mode of inhibition of acetylcholinesterase by monoterpenoids and implications for pest control. Ind. Crops Prod. 2010, 31, 284–288. [Google Scholar] [CrossRef]
- Askin, H.; Yildiz, M.; Ayar, A. Effects of thymol and carvacrol on acetylcholinesterase from Drosophila melanogaster. Acta Phys. Pol. 2017, 132, 720–722. [Google Scholar] [CrossRef]
- Gross, A.D.; Kimber, M.J.; Day, T.A.; Ribeiro, P.; Coats, J.R. Pest Management with Natural Products; ACS Publications: Washington, DC, USA, 2013; pp. 97–110. [Google Scholar]
- Jaber, A.; Edmond, C.; Ibrahim, G.; Lamis, A. Phytochemical study and antioxidant activity of extract from the leaves of lebanese Datura metel L. Eur. J. Pharm. Med. Res. 2019, 6, 65–71. [Google Scholar]
- Pavela, R. Acute, synergistic and antagonistic effects of some aromatic compounds on the Spodoptera littoralis Boisd.(Lep., Noctuidae) larvae. Ind. Crops Prod. 2014, 60, 247–258. [Google Scholar] [CrossRef]
- Aldosary, N.H.; Omar, D.; Awang, R.M.; Adam, N.A. Chemical profiling and insecticidal activity of Artemisia herba-alba essential oil against papaya mealybug Paracoccus marginatus (Hemiptera: Pseudococcidae). Res. J. Appl. Sci. Eng. Technol. 2018, 15, 261–269. [Google Scholar] [CrossRef]
- Abada, M.B.; Hamdi, S.H.; Masseoud, C.; Jroud, H.; Bousshih, E.; Jemâa, J.M. Variations in chemotypes patterns of Tunisian Rosmarinus officinalis essential oils and applications for controlling the date moth Ectomyelois ceratoniae (Pyralidae). S. Afr. J. Bot. 2020, 128, 18–27. [Google Scholar] [CrossRef]
- Stejskal, V.; Vendl, T.; Aulicky, R.; Athanassiou, C. Synthetic and natural insecticides: Gas, liquid, gel and solid formulations for stored-product and food-industry pest control. Insects 2021, 12, 590. [Google Scholar] [CrossRef]
- Bachrouch, O.; Ferjani, N.; Haouel, S.; Jemâa, J.M.B. Major compounds and insecticidal activities of two Tunisian Artemisia essential oils toward two major coleopteran pests. Ind. Crops Prod. 2015, 65, 127–133. [Google Scholar] [CrossRef]
- Page, M.J.; Moher, D. Evaluations of the uptake and impact of the Preferred Reporting Items for Systematic reviews and Meta-Analyses (PRISMA) Statement and extensions: A scoping review. Syst. Rev. 2017, 6, 1–14. [Google Scholar] [CrossRef] [PubMed]
- Ray, A.K.; Ramesh, D.J. Zotero: Open source citation management tool for researchers. J. Libr. Inf. Stud. 2017, 7, 238–245. [Google Scholar]
- Monsreal-Ceballos, R.; Ruiz-Sánchez, E.; Ballina-Gómez, H.; Reyes-Ramírez, A.; González-Moreno, A. Effects of botanical insecticides on hymenopteran parasitoids: A meta-analysis approach. Neotrop. Entomol. 2018, 47, 681–688. [Google Scholar] [CrossRef] [PubMed]
- Boughendjioua, H. Essential oil composition of Syzygium aromaticum (L.). Int. Res. J. Pharm. Med. Sci. 2018, 11, 26–28. [Google Scholar]
- Balfas, R. Potensi minyak daun cengkeh sebagai pengendali Planococcus minor (mask.) (Pseudococcidae; Homoptera) pada tanaman lada. Bul. Penelit. Tanam. Rempah Obat 2008, 19, 78–85. [Google Scholar]
- Bolou, B.; Kouakou, K.; Diby, L.; Bel, L.; Ben, Y.; Kouam, C. Biological control using essential oil of Ocimum gratissimum and four other biopesticides on Formicococcus njalensis, the most active mealybugs species in the transmission of CSSV (Cocoa swollen shoot virus). Afr. J. Agric. Res. 2022, 18, 276–280. [Google Scholar] [CrossRef]
- Dziri, S.; Casabianca, H.; Hanchi, B.; Hosni, K. Composition of garlic essential oil (Allium sativum L.) as influenced by drying method. J. Essent 2014, 26, 91–96. [Google Scholar] [CrossRef]
- Herrera-Calderon, O.; Chacaltana-Ramos, L.J.; Huayanca-Gutiérrez, I.C.; Algarni, M.A.; Alqarni, M.; Batiha, G.E.-S. Chemical constituents, in vitro antioxidant activity and in silico study on NADPH oxidase of Allium sativum L. (garlic) essential oil. Antioxidants 2021, 10, 1844. [Google Scholar] [CrossRef]
- Hussain, A.; Anwar, F.; Nigam, P.S.; Ashraf, M.; Gilani, A. Seasonal variation in content, chemical composition and antimicrobial and cytotoxic activities of essential oils from four Mentha species. J. Sci. Food Agric. 2010, 90, 1827–1836. [Google Scholar] [CrossRef]
- Tavallali, H.; Bahmanzadegan, A.; Rowshan, V.; Tavallali, V. Essential oil composition, antioxidant activity, phenolic compounds, total phenolic and flavonoid contents from pomace of Citrus aurantifolia. J. Med. Plants By-Prod. 2021, 10, 103–116. [Google Scholar]
- Drinić, Z.; Jovanović, M.; Pljevljakušić, D.; Ćujić-Nikolić, N.; Bigović, D.; Šavikin, K. Microwave-assisted extraction of essential oil from ginger (Zingiber officinale Rosc.). Lek. Sirovine 2021, 41, 22–27. [Google Scholar] [CrossRef]
- Boumahdi, Y.; Moghrani, H.; Nasrallah, N.; Ouarek, S.; Maachi, R. Microwave-assisted hydrodistillation of the essential oil from Algerian Pimpinella anisum seeds. Flavour Fragr. J. 2021, 36, 34–46. [Google Scholar] [CrossRef]
- Camele, I.; Gruľová, D.; Elshafie, H. Chemical composition and antimicrobial properties of Mentha× piperita cv.‘Kristinka’essential oil. Plants 2021, 10, 1567. [Google Scholar] [CrossRef]
- Spyridopoulou, K.; Fitsiou, E.; Bouloukosta, E.; Tiptiri-Kourpeti, A.; Vamvakias, M.; Oreopoulou, A.; Papavassilopoulou, E.; Pappa, A.; Chlichlia, K. Extraction, chemical composition, and anticancer potential of Origanum onites L. essential oil. Molecules 2019, 24, 2612. [Google Scholar] [CrossRef]
- Mohamed, J.; Ainane, T. Evaluation of the antibacterial activity of the essential oil of Rosmarinus officinalis L. from Khenifra (middle atlas of Morocco). PharmacologyOnLine 2021, 3, 847–856. [Google Scholar]
- Narayanankutty, A.; Kunnath, K.; Alfarhan, A.; Rajagopal, R.; Ramesh, V. Chemical composition of Cinnamomum verum leaf and flower essential oils and analysis of their antibacterial, insecticidal, and larvicidal properties. Molecules 2021, 26, 6303. [Google Scholar] [CrossRef]
- Ghada, A.-A.E.; Naglaa, Y.M. Efficacy of cinnamon oil and its active ingredient (cinnamaldehyde) on the cotton mealy bug Phenacoccus solenopsis Tinsley and the predator Chrysoperla carnea. Bull Natl. Res. Cent. 2020, 44, 1–4. [Google Scholar] [CrossRef]
- Babahmad, R.A.; Aghraz, A.; Boutafda, A.; Papazoglou, E.G.; Tarantilis, P.A.; Kanakis, C.; Hafidi, M.; Ouhdouch, Y.; Outzourhit, A.; Ouhammou, A. Chemical composition of essential oil of Jatropha curcas L. leaves and its antioxidant and antimicrobial activities. Ind. Crops Prod. 2018, 121, 405–410. [Google Scholar] [CrossRef]
- Holtz, A.M.; Piffer, A.B.M.; Holtz, F.G.; de Carvalho, J.R.; Aguiar, R.L.; Pratissoli, D. Can the interaction between castor and jatropha oils be efficient in the management of pink mealybug? Rev. Ifes Ciência 2020, 6, 132–139. [Google Scholar] [CrossRef]
- Kumar, M. A review on phytochemical constituents and pharmacological activities of Ricinus communis L. Plant. Int. J. Pharmacogn. Phytochem. Res. 2017, 9, 466–472. [Google Scholar] [CrossRef]
- Oyelese Olanrewaju, J.; Olawore Nureni, O.; Ololade Zacchaeus, S. Comparative study of the phytochemical and bio-activities of the essential oils from ripe and unripe seeds of Azadirachta indica. Int. J. Med. Res. 2020, 6, 219–224. [Google Scholar]
- Holtz, A.M.; Piffer, A.B.M.; Holtz, F.G.; de Carvalho, J.R.; Aguiar, R.L.; Andrade, F.P.; Pratissoli, D.; Neto, V.B. Toxicity of Jatropha and neem oil combination on pink hibiscus mealybug. J. Exp. Agric. Int. 2021, 43, 97–103. [Google Scholar] [CrossRef]
- Thapa, L.B.; Pathak, S.; Pal, K.B.; Miya, T.M.; Darji, T.B.; Pant, G.; Pant, R. Chemical constituents of the essential oil of invasive Chromolaena odorata leaves in Central Nepal. J. Nepal Chem. Soc. 2021, 42, 132–137. [Google Scholar] [CrossRef]
- Brandão, L.B.; Santos, L.L.; Martins, R.L.; Rodrigues, A.B.L.; da Costa, A.L.P.; Faustino, C.G.; de Almeida, S. The potential effects of species Ocimum basilicum L. on health: A review of the chemical and biological studies. Phcog. Rev. 2022, 16, 23. [Google Scholar] [CrossRef]
- Madhumita, M.; Guha, P.; Nag, A. Extraction of betel leaves (Piper betle L.) essential oil and its bio-actives identification: Process optimization, GC-MS analysis and anti-microbial activity. Ind. Crops Prod. 2019, 138, 111578. [Google Scholar] [CrossRef]
- Wanna, R. Potential of essential oils from Piper nigrum against cowpea weevil, Callosobruchus maculatus (Fabricius). Int. J. Agric. Technol. 2021, 17, 375–384. [Google Scholar]
- Sawadogo, I.; Paré, A.; Kaboré, D.; Montet, D.; Durand, N.; Bouajila, J.; Zida, E.P.; Sawadogo-Lingani, H.; Nikiéma, P.A.; Nebié, R. Antifungal and antiaflatoxinogenic effects of Cymbopogon citratus, Cymbopogon nardus, and Cymbopogon schoenanthus essential oils alone and in combination. J. Fungi 2022, 8, 117. [Google Scholar] [CrossRef]
- Sreepian, A.; Sreepian, P.; Chanthong, C.; Mingkhwancheep, T.; Prathit, P. Antibacterial activity of essential oil extracted from Citrus hystrix (kaffir lime) peels: An in vitro study. Trop. Biomed. 2019, 36, 531–541. [Google Scholar]
- Dao, P.T.; Tran, N.Y.; Tran, Q.N.; Bach, G.L.; Lam, T.V. Kinetics of pilot-scale essential oil extraction from pomelo (Citrus maxima) peels: Comparison between linear and nonlinear models. Alex. Eng. J. 2022, 61, 2564–2572. [Google Scholar] [CrossRef]
- Dias, A.; Sousa, W.; Batista, H.; Alves, C.; Souchie, E.; Silva, F.; Pereira, P.; Sperandio, E.; Cazal, C.; Forim, M. Chemical composition and in vitro inhibitory effects of essential oils from fruit peel of three Citrus species and limonene on mycelial growth of Sclerotinia sclerotiorum. Braz. J. Biol. 2019, 80, 460–464. [Google Scholar] [CrossRef] [PubMed]
- Karim, M. Potential Analgesic Activity of Alpinia nigra. Master’s Thesis, BRAC University, Dhaka, Bangladesh, 2016. [Google Scholar]
- Li, Q.; Zhang, L.-L.; Xu, J.-G. Antioxidant, DNA damage protective, antibacterial activities and nitrite scavenging ability of essential oil of Amomum kravanh from China. Nat. Prod. Res. 2021, 35, 5415–5419. [Google Scholar] [CrossRef] [PubMed]
- Setzer, W.N.; Duong, L.; Poudel, A.; Mentreddy, S. Variation in the chemical composition of five varieties of Curcuma longa rhizome essential oils cultivated in north alabama. Foods 2021, 10, 212. [Google Scholar] [CrossRef] [PubMed]
- Bhuiyan, N.I.; Chowdhury, J.U.; Begum, J. Volatile constituents of essential oils isolated from leaf and rhizome of Zingiber cassumunar Roxb. Bangladesh J. Pharmacol. 2008, 3, 69–73. [Google Scholar] [CrossRef]
- Abd El-Kareem, M.S.M.; Rabbih, M.A.; Elansary, H.O.; Al-Mana, F.A. Mass spectral fragmentation of Pelargonium graveolens essential oil using GC–MS semi-empirical calculations and biological potential. Processes 2020, 8, 128. [Google Scholar] [CrossRef]
- Abasse, A.A. Nano Bioinsecticides based on essential oils against Phenacoccus solenopsis. Egypt. Acad. J. Biol. Sci. 2018, 11, 1–12. [Google Scholar]
- Thantsin, K.; Zhang, Q.; Yang, J.; Wang, Q. Composition of semivolatile compounds of 10 Cinnamomum species from China and Myanmar. Nat. Prod. Res. 2008, 22, 576–583. [Google Scholar] [CrossRef]
- Van den Noortgate, W.; López-López, J.A.; Marín-Martínez, F.; Sánchez-Meca, J. Three-level meta-analysis of dependent effect sizes. Behav. Res. Methods 2013, 45, 576–594. [Google Scholar] [CrossRef]
- Viechtbauer, W. Conducting meta-analyses in R with the metafor package. J. Stat. Softw. 2010, 36, 1–48. [Google Scholar] [CrossRef]
- Garavan, T.; McCarthy, A.; Lai, Y.; Murphy, K.; Sheehan, M.; Carbery, R. Training and organisational performance: A meta-analysis of temporal, institutional and organisational context moderators. Hum. Resour. Manag. J. 2021, 31, 93–119. [Google Scholar] [CrossRef]
- IRAC (Insecticide Resistance Action Committee). Mode of Action Classification Scheme, v.9.4. 2020. Available online: https://irac-online.org/modes-of-action/ (accessed on 29 September 2022).




| Mealybug Species | Plant Species | Plant Genus | Plant Family | EO Main Compounds (%) | Ref. | 
|---|---|---|---|---|---|
| Planococcus citri | Mentha pulegium | Mentha | Lamiaceae | pulegone (40.5), menthone (26.3), isomenthone (5.0) [38] | [38] | 
| Planococcus minor | Syzygium aromaticum | Syzygium | Myrtaceae | eugenol (80.0), eugenyl acetate (5.01), β-caryophyllene (2.27) [61] | [62] | 
| Formicococcus njalensis | Ocimum gratissimum | Ocimum | Lamiaceae | p-cymene (37.0), thymol (18.7), α-thujene (7.4) [34] | [63] | 
| Maconellicoccus hirsutus | Allium sativum | Allium | Amaryllidaceae | diallyl-trisulfide (37.3–45.9), diallyl-disulfude (17.5–29.1), methyl-allyl-trisulfide (7.7–10.4) [64,65] | [27] | 
| Maconellicoccus hirsutus | Mentha sp. | Mentha | Lamiaceae | menthol (3.3–81.3), piperitenone-oxide (10.1–64.6), menthone (1.4–28.1) [66] | [27] | 
| Maconellicoccus hirsutus | Citrus aurantifolia | Citrus | Rutaceae | limonene (71.7), β-pinene (8.5), γ-terpinene (7.3) [67] | [27] | 
| Maconellicoccus hirsutus | Zingiber officinale | Zingiber | Zingiberaceae | α-zingiberene (29.9), β-sesquiphellandrene (11.2), camphene (8.6) [68] | [27] | 
| Planococcus citri | Pimpinella anisum | Pimpinella | Apiaceae | trans-anethole (91.3), trans- pseudoisoeugenyl-2-methylbutyrate (2.5), p-anisaldehyde (1.6) [69] | [36] | 
| Planococcus citri | Thymus vulgaris | Thymus | Lamiaceae | p-cymene (35.96), terpinen-4-ol (10.29), α-terpinene (8.85) [20] | [36] | 
| Planococcus citri | Mentha piperita | Mentha | Lamiaceae | menthol (70.08), menthone (14.49), limonene (4.32) [70] | [36] | 
| Planococcus citri | Origanum onites | Origanum | Lamiaceae | carvacrol (48.0), terpinen-4-ol (6.8), sabinene hydrate (6.1) [71] | [36] | 
| Planococcus citri | Rosmarinus officinalis | Rosmarinus | Lamiaceae | 1,8-cineole (44.97), camphor (10.79), caryophyllene (9.43) [72] | [36] | 
| Phenacoccus solenopsis | Cinnamomum verum | Cinnamomum | Lauraceae | (E) cinnamaldehyde (35.6), linalool (18.92), eugenol (18.69) [73] | [74] | 
| Drosicha mangiferae | Syzygium aromaticum | Syzygium | Myrtaceae | eugenol (97.1), trans-caryophyllene (1.7) [32] | [37] | 
| Drosicha mangiferae | Cymbopogon citratus | Cymbopogon | Poaceae | trans-citral (37.9), cis-citral (31,8), limonene (18.1) [32] | [37] | 
| Drosicha mangiferae | Datura alba | Datura | Solanaceae | thymol (60.3), carvacrol (30.2), D-verbenone (1.0) (Datura genus) [52] | [37] | 
| Maconellicoccus hirsutus | Jatropha curcas | Jatropha | Euphorbiaceae | δ-cadinene (9.6), α-epi-cadinol (7.4), pulegone (6.0) [75] | [76] | 
| Maconellicoccus hirsutus | Ricinus communis | Ricinus | Euphorbiaceae | α-thujone (31,71), 1,8- cineole (30,98), α-pinene (16,88) [77] | [76] | 
| Maconellicoccus hirsutus | Azadirachta indica | Azadirachta | Meliaceae | γ-elemene (20.8), germacrene-B (20.3), trans-caryophyllene (13.5) [78] | [79] | 
| Dysmicoccus brevipes | Citrus aurantium | Citrus | Rutaceae | D-limonene (78.5), γ-terpinene (12.7), α-pinene (2.1) [47] | [47] | 
| Dysmicoccus brevipes | Citrus limon | Citrus | Rutaceae | D-limonene (59.8), β-pinene (14.7), γ-terpinene (10.2) | [47] | 
| Dysmicoccus brevipes | Citrus sinensis | Citrus | Rutaceae | D-limonene (83.3), linalool (8.9), myrcene (3.6) | [47] | 
| Planococcus ficus | Minthostachys verticillata | Minthostachys | Lamiaceae | pulegone (57.0), menthone (36.3), isomenthone (1.7) | [26] | 
| Planococcus ficus | Eucalyptus globulus | Eucalyptus | Myrtaceae | 1,8-cineole (76.7), limonene (18.9), β-phellandrene (1.7) | [26] | 
| Pseudococcus jackbeardsleyi | Eupatorium odoratum | Eupatorium | Asteraceae | linalool (21.64), β-pinene (9.43), 1,3-cycloheptadiene (8.92) [80] | [32] | 
| Pseudococcus jackbeardsleyi | Cinnamomum bejolghota | Cinnamomum | Lauraceae | eugenol (82.05), trans-caryophyllene (3.8), 2-methoxy-4-propenylphenyl acetate (3.5) [32] | [32] | 
| Pseudococcus jackbeardsleyi | Ocimum basilicum | Ocimum | Lamiaceae | linalool (43.78), eugenol (13.66) 1,8- cineole (10.18) [81] | [32] | 
| Pseudococcus jackbeardsleyi | Piper betle | Piper | Lauraceae | safrole (44.25%), eugenol (5.16%), β-caryophyllene (5.98%) [82] | [32] | 
| Pseudococcus jackbeardsleyi | Eucalyptus globulus | Eucalyptus | Myrtaceae | 1,8-cineole (76.7), limonene (18.9), β-phellandrene (1.7) [26] | [32] | 
| Pseudococcus jackbeardsleyi | Syzygium aromaticum | Syzygium | Myrtaceae | eugenol (97.1), trans-caryophyllene (1.7) [32] | [32] | 
| Pseudococcus jackbeardsleyi | Piper nigrum | Piper | Piperaceae | α-bergamotene (14.57), caryophyllene (11.47), β-bourbonene (8.47) [83] | [32] | 
| Pseudococcus jackbeardsleyi | Cymbopogon citratus | Cymbopogon | Poaceae | trans-citral (37.9), cis-citral (31.8), limonene (18.1) [32] | [32] | 
| Pseudococcus jackbeardsleyi | Cymbopogon nardus | Cymbopogon | Poaceae | citronellal (41.7), geraniol (20.8), β-elemene (11.0) [84] | [32] | 
| Pseudococcus jackbeardsleyi | Citrus aurantifolia | Citrus | Rutaceae | limonene (71.7), β-pinene (8.5), γ-terpinene (7.3) [67] | [32] | 
| Pseudococcus jackbeardsleyi | Citrus hystrix | Citrus | Rutaceae | D-limonene (25.28), β-pinene (21.10), sabinene (14.99) [85] | [32] | 
| Pseudococcus jackbeardsleyi | Citrus maxima | Citrus | Rutaceae | limonene (97.4), β-mycrene (1.2), α-phellandrene (0.7) [86] | [32] | 
| Pseudococcus jackbeardsleyi | Citrus reticulate | Citrus | Rutaceae | limonene (91.65), γ-terpinene (6,17), β-pinene (0.93) [87] | [32] | 
| Pseudococcus jackbeardsleyi | Alpinia nigra | Alpinia | Zingiberaceae | 1,8-cineole (34.0), α-fenchylacetate (13.1), α-terpineol (9.6%) [88] | [32] | 
| Pseudococcus jackbeardsleyi | Amomum krervanh | Amomum | Zingiberaceae | 1,8-cineole (58.53), α-pinene (8.31), α-terpinyl acetate (4.68) [89] | [32] | 
| Pseudococcus jackbeardsleyi | Curcuma longa | Curcuma | Zingiberaceae | α-turmerone (13.6–31.5), ar-turmerone (6.8–32.5), β-turmerone (4.8–18.4) [90] | [32] | 
| Pseudococcus jackbeardsleyi | Zingiber cassumunar | Zingiber | Zingiberaceae | triquinacene,1,4-bis (methoxy) (26.5), (Z)-ocimene (22.0), terpinen-4-ol (18.5) [91] | [32] | 
| Pseudococcus jackbeardsleyi | Zingiber officinale | Zingiber | Zingiberaceae | α-zingiberene (29.9), β-sesquiphellandrene (11.2), camphene (8.6) [68] | [32] | 
| Phenacoccus solenopsis | Pelargonium graveolens | Pelargonium | Geraniaceae | citronellol (27.67), cis-menthone (10.23), linalool (10.05) [92] | [93] | 
| Phenacoccus solenopsis | Thymus vulgaris | Thymus | Lamiaceae | p-cymene (35.96), terpinen-4-ol (10.29), α-terpinene (8.85) [20] | [93] | 
| Phenacoccus solenopsis | Cymbopogon citratus | Cymbopogon | Poaceae | trans-citral (37.9), cis-citral (31.8), limonene (18.1) [32] | [93] | 
| Paracoccus marginatus | Cinnamomum multiflorum | Cinnamomum | Lauraceae | Methyleugenol (49.4), cinnamaldehyde (29.6), palmitic-acid (4.2), eugenol (3.0) [25,94] | [25] | 
| Disclaimer/Publisher’s Note: The statements, opinions and data contained in all publications are solely those of the individual author(s) and contributor(s) and not of MDPI and/or the editor(s). MDPI and/or the editor(s) disclaim responsibility for any injury to people or property resulting from any ideas, methods, instructions or products referred to in the content. | 
© 2022 by the authors. Licensee MDPI, Basel, Switzerland. This article is an open access article distributed under the terms and conditions of the Creative Commons Attribution (CC BY) license (https://creativecommons.org/licenses/by/4.0/).
Share and Cite
Avila, M.d.V.; Achimón, F.; Brito, V.D.; Aguilar, R.; Pizzolitto, R.P.; Zunino, M.P.; Peschiutta, M.L. Insecticidal Activity of Essential Oils against Mealybug Pests (Hemiptera: Pseudococcidae): A Systematic Review and Meta-Analysis. Plants 2023, 12, 109. https://doi.org/10.3390/plants12010109
Avila MdV, Achimón F, Brito VD, Aguilar R, Pizzolitto RP, Zunino MP, Peschiutta ML. Insecticidal Activity of Essential Oils against Mealybug Pests (Hemiptera: Pseudococcidae): A Systematic Review and Meta-Analysis. Plants. 2023; 12(1):109. https://doi.org/10.3390/plants12010109
Chicago/Turabian StyleAvila, Miriam del Valle, Fernanda Achimón, Vanessa Daniela Brito, Ramiro Aguilar, Romina Paola Pizzolitto, María Paula Zunino, and María Laura Peschiutta. 2023. "Insecticidal Activity of Essential Oils against Mealybug Pests (Hemiptera: Pseudococcidae): A Systematic Review and Meta-Analysis" Plants 12, no. 1: 109. https://doi.org/10.3390/plants12010109
APA StyleAvila, M. d. V., Achimón, F., Brito, V. D., Aguilar, R., Pizzolitto, R. P., Zunino, M. P., & Peschiutta, M. L. (2023). Insecticidal Activity of Essential Oils against Mealybug Pests (Hemiptera: Pseudococcidae): A Systematic Review and Meta-Analysis. Plants, 12(1), 109. https://doi.org/10.3390/plants12010109
 
        



 
       