Flowered Grain Quality and Phytochemical Content of Non-Conventional Maize Hybrids from the Mexican Subtropics across Three Growing Cycles
Abstract
1. Introduction
2. Results and Discussion
2.1. Physical Characterization of Grain
2.2. Flowered Grain Quality
2.3. Effect of Type of Flowered
2.4. Effect of Genetic Materials
2.5. Phytochemical Components
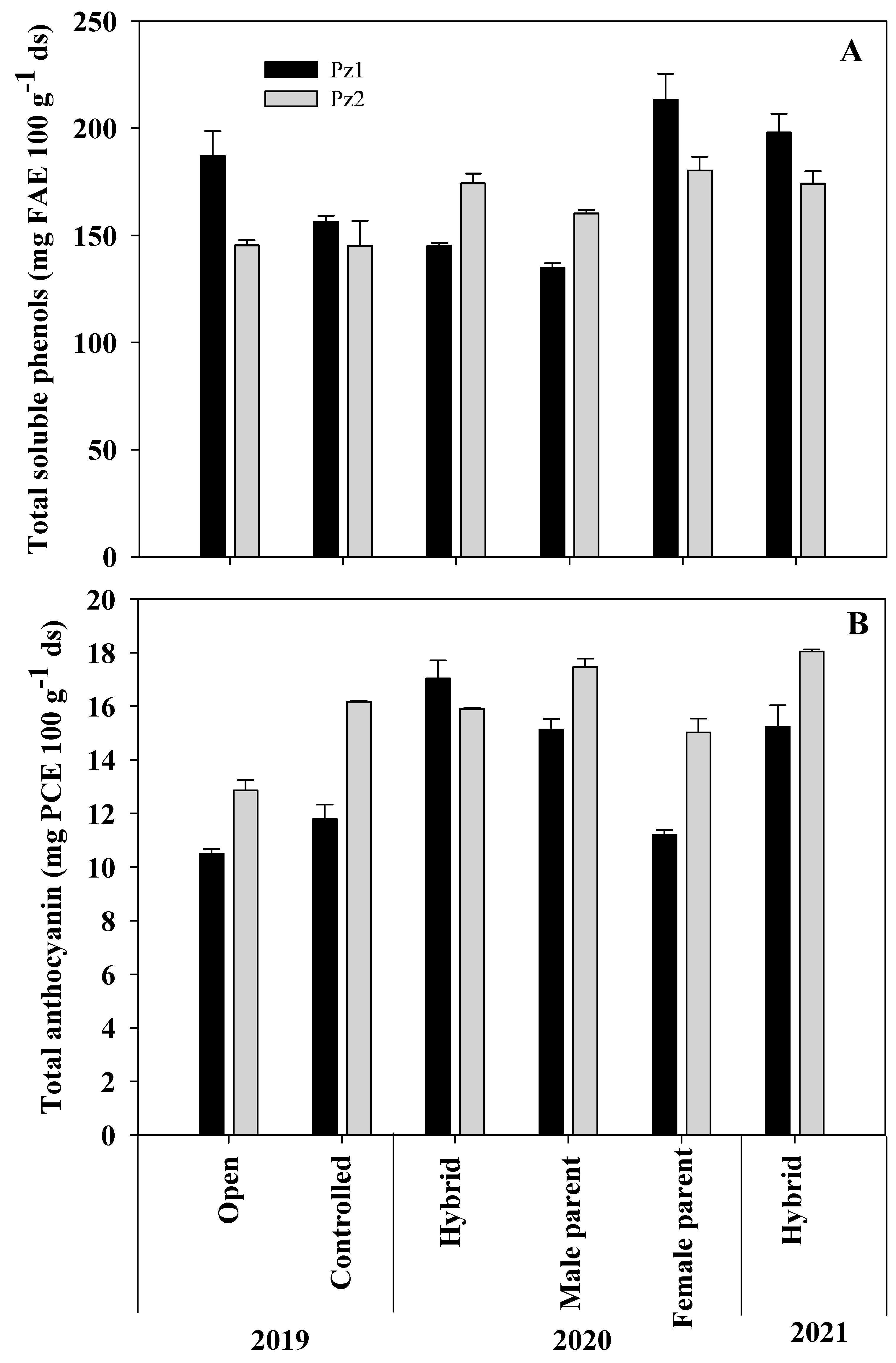
2.5.1. Total Soluble Phenols (TSPs) and Total Anthocyanins (TAs) in Whole Grain
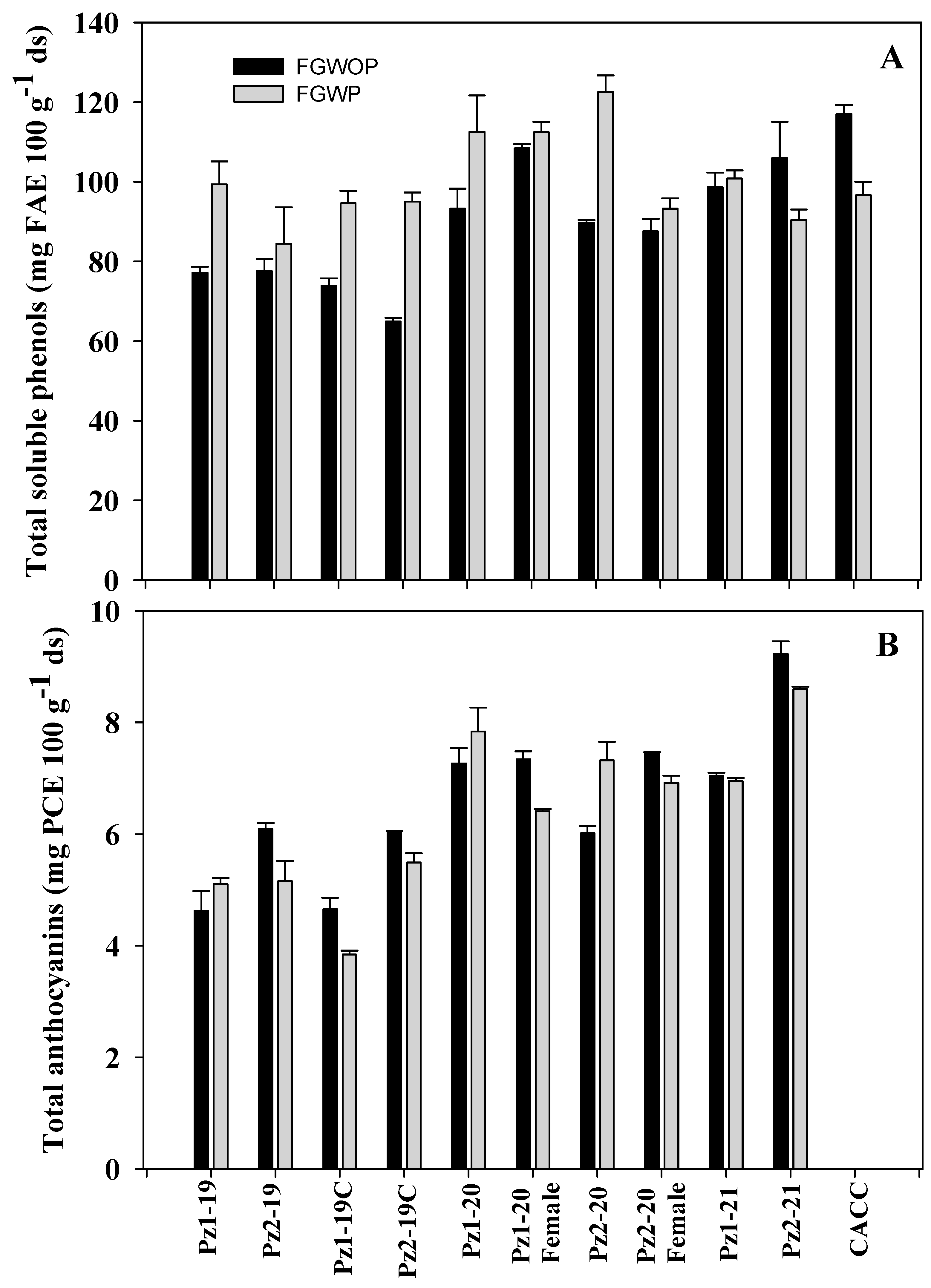
2.5.2. Total Soluble Phenols and Total Anthocyanin Content in Flowered Grain, Nejayote, Wash Water, and Flowering Broth
3. Materials and Methods
3.1. Non-Conventional Maize Hybrids
3.2. Physical Characteristics of Grain
3.3. Nixtamalization and Obtaining Flowered Grain
3.4. Quality of Flowered Grain
3.5. Phytochemical Components
3.5.1. Obtaining the Extract
3.5.2. Total Soluble Phenol Content
3.5.3. Total Anthocyanin Content
3.6. Statistical Analysis
4. Conclusions
Author Contributions
Funding
Data Availability Statement
Acknowledgments
Conflicts of Interest
References
- CONABIO (Comisión Nacional para el Conocimiento y Uso de la Biodiversidad). Proyecto Global de Maíces Nativos. Available online: https://biodiversidad.gob.mx/diversidad/proyectoMaices (accessed on 23 April 2023).
- Vázquez-Carrillo, M.G.; Santiago-Ramos, D.; Palacios-Rojas, N. Calidad Industrial y Nutricional de Razas Mexicanas de Maíz Pozolero, 1st ed.; Biblioteca Básica de Agricultura: Texcoco de Mora, México, 2016; ISBN 978-607-715-325-2. [Google Scholar]
- Serna-Saldivar, S.O. Understanding the Functionality and Manufacturing of Nixtamalized Maize Products. J. Cereal Sci. 2021, 99, 103205. [Google Scholar] [CrossRef]
- Palacios-Rojas, N.; McCulley, L.; Kaeppler, M.; Titcomb, T.J.; Gunaratna, N.S.; Lopez-Ridaura, S.; Tanumihardjo, S.A. Mining Maize Diversity and Improving Its Nutritional Aspects within Agro-Food Systems. Compr. Rev. Food Sci. Food Saf. 2020, 19, 1809–1834. [Google Scholar] [CrossRef] [PubMed]
- Mora-Rochín, S.; Gaxiola-Cuevas, N.; Gutiérrez-Uribe, J.A.; Milán-Carrillo, J.; Milán-Noris, E.M.; Reyes-Moreno, C.; Serna-Saldivar, S.O.; Cuevas-Rodríguez, E.O. Effect of Traditional Nixtamalization on Anthocyanin Content and Profile in Mexican Blue Maize (Zea mays L.) Landraces. Lwt 2016, 68, 563–569. [Google Scholar] [CrossRef]
- Ballesteros Martínez, G.; Zarazúa Villaseñor, P.; Salinas Moreno, Y.; De la Cruz Larios, L. Fijación Del Color En Grano y Características Físicas, Tecnológicas y Nutracéuticas En Maíz Elotes Occidentales. Rev. Mex. Cienc. Agrícolas 2019, 10, 585–599. [Google Scholar] [CrossRef]
- Gómez-Montiel, N.O.; Cantú-Almaguer, M.Á.; Hernández-Galeno, C.d.Á.; Vázquez Carrillo, M.G.; Aragón Cuevas, F.; Palemón Alberto, F. V-237 AN, Cultivar Mejorado de Maíz “Ancho Pozolero” Para La Región Semicálida de Guerrero. Rev. Mex. Cienc. Agrícolas 2014, 5, 1315–1319. [Google Scholar] [CrossRef]
- Guzzon, F.; Rios, L.W.A.; Cepeda, G.M.C.; Polo, M.C.; Cabrera, A.C.; Figueroa, J.M.; Hoyos, A.E.M.; Calvo, T.W.J.; Molnar, T.L.; León, L.A.N.; et al. Conservation and Use of Latin American Maize Diversity: Pillar of Nutrition Security and Cultural Heritage of Humanity. Agronomy 2021, 11, 172. [Google Scholar] [CrossRef]
- Smith, J.S.; Trevisan, W.; McCunn, A.; Huffman, W.E. Global Dependence on Corn Belt Dent Maize Germplasm: Challenges and Opportunities. Crop Sci. 2022, 62, 2039–2066. [Google Scholar] [CrossRef]
- Cárdenas-Marcelo, A.L.; Vizcarra-Bordu, I.; Espinoza-Ortega, A.; Espinosa-Calderón, A. Tortillas Artesanales Mazahuas y Biodiversidad Del Maíz Nativo. Reflexiones Desde El Ecofeminismo de La Subsistencia. Soc. Ambient. 2019, 19, 265–291. [Google Scholar] [CrossRef]
- Arellano-Vázquez, J.L.; Gutiérrez-Hernández, G.F.; Flores-Gómez, E.; López-Martínez, D.E. Protein Quality in Lines and Experimental Hybrids of QPM. Central Highlands, Mexico. Agron. Mesoam. 2021, 32, 107–119. [Google Scholar] [CrossRef]
- Caranhato, A.L.; Trindade, R.W.R.; Uhdre, R.S.; Pinto, R.J.B.; Scapim, C.A.; Paterniani, M.E.A.G.Z. Genetic Improvement in Popcorn. Rev. Bras. Milho e Sorgo 2022, 21. [Google Scholar] [CrossRef]
- Preciado-Ortiz, R.E.; Vázquez-Carrillo, M.G. Generación de Maíces Especializados Para Mejorar La Salud y Nutrición En México. ACI Av. en Ciencias e Ing. 2022, 14, 1–13. [Google Scholar] [CrossRef]
- Hossain, F.; Zunjare, R.U.; Muthusamy, V.; Kumar, A.; Madhavan, J.; Ikkurti, G.; Katral, A.; Talukder, Z.A.; Chabra, R.; Chand, G.; et al. Genetic Improvement of Specialty Corn for Nutritional Quality Traits. In Maize Improvement; Wani, S.H., Dar, Z.H., Singh, G.P., Eds.; Springer: Cham, Switzerland, 2023; pp. 235–257. [Google Scholar] [CrossRef]
- Preciado-Ortiz, R.E.; Ochoa-Centeno, N.J.; Vázquez-Carrillo, M.G.; Santiago-Ramos, D.; Terrón-Ibarra, A.D. Grain Yield, Physical and Pasting Properties, and Anthocyanins of Non-Conventional Pigmented Corn Hybrids for Pozole End-Use Adapted to Subtropical Regions. Appl. Food Res. 2022, 2, 100180. [Google Scholar] [CrossRef]
- Barrientos-Ramírez, L.; Ramírez-Salcedo, H.E.; Fernández-Aulis, M.F.; Ruíz-López, M.A.; Navarro-Ocaña, A.; Vargas-Radillo, J.J. Anthocyanins from Rose Maize (Zea mays L.) Grains. Interciencia 2018, 43, 188–192. [Google Scholar]
- Kim, H.Y.; Lee, K.Y.; Kim, M.; Hong, M.; Deepa, P.; Kim, S. A Review of the Biological Properties of Purple Corn (Zea mays L.). Sci. Pharm. 2023, 91, 6. [Google Scholar] [CrossRef]
- Peniche-Pavía, H.A.; Tiessen, A. Anthocyanin Profiling of Maize Grains Using DIESI-MSQD Reveals That Cyanidin-Based Derivatives Predominate in Purple Corn, Whereas Pelargonidin-Based Molecules Occur in Red-Pink Varieties from Mexico. J. Agric. Food Chem. 2020, 68, 5980–5994. [Google Scholar] [CrossRef]
- Secretaría de Economía, S. Productos Alimenticios Para Uso Humano No Industrializados-Cereales-Maíz-Parte1: Granos Para Tortillas y Productos Nixtamalizados-Especificaciones y Métodos de Prueba, NMX-FF-034/1-SCFI-2020; Dirección General de Normas: Ciudad de Mexico, Mexico, 2020. [Google Scholar]
- Salinas-Moreno, Y.; Aragón-Cuevas, F.; Ybarra-Moncada, C.; Aguilar-Villarreal, J.; Altunar-López, B.; Sosa-Montes, E. Caracterización Física y Composición Química de Razas de Maíz de Grano Azul/Morado de Las Regiones Tropicales y Subtropicales de Oaxaca. Rev. Fitotec. Mex. 2013, 36, 23–31. [Google Scholar] [CrossRef]
- Vázquez-Carrillo, M.G.; Santiago-Ramos, D.; Domínguez-Rendón, E.; Audelo-Benites, M.A. Effects of Two Different Pozole Preparation Processes on Quality Variables and Pasting Properties of Processed Maize Grain. J. Food Qual. 2017, 8627363. [Google Scholar] [CrossRef]
- Vázquez-Carrillo, M.G.; Pérez-Camarrilo, J.P.; Hernández-Casillas, J.M.; Marrufo-Díaz, M.D.L.L.; Martínez-Ruiz, E. Calidad de Grano y Tortillas de Maíces Criollos Del Altiplano y Valle Del Mezquital, México. Rev. Fitotec. Mex. 2010, 33, 49–56. [Google Scholar] [CrossRef]
- Santiago-Ramos, D.; Figueroa-Cárdenas, J.D.D.; Mariscal-Moreno, R.M.; Escalante-Aburto, A.; Ponce-García, N.; Véles-Medina, J.J. Physical and Chemical Changes Undergone by Pericarp and Endosperm during Corn Nixtamalization-A Review. J. Cereal Sci. 2018, 81, 108–117. [Google Scholar] [CrossRef]
- Méndez-Lagunas, L.L.; Cruz-Gracida, M.; Barriada-Bernal, L.G.; Rodríguez-Méndez, L.I. Profile of Phenolic Acids, Antioxidant Activity and Total Phenolic Compounds during Blue Corn Tortilla Processing and Its Bioaccessibility. J. Food Sci. Technol. 2020, 57, 4688–4696. [Google Scholar] [CrossRef]
- Flores-Hernández, L.A.; Castillo-González, F.; Vázquez-Carrillo, M.G.; Livera-Muñoz, M.; Benítez-Riquelme, I.; Nieto-Sotelo, J.; Ramírez-Hernández, A. Composition and Flowering Quality of Cacahuacintle Maize Populations from the High Valleys of Mexico. Plant Foods Hum. Nutr. 2023, 1–7. [Google Scholar] [CrossRef] [PubMed]
- Dorantes-Campuzano, M.F.; Cabrera-Ramírez, A.H.; Rodríguez-García, M.E.; Palacios-Rojas, N.; Preciado-Ortíz, R.E.; Luzardo-Ocampo, I.; Gaytán Martínez, M. Effect of Maize Processing on Amylose-Lipid Complex in Pozole, a Traditional Mexican Dish. Appl. Food Res. 2022, 2, 100078. [Google Scholar] [CrossRef]
- Kahrıman, F.; Egesel, C.Ö.; Aydın, T.; Subaşı, S. The Role of Artificial Pollination and Pollen Effect on Ear Development and Kernel Structure of Different Maize Genotypes. J. Pollinat. Ecol. 2015, 15, 6–14. [Google Scholar] [CrossRef]
- Darrah, L.L.; McMullen, M.D.; Zuber, M.S. Breeding, Genetics and Seed Corn Production. In Corn: Chemistry and Technology; Serna-Saldívar, S.O., Ed.; Elsevier Inc.: Amsterdam, The Netherlands, 2018; pp. 19–41. [Google Scholar] [CrossRef]
- Das, A.K.; Singh, V. Antioxidative Free and Bound Phenolic Constituents in Botanical Fractions of Indian Specialty Maize (Zea mays L.) Genotypes. Food Chem. 2016, 201, 298–306. [Google Scholar] [CrossRef] [PubMed]
- Ruiz-Torres, N.A.; Rincón-Sánchez, F.; Hernández-López, V.M.; Figueroa-Cárdenas, J.D.D.; Loarca-Piña, M.G.F. Determinación de Compuestos Fenólicos y Su Actividad Antioxidante En Granos de Maíz. Rev. Fitotec. Mex. 2008, 31, 29–34. [Google Scholar] [CrossRef]
- Paulsmeyer, M.N.; Juvik, J.A. Increasing Aleurone Layer Number and Pericarp Yield for Elevated Nutrient Content in Maize. G3/Genes/Genomics/Genetics 2023, 13, jkad085. [Google Scholar] [CrossRef]
- Rocandio-Rodríguez, M.; Torres-Castillo, J.A.; Juárez-Aragón, M.C.; Chacón-Hernández, J.C.; Moreno-Ramírez, Y.D.R.; Mora-Ravelo, S.G.; Delgado-Martínez, R.; Hernández-Juárez, A.; Heinz-Castro, R.T.Q.; Reyes-Zepeda, F. Evaluation of Resistance of Eleven Maize Races (Zea mays L.) to the Red Spider Mite (Tetranychus Merganser, Boudreaux). Plants 2022, 11, 1414. [Google Scholar] [CrossRef]
- Broa Rojas, E.; Vázquez Carrillo, M.G.; Estrella Chulím, N.G.; Hernández Salgado, J.H.; Ramírez Valverde, B.; Bahena Delgado, G. Características Fisicoquímicas y Calidad de La Proteína de Maíces Nativos Pigmentados de Morelos En Dos Años de Cultivo. Rev. Mex. Ciencias Agrícolas 2019, 10, 683–697. [Google Scholar] [CrossRef]
- Mansilla, P.S.; Bongianino, N.F.; Nazar, M.C.; Pérez, G.T. Agronomic and Chemical Description of Open-Pollinated Varieties of Opaque-2 and Purple Maize (Zea mays L.) Adapted to Semiarid Region of Argentina. Genet. Resour. Crop Evol. 2021, 68, 2351–2366. [Google Scholar] [CrossRef]
- Liu, T.; Yang, L.; Liu, B.; Tan, L. Hydroxycinnamic Acids Release during Bioconversion of Corn Stover and Their Effects on Lignocellulolytic Enzymes. Bioresour. Technol. 2019, 294, 122116. [Google Scholar] [CrossRef]
- Peralta-Veran, L.; Espinosa-Leal, C.; Escalante-Aburto, A.; Preciado-Ortiz, R.E.; Puente-Garza, C.A.; Serna-Saldivar, S.O.; García-Lara, S. Effects of Pozole Broth Production on Phenolic Acids and Antioxidant Activity of Specialty Maize Landraces. J. Cereal Sci. 2022, 107, 103543. [Google Scholar] [CrossRef]
- Das, A.K.; Singh, V. Antioxidative Free and Bound Phenolic Constituents in Pericarp, Germ and Endosperm of Indian Dent (Zea mays Var. Indentata) and Flint (Zea mays Var. Indurata) Maize . J. Funct. Foods 2015, 13, 363–374. [Google Scholar] [CrossRef]
- Razgonova, M.; Zinchenko, Y.; Pikula, K.; Tekutyeva, L.; Son, O.; Zakharenko, A.; Kalenik, T.; Golokhvast, K. Spatial Distribution of Polyphenolic Compounds in Corn Grains (Zea mays L. Var. Pioneer) Studied by Laser Confocal Microscopy and High-Resolution Mass Spectrometry. Plants 2022, 11, 630. [Google Scholar] [CrossRef] [PubMed]
- Salinas-Moreno, Y.; Soria-Ruiz, J.; Espinosa Trujillo, E. Aprovechamiento y Distribución de Maíz Azul En El Estado de México, 1st ed.; Impresos Lebam: Texcoco, Mexico, 2010; ISBN 978-607-425-514-0. [Google Scholar]
- Castañeda-Ruelas, G.M.; Ibarra-Medina, R.K.; Niño-Medina, G.; Mora-Rochín, S.; Montes-Ávila, J.; Cuevas-Rodríguez, E.O.; Jiménez-Edeza, M. Phenolic Extract from Nejayote Flour: Bioactive Properties and Its Potential Use as an Antimicrobial Agent of Alginate-Based Edible Coatings. Cereal Chem. 2021, 98, 1165–1174. [Google Scholar] [CrossRef]
- Petroni, K.; Pilu, R.; Tonelli, C. Anthocyanins in Corn: A Wealth of Genes for Human Health. Planta 2014, 240, 901–911. [Google Scholar] [CrossRef]
- Sant’Anna, V.; Gurak, P.D.; Ferreira Marczak, L.D.; Tessaro, I.C. Tracking Bioactive Compounds with Colour Changes in Foods—A Review. Dye. Pigment. 2013, 98, 601–608. [Google Scholar] [CrossRef]
- AACC Approved Methods of Analysis. In Method 44-15.02. Moisture-Air Oven Methods, 11th ed.; Cereals & Grains Association: St. Paul, MN, USA, 2020.
- Singleton, V.L.; Rossi, J.A. Colorimetry of Total Phenolics with Phosphomolybdic-Phosphotungstic Acid Reagents. Am. J. Enol. Vitic. 1965, 16, 144–158. [Google Scholar] [CrossRef]
- López-Vásquez, V.M.; Salinas-Moreno, Y.; Alemán-de la Torre, I.; Morales-Hernández, N.; Bautista-Ramírez, E. Effect of Adding Anthocyanins to Blue Maize Dough on Color, Texture and Antioxidant Capacity of Maize Tortillas. Ing. Agrícola Biosist. 2020, 12, 183–200. [Google Scholar] [CrossRef]
- Hernández Galeno, C.d.Á.; Salinas Moreno, Y.; Antonio López, P.; Santacruz Varela, A.; Castillo González, F.; Corona Torres, T. Calidad Pozolera En Poblaciones de Maíz Cacahuacintle de Los Valles Altos de Puebla, México. Rev. Mex. Cienc. Agrícolas 2014, 5, 703–716. [Google Scholar] [CrossRef]



| Hybrid | Year | |||
|---|---|---|---|---|
| 2019 | 2020 | 2021 | HSD | |
| Test weight (kg hL−1) | ||||
| Pz1 | 74.75 ± 0.7 Aa | 71.65 ± 0.35 Ba | 68.10 ± 7.35 Aa | 17.763 | 
| Pz2 | 73.05 ± 0.07 Bb | 73.25 ± 0.35 Aab | 73.95 ± 0.07 Aa | 0.886 | 
| HSD | 0.304 | 1.521 | 22.375 | |
| Hundred grain weight (g) | ||||
| Pz1 | 41.92 ± 0.21 Ba | 41.04 ± 0.01 Ab | 36.38 ± 0.01 Bc | 0.512 | 
| Pz2 | 44.51 ± 0.30 Aa | 38.59 ± 0.02 Bc | 43.24 ± 0.01 Ab | 0.736 | 
| HSD | 1.13 | 0.068 | 0.0481 | |
| Flotation index (%) | ||||
| Pz1 | 58.0 ± 1.4 Bb | 88.5 ± 0.7 Aa | 93.0 ± 4.2 Aa | 10.923 | 
| Pz2 | 68.0 ± 1.4 Aa | 79.0 ± 7.1 Aa | 82.0 ± 2.8 Aa | 18.688 | 
| HSD | 6.085 | 21.62 | 15.513 | |
| Pedicel (%) | ||||
| Pz1 | 1.32 ± 0.05 Aa | 0.85 ± 0.05 Ba | 1.37 ± 0.29 Aa | 0.719 | 
| Pz2 | 1.23 ± 0.67 Aa | 1.23 ± 0.04 Aa | 1.19 ± 0.002 Aa | 0.199 | 
| HSD | 0.263 | 0.198 | 0.882 | |
| Pericarp (%) | ||||
| Pz1 | 4.3 ± 0.06 Aa | 4.08 ± 0.13 Aa | 4.51 ± 0.13 Aa | 0.467 | 
| Pz2 | 4.0 ± 0.13 Aa | 4.51 ± 0.23 Aa | 4.12 ± 0.21 Aa | 0.828 | 
| HSD | 0.444 | 0.838 | 0.734 | |
| Germ (%) | ||||
| Pz1 | 11.35 ± 0.04 Ba | 11.49 ± 0.23 Aa | 10.39 ± 0.01 Ab | 0.572 | 
| Pz2 | 11.77 ± 0.07 Aa | 10.99 ± 0.49 Aa | 11.13 ± 0.69 Aa | 2.072 | 
| HSD | 0.251 | 1.684 | 2.108 | |
| Floury endosperm (%) | ||||
| Pz1 | 42.5 ± 0.31 Ab | 62.26 ± 5.43 Aa | 70.67 ± 0.74 Aa | 13.245 | 
| Pz2 | 44.13 ± 0.86 Ab | 53.11 ± 5.71 Aab | 64.78 ± 0.57 Ba | 13.992 | 
| HSD | 2.79 | 23.967 | 2.853 | |
| Vitreous endosperm (%) | ||||
| Pz1 | 40.53 Aa | 16.34 Ab | 13.07 Bb | 13.559 | 
| Pz2 | 38.88 Aa | 30.16 Aab | 18.78 Ab | 13.776 | 
| HSD | 3.732 | 23.412 | 5.668 | |
| Lightness (%) | ||||
| Pz1 | 48.90 ± 0.04 Aa | 41.87 ± 0.28 Bb | 48.18 ± 0.82 Aa | 2.095 | 
| Pz2 | 46.64 ± 0.35 Bb | 46.67 ± 0.16 Ab | 50.43 ± 0.74 Aa | 1.997 | 
| HSD | 1.059 | 0.982 | 3.352 | |
| Hue (°) | ||||
| Pz1 | 51.41 ± 0.63 Bc | 61.16 ± 0.64 Ab | 65.0 ± 1.27 Aa | 3.753 | 
| Pz2 | 61.21 ± 0.92 Ab | 55.59 ± 1.97 Ab | 69.1 ± 2.12 Aa | 7.327 | 
| HSD | 3.372 | 6.306 | 7.527 | |
| Chroma | ||||
| Pz1 | 11.76 ± 0.19 Bb | 12.08 ± 10.43 Ab | 14.20 ± 0.28 Aa | 1.346 | 
| Pz2 | 14.21 ± 0.51 Aa | 13.33 ± 0.41 Aa | 13.45 ± 0.35 Aa | 1.793 | 
| HSD | 1.662 | 1.826 | 1.378 | |
| Mean Squares of Technological Variables | ||||||||||
|---|---|---|---|---|---|---|---|---|---|---|
| Variation Source | df | YFG | VFG | DLM | FT | MFG | PF | L | Hue | Chroma | 
| Hybrid | 10 | 0.044 * | 1607.95 * | 0.29 | 2042.49 * | 25.46 * | 0.35 * | 158.17 * | 838.74 * | 4.41 * | 
| Flowered | 1 | 0.014 | 205.11 | 0.22 | 9.09 | 12.767 * | 0.039 | 92.10 * | 217.78 * | 63.62 * | 
| HXF | 10 | 0.0037 | 121.36 | 0.24 | 409.84 | 7.61 * | 0.099 * | 12.36 * | 35.21 * | 4.56 * | 
| Error | 22 | 0.0043 | 116.48 | 0.23 | 209.95 | 2.94 | 0.024 | 0.26 | 3.87 | 0.35 | 
| Mean | 2.4 | 354.43 | 7.33 | 171.14 | 61.62 | 1.56 | 46.59 | 54.37 | 15.49 | |
| CV (%) | 2.75 | 3.05 | 6.48 | 8.47 | 2.78 | 9.99 | 1.09 | 3.62 | 3.82 | |
| R | 0.84 | 0.87 | 0.52 | 0.84 | 0.84 | 0.89 | 0.99 | 0.99 | 0.95 | |
| FGY (kg of FG Per kg Raw Maize) | VFG (cm3) | FT (min) | FGM (%) | DML (%) | FGPF (N) | L (%) | Hue (°) | Chroma | |
|---|---|---|---|---|---|---|---|---|---|
| Pz1-19 | 2.26 ± 0.08 * | 332.5 ± 6.45 * | 147.5 ± 5.0 * | 58.93 ± 1.2 | 7.23 ± 0.23 | 1.84 ± 0.07 * | 51.92 ± 3.6 * | 63.17 ± 3.4 * | 16.72 ±2.9 | 
| Pz2-19 | 2.32 ± 0.07 | 338.8 ± 33.15 * | 151.3 ± 10.3 * | 57.71 ± 2.9 * | 7.71 ± 0.43 | 1.99 ± 0.2 * | 47.53 ± 1.9 * | 63.19 ± 3.3 * | 14.54 ± 1.9 * | 
| Pz1-19C | 2.24 ± 0.11 * | 320.0 ± 10.8 * | 153.8 ± 7.5 * | 57.61 ± 2.5 * | 7.32 ± 0.53 | 1.91 ± 0.15 * | 46.21 ± 3.2 * | 61.08 ± 3.5 * | 15.77 ± 0.5 * | 
| Pz2-19C | 2.32 ± 0.07 | 345.0 ± 10.8 * | 150.0 ± 0.0 * | 60.29 ± 2.0 | 7.21 ± 0.49 | 1.59 ± 0.12 | 47.52 ± 0.4 * | 56.77 ± 3.2 * | 15.34 ± 2.4 * | 
| Pz1-20 | 2.50 ± 0.05 | 375.0 ± 19.6 | 196.8 ± 22.6 | 62.71 ± 0.5 | 6.88 ± 0.49 | 1.19 ± 0.11 | 42.58 ± 1.2 * | 40.83 ± 1.9 * | 15.11 ± 0.6 * | 
| ♀Pz1-20 | 2.55 ± 0.05 | 385.0 ± 12.9 | 194.8 ± 17.04 | 63.55 ± 0.8 | 7.70 ± 0.20 | 1.14 ± 0.21 | 43.85 ± 1.2 * | 46.68 ± 4.1 * | 15.74 ± 1.3 * | 
| Pz2-20 | 2.51 ± 0.07 | 352.5 ± 8.7 * | 161.3 ± 26.3 * | 63.73 ± 1.9 | 7.23 ± 0.48 | 1.23 ± 0.12 | 46.76 ±1.1 * | 49.34 ± 9.6 * | 15.34 ± 0.5 * | 
| ♀Pz2-20 | 2.43 ± 0.02 | 365.0 ± 10.0 | 205.0 ± 13.21 | 62.79 ± 1.2 | 7.56 ± 0.42 | 1.61 ± 0.24 | 40.85 ± 0.4 * | 39.08 ± 6.4 * | 15.82 ± 0.3 * | 
| Pz1-21 | 2.38 ± 0.07 | 351.3 ± 2.5 * | 160.0± 14.1 * | 63.97 ± 4.0 | 7.32 ± 0.53 | 1.52 ± 0.30 | 42.38 ± 2.3 * | 47.68 ± 2.7 * | 15.55 ± 0.3 * | 
| Pz2-21 | 2.41 ± 0.06 | 356.3 ± 8.5 | 163.5 ± 16.3 * | 64.17 ± 2.9 | 6.96 ± 0.80 | 1.76 ± 0.41 * | 40.4 ± 5.6 * | 41.53 ± 1.9 * | 13.21 ± 2.5 * | 
| CACC | 2.45 ± 0.05 | 377.5 ± 8.7 | 198.8 ± 22.5 | 62.38 ± 1.0 | 7.50 ± 0.39 | 1.41 ± 0.19 | 62.48 ± 2.4 | 88.72 ± 2.8 | 17.21 ± 2.6 | 
| Raw Grain | Flowered Grain Without Pedicel | Flowered Grain With Pedicel | |||||||||||
|---|---|---|---|---|---|---|---|---|---|---|---|---|---|
| FI | L | Hue | Chroma | TA | L | Hue | Chroma | TA | L | Hue | Chroma | TA | |
| FI | 1 | 0.304 | 0.750 * | −0.279 | 0.748 * | −0.757 * | −0.819 * | −0.053 | 0.754 * | −0.506 * | −0.748 * | −0.150 | 0.730 * | 
| L | 1 | 0.274 | 0.202 | 0.015 | 0.022 | −0.125 | −0.264 | 0.225 | −0.192 | −0.027 | −0.150 | 0.052 | |
| Hue | 1 | −0.317 | 0.734 * | −0.678 * | −0.539 * | −0.603 * | 0.896 * | −0.612 * | −0.692 * | −0.243 | 0.776 * | ||
| Chroma | 1 | −0.252 | −0.066 | 0.222 | 0.323 | −0.278 | −0.064 | 0.263 | −0.253 | −0.542 * | |||
| TA | 1 | 0.760 * | −0.830 * | −0.214 | 0.860 * | −0.658 * | −0.840 * | −0.488 * | 0.831 * | ||||
| LWOP | 1 | 0.722 * | −0.034 | −0.719 * | 0.586 * | 0.716 * | 0.554 * | −0.562 * | |||||
| HueWOP | 1 | −0.142 | −0.747 * | 0.683 * | 0.829 * | 0.434 | −0.804 * | ||||||
| ChromaWOP | 1 | −0.428 | 0.166 | 0.082 | −0.184 | −0.343 | |||||||
| ATWOP | 1 | −0.793 * | −0.882 * | −0.437 | 0.902 * | ||||||||
| LWP | 1 | 0.833 * | 0.477 * | −0.713 * | |||||||||
| HueWP | 1 | 0.431 | −0.852 * | ||||||||||
| ChromaWP | 1 | −0.351 | |||||||||||
| TAWP | 1 | ||||||||||||
| Without Pedicel | With Pedicel | |||||||
|---|---|---|---|---|---|---|---|---|
| TSPn | TSPw | TSPb | TAb | TSPn | TSPw | TSPb | TAb | |
| Pz1-19 | 316.84 ± 6.2 aA | 215.89 ± 7.8 aA | 192.73 ± 25.0 abcA | 5.14 ±0.2 dA | 292.50 ± 5.6 bA | 170.67 ± 104 abB | 263.93 ± 43.8 aA | 4.25 ± 0.1 cB | 
| Pz2-19 | 314.71 ± 3.6 aA | 200.59 ± 15.6 aA | 156.55 ± 6.2 bcB | 8.00 ± 1.7 cdA | 308.02 ± 3.3 abA | 145.13 ± 2.4 abB | 197.82 ± 2.5 aA | 6.17 ± 0.4 abcA | 
| Pz1-19C | 324.74 ± 13.4 aA | 230.00 ± 2.2 aA | 160.45 ± 6.1 bcB | 5.04 ± 0.1 dA | 314.49 ± 66.7 abA | 154.39 ± 1.0 abB | 202.73 ± 9.4 aA | 4.46 ± 0.01 bcB | 
| Pz2-19C | 306.55 ± 0.6 aA | 195.59 ± 1.4 aA | 152.82 ± 6.5 cB | 7.77 ± 0.9 cdA | 296.84 ± 3.1 bB | 154.88 ± 1.9 abB | 197.55 ± 7.3 aA | 6.59 ± 0.3 abcA | 
| Pz1-20 | 316.79 ± 3.1 aB | 191.5 ± 16.2 aA | 201.38 ± 11.7 abA | 12.27 ± 0.2 abA | 347.24 ± 6.7 aA | 136.50 ± 6.5 abB | 203.80 ±7.4 aA | 7.27 ± 0.8 abcB | 
| ♀Pz1-20 | 309.74 ± 6.5 aA | 201.35 ± 3.5 aA | 209.25 ± 7.4 aA | 12.76 ± 0.1 abA | 316.57 ± 19.7 abA | 133.85 ± 6.7 bB | 234.96 ± 37.9 aA | 8.46 ± 0.9 aB | 
| Pz2-20 | 316.06 ± 1.3 aA | 197.53 ± 4.2 aA | 196.79 ± 10.6 A | 11.00 ± 0.6 bcA | 309.74 ± 3.5 abA | 175.42 ± 9.9 abA | 239.78 ± 41.3 aA | 7.01 ± 2.1 abcA | 
| ♀Pz2-20 | 324.78 ± 24.7 aA | 208.85 ± 23.7 aA | 188.04 ± 5.9 abcA | 14.90 ± 0.2 aA | 327.75 ± 2.8 abA | 159.88 ±26.2 abA | 212.28 ± 28.2 aA | 8.14 ± 0.7 abB | 
| Pz1-21 | 297.24 ± 7.1 aA | 193.78 ± 17.8 aA | 198.03 ± 7.6 abcB | 10.30 ± 2.4 bcA | 321.35 ± 22.9 abA | 175.32 ± 5.9 abA | 239.39 ± 10.1 aA | 5.82 ± 0.9 abcB | 
| Pz2-21 | 298.36 ± 10.2 aA | 179.81 ± 22.8 aA | 190.15 ± 17.7 abcA | 9.94 ± 0.7 bcA | 306.45 ± 3.1 bA | 145.18 ± 5.8 abA | 226.70 ± 41.1 aA | 6.34 ± 1.7 abcB | 
| CACC | 321.25 ± 1.5 aA | 220.76 ± 3.33 aA | 167.41 ± 9.1 abcB | 0.0 ± 0.0 eA | 297.43 ± 7.8 bA | 178.90 ± 17.3 aA | 205.54 ± 20.9 aA | 0.0 ± 0.0 dA | 
| HSD | 38.72 | 52.44 | 46.8 | 3.88 | 40.34 | 44.05 | 108.8 | 3.82 | 
| Disclaimer/Publisher’s Note: The statements, opinions and data contained in all publications are solely those of the individual author(s) and contributor(s) and not of MDPI and/or the editor(s). MDPI and/or the editor(s) disclaim responsibility for any injury to people or property resulting from any ideas, methods, instructions or products referred to in the content. | 
© 2023 by the authors. Licensee MDPI, Basel, Switzerland. This article is an open access article distributed under the terms and conditions of the Creative Commons Attribution (CC BY) license (https://creativecommons.org/licenses/by/4.0/).
Share and Cite
García-Cruz, L.; Vázquez-Carrillo, M.G.; Preciado-Ortiz, R.E. Flowered Grain Quality and Phytochemical Content of Non-Conventional Maize Hybrids from the Mexican Subtropics across Three Growing Cycles. Plants 2023, 12, 2691. https://doi.org/10.3390/plants12142691
García-Cruz L, Vázquez-Carrillo MG, Preciado-Ortiz RE. Flowered Grain Quality and Phytochemical Content of Non-Conventional Maize Hybrids from the Mexican Subtropics across Three Growing Cycles. Plants. 2023; 12(14):2691. https://doi.org/10.3390/plants12142691
Chicago/Turabian StyleGarcía-Cruz, Leticia, María Gricelda Vázquez-Carrillo, and Ricardo Ernesto Preciado-Ortiz. 2023. "Flowered Grain Quality and Phytochemical Content of Non-Conventional Maize Hybrids from the Mexican Subtropics across Three Growing Cycles" Plants 12, no. 14: 2691. https://doi.org/10.3390/plants12142691
APA StyleGarcía-Cruz, L., Vázquez-Carrillo, M. G., & Preciado-Ortiz, R. E. (2023). Flowered Grain Quality and Phytochemical Content of Non-Conventional Maize Hybrids from the Mexican Subtropics across Three Growing Cycles. Plants, 12(14), 2691. https://doi.org/10.3390/plants12142691
 
        


 
       