Study on Potato Bud Cultivation Techniques in a Greenhouse in Spring
Abstract
:1. Introduction
2. Results
2.1. The Effect of Bud Planting on the Emergence Rate of Potatoes
2.2. The Effect of Bud Planting on the Growth of Potatoes
2.3. Effects of Bud Planting on Chlorophyll Content and Net Photosynthetic Rate of Potatoes
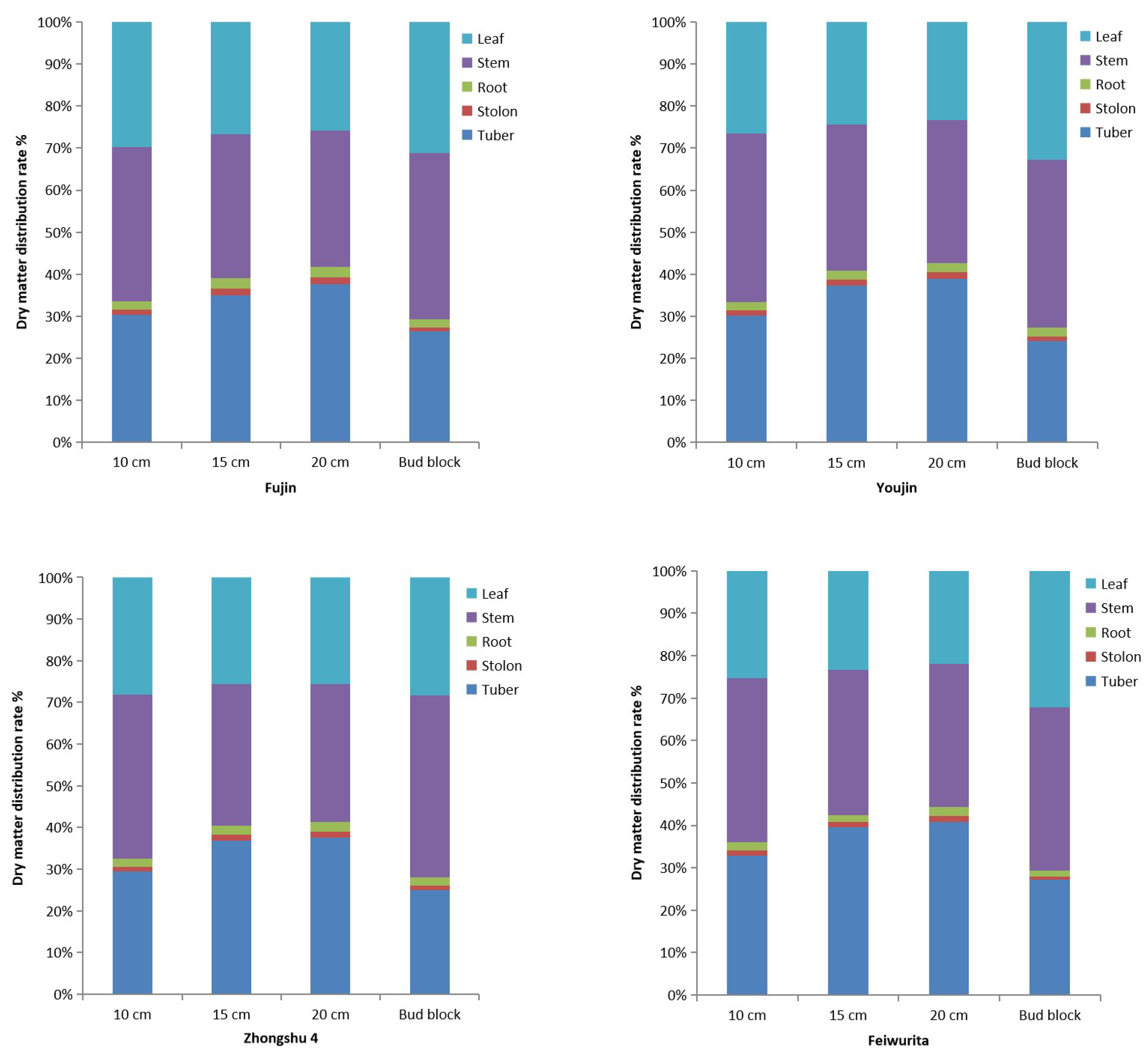
2.4. Distribution of Dry Matter during the Bulking Period of Potato Block in Bud Planting
2.5. The Effect of Direct Planting of Potato Buds on Early Maturity and Yield of Potatoes
2.6. The Effect of Different Potato Bud Direct Planting Treatments on the Quality of Potatoes
3. Discussion
4. Materials and Methods
4.1. Plant Materials and Growth Conditions
4.2. Potato Bud Treatment
- (1)
- Direct cultivation of potato buds with varying lengths: There were three potato bud length treatments: 10 cm, 15 cm, and 20 cm. Virus-free seed potatoes that were of the same size, robust, and beyond the dormancy period were selected, and germination was induced under dark conditions. When the length of the potato buds reached 10 cm (16–18 d), 15 cm (22–24 d), and 20 cm (28–30 d) (Supplementary Figure S2A), the top buds were broken off from the base of the potato and kept moist.
- (2)
- Direct cultivation of potato buds broken off from different positions: Three treatments were established. The positions included the top bud (the bud at the top of the seed potato), middle bud (the bud in the middle of the seed potato), and tail bud (the bud at the bottom of the seed potato, also known as the base bud) of the potato (Supplementary Figure S2B). When the length of the potato bud was 15 cm (22–24 d), the bud was broken from the base of the potato, and the broken potato bud received the same treatment as in (1).
- (3)
- Direct sowing of buds: The treatment of seed potatoes was the same as in (1). When the buds were 1–2 cm long, the buds were grown under scattered light for 2–3 days, and the seed potatoes were cut into bud tubers weighing approximately 20 g [35].
4.3. Measurement of Various Indicators for Potato Sprouting
- (1)
- Determination of growth indicators included [root-to-shoot ratio] = underground dry weight/aboveground dry weight; [strong seedling index] = (stem diameter/plant height + underground dry weight/aboveground dry weight) × whole plant dry weight; chlorophyll content was determined by the mixed extraction method using acetone and ethanol; root activity was measured using the TTC (triphenyltetrazolium chloride, TTC) method [31]; and photosynthetic parameters, including net photosynthetic rate, transpiration rate, stomatal conductance, and intercellular CO2 concentration, were measured using a portable photosynthetic instrument Li6400. The measured position was the third leaf below the growth node [36]. The above indicator values were averaged over 5 samples.
- (2)
- Potato quality assessment through the determination of potato fresh matter quality indicators: these indicators included the determination of crude protein content by Coomassie brilliant blue staining [37]; reducing sugar content was determined by 3,5-dinitrosalicylic acid colorimetry [38]; starch content was determined using the anthrone sulfuric acid method [39]; and the content of vitamin C was determined using the molybdenum blue colorimetric method [40]. And the content of chlorophyll was determined by acetone extraction [41].
4.4. Experimental Design and Statistical Analysis
5. Conclusions
Supplementary Materials
Author Contributions
Funding
Data Availability Statement
Acknowledgments
Conflicts of Interest
References
- Stokstad, E. The New Potato. Science 2019, 363, 574–577. [Google Scholar] [CrossRef]
- Birch, P.R.J.; Bryan, G.; Fenton, B.; Gilroy, E.M.; Hein, I.; Jones, J.T.; Prashar, A.; Taylor, M.A.; Torrance, L.; Toth, I.K. Crops that feed the world 8: Potato: Are the trends of increased global production sustainable? Food Secur. 2012, 4, 477–508. [Google Scholar] [CrossRef]
- Yu, B.; Yin, L.; Mao, X. A New Cultivated Technique of Rehmannia glutinosa by Sprout Cutting. J. Chin. Med. Mater. 1999, 2, 55–56. (In Chinese) [Google Scholar]
- Wen, X.; Li, Y.; Chen, H. Research Progress of Rehmannia Cultivation. J. Chin. Med. Mater. 2000, 23, 427–429. (In Chinese) [Google Scholar]
- Li, B. Preliminary Observation on Utilization of Potato By-Bud in Gongzhuling Area. Sci. Agric. Sin. 1962, 6, 44–45. (In Chinese) [Google Scholar]
- Li, J. Potato Bud Planting Test was Successful. Sci. Agric. Sin. 1959, 3, 106. (In Chinese) [Google Scholar]
- Yang, Y.; Li, D. Preliminary Report on Potato Bud Transplanting and Transplanting Experiment. Xinjiang Agric. Sci. 1961, Z1, 30–31. (In Chinese) [Google Scholar]
- Liu, R. Experimental Study on Potato Bud Planting in Wuhan Area. Sci. Agric. Sin. 1962, 3, 43–44. (In Chinese) [Google Scholar]
- Zhang, G. Potato Seedling Transplanting Technology. Anhui Agric. Bull. 2012, 18, 65. (In Chinese) [Google Scholar]
- Liu, M.; Men, F.; Cheng, H.; Guo, S.; Li, S. The Investigation of Physiological Effect on The Potato Seed Tuber of Different Bud-Age. Chin. Potato J. 1990, 4, 193–200. (In Chinese) [Google Scholar]
- Lu, Q.; Jiang, X. The Effect of Sprout Length of Seed Tubers on Growth and Yield in the Potato Crop. Chin. Potato J. 1992, 2, 76–81. (In Chinese) [Google Scholar]
- Li, Z. Potato Seedling Multiple Bud Planting Method. Mod. Agric. 1982, 4, 16–17. (In Chinese) [Google Scholar]
- Luo, Y.; Jin, S. Potato Bud Planting Method. China State Farm 1960, 7, 23. (In Chinese) [Google Scholar]
- Xiong, Y.; Liu, Y.; Ma, J. Potato Virus-Free Seed Potato Efficient Seedling Rapid Propagation Technology. Shaanxi J. Agric. Sci. 2010, 56, 258. (In Chinese) [Google Scholar]
- Fu, Z. Mechanism and Technology of Increasing Yield of Potato Seedling Transplanting. Yunnan Agric. 2002, 6, 7. (In Chinese) [Google Scholar]
- Wang, C.; Du, C.; Yang, Z.; Wang, H.; Shang, L.; Liu, L.; Yang, Z.; Song, S.; Amanullah, S. Study on The Cultivation of Seedlings Using Buds of Potato (Solanum tuberosum L.). PeerJ 2022, 10, e13804. [Google Scholar] [CrossRef] [PubMed]
- He, T. Technology of Transplanting and Propagation of Potato by Breaking Seedlings for Many Times. China Potato 1997, 1, 25–26. (In Chinese) [Google Scholar]
- Abeuova, L.S.; Kali, B.R.; Rakhimzhanova, A.O.; Bekkuzhina, S.S.; Manabayeva, S.A. High frequency direct shoot regeneration from Kazakh commercial potato cultivars. PeerJ 2020, 8, e9447. [Google Scholar] [CrossRef]
- Tessema, G.L.; Mohammed, A.W.; Abebe, D.T. Genetic variability studies for tuber yield and yield attributes in Ethiopian released potato (Solanum tuberosum L.) varieties. PeerJ 2022, 10, e12860. [Google Scholar] [CrossRef] [PubMed]
- Gumbo, N.; Magwaza, L.S.; Ngobese, N.Z. Evaluating Ecologically Acceptable Sprout Suppressants for Enhancing Dormancy and Potato Storability: A Review. Plants 2021, 10, 2307. [Google Scholar] [CrossRef] [PubMed]
- Hartmann, A.; Senning, M.; Hedden, P.; Sonnewald, U.; Sonnewald, S. Reactivation of meristem activity and sprout growth in potato tubers require both cytokinin and gibberellin. Plant Physiol. 2011, 155, 776–796. [Google Scholar] [CrossRef] [PubMed]
- Xia, X.; Dong, H.; Yin, Y.; Song, X.; Gu, X.; Sang, K.; Zhou, J.; Shi, K.; Zhou, Y.; Foyer, C.H.; et al. Brassinosteroid signaling integrates multiple pathways to release apical dominance in tomato. Proc. Natl. Acad. Sci. USA 2021, 118, e2004384118. [Google Scholar] [CrossRef] [PubMed]
- Brazinskiene, V.; Asakaviciute, R.; Miezeliene, A.; Alencikiene, G.; Ivanauskas, L.; Jakstas, V.; Viskelis, P.; Razukas, A. Effect of farming systems on the yield, quality parameters and sensory properties of conventionally and organically grown potato (Solanum tuberosum L.) tubers. Food Chem. 2014, 145, 903–909. [Google Scholar] [CrossRef] [PubMed]
- Kondhare, K.R.; Natarajan, B.; Banerjee, A.K. Molecular signals that govern tuber development in potato. Int. J. Dev. Biol. 2020, 64, 133–140. [Google Scholar] [CrossRef] [PubMed]
- Ahmad, D.; Zhang, Z.; Rasheed, H.; Xu, X.; Bao, J. Recent Advances in Molecular Improvement for Potato Tuber Traits. Int. J. Mol. Sci. 2022, 23, 639–649. [Google Scholar] [CrossRef] [PubMed]
- Saidi, A.; Hajibarat, Z. Phytohormones: Plant switchers in developmental and growth stages in potato. J. Genet. Eng. Biotechnol. 2021, 19, 89. [Google Scholar] [CrossRef] [PubMed]
- Zhou, H.; Wu, X.; Li, W. Study on the Effect of Different Seedling Raising Methods on Cucumber Yield in Autumn Open Field. Bull. Agric. Sci. Technol. 2014, 2, 109–110. (In Chinese) [Google Scholar]
- Bártová, V.; Bárta, J.; Jarošová, M. Antifungal and antimicrobial proteins and peptides of potato (Solanum tuberosum L.) tubers and their applications. Appl. Microbiol. Biotechnol. 2019, 103, 5533–5547. [Google Scholar] [CrossRef]
- Orawetz, T.; Malinova, I.; Orzechowski, S.; Fettke, J. Reduction of the plastidial phosphorylase in potato (Solanum tuberosum L.) reveals impact on storage starch structure during growth at low temperature. Plant Physiol. Biochem. 2016, 100, 141–149. [Google Scholar] [CrossRef] [PubMed]
- Li, C.Y.; Li, L.; Qi, L.P.; Guo, X.M.; Gong, X.C.; Liu, Y.Q.; Zhao, Y.; Song, Y.H. Effects of shading on photosynthetic characteristics and yield at different growth stages of potato. Ying Yong Sheng Tai Xue Bao 2020, 31, 4147–4152. [Google Scholar]
- Qiu, J.; Guo, H.; Xue, Y.; Liu, Q.; Xu, Z.; He, L. Rapid detection of chemical oxygen demand, pH value, total nitrogen, total phosphorus, and ammonia nitrogen in biogas slurry by near infrared spectroscopy. Anal. Methods 2023, 31, 3902–3914. [Google Scholar] [CrossRef] [PubMed]
- Meng, C.; Liu, H.; Wang, Y.; Li, Y.; Zhou, J.; Zhou, P.; Liu, X.; Li, Y.; Wu, J. Response of regional agricultural soil phosphorus status to net anthropogenic phosphorus input (NAPI) determined by soil pH value and organic matter content in subtropical China. Chemosphere 2018, 200, 487–494. [Google Scholar] [CrossRef]
- Zhao, Y.; Yan, C.; Hu, F.; Luo, Z.; Zhang, S.; Xiao, M.; Chen, Z.; Fan, H. Intercropping Pinto Peanut in Litchi Orchard Effectively Improved Soil Available Potassium Content, Optimized Soil Bacterial Community Structure, and Advanced Bacterial Community Diversity. Front. Microbiol. 2022, 13, 868312. [Google Scholar] [CrossRef] [PubMed]
- Zhang, W.; Wang, X.; Wang, S. Addition of external organic carbon and native soil organic carbon decomposition: A meta-analysis. PLoS ONE 2013, 8, e54779. [Google Scholar] [CrossRef] [PubMed]
- Wang, X.; Zhang, W.; Hao, Z.; Li, X.; Zhang, Y.; Wang, S. Principles and Techniques of Plant Physiological Biochemical Experiment. Sci. Agric. Sin. 2006, 16, 118–119. (In Chinese) [Google Scholar]
- Yang, M.-H.; Lei, Z.; Xu, S.-T.; McLaughlin, N.B.; Liu, J.-H. Effect of water soluble humic acid applied to potato foliage on plant growth, photosynthesis characteristics and fresh tuber yield under different water deficits. Sci. Rep. 2020, 10, 7854. [Google Scholar]
- Gao, J.; Wang, Q.; Luo, S. Study on Improved Protein Electrophoresis Coomassie Brilliant Blue Staining Method. Biotechnol. Bull. 2014, 9, 58–64. (In Chinese) [Google Scholar]
- Craig, A.L.; Morrison, I.; Baird, E.; Waugh, R.; Coleman, M.; Davie, P.; Powell, W. Expression of reducing sugar accumulation in interspecific somatic hybrids of potato. Plant Cell Rep. 1994, 13, 401–405. [Google Scholar] [CrossRef] [PubMed]
- Wang, R.; Liu, P.; Cui, B.; Kang, X.; Yu, B. Effects of different treatment methods on properties of potato starch-lauric acid complex and potato starch-based films. Int. J. Biol. Macromol. 2019, 124, 34–40. [Google Scholar] [CrossRef] [PubMed]
- Ntagkas, N.; Woltering, E.; Bouras, S.; de Vos, R.C.; Dieleman, J.A.; Nicole, C.C.; Labrie, C.; Marcelis, L.F. Light-Induced Vitamin C Accumulation in Tomato Fruits is Independent of Carbohydrate Availability. Plants 2019, 8, 86. [Google Scholar] [CrossRef] [PubMed]
- Park, M.H.; Sangwanangkul, P.; Baek, D.R. Changes in carotenoid and chlorophyll content of black tomatoes (Lycopersicone sculentum L.) during storage at various temperatures. Saudi J. Biol. Sci. 2018, 25, 57–65. [Google Scholar] [CrossRef]
- Duricki, D.A.; Soleman, S.; Moon, L.D. Analysis of longitudinal data from animals with missing values using SPSS. Nat. Protoc. 2016, 11, 1112–1129. [Google Scholar] [CrossRef] [PubMed]


| Treatment | Fujin | Youjin | Zhongshu 4 | Feiwurita |
|---|---|---|---|---|
| Top bud | 98.18 ± 0.23 a | 98.09 ± 0.16 a | 98.26 ± 0.14 a | 98.56 ± 0.06 a |
| Middle bud | 97.46 ± 0.13 b | 97.53 ± 0.20 b | 97.40 ± 0.09 b | 97.92 ± 0.10 b |
| Tail bud | 92.03 ± 0.17 d | 91.07 ± 0.14 d | 94.39 ± 0.13 d | 93.45 ± 0.10 d |
| Bud block | 94.23 ± 0.17 c | 94.37 ± 0.14 c | 96.19 ± 0.13 c | 96.05 ± 0.10 c |
| Treatment | Fujin | Youjin | Zhongshu 4 | Feiwurita |
|---|---|---|---|---|
| Bud length 10 cm | 97.45 ± 0.16 b | 96.44 ± 0.14 b | 97.19 ± 0.10 b | 97.29 ± 0.08 b |
| Bud length 15 cm | 98.18 ± 0.18 a | 98.09 ± 0.13 a | 98.26 ± 0.11 a | 98.56 ± 0.14 a |
| Bud length 20 cm | 96.27 ± 0.07 c | 95.09 ± 0.10 c | 96.92 ± 0.14 b | 96.84 ± 0.06 c |
| Bud block | 94.23 ± 0.03 d | 94.37 ± 0.20 d | 96.19 ± 0.20 c | 96.05 ± 0.06 d |
| Treatment | Plant Height (cm) | Stem Diameter (mm) | Number of Compound Leaves (Piece) | ||||
|---|---|---|---|---|---|---|---|
| Seedling Stage | Expansion Period | Seedling Stage | Expansion Period | Seedling Stage | Expansion Period | ||
| Fujin | Top bud | 10.27 ± 0.10 e | 67.89 ± 0.19 i | 10.14 ± 0.11 cd | 16.74 ± 0.11 a | 6.34 ± 0.14 d | 29.36 ± 0.19 cd |
| Middle bud | 10.02 ± 0.10 f | 65.90 ± 0.13 j | 9.88 ± 0.09 de | 16.07 ± 0.11 c | 6.17 ± 0.09 de | 28.74 ± 0.20 efg | |
| Tail bud | 9.25 ± 0.09 g | 62.19 ± 0.13 l | 8.30 ± 0.17 gh | 14.16 ± 0.11 h | 5.81 ± 0.10 f | 27.40 ± 0.16 j | |
| Bud block | 8.01 ± 0.07 h | 58.29 ± 0.12 n | 7.27 ± 0.16 i | 13.24 ± 0.11 k | 4.90 ± 0.09 i | 27.89 ± 0.18 i | |
| Youjin | Top bud | 12.08 ± 0.09 a | 78.12 ± 0.06 a | 9.86 ± 0.14 de | 15.70 ± 0.08 d | 7.38 ± 0.06 a | 32.56 ± 0.14 a |
| Middle bud | 11.87 ± 0.10 a | 76.46 ± 0.18 c | 9.54 ± 0.23 ef | 14.96 ± 0.06 f | 7.02 ± 0.11 b | 31.28 ± 0.17 b | |
| Tail bud | 11.20 ± 0.12 b | 73.57 ± 0.19 e | 8.12 ± 0.13 h | 13.87 ± 0.10 i | 6.71 ± 0.15 c | 28.90 ± 0.12 ef | |
| Bud block | 10.57 ± 0.12 d | 70.18 ± 0.10 g | 7.14 ± 0.17 i | 12.74 ± 0.10 l | 5.84 ± 0.15 f | 29.02 ± 0.12 de | |
| Zhongshu 4 | Top bud | 10.56 ± 0.17 d | 70.18 ± 0.10 g | 10.84 ± 0.16 a | 16.80 ± 0.12 a | 6.27 ± 0.15 d | 29.04 ± 0.11 de |
| Middle bud | 10.03 ± 0.11 f | 68.57 ± 0.22 h | 10.41 ± 0.23 bc | 16.06 ± 0.05 c | 6.17 ± 0.08 de | 28.24 ± 0.15 h | |
| Tail bud | 9.07 ± 0.10 g | 65.29 ± 0.12 k | 9.56 ± 0.27 ef | 14.67 ± 0.08 g | 5.74 ± 0.23 fg | 27.18 ± 0.13 j | |
| Bud block | 8.16 ± 0.09 h | 60.44 ± 0.14 m | 8.27 ± 0.15 gh | 13.49 ± 0.12 j | 5.32 ± 0.11 h | 27.45 ± 0.17 j | |
| Feiwurita | Top bud | 11.35 ± 0.07 b | 77.20 ± 0.13 b | 10.68 ± 0.10 ab | 16.29 ± 0.10 b | 6.39 ± 0.11 d | 30.98 ± 0.18 b |
| Middle bud | 10.94 ± 0.08 c | 75.03 ± 0.09 d | 10.15 ± 0.12 cd | 15.40 ± 0.09 e | 5.27 ± 1.35 h | 29.45 ± 0.19 c | |
| Tail bud | 10.18 ± 0.09 ef | 72.14 ± 0.12 f | 9.36 ± 0.13 f | 14.02 ± 0.07 hi | 5.94 ± 0.10 ef | 28.43 ± 0.17 gh | |
| Bud block | 9.25 ± 0.14 g | 68.04 ± 0.11 i | 8.49 ± 0.09 g | 12.62 ± 0.12 l | 5.47 ± 0.18 gh | 28.63 ± 0.13 fg | |
| Treatment | Plant Height (cm) | Stem Diameter (mm) | Number of Compound Leaves (Piece) | ||||
|---|---|---|---|---|---|---|---|
| Seedling Stage | Expansion Period | Seedling Stage | Expansion Period | Seedling Stage | Expansion Period | ||
| Fujin | Bud length 10 cm | 9.15 ± 0.15 g | 61.17 ± 2.3 hi | 9.25 ± 0.11 h | 14.01 ± 0.4 d | 5.72 ± 0.16 ef | 28.75 ± 0.13 gh |
| Bud length 15 cm | 10.27 ± 0.09 f | 67.89 ± 3.2 fg | 10.14 ± 0.14 f | 16.74 ± 0.8 abc | 6.34 ± 0.18 d | 29.36 ± 0.19 f | |
| Bud length 20 cm | 11.09 ± 0.09 d | 75.15 ± 2.8 cde | 11.04 ± 0.16 cd | 17.15 ± 0.8 ab | 7.21 ± 0.16 bc | 30.45 ± 0.16 e | |
| Bud block | 8.01 ± 0.07 h | 58.29 ± 1.8 i | 7.27 ± 0.10 k | 13.24 ± 0.5 de | 4.90 ± 0.12 h | 27.89 ± 0.18 i | |
| Youjin | Bud length 10 cm | 11.27 ± 0.15 cd | 73.24 ± 2.5 cdef | 8.77 ± 0.09 i | 13.62 ± 0.5 de | 6.54 ± 0.14 d | 31.14 ± 0.05 d |
| Bud length 15 cm | 12.08 ± 0.09 b | 78.12 ± 2.0 bc | 9.86 ± 0.12 g | 15.70 ± 0.4 c | 7.38 ± 0.07 b | 32.56 ± 0.14 b | |
| Bud length 20 cm | 13.14 ± 0.16 a | 84.27 ± 2.4 a | 11.25 ± 0.15 c | 16.23 ± 0.7 bc | 8.02 ± 0.10 a | 33.27 ± 0.16 a | |
| Bud block | 10.57 ± 0.07 e | 70.18 ± 2.4 efg | 7.14 ± 0.14 k | 12.74 ± 0.4 e | 5.84 ± 0.12 e | 29.02 ± 0.12 fg | |
| Zhongshu 4 | Bud length 10 cm | 9.07 ± 0.09 g | 65.34 ± 2.2 gh | 9.60 ± 0.15 g | 14.12 ± 0.3 d | 5.88 ± 0.14 e | 28.45 ± 0.08 h |
| Bud length 15 cm | 10.56 ± 0.16 e | 70.18 ± 2.1 efg | 10.84 ± 0.09 de | 16.80 ± 0.4 abc | 6.27 ± 0.13 d | 29.04 ± 0.11 fg | |
| Bud length 20 cm | 11.47 ± 0.17 c | 76.80 ± 2.6 bcd | 12.06 ± 0.09 a | 17.56 ± 0.4 a | 7.03 ± 0.15 c | 31.69 ± 0.13 c | |
| Bud block | 8.16 ± 0.11 h | 60.24 ± 3.0 hi | 8.27 ± 0.15 j | 13.49 ± 0.4 de | 5.32 ± 0.11 g | 27.45 ± 0.17 j | |
| Feiwurita | Bud length 10 cm | 10.04 ± 0.12 f | 72.15 ± 2.1 def | 9.09 ± 0.11 jh | 13.80 ± 0.2 de | 5.98 ± 0.07 e | 29.75 ± 0.20 f |
| Bud length 15 cm | 11.35 ± 0.06 cd | 77.2 ± 2.0 bcd | 10.68 ± 0.12 e | 16.29 ± 0.4 bc | 6.39 ± 0.09 d | 30.98 ± 0.18 d | |
| Bud length 20 cm | 12.1 ± 0.16 b | 81.56 ± 2.6 ab | 11.72 ± 0.14 b | 17.43 ± 0.4 ab | 7.08 ± 0.10 c | 31.56 ± 0.22 c | |
| Bud block | 9.25 ± 0.14 g | 68.04 ± 1.5 fg | 8.49 ± 0.10 j | 12.62 ± 0.3 e | 5.47 ± 0.14 fg | 28.63 ± 0.13 h | |
| Treatments | Chlorophyll Content (mg/g) | Photosynthetic Rate (Pn) (μmolCO2·m−2·s−1) | |||
|---|---|---|---|---|---|
| Seedling Stage | Expansion Period | Seedling Stage | Expansion Period | ||
| Fujin | Top bud | 2.25 ± 0.15 bc | 3.92 ± 0.07 b | 12.98 ± 0.06 e | 19.21 ± 0.12 e |
| Middle bud | 2.17 ± 0.12 bcd | 3.80 ± 0.08 bc | 12.60 ± 0.11 ef | 18.82 ± 0.09 g | |
| Tail bud | 1.92 ± 0.07 e | 3.42 ± 0.10 de | 11.39 ± 0.06 h | 17.90 ± 0.08 j | |
| Bud block | 1.40 ± 0.10 fg | 3.06 ± 0.07 f | 10.63 ± 0.10 j | 16.31 ± 0.07 l | |
| Youjin | Top bud | 2.17 ± 0.11 bcd | 3.80 ± 0.12 bc | 12.04 ± 0.08 g | 19.01 ± 0.07 f |
| Middle bud | 1.98 ± 0.06 de | 3.60 ± 0.10 cd | 12.71 ± 0.09 f | 18.63 ± 0.07 h | |
| Tail bud | 1.60 ± 0.09 f | 3.34 ± 0.06 e | 11.34 ± 0.10 h | 17.44 ± 0.09 k | |
| Bud block | 1.32 ± 0.05 g | 2.80 ± 0.11 g | 10.14 ± 0.09 k | 15.80 ± 0.07 m | |
| Zhongshu 4 | Top bud | 2.84 ± 0.09 a | 4.52 ± 0.07 a | 13.87 ± 0.16 c | 19.71 ± 0.07 c |
| Middle bud | 2.66 ± 0.05 a | 4.37 ± 0.12 a | 13.28 ± 0.18 d | 19.40 ± 0.07 d | |
| Tail bud | 2.13 ± 0.12 cde | 3.97 ± 0.06 b | 12.23 ± 0.14 g | 18.52 ± 0.12 hi | |
| Bud block | 1.59 ± 0.10 f | 3.31 ± 0.07 e | 10.98 ± 0.11 i | 17.33 ± 0.09 k | |
| Feiwurita | Top buds | 2.39 ± 0.15 b | 3.94 ± 0.09 b | 14.62 ± 0.16 a | 21.34 ± 0.08 a |
| Middle bud | 2.17 ± 0.12 bcd | 3.80 ± 0.08 bc | 14.21 ± 0.14 b | 20.81 ± 0.09 b | |
| Tail bud | 1.92 ± 0.08 e | 3.50 ± 0.12 de | 13.20 ± 0.13 de | 19.90 ± 0.15 c | |
| Bud block | 1.47 ± 0.11 fg | 2.98 ± 0.05 fg | 11.19 ± 0.13 hi | 18.41 ± 0.09 i | |
| Treatment | Chlorophyll Content (mg/g) | Photosynthetic Rate (Pn) (μmolCO2·m−2·s−1) | |||
|---|---|---|---|---|---|
| Seedling Stage | Expansion Period | Seedling Stage | Expansion Period | ||
| Fujin | Bud length 10 cm | 1.92 ± 0.08 hi | 3.37 ± 0.12 f | 11.30 ± 0.06 g | 18.11 ± 0.22 e |
| Bud length 15 cm | 2.25 ± 0.11 efg | 3.92 ± 0.17 de | 12.98 ± 0.04 d | 19.20 ± 0.15 cd | |
| Bud length 20 cm | 2.63 ± 0.08 bcd | 4.21 ± 0.06 c | 13.78 ± 0.09 e | 19.60 ± 0.23 c | |
| Bud block | 1.40 ± 0.14 k | 3.06 ± 0.08 h | 10.63 ± 0.06 i | 16.31 ± 0.13 g | |
| Youjin | Bud length 10 cm | 1.84 ± 0.14 ij | 3.14 ± 0.11 gh | 11.28 ± 0.13 gh | 17.32 ± 0.18 f |
| Bud length 15 cm | 2.17 ± 0.11 fgh | 3.80 ± 0.08 e | 12.04 ± 0.04 f | 19.01 ± 0.18 d | |
| Bud length 20 cm | 2.50 ± 0.13 cde | 4.05 ± 0.07 cd | 12.97 ± 0.05 e | 19.44 ± 0.09 cd | |
| Bud block | 1.32 ± 0.15 k | 2.80 ± 0.11 i | 10.14 ± 0.06 j | 15.82 ± 0.13 h | |
| Zhongshu 4 | Bud length 10 cm | 2.32 ± 0.15 ef | 3.95 ± 0.06 de | 12.05 ± 0.08 f | 18.90 ± 0.11 d |
| Bud length 15 cm | 2.84 ± 0.15 ab | 4.52 ± 0.04 b | 13.87 ± 0.08 d | 19.71 ± 0.59 c | |
| Bud length 20 cm | 3.07 ± 0.09 a | 4.74 ± 0.14 a | 14.92 ± 0.04 b | 20.33 ± 0.19 b | |
| Bud block | 1.59 ± 0.19 jk | 3.31 ± 0.15 fg | 10.98 ± 0.12 h | 17.34 ± 0.20 f | |
| Feiwurita | Bud length 10 cm | 2.01 ± 0.07 ghi | 3.40 ± 0.10 f | 13.15 ± 0.09 e | 18.93 ± 0.21 d |
| Bud length 15 cm | 2.39 ± 0.15 def | 3.94 ± 0.06 de | 14.62 ± 0.11 c | 21.34 ± 0.18 a | |
| Bud length 20 cm | 2.78 ± 0.17 abc | 4.12 ± 0.04 cd | 15.84 ± 0.05 a | 21.70 ± 0.23 a | |
| Bud block | 1.47 ± 0.10 k | 2.98 ± 0.06 hi | 11.19 ± 0.08 gh | 18.44 ± 0.13 e | |
| Treatment | Sowing Time (Month/Day) | Harvest Time (Month/Day) | Growing Days in Shed (Day) | Relative Growing Days | |
|---|---|---|---|---|---|
| Fujin | Top bud | 4/20 | 6/17 | 57 | −15 |
| Middle bud | 4/20 | 6/19 | 59 | −13 | |
| Tail bud | 4/20 | 7/5 | 75 | +3 | |
| Bud block | 4/20 | 7/2 | 72 | 0 | |
| Youjin | Top bud | 4/20 | 6/20 | 60 | −14 |
| Middle bud | 4/20 | 6/24 | 64 | −10 | |
| Tail bud | 4/20 | 7/15 | 78 | +4 | |
| Bud blocks | 4/20 | 7/11 | 74 | 0 | |
| Zhongshu 4 | Top bud | 4/20 | 6/15 | 55 | −14 |
| Middle bud | 4/20 | 6/18 | 58 | −11 | |
| Tail bud | 4/20 | 7/8 | 71 | +2 | |
| Bud blocks | 4/20 | 7/6 | 69 | 0 | |
| Feiwurita | Top bud | 4/20 | 6/22 | 62 | −11 |
| Middle bud | 4/20 | 7/1 | 64 | −9 | |
| Tail bud | 4/20 | 7/12 | 75 | +2 | |
| Bud block | 4/20 | 7/10 | 73 | 0 | |
| Treatment | Number of Tubers per Plant (PCs.) | Average Weight per Potato (g) | Average Plot Yield (kg) | Yield (kg/ha) | Relative Yield % | |
|---|---|---|---|---|---|---|
| Fujin | Top bud | 5.0 a | 135.28 def | 23.81 f | 3.97 × 104 f | 122.66 |
| Middle bud | 5.0 a | 132.78 f | 23.37 g | 3.90 × 104 h | 120.40 | |
| Tail bud | 5.0 a | 117.44 h | 21.14 j | 3.53 × 104 k | 109.20 | |
| Bud blocks | 4.0 b | 121.31 h | 19.4 l | 3.24 × 104 m | 100.00 | |
| Youjin | Top bud | 5.0 a | 143.22 c | 25.7 b | 4.30 × 104 b | 129.23 |
| Middle bud | 5.0 a | 142.56 c | 25.09 d | 4.18 × 104 d | 125.80 | |
| Tail bud | 5.0 a | 121.39 h | 21.85 i | 3.64 × 104 j | 109.57 | |
| Bud blocks | 4.0 b | 127.88 g | 19.95 k | 3.33 × 104 l | 100.00 | |
| Zhongshu 4 | Top bud | 5.0 a | 150.63 b | 26.51 a | 4.42 × 104 a | 138.05 |
| Middle bud | 4.0 a | 158.38 a | 25.34 c | 4.23 × 104 c | 131.94 | |
| Tail bud | 4.0 b | 138.31 d | 22.13 h | 3.69 × 104 i | 115.24 | |
| Bud blocks | 5.0 a | 126.97 g | 19.21 l | 3.20 × 104 n | 100.00 | |
| Feiwurita | Top bud | 5.0 a | 137.28 de | 24.71 e | 4.12 × 104 e | 136.11 |
| Middle bud | 4.0 b | 133.86 ef | 23.56 g | 3.93 × 104 g | 129.81 | |
| Tail bud | 4.0 b | 136.56 def | 21.85 i | 3.64 × 104 j | 120.39 | |
| Bud block | 5.0 a | 119.41 h | 18.15 m | 3.03 × 104 o | 100.00 | |
| Treatment | Sowing Time (Month/Day) | Harvest Time (Month/Day) | Growing Days in Shed (Day) | Relative Growing Days | |
|---|---|---|---|---|---|
| Fujin | Bud length 10 cm | 4/20 | 6/21 | 61 | −11 |
| Bud length 15 cm | 4/20 | 6/17 | 57 | −15 | |
| Bud length 20 cm | 4/20 | 6/16 | 56 | −16 | |
| Bud block | 4/20 | 7/2 | 72 | 0 | |
| Youjin | Bud length 10 cm | 4/20 | 6/24 | 64 | −10 |
| Bud length 15 cm | 4/20 | 6/20 | 60 | −14 | |
| Bud length 20 cm | 4/20 | 6/18 | 58 | −16 | |
| Bud block | 4/20 | 7/4 | 74 | 0 | |
| Zhongshu 4 | Bud length 10 cm | 4/20 | 6/18 | 58 | −11 |
| Bud length 15 cm | 4/20 | 6/15 | 55 | −14 | |
| Bud length 20 cm | 4/20 | 6/14 | 54 | −15 | |
| Bud block | 4/20 | 6/29 | 69 | 0 | |
| Feiwurita | Bud length 10 cm | 4/20 | 6/28 | 68 | −5 |
| Bud length 15 cm | 4/20 | 6/22 | 62 | −11 | |
| Bud length 20 cm | 4/20 | 6/20 | 60 | −13 | |
| Bud block | 4/20 | 7/3 | 73 | 0 | |
| Treatment | Number of Tubers per Plant (PCs.) | Average Weight per Potato (g) | Average Plot Yield (kg) | Yield (kg/ha) | Relative Yield % | |
|---|---|---|---|---|---|---|
| Fujin | Bud length 10 cm | 4.0 b | 125.25 fg | 20.04 i | 3.66 × 104 h | 113.00 |
| Bud length 15 cm | 4.0 b | 135.28 e | 23.81 fg | 3.97 × 104 fg | 122.66 | |
| Bud length 20 cm | 5.0 a | 135.28 e | 24.26 e | 4.08 × 104 ef | 126.00 | |
| Bud block | 4.0 b | 121.31 gh | 19.41 j | 3.24 × 104 j | 100.00 | |
| Youjin | Bud length 10 cm | 4.0 b | 148.38 a | 23.74 g | 3.96 × 104 g | 119.01 |
| Bud length 15 cm | 5.0 a | 143.22 bc | 25.78 c | 4.30 × 104 bc | 129.23 | |
| Bud length 20 cm | 5.0 a | 147.33 ab | 26.52 b | 4.42 × 104 b | 132.95 | |
| Bud block | 4.0 b | 127.88 f | 19.95 i | 3.33 × 104 i | 100.00 | |
| Zhongshu 4 | Bud length 10 cm | 4.0 b | 151.06 a | 24.17 ef | 4.03 × 104 f | 125.85 |
| Bud length 15 cm | 5.0 a | 150.63 a | 26.51 b | 4.42 × 104 ab | 138.05 | |
| Bud length 20 cm | 5.0 a | 151.28 a | 27.23 a | 4.54 × 104 a | 141.78 | |
| Bud block | 4.0 b | 126.97 f | 19.21 j | 3.20 × 104 j | 100.00 | |
| Feiwurita | Bud length 10 cm | 4.0 b | 136.63 e | 21.86 h | 3.65 × 104 h | 120.44 |
| Bud length 15 cm | 5.0 a | 137.28 de | 24.71 d | 4.12 × 104 de | 136.11 | |
| Bud length 20 cm | 5.0 a | 141.28 cd | 25.43 c | 4.24 × 104 d | 140.08 | |
| Bud block | 4.0 b | 119.41 h | 18.15 k | 3.03 × 104 k | 100.00 | |
| Treatment | Starch (%) | Reducing Sugar (%) | Crude Protein (%) | Vc Content (mg/100 g) | Commercial Potato Growth Rate % | |
|---|---|---|---|---|---|---|
| Fujin | Top bud | 14.36 a | 0.088 c | 1.708 a | 0.274 c | 87.8 |
| Middle bud | 14.33 a | 0.086 c | 1.702 a | 0.273 c | 86.3 | |
| Tail bud | 14.22 a | 0.085 c | 1.695 a | 0.271 c | 84.7 | |
| Bud blocks | 14.16 a | 0.083 c | 1.687 a | 0.269 c | 82.5 | |
| Youjin | Top bud | 13.55 b | 0.063 d | 1.503 c | 0.275 c | 92.0 |
| Middle bud | 13.50 b | 0.062 d | 1.496 c | 0.274 c | 81.7 | |
| Tail bud | 13.46 b | 0.062 d | 1.492 c | 0.272 c | 89.9 | |
| Bud blocks | 13.43 b | 0.061 d | 1.487 c | 0.271 c | 88.7 | |
| Zhongshu 4 | Top bud | 12.54 c | 0.441 b | 1.604 b | 26.713 b | 87.7 |
| Middle bud | 12.50 c | 0.438 b | 1.599 b | 26.654 b | 86.0 | |
| Tail bud | 12.46 c | 0.436 b | 1.594 b | 26.595 b | 83.2 | |
| Bud blocks | 12.41 cd | 0.429 b | 1.589 b | 26.492 b | 80.8 | |
| Feiwurita | Top bud | 12.42 cd | 1.021 a | 1.019 d | 113.101 a | 89.1 |
| Middle bud | 12.40 cd | 1.018 a | 1.016 d | 112.915 a | 88.4 | |
| Tail bud | 12.38 cd | 1.013 a | 1.014 d | 112.762 a | 87.0 | |
| Bud block | 12.35 cd | 1.009 a | 1.011 d | 112.623 a | 85.0 | |
| Treatment | Starch (%) | Reducing Sugar (%) | Crude Protein (%) | Vc Content (mg/100 g) | Commercial Potato Growth Rate % | |
|---|---|---|---|---|---|---|
| Fujin | Bud length 10 cm | 14.22 a | 0.085 c | 1.696 a | 0.273 c | 84.1 |
| Bud length 15 cm | 14.36 a | 0.088 c | 1.708 a | 0.274 c | 87.8 | |
| Bud length 20 cm | 14.42 a | 0.089 c | 1.714 a | 0.280 c | 86.6 | |
| Bud block | 14.16 a | 0.083 c | 1.687 a | 0.269 c | 82.5 | |
| Youjin | Bud length 10 cm | 13.45 b | 0.062 d | 1.495 c | 0.272 c | 89.9 |
| Bud length 15 cm | 13.55 b | 0.063 d | 1.503 c | 0.275 c | 92.0 | |
| Bud length 20 cm | 13.60 b | 0.064 d | 1.510 c | 0.281 c | 91.2 | |
| Bud block | 13.43 b | 0.061 d | 1.487 c | 0.271 c | 88.7 | |
| Zhongshu 4 | Bud length 10 cm | 12.49 c | 0.436 b | 1.598 b | 26.601 b | 83.2 |
| Bud length 15 cm | 12.54 c | 0.441 b | 1.604 b | 26.710 b | 87.7 | |
| Bud length 20 cm | 12.58 c | 0.443 b | 1.610 b | 27.021 b | 86.8 | |
| Bud block | 12.41 cd | 0.429 b | 1.589 b | 26.492 b | 80.8 | |
| Feiwurita | Bud length 10 cm | 12.36 d | 1.010 a | 1.014 d | 112.873 a | 87.0 |
| Bud length 15 cm | 12.42 cd | 1.021 a | 1.019 d | 113.101 a | 89.1 | |
| Bud length 20 cm | 12.47 cd | 1.023 a | 1.021 d | 113.541 a | 88.3 | |
| Bud block | 12.35 cd | 1.009 a | 1.011 d | 112.623 a | 85.0 | |
Disclaimer/Publisher’s Note: The statements, opinions and data contained in all publications are solely those of the individual author(s) and contributor(s) and not of MDPI and/or the editor(s). MDPI and/or the editor(s) disclaim responsibility for any injury to people or property resulting from any ideas, methods, instructions or products referred to in the content. |
© 2023 by the authors. Licensee MDPI, Basel, Switzerland. This article is an open access article distributed under the terms and conditions of the Creative Commons Attribution (CC BY) license (https://creativecommons.org/licenses/by/4.0/).
Share and Cite
Wang, C.; Bao, R.; Zhang, H.; Shang, L.; Wang, H.; Yang, Z.; Du, C. Study on Potato Bud Cultivation Techniques in a Greenhouse in Spring. Plants 2023, 12, 3545. https://doi.org/10.3390/plants12203545
Wang C, Bao R, Zhang H, Shang L, Wang H, Yang Z, Du C. Study on Potato Bud Cultivation Techniques in a Greenhouse in Spring. Plants. 2023; 12(20):3545. https://doi.org/10.3390/plants12203545
Chicago/Turabian StyleWang, Chaonan, Rui Bao, Hui Zhang, Leijuan Shang, Huilin Wang, Zhongmin Yang, and Chong Du. 2023. "Study on Potato Bud Cultivation Techniques in a Greenhouse in Spring" Plants 12, no. 20: 3545. https://doi.org/10.3390/plants12203545
APA StyleWang, C., Bao, R., Zhang, H., Shang, L., Wang, H., Yang, Z., & Du, C. (2023). Study on Potato Bud Cultivation Techniques in a Greenhouse in Spring. Plants, 12(20), 3545. https://doi.org/10.3390/plants12203545

