Genome-Wide Identification and Characterization of the bHLH Gene Family and Its Response to Abiotic Stresses in Carthamus tinctorius
Abstract
1. Introduction
2. Results
2.1. Genome-Wide Identification of CtbHLH Genes in C. tinctorius
2.2. Conserved Residues and DNA-Binding Ability Prediction of the CtbHLH Genes
2.3. Phylogenetic Analysis and Classification of the CtbHLH Genes
2.4. Chromosomal Location and Collinearity Analysis of CtbHLH Genes
2.5. Analysis of Cis-Acting Elements of CtbHLH Gene Family
2.6. Protein Interaction Network of CtbHLH Genes
2.7. Expression Profiles of CtbHLH Genes
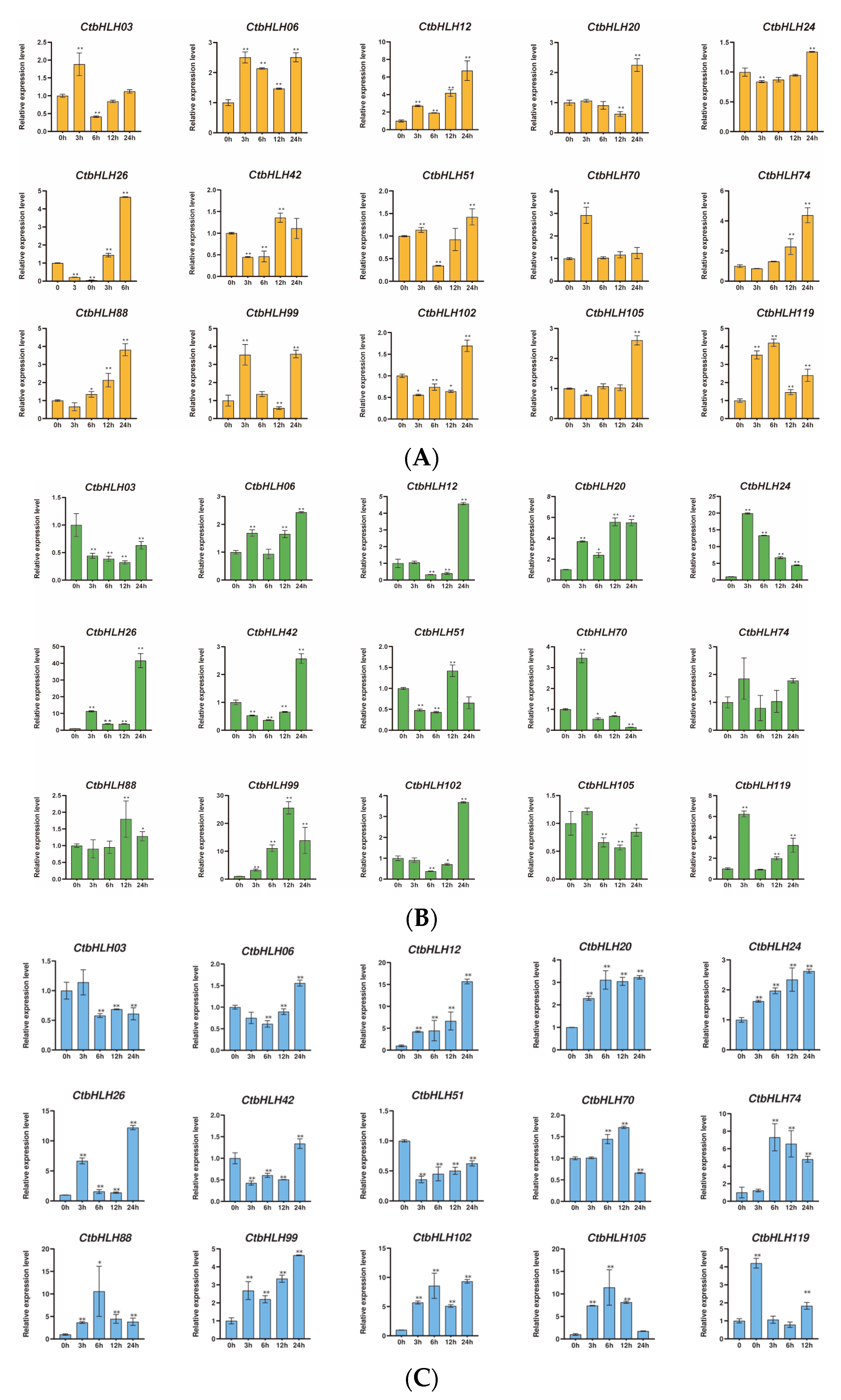
2.8. Expression Analysis of CtbHLH Genes under Abiotic Stress
3. Discussion
4. Materials and Methods
4.1. Identification of the bHLH Genes from C. tinctorius
4.2. Chromosomal Locations, Multiple Alignment Analysis and Phylogenetic Analysis
4.3. Gene Structures, Conserved Motifs and Promoter Analysis
4.4. Gene Duplication and Collinearity Analysis
4.5. Protein Interaction Network Analysis
4.6. Expression Analysis of CtbHLH Genes
4.7. Plant Materials and Treatments
4.8. Expression Analysis of the CtbHLH Genes by qPCR
4.9. Statistical Analysis
5. Conclusions
Supplementary Materials
Author Contributions
Funding
Data Availability Statement
Acknowledgments
Conflicts of Interest
References
- Massari, M.E.; Murre, C. Helix-Loop-Helix Proteins: Regulators of Transcription in Eucaryotic Organisms. Mol. Cell. Biol. 2000, 20, 429–440. [Google Scholar] [CrossRef] [PubMed]
- Gao, F.; Dubos, C. Transcriptional Integration of Plant Responses to Iron Availability. J. Exp. Bot. 2020, 72, 2056–2070. [Google Scholar] [CrossRef] [PubMed]
- Zhang, J.; Lv, H.; Liu, W.; Ji, A.; Zhang, X.; Song, J.; Luo, H.; Chen, S. bHLH Transcription Factor SmbHLH92 Negatively Regulates Biosynthesis of Phenolic Acids and Tanshinones in Salvia miltiorrhiza. Chin. Herb. Med. 2020, 12, 237–246. [Google Scholar] [CrossRef] [PubMed]
- Li, X.; Duan, X.; Jiang, H.; Sun, Y.; Tang, Y.; Yuan, Z.; Guo, J.; Liang, W.; Chen, L.; Yin, J.; et al. Genome-Wide Analysis of Basic/Helix-Loop-Helix Transcription Factor Family in Rice and Arabidopsis. Plant Physiol. 2006, 141, 1167–1184. [Google Scholar] [CrossRef]
- Sun, W.; Jin, X.; Ma, Z.; Chen, H.; Liu, M. Basic Helix–Loop–Helix (bHLH) Gene Family in Tartary Buckwheat (Fagopyrum tataricum): Genome-Wide Identification, Phylogeny, Evolutionary Expansion and Expression Analyses. Int. J. Biol. Macromol. 2020, 155, 1478–1490. [Google Scholar] [CrossRef]
- Song, M.; Wang, H.; Wang, Z.; Huang, H.; Chen, S.; Ma, H. Genome-Wide Characterization and Analysis of bHLH Transcription Factors Related to Anthocyanin Biosynthesis in Fig (Ficus carica L.). Front. Plant Sci. 2021, 12, 730692. [Google Scholar] [CrossRef]
- Liu, W.; Tai, H.; Li, S.; Gao, W.; Zhao, M.; Xie, C.; Li, W. bHLH122 Is Important for Drought and Osmotic Stress Resistance in Arabidopsis and in the Repression of ABA Catabolism. New Phytol. 2013, 201, 1192–1204. [Google Scholar] [CrossRef]
- de Martin, X.; Sodaei, R.; Santpere, G. Mechanisms of Binding Specificity among bHLH Transcription Factors. Int. J. Mol. Sci. 2021, 22, 9150. [Google Scholar] [CrossRef]
- Heim, M.A. The Basic Helix-Loop-Helix Transcription Factor Family in Plants: A Genome-Wide Study of Protein Structure and Functional Diversity. Mol. Biol. Evol. 2003, 20, 735–747. [Google Scholar] [CrossRef]
- Zhao, K.; Li, S.; Yao, W.; Zhou, B.; Li, R.; Jiang, T. Characterization of the Basic Helix–Loop–Helix Gene Family and Its Tissue-Differential Expression in Response to Salt Stress in Poplar. PeerJ 2018, 6, e4502. [Google Scholar] [CrossRef]
- Alvarez-Martinez, C.E.; Sgro, G.G.; Araujo, G.G.; Paiva, M.R.N.; Matsuyama, B.Y.; Guzzo, C.R.; Andrade, M.O.; Farah, C.S. Secrete or Perish: The Role of Secretion Systems in Xanthomonas Biology. Comput. Struct. Biotechnol. J. 2021, 19, 279–302. [Google Scholar] [CrossRef] [PubMed]
- Xu, Y.; Zhou, W.; Ma, F.; Huang, D.; Xing, W.; Wu, B.; Sun, P.; Chen, D.; Xu, B.; Song, S. Characterization of the Passion Fruit (Passiflora edulis Sim) bHLH Family in Fruit Development and Abiotic Stress and Functional Analysis of PebHLH56 in Cold Stress. Horticulturae 2023, 9, 272. [Google Scholar] [CrossRef]
- Ariyarathne, M.A.; Wone, B.W.M. Overexpression of the Selaginella Lepidophylla bHLH Transcription Factor Enhances Water-Use Efficiency, Growth, and Development in Arabidopsis. Plant Sci. 2022, 315, 111129. [Google Scholar] [CrossRef] [PubMed]
- Zhang, X.-Y.; Qiu, J.-Y.; Hui, Q.-L.; Xu, Y.-Y.; He, Y.-Z.; Peng, L.-Z.; Fu, X.-Z. Systematic Analysis of the Basic/Helix-Loop-Helix (bHLH) Transcription Factor Family in Pummelo (Citrus grandis) and Identification of the Key Members Involved in the Response to Iron Deficiency. BMC Genom. 2020, 21, 233. [Google Scholar] [CrossRef] [PubMed]
- Niu, X.; Guan, Y.; Chen, S.; Li, H. Genome-Wide Analysis of Basic Helix-Loop-Helix (bHLH) Transcription Factors in Brachypodium Distachyon. BMC Genom. 2017, 18, 619. [Google Scholar] [CrossRef]
- Zhu, Z.; Liang, H.; Chen, G.; Li, F.; Wang, Y.; Liao, C.; Hu, Z. The bHLH Transcription Factor SlPRE2 Regulates Tomato Fruit Development and Modulates Plant Response to Gibberellin. Plant Cell Rep. 2019, 38, 1053–1064. [Google Scholar] [CrossRef]
- Zhang, Y.; Mayba, O.; Pfeiffer, A.; Shi, H.; Tepperman, J.M.; Speed, T.P.; Quail, P.H. A Quartet of PIF bHLH Factors Provides a Transcriptionally Centered Signaling Hub That Regulates Seedling Morphogenesis through Differential Expression-Patterning of Shared Target Genes in Arabidopsis. PLoS Genet. 2013, 9, e1003244. [Google Scholar] [CrossRef]
- Shuai, H.; Chen, T.; Wlk, T.; Rozhon, W.; Pimenta Lange, M.J.; Sieberer, T.; Lange, T.; Poppenberger, B. SlCESTA Is a Brassinosteroid-Regulated bHLH Transcription Factor of Tomato That Promotes Chilling Tolerance and Fruit Growth When Over-Expressed. Front. Plant Sci. 2022, 13, 930805. [Google Scholar] [CrossRef]
- Pearl, S.A.; Bowers, J.E.; Reyes-Chin-Wo, S.; Michelmore, R.W.; Burke, J.M. Genetic Analysis of Safflower Domestication. BMC Plant Biol. 2014, 14, 43. [Google Scholar] [CrossRef]
- Zhao, F.; Wang, P.; Jiao, Y.; Zhang, X.; Chen, D.; Xu, H. Hydroxysafflor Yellow A: A Systematical Review on Botanical Resources, Physicochemical Properties, Drug Delivery System, Pharmacokinetics, and Pharmacological Effects. Front. Pharmacol. 2020, 11, 579332. [Google Scholar] [CrossRef]
- Tanaka, Y.; Brugliera, F.; Chandler, S. Recent Progress of Flower Colour Modification by Biotechnology. Int. J. Mol. Sci. 2009, 10, 5350–5369. [Google Scholar] [CrossRef] [PubMed]
- Peng, J.; Dong, X.; Xue, C.; Liu, Z.; Cao, F. Exploring the Molecular Mechanism of Blue Flower Color Formation in Hydrangea macrophylla Cv. “Forever Summer”. Front. Plant Sci. 2021, 12, 585665. [Google Scholar] [CrossRef] [PubMed]
- Yoon, H.-R.; Paik, Y.-S. Isolation of Two Quinochalcones from Carthamus tinctorius. J. Appl. Biol. Chem. 2008, 51, 169–171. [Google Scholar] [CrossRef]
- Wang, R.; Ren, C.; Dong, S.; Chen, C.; Xian, B.; Wu, Q.; Wang, J.; Pei, J.; Chen, J. Integrated Metabolomics and Transcriptome Analysis of Flavonoid Biosynthesis in Safflower (Carthamus tinctorius L.) with Different Colors. Front. Plant Sci. 2021, 12, 712038. [Google Scholar] [CrossRef] [PubMed]
- Dehghan, S.; Sadeghi, M.; Pöppel, A.; Fischer, R.; Lakes-Harlan, R.; Kavousi, H.R.; Vilcinskas, A.; Rahnamaeian, M. Differential Inductions of Phenylalanine Ammonia-Lyase and Chalcone Synthase during Wounding, Salicylic Acid Treatment, and Salinity Stress in Safflower, Carthamus tinctorius. Biosci. Rep. 2014, 34, 273–282. [Google Scholar] [CrossRef]
- Si, C.; Dong, W.; Teixeira da Silva, J.A.; He, C.; Yu, Z.; Zhang, M.; Huang, L.; Zhao, C.; Zeng, D.; Li, C.; et al. Functional Analysis of Flavanone 3-Hydroxylase (F3H) from Dendrobium Officinale, Which Confers Abiotic Stress Tolerance. Hort. Plant J. 2023, 9, 356–364. [Google Scholar] [CrossRef]
- Hong, Y.; Lv, Y.; Zhang, J.; Ahmad, N.; Li, X.; Yao, N.; Liu, X.; Li, H. The Safflower MBW Complex Regulates HYSA Accumulation through Degradation by the E3 Ligase CtBB1. J. Integr. Plant Biol. 2023, 65, 1277–1296. [Google Scholar] [CrossRef]
- Zhang, X.; Ahmad, N.; Zhang, Q.; Wakeel Umar, A.; Wang, N.; Zhao, X.; Zhou, K.; Yao, N.; Liu, X. Safflower Flavonoid 3′5′Hydroxylase Promotes Methyl Jasmonate-Induced Anthocyanin Accumulation in Transgenic Plants. Molecules 2023, 28, 3205. [Google Scholar] [CrossRef]
- Guo, D.-D.; Liu, F.; Tu, Y.-H.; He, B.-X.; Gao, Y.; Guo, M.-L. Expression Patterns of Three UGT Genes in Different Chemotype Safflower Lines and under MeJA Stimulus Revealed Their Potential Role in Flavonoid biosynthesis. PLoS ONE 2016, 11, e0158159. [Google Scholar] [CrossRef][Green Version]
- Du, H.; Wu, J.; Ji, K.-X.; Zeng, Q.-Y.; Bhuiya, M.-W.; Su, S.; Shu, Q.-Y.; Ren, H.-X.; Liu, Z.-A.; Wang, L.-S. Methylation Mediated by an Anthocyanin, O-Methyltransferase, Is Involved in Purple Flower Coloration in Paeonia. J. Exp. Bot. 2015, 66, 6563–6577. [Google Scholar] [CrossRef]
- Li, R.; Ahmad, B.; Hwarari, D.; Li, D.; Lu, Y.; Gao, M.; Chen, J.; Yang, L. Genomic Survey and Cold-Induced Expression Patterns of bHLH Transcription Factors in Liriodendron chinense (Hemsl) Sarg. Forests 2022, 13, 518. [Google Scholar] [CrossRef]
- Li, F.; Guo, S.; Zhao, Y.; Chen, D.; Chong, K.; Xu, Y. Overexpression of a Homopeptide Repeat-Containing bHLH Protein Gene (OrbHLH001) from Dongxiang Wild Rice Confers Freezing and Salt Tolerance in Transgenic arabidopsis. Plant Cell Rep. 2010, 29, 977–986. [Google Scholar] [CrossRef] [PubMed]
- Thandapani, P.; O’Connor, T.R.; Bailey, T.L.; Richard, S. Defining the RGG/RG Motif. Mol. Cell. 2013, 50, 613–623. [Google Scholar] [CrossRef] [PubMed]
- Sachetto-Martins, G.; Franco, L.O.; de Oliveira, D.E. Plant Glycine-Rich Proteins: A Family or Just Proteins with a Common Motif? Biochim. Biophys. Acta (BBA)—Gene Struct. Expr. 2000, 1492, 1–14. [Google Scholar] [CrossRef]
- Toledo-Ortiz, G.; Huq, E.; Quail, P.H. The Arabidopsis Basic/Helix-Loop-Helix Transcription Factor Family. Plant Cell 2003, 15, 1749–1770. [Google Scholar] [CrossRef]
- Wang, J.; Hu, Z.; Zhao, T.; Yang, Y.; Chen, T.; Yang, M.; Yu, W.; Zhang, B. Genome-Wide Analysis of bHLH Transcription Factor and Involvement in the Infection by Yellow Leaf Curl Virus in Tomato (Solanum lycopersicum). BMC Genom. 2015, 16, 39. [Google Scholar] [CrossRef]
- Song, X.-M.; Huang, Z.-N.; Duan, W.-K.; Ren, J.; Liu, T.-K.; Li, Y.; Hou, X.-L. Genome-Wide Analysis of the bHLH Transcription Factor Family in Chinese Cabbage (Brassica rapa ssp. Pekinensis). Mol. Genet. Genom. 2013, 289, 77–91. [Google Scholar] [CrossRef]
- Ullah, I.; Yuan, W.; Uzair, M.; Li, S.; Rehman, O.U.; Nanda, S.; Wu, H. Molecular Characterization of bHLH Transcription Factor Family in Rose (Rosa chinensis Jacq.) under Botrytis Cinerea Infection. Horticulturae 2022, 8, 989. [Google Scholar] [CrossRef]
- Mao, K.; Dong, Q.; Li, C.; Liu, C.; Ma, F. Genome Wide Identification and Characterization of Apple bHLH Transcription Factors and Expression Analysis in Response to Drought and Salt Stress. Front. Plant Sci. 2017, 8, 480. [Google Scholar] [CrossRef]
- Sun, P.-W.; Gao, Z.-H.; Lv, F.-F.; Yu, C.-C.; Jin, Y.; Xu, Y.-H.; Wei, J.-H. Genome-Wide Analysis of Basic Helix–Loop–Helix (bHLH) Transcription Factors in Aquilaria sinensis. Sci. Rep. 2022, 12, 7194. [Google Scholar] [CrossRef]
- Zhou, X.; Liao, Y.; Kim, S.-U.; Chen, Z.; Nie, G.; Cheng, S.; Ye, J.; Xu, F. Genome-Wide Identification and Characterization of bHLH Family Genes from Ginkgo biloba. Sci. Rep. 2020, 10, 13723. [Google Scholar] [CrossRef] [PubMed]
- Qiao, X.; Yin, H.; Li, L.; Wang, R.; Wu, J.; Wu, J.; Zhang, S. Different Modes of Gene Duplication Show Divergent Evolutionary Patterns and Contribute Differently to the Expansion of Gene Families Involved in Important Fruit Traits in Pear (Pyrus bretschneideri). Front. Plant Sci. 2018, 9, 161. [Google Scholar] [CrossRef] [PubMed]
- Wang, X.; Peng, X.; Shu, X.; Li, Y.; Wang, Z.; Zhuang, W. Genome-Wide Identification and Characterization of PdbHLH Transcription Factors Related to Anthocyanin Biosynthesis in Colored-Leaf Poplar (Populus deltoids). BMC Genom. 2022, 23, 244. [Google Scholar] [CrossRef] [PubMed]
- Liu, B.; Guan, X.; Liang, W.; Chen, J.; Fang, L.; Hu, Y.; Guo, W.; Rong, J.; Xu, G.; Zhang, T. Divergence and Evolution of Cotton bHLH Proteins from Diploid to Allotetraploid. BMC Genom. 2018, 19, 162. [Google Scholar] [CrossRef]
- Feng, R.-J.; Ren, M.-Y.; Lu, L.-F.; Peng, M.; Guan, X.; Zhou, D.-B.; Zhang, M.-Y.; Qi, D.-F.; Li, K.; Tang, W.; et al. Involvement of Abscisic Acid-Responsive Element-Binding Factors in Cassava (Manihot esculenta) Dehydration Stress Response. Sci. Rep. 2019, 9, 12661. [Google Scholar] [CrossRef]
- Li, R.; Zhu, F.; Duan, D. Function Analysis and Stress-Mediated Cis-Element Identification in the Promoter Region of VqMYB15. Plant Signal. Behav. 2020, 15, 1773664. [Google Scholar] [CrossRef]
- Meier, I.; Gruissem, W. Novel Conserved Sequence Motifs in Plant G-Box Binding Proteins and Implications for Interactive Domains. Nucleic Acids Res. 1994, 22, 470–478. [Google Scholar] [CrossRef][Green Version]
- Sun, R.; Wang, S.; Ma, D.; Liu, C. Genome-Wide Analysis of LRR-RLK Gene Family in Four Gossypium Species and Expression Analysis during Cotton Development and Stress Responses. Genes 2018, 9, 592. [Google Scholar] [CrossRef]
- Mukherjee, S.; Sarkar, A.K.; Lahiri, A.; Sengupta (Bandyopadhyay), S. Analysis of the Interaction of a Non-Canonical Twin Half-Site of Cyclic AMP-Response Element (CRE) with CRE-Binding Protein. Biochimie 2023, 211, 25–34. [Google Scholar] [CrossRef]
- Galperin, M.Y.; Koonin, E.V. “Conserved Hypothetical” Proteins: Prioritization of Targets for Experimental Study. Nucleic Acids Res. 2004, 32, 5452–5463. [Google Scholar] [CrossRef]
- Zhang, Z.; Chen, J.; Liang, C.; Liu, F.; Hou, X.; Zou, X. Genome-Wide Identification and Characterization of the bHLH Transcription Factor Family in Pepper (Capsicum annuum L.). Front. Genet. 2020, 11, 570156. [Google Scholar] [CrossRef] [PubMed]
- Xue, G.; Fan, Y.; Zheng, C.; Yang, H.; Feng, L.; Chen, X.; Yang, Y.; Yao, X.; Weng, W.; Kong, L.; et al. bHLH Transcription Factor Family Identification, Phylogeny, and Its Response to Abiotic Stress in Chenopodium quinoa. Front. Plant Sci. 2023, 14, 1171518. [Google Scholar] [CrossRef] [PubMed]
- Wang, R.; Zhao, P.; Kong, N.; Lu, R.; Pei, Y.; Huang, C.; Ma, H.; Chen, Q. Genome-Wide Identification and Characterization of the Potato bHLH Transcription Factor Family. Genes 2018, 9, 54. [Google Scholar] [CrossRef]
- Li, J.; Wang, T.; Han, J.; Ren, Z. Genome-Wide Identification and Characterization of Cucumber bHLH Family Genes and the Functional Characterization of CsbHLH041 in NaCl and ABA Tolerance in Arabidopsis and Cucumber. BMC Plant Biol. 2020, 20, 272. [Google Scholar] [CrossRef] [PubMed]
- Kavas, M.; Baloğlu, M.C.; Atabay, E.S.; Ziplar, U.T.; Daşgan, H.Y.; Ünver, T. Genome-Wide Characterization and Expression Analysis of Common Bean bHLH Transcription Factors in Response to Excess Salt Concentration. Mol. Genet. Genom. 2015, 291, 129–143. [Google Scholar] [CrossRef] [PubMed]
- Li, H.; Gao, W.; Xue, C.; Zhang, Y.; Liu, Z.; Zhang, Y.; Meng, X.; Liu, M.; Zhao, J. Genome-Wide Analysis of the bHLH Gene Family in Chinese Jujube (Ziziphus jujuba Mill.) and Wild Jujube. BMC Genom. 2019, 20, 568. [Google Scholar] [CrossRef] [PubMed]
- Iñiguez, L.P.; Hernández, G. The Evolutionary Relationship between Alternative Splicing and Gene Duplication. Front. Genet. 2017, 8, 14. [Google Scholar] [CrossRef]
- Yang, J.; Gao, M.; Huang, L.; Wang, Y.; van Nocker, S.; Wan, R.; Guo, C.; Wang, X.; Gao, H. Identification and Expression Analysis of the Apple (Malus × Domestica) Basic Helix-Loop-Helix Transcription Factor Family. Sci. Rep. 2017, 7, 28. [Google Scholar] [CrossRef]
- Jeffares, D.C.; Penkett, C.J.; Bähler, J. Rapidly Regulated Genes Are Intron Poor. Trends Genet. 2008, 24, 375–378. [Google Scholar] [CrossRef]
- Chu, Y.; Xiao, S.; Su, H.; Liao, B.; Zhang, J.; Xu, J.; Chen, S. Genome-Wide Characterization and Analysis of bHLH Transcription Factors in Panax ginseng. Acta Pharm. Sin. B 2018, 8, 666–677. [Google Scholar] [CrossRef]
- Guo, J.; Sun, B.; He, H.; Zhang, Y.; Tian, H.; Wang, B. Current Understanding of bHLH Transcription Factors in Plant Abiotic Stress Tolerance. Int. J. Mol. Sci. 2021, 22, 4921. [Google Scholar] [CrossRef] [PubMed]
- MacAlister, C.A.; Bergmann, D.C. Sequence and Function of Basic Helix-Loop-Helix Proteins Required for Stomatal Development in Arabidopsis Are Deeply Conserved in Land Plants. Evol. Dev. 2011, 13, 182–192. [Google Scholar] [CrossRef] [PubMed]
- Ito, S.; Song, Y.H.; Josephson-Day, A.R.; Miller, R.J.; Breton, G.; Olmstead, R.G.; Imaizumi, T. FLOWERING BHLH Transcriptional Activators Control Expression of the Photoperiodic Flowering Regulator CONSTANS in Arabidopsis. Proc. Natl. Acad. Sci. USA 2012, 109, 3582–3587. [Google Scholar] [CrossRef] [PubMed]
- Ichihashi, Y.; Horiguchi, G.; Gleissberg, S.; Tsukaya, H. The bHLH Transcription Factor SPATULA Controls Final Leaf Size in Arabidopsis Thaliana. Plant Cell Physiol. 2009, 51, 252–261. [Google Scholar] [CrossRef]
- Sasaki-Sekimoto, Y.; Jikumaru, Y.; Obayashi, T.; Saito, H.; Masuda, S.; Kamiya, Y.; Ohta, H.; Shirasu, K. Basic Helix-Loop-Helix Transcription Factors JASMONATE-ASSOCIATED MYC2-LIKE1 (JAM1), JAM2, and JAM3 Are Negative Regulators of Jasmonate Responses in Arabidopsis. Plant Physiol. 2013, 163, 291–304. [Google Scholar] [CrossRef]
- Carretero-Paulet, L.; Galstyan, A.; Roig-Villanova, I.; Martínez-García, J.F.; Bilbao-Castro, J.R.; Robertson, D.L. Genome-Wide Classification and Evolutionary Analysis of the bHLH Family of Transcription Factors in Arabidopsis, Poplar, Rice, Moss, and Algae. Plant Physiol. 2010, 153, 1398–1412. [Google Scholar] [CrossRef]
- Millard, P.S.; Kragelund, B.B.; Burow, M. Evolution of A bHLH Interaction Motif. Int. J. Mol. Sci. 2021, 22, 447. [Google Scholar] [CrossRef]
- Seo, M.-S.; Kim, J. Understanding of MYB Transcription Factors Involved in Glucosinolate Biosynthesis in Brassicaceae. Molecules 2017, 22, 1549. [Google Scholar] [CrossRef]
- Xi, W.; Feng, J.; Liu, Y.; Zhang, S.; Zhao, G. The R2R3-MYB Transcription Factor PaMYB10 Is Involved in Anthocyanin Biosynthesis in Apricots and Determines Red Blushed Skin. BMC Plant Biol. 2019, 19, 287. [Google Scholar] [CrossRef]
- Liu, R.; Wang, Y.; Tang, S.; Cai, J.; Liu, S.; Zheng, P.; Sun, B. Genome-Wide Identification of the Tea Plant bHLH Transcription Factor Family and Discovery of Candidate Regulators of Trichome Formation. Sci. Rep. 2021, 11, 10764. [Google Scholar] [CrossRef]
- Jiang, Y.; Yang, B.; Deyholos, M.K. Functional Characterization of the Arabidopsis bHLH92 Transcription Factor in Abiotic Stress. Mol. Genet. Genom. 2009, 282, 503–516. [Google Scholar] [CrossRef] [PubMed]
- Chen, H.C.; Hsieh-Feng, V.; Liao, P.C.; Cheng, W.H.; Liu, L.Y.; Yang, Y.W.; Lai, M.H.; Chang, M.C. The Function of OsbHLH068 Is Partially Redundant with Its Homolog, AtbHLH112, in the Regulation of the Salt Stress Response but Has Opposite Functions to Control Flowering in Arabidopsis. Plant Mol. Biol. 2017, 94, 531–548. [Google Scholar] [CrossRef] [PubMed]
- Qian, Y.; Zhang, T.; Yu, Y.; Gou, L.; Yang, J.; Xu, J.; Pi, E. Regulatory Mechanisms of bHLH Transcription Factors in Plant Adaptive Responses to Various Abiotic Stresses. Front. Plant Sci. 2021, 12, 677611. [Google Scholar] [CrossRef] [PubMed]
- He, X.; Zhang, W.; Sabir, I.A.; Jiao, C.; Li, G.; Wang, Y.; Zhu, F.; Dai, J.; Liu, L.; Chen, C.; et al. The Spatiotemporal Profile of Dendrobium huoshanense and Functional Identification of bHLH Genes under Exogenous MeJA Using Comparative Transcriptomics and Genomics. Front. Plant Sci. 2023, 14, 1169386. [Google Scholar] [CrossRef]
- Gómez-Porras, J.L.; Riaño-Pachón, D.M.; Dreyer, I.; Mayer, J.E.; Mueller-Roeber, B. Genome-Wide Analysis of ABA-Responsive Elements ABRE and CE3 Reveals Divergent Patterns in Arabidopsis and Rice. BMC Genom. 2007, 8, 260. [Google Scholar] [CrossRef] [PubMed]
- Li, Z.; Liu, C.; Zhang, Y.; Wang, B.; Ran, Q.; Zhang, J. The bHLH Family Member ZmPTF1 Regulates Drought Tolerance in Maize by Promoting Root Development and Abscisic Acid Synthesis. J. Exp. Bot. 2019, 70, 5471–5486. [Google Scholar] [CrossRef]
- Wei, X.; Cao, J.; Lan, H. Genome-Wide Characterization and Analysis of the bHLH Transcription Factor Family in Suaeda aralocaspica, an Annual Halophyte with Single-Cell C4 Anatomy. Front. Genet. 2022, 13, 927830. [Google Scholar] [CrossRef]
- Brown, J.M.; Firtel, R.A. Functional and Regulatory Analysis of the Dictyostelium G-Box Binding Factor. Dev. Biol. 2001, 234, 521–534. [Google Scholar] [CrossRef][Green Version]
- Wang, Y.; Zhang, Y.; Zhou, R.; Dossa, K.; Yu, J.; Li, D.; Liu, A.; Mmadi, M.A.; Zhang, X.; You, J. Identification and Characterization of the bZIP Transcription Factor Family and Its Expression in Response to Abiotic Stresses in Sesame. PLoS ONE 2018, 13, e0200850. [Google Scholar] [CrossRef]
- South-Central Minzu University. Available online: https://C.tinctorius.scuec.edu.cn/ (accessed on 1 August 2023).
- Wu, Z.; Liu, H.; Zhan, W.; Yu, Z.; Qin, E.; Liu, S.; Yang, T.; Xiang, N.; Kudrna, D.; Chen, Y.; et al. The Chromosome-scale Reference Genome of Safflower (Carthamus tinctorius) Provides Insights into Linoleic Acid and Flavonoid biosynthesis. Plant Biotechnol. J. 2021, 19, 1725–1742. [Google Scholar] [CrossRef]
- Pfam. Available online: http://pfam.xfam.org/ (accessed on 1 August 2023).
- Finn, R.D.; Coggill, P.; Eberhardt, R.Y.; Eddy, S.R.; Mistry, J.; Mitchell, A.L.; Potter, S.C.; Punta, M.; Qureshi, M.; Sangrador-Vegas, A.; et al. The Pfam Protein Families Database: Towards a More Sustainable Future. Nucleic Acids Res. 2015, 44, D279–D285. [Google Scholar] [CrossRef] [PubMed]
- TAIR. Available online: https://www.Arabidopsis.org/ (accessed on 1 August 2023).
- Batch CD Search. Available online: https://www.ncbi.nlm.nih.gov/Structure/bwrpsb/bwrpsb.cgi (accessed on 1 August 2023).
- Marchler-Bauer, A.; Bryant, S.H. CD-Search: Protein Domain Annotations on the Fly. Nucleic Acids Res. 2004, 32, W327–W331. [Google Scholar] [CrossRef] [PubMed]
- SMART Database. Available online: http://smart.emblheidelberg.de (accessed on 1 August 2023).
- Letunic, I.; Khedkar, S.; Bork, P. SMART: Recent Updates, New Developments and Status in 2020. Nucleic Acids Res. 2020, 49, D458–D460. [Google Scholar] [CrossRef] [PubMed]
- ExPASy. Available online: https://web.expasy.org/prot-param/ (accessed on 1 August 2023).
- Kaur, A.; Pati, P.K.; Pati, A.M.; Nagpal, A.K. Physico-Chemical Characterization and Topological Analysis of Pathogenesis-Related Proteins from Arabidopsis thaliana and Oryza sativa Using in-Silico Approaches. PLoS ONE 2020, 15, e0239836. [Google Scholar] [CrossRef]
- WoLF PSORT. Available online: https://www.genscript.com/wolf-psort.html (accessed on 1 August 2023).
- MapGene2Chrom. Available online: http://mg2c.iask.in/mg2c_v2.1/ (accessed on 1 August 2023).
- Chao, J.T.; Kong, Y.Z.; Wang, Q.; Sun, Y.H.; Gong, D.P.; Lv, J.; Liu, G.S. MapGene2Chrom, a Tool to Draw Gene Physical Map Based on Perl and SVG Languages. Yi Chuan 2021, 37, 91–97. [Google Scholar]
- Larkin, M.A.; Blackshields, G.; Brown, N.P.; Chenna, R.; McGettigan, P.A.; McWilliam, H.; Valentin, F.; Wallace, I.M.; Wilm, A.; Lopez, R.; et al. Clustal W and Clustal X Version 2.0. Bioinformatics 2007, 23, 2947–2948. [Google Scholar] [CrossRef]
- Chen, C.; Chen, H.; Zhang, Y.; Thomas, H.R.; Frank, M.H.; He, Y.; Xia, R. TBtools: An Integrative Toolkit Developed for Interactive Analyses of Big Biological Data. Mol. Plant 2020, 13, 1194–1202. [Google Scholar] [CrossRef]
- MEME-Suite 5.1.1. Available online: http://meme-suite.org/ (accessed on 1 August 2023).
- Bailey, R.; Armour, K.; Kirk, D.; Jess, M.; Pickup, I.; Sandford, R. BERA Physical Education and Sport P The Educational Benefits Claimed for Physical Education and School Sport: An Academic Review. Res. Pap. Educ. 2009, 24, 1–27. [Google Scholar] [CrossRef]
- PlantCARE Database. Available online: http://bioinformatics.psb.ugent.be/webtools/plantcare/html/ (accessed on 1 August 2023).
- STRING. Available online: https://cn.string-db.org/ (accessed on 1 August 2023).
- Szklarczyk, D.; Gable, A.L.; Nastou, K.C.; Lyon, D.; Kirsch, R.; Pyysalo, S.; Doncheva, N.T.; Legeay, M.; Fang, T.; Bork, P.; et al. Correction to ‘The STRING Database in 2021: Customizable Protein–Protein Networks, and Functional Characterization of User-Uploaded Gene/Measurement Sets. Nucleic Acids Res. 2021, 49, 10800. [Google Scholar] [CrossRef]
- Tu, Y.; Liu, F.; Guo, D.; Fan, L.; Zhu, Z.; Xue, Y.; Gao, Y.; Guo, M. Molecular Characterization of Flavanone 3-Hydroxylase Gene and Flavonoid Accumulation in Two Chemotyped Safflower Lines in Response to Methyl Jasmonate Stimulation. BMC Plant Biol. 2016, 16, 132. [Google Scholar] [CrossRef]
- Liu, F.; Guo, D.D.; Tu, Y.H.; Xue, Y.R.; Gao, Y.; Guo, M.L. Identification of Reference Genes for Gene Expression Normalization in Safflower (Carthamus tinctorius). Rev. Bras. Farmacogn. 2016, 26, 564–570. [Google Scholar] [CrossRef]








| Disclaimer/Publisher’s Note: The statements, opinions and data contained in all publications are solely those of the individual author(s) and contributor(s) and not of MDPI and/or the editor(s). MDPI and/or the editor(s) disclaim responsibility for any injury to people or property resulting from any ideas, methods, instructions or products referred to in the content. | 
© 2023 by the authors. Licensee MDPI, Basel, Switzerland. This article is an open access article distributed under the terms and conditions of the Creative Commons Attribution (CC BY) license (https://creativecommons.org/licenses/by/4.0/).
Share and Cite
Tan, Z.; Lu, D.; Yu, Y.; Li, L.; Dong, W.; Xu, L.; Yang, Q.; Wan, X.; Liang, H. Genome-Wide Identification and Characterization of the bHLH Gene Family and Its Response to Abiotic Stresses in Carthamus tinctorius. Plants 2023, 12, 3764. https://doi.org/10.3390/plants12213764
Tan Z, Lu D, Yu Y, Li L, Dong W, Xu L, Yang Q, Wan X, Liang H. Genome-Wide Identification and Characterization of the bHLH Gene Family and Its Response to Abiotic Stresses in Carthamus tinctorius. Plants. 2023; 12(21):3764. https://doi.org/10.3390/plants12213764
Chicago/Turabian StyleTan, Zhengwei, Dandan Lu, Yongliang Yu, Lei Li, Wei Dong, Lanjie Xu, Qing Yang, Xiufu Wan, and Huizhen Liang. 2023. "Genome-Wide Identification and Characterization of the bHLH Gene Family and Its Response to Abiotic Stresses in Carthamus tinctorius" Plants 12, no. 21: 3764. https://doi.org/10.3390/plants12213764
APA StyleTan, Z., Lu, D., Yu, Y., Li, L., Dong, W., Xu, L., Yang, Q., Wan, X., & Liang, H. (2023). Genome-Wide Identification and Characterization of the bHLH Gene Family and Its Response to Abiotic Stresses in Carthamus tinctorius. Plants, 12(21), 3764. https://doi.org/10.3390/plants12213764
 
        


