Abstract
The Antarctic Peninsula has rapidly warmed up in past decades, and global warming has exhibited an asymmetric trend; therefore, it is interesting to understand whether nocturnal or diurnal warming is the most relevant for plant cold deacclimation. This study aimed to evaluate the effect of diurnal and nocturnal warming on Antarctic vascular plant’s freezing resistance under laboratory conditions. This was studied by measuring the lethal temperature for 50% of tissue (LT50), ice nucleation temperature (INT), and freezing point (FP) on Deschampsia antarctica and Colobanthus quitensis plants. Additionally, soluble carbohydrates content and dehydrin levels were analyzed during nocturnal and diurnal temperatures increase. Nocturnal warming led to a 7 °C increase in the LT50 of D. antarctica and reduced dehydrin-like peptide expression. Meanwhile, C. quitensis warmed plants reduce their LT50 to about 3.6 °C. Both species reduce their sucrose content by more than 28% in warming treatments. Therefore, nocturnal warming leads to cold deacclimation in both plant species, while C. quitensis plants are also cold-deacclimated upon warm days. This suggests that even when the remaining freezing resistance of both species allows them to tolerate summer freezing events, C. quitensis can reach its boundaries of freezing vulnerability in the near future if warming in the Antarctic Peninsula progress.
1. Introduction
The increase in the Antarctic vascular plant populations of Deschampsia antarctica Desv. and Colobanthus quitensis (Kunth) Bartl. observed during the last decades [1,2] has been associated with the regional warming of the Antarctic Peninsula. This has produced longer and warmer growing seasons favoring plant sexual reproduction [3,4,5]. However, Antarctica is among the coldest territories on the planet [6]; therefore, Antarctic plants are constantly dealing with low temperatures, even during growing seasons [7,8].
Several cryoprotective mechanisms have been described to help these plants cope with freezing temperatures, for instance, both vascular plant species living in Antarctica have various morphological xerophytic characteristics, such as small leaf and epidermal cells, thick leaves and cuticle, high stomata density, etc. [9]. A high accumulation of non-structural soluble carbohydrates [10,11,12,13,14] is part of another commonality. In particular, cold-acclimated plants of D. antarctica accumulate ice recrystallization inhibition proteins [15,16,17] and dehydrin proteins [18]. However, cold acclimation can easily revert upon exposure to warming, and these cryoprotective mechanisms may get downregulated [16], reducing their effectiveness under the current warming scenario.
Temperature increases above a species-specific threshold could activate plants’ cold deacclimation process, even with short-term exposure [19,20,21]. Cold deacclimation comprises the partial or total loss of previously acquired freezing tolerance [22], this can occur quickly (days to weeks depending on the species) without significant energy cost, leaving the whole plant or some of its tissues vulnerable to subsequent frosts [21,23]. The plants’ frost vulnerability can vary depending on the following: whether it previously reached freezing tolerance, the deacclimation kinetics, and the ability to quickly reacclimate [21]. Cold deacclimation kinetics depend on previous plant cold hardening and the length of the lag phase, during which exposure to warm temperatures does not result in cold deacclimation [23]. The temperature in the Antarctic Peninsula and adjacent islands range between −10 and 15 °C during the growing season [24]. The rise of the minimum night temperatures above the cold deacclimation threshold of D. antarctica or C. quitensis could threaten their survival. So far, these deacclimation thresholds are unknown for these species.
Field experiments published by Sierra-Almeida et al. [25] reported that D. antarctica and C. quitensis plants after 2 years of warmer temperatures, generated with Open Top Chambers (OTC), decrease their freezing tolerance in at least one studied site, but this trend was not observed in all studied sites. This variability may be associated with two main issues. First, the OTC warms up only during the day and not at night, in other words, it increases the maximum but does not affect the minimum temperature. This is contrary to model predictions of climate change, which predict a greater increase in minimum night temperatures (nocturnal warming) than the increase in maximum daily temperatures (diurnal warming) [26,27]. This phenomenon is known as asymmetric warming [28] and may increase plant nitrogen mobilization, respiration, and photosynthesis [29,30,31]. Recently, Sanhueza et al. [13] reported that both Antarctic species have differential thermal acclimation of respiration to nocturnal warming.
The other putative explanation is that several environmental variables differ among the studied sites selected by Sierra-Almeida et al. [25] independently of the warming treatment used, such as the mean air temperature, soil composition, nutrient availability, and plant communities. These types of variations are common in field studies, and it is difficult to determine the effect of a specific factor since it is practically impossible to control each factor under natural conditions. For this reason, laboratory studies in growth chambers under controlled conditions are a good option to understand the effect of a single environmental factor (e.g., temperature) on plant physiology.
We propose that nocturnal warming could lead to cold deacclimation of D. antarctica and C. quitensis rather than diurnal warming. Freezing resistance and cryoprotectants accumulation were evaluated in a short-term laboratory experiment to assess the differential effect of nocturnal vs. diurnal warming on D. antarctica and C. quitensis.
2. Results
2.1. Freezing Resistance of D. antarctica and C. quitensis Leaves
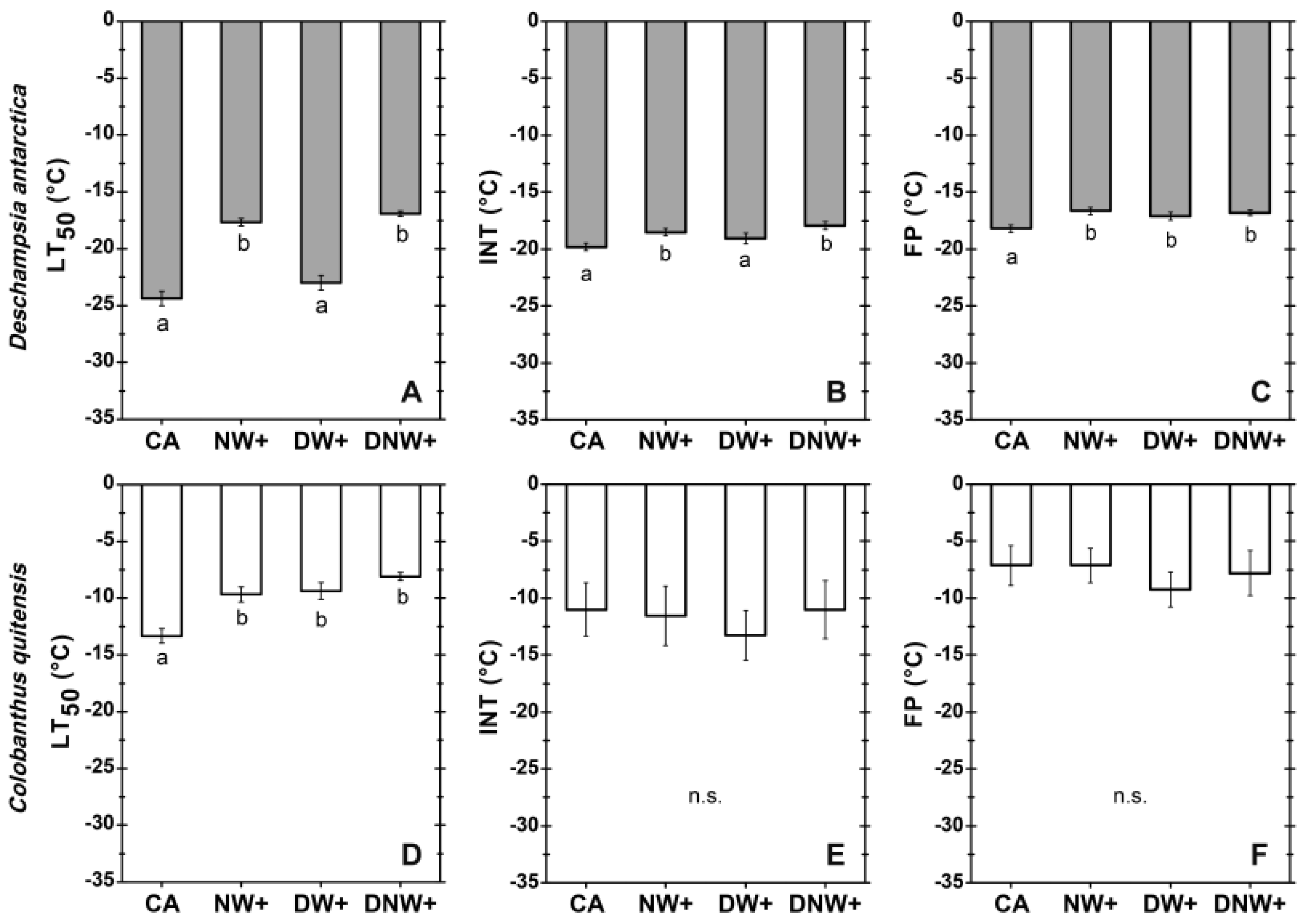
The cold acclimation strategy used (Supplementary Figure S1) allowed cold-acclimated (CA) plants to reach freezing tolerance (LT50 values) similar to those reported in the field [25]. Nocturnal warming treatments increased significantly the LT50 (F3,48 = 61.10; p < 0.001), at least 7 °C higher than control with a small, but still significant, increment (less than 2 °C) of the ice nucleation temperature (INT) (F3,48 = 13.23; p < 0.001) and freezing point (FP) (F3,48 = 19.54; p < 0.001) in D. antarctica. In contrast, diurnal warming treatment (DW+) significantly increased only the FP of this species (Figure 1A–C). Moreover, in C. quitensis all warming treatments significantly increased the LT50 (F3,20 = 13.24; p < 0.001) by at least 3.6 °C with respect to the control treatment, but the INT or FP did not show significant variations among treatments (Figure 1D–F). In addition, the LT50 values were lower and statistically different than the corresponding INT in D. antarctica plants under CA (t = 5.38; p < 0.001; df = 9) and DW+ (t = 5.24; p < 0.001; df = 9) treatments, with 5.7 °C of thermal difference between these variables; meanwhile, tolerance of apoplastic ice formation was not observed in nocturnal warming (NW+) and diurnal–nocturnal warming (DNW+) treatments given that there was no significant difference between their correspondent LT50 and INT. Furthermore, C. quitensis leaves did not tolerate apoplastic ice formation since they exhibited statistically similar corresponding values of LT50 and INT in any treatment.
Figure 1.
Freezing resistance of Deschampsia antarctica (A−C) and Colobanthus quitensis (D,E). Plants grow in chambers with 18 h/6 h photoperiod and thermoperiods duration. The variables measured were: LT50, freezing temperature producing 50% photoinactivation (A,D); INT, ice nucleation tem−perature (B,E); and FP, freezing point (C,F). Values correspond to mean ± SE (n = 12 (A−C) and n = 6 (D−F)), corresponding to experimental treatments with following day/night thermoperiod: 8 °C/0 °C cold−acclimated (CA); 8 °C/6 °C nocturnal warming (NW+); 14 °C/0 °C diurnal warming (DW+); and 14 °C/6 °C diurnal−nocturnal warming (DNW+), with 18 h/6 h photoperiod and thermoperiods duration. Significant differences among treatments are shown as different lower cases (p < 0.05). No significant difference (n.s.).
2.2. Soluble Carbohydrates Content
Sucrose was significantly reduced in D. antarctica (F3,16 = 11.22; p < 0.001) more than 32.5 mg g−1 DW in all warming treatments (Figure 2A). The sucrose content in D. antarctica leaves was inversely correlated to their freezing point temperatures (Supplementary Figure S2A). Additionally, in C. quitensis sucrose concentration was also significantly reduced in all warming treatments compared to the control (F3,16 = 9.53; p < 0.001) by 6.9 mg g−1 DW at least (Figure 2B). Meanwhile, the raffinose content was also significantly reduced in treatments with diurnal warming (F3,16 = 8.43; p = 0.001), with the lowest values measured in plants under DNW+ treatment. The treatment DNW+ presented a significant reduction of galactose content (F3,16 = 8.52; p = 0.001). Furthermore, in C. quitensis the raffinose and sucrose variation trends presented an inverse correlation with LT50 (Supplementary Figure S2B,C), where the treatment with the highest LT50 presented the lowest concentrations of raffinose, sucrose, and galactose. Meanwhile, the fructose and glucose content of both species do not present statistical differences among treatments.
Figure 2.
Soluble carbohydrates content in plant leaves of Deschampsia antarctica (A) and Colobanthus quitensis (B). Carbohydrates contents are represented by columns: raffinose (white), sucrose (light gray), glucose (dark gray), fructose (black), and galactose (white with diagonal stripes). Values cor−respond to mean ± SE (n = 5), corresponding to experimental treatments with the following day/night thermoperiod: 8 °C/0 °C cold−acclimated (CA); 8 °C/6 °C nocturnal warming (NW+); 14 °C/0 °C diurnal warming (DW+) and 14 °C/6 °C diurnal-nocturnal warming (DNW+), with 18 h/6 h photoperiod and thermoperiods duration. Significant differences among treatments are shown as different lower cases (p < 0.05). No significant difference (n.s.).
Galactose was not detectable in D. antarctica samples. In addition, it was not possible to effectively resolve the raffinose and 1-kestose in D. antarctica (Supplementary Figure S3A) or the stachyose and verbascose in C. quitensis (Supplementary Figure S3B). However, the heigh of those mixed peaks (in absorbance units) did not vary significantly among treatments (data not show).
2.3. Dehydrins Analysis
Five dehydrin-like proteins were detected by the polyclonal antibody against the K segment in D. antarctica plants. The detected bands presented apparent molecular weights between 61 and 29 kDa (Figure 3). The increase in nocturnal temperature decreased leaf dehydrin levels to values below the detection limit. However, the increase in diurnal temperature alone did not modify significantly the dehydrin level and profile (Figure 3). No dehydrin-like protein was detected in C. quitensis.
Figure 3.
Dehydrin-like peptides from Deschampsia antarctica under laboratory conditions. (A) Western blot that shows the dehydrin-like peptide accumulation among treatments. (B) Relative abundance of dehydrin-like peptides obtained by densitometric analyses of corresponding Western blot. The relative abundance of 5 peptides with different molecular weights was measured. Values represent the mean ± SE (n = 5), corresponding to experimental treatments with the following day/night thermoperiod: 8 °C/0 °C cold-acclimated (CA); 8 °C/6 °C nocturnal warming (NW+); 14 °C/0 °C diurnal warming (DW+) and 14 °C/6 °C diurnal-nocturnal warming (DNW+), with 18 h/6 h photoperiod and thermoperiods duration. No significant difference (n.s.).
3. Discussion
Nocturnal warming induced a reduction in the freezing resistance of D. antarctica and C. quitensis plants in a short-term laboratory experiments. Furthermore, the diurnal warming per se was not able to induce cold deacclimation in D. antarctica. This result contrasts with those reported by Sierra-Almeida et al. [25] in field plants, who found that passive warmed plants (daytime only, using open-top chambers) significantly increase their LT50 (about 2 °C) in both species in the same study site (Site 2) during the 2015 growing season. This lack of consistency between laboratory and field experiments suggest that other factors, additional to temperature, in the passive warming system could influence the plant response in the field [32]. For instance, the lack of nocturnal warming may have a significant influence on the frequency of freeze/thaw events in the soil and root system, and hence on carbon and nitrogen decomposition [33]. Additionally, in some Alpine plants (e.g., Prezia carthamoides, Taraxacum officinale, and Pozoa coriaceae), no freezing tolerance difference between OTC passive warming and open space treatments have been reported [34], which show that only diurnal warming is not always enough to induce cold deacclimation.
The increase in night temperature (from 0 to 6 °C), with or without diurnal warming significantly decreased D. antarctica freezing tolerance (7 °C), and only slightly reduced (less than 2 °C) the leaf tissue capacity to prevent extracellular ice formation. Growing temperatures above 6 °C, exceed by at least 1 °C the cold deacclimation threshold reported for other Pooideae subfamily members (e.g., Agrostis stolonifera, Lolium perenne, Phleum pratense, Poa annua, and Triticum aestivum), which is between 3 and 5 °C [19,20,35]. Although current environmental conditions in the Western Antarctic Peninsula do not present regular increases of this magnitude in minimum temperatures, these could occur at least for short-term periods in the near future [26].
On the other hand, C. quitensis plants reduced their freezing resistance by more than 3.6 °C at each warming treatment. The fact that C. quitensis cold-acclimated plants had similar values of LT50 and INT suggests that the cold acclimation conditions used here were not able to induce real freezing tolerance (tolerance of ice crystal formation within the leaf tissue) in this species. Therefore, its freezing tolerance depends on its supercooling abilities, hence their leaves suffered significant damage when apoplastic water freezes. These results are in agreement with those reported by Bravo et al. [36] for C. quitensis plants cold-acclimated at 4 °C for 21 days.
In addition, cold-deacclimated plants from this experiment exhibited lower LT50 than nonacclimated plants previously reported by Bravo et al. [36] and Gianoli et al. [37]; they were still able to prevent freezing by supercooling to nearly −18 °C and −7 °C for D. antarctica and C. quitensis, respectively. This is also supported by the small variations in ice nucleation temperature values observed among treatments, being at least 70% and 10% lower for cold-deacclimated plants of D. antarctica and C. quitensis, respectively, compared to that previously reported by Bravo et al. [36]. The small increase (less than 2 °C) in ice nucleation temperature observed in D. antarctica plants under nocturnal warming could be related to an increment of nucleating agents in leaf tissue intercellular spaces [38]. Similarly, the small or null increases in the freezing point of both species (less than 2 °C), suggest that short-term cold deacclimation has little effect on the content of the solutes with colligative properties, as was the case of total soluble sugars reported by Borovik et al. [39] and Sanhueza et al. [13] in wheat and Antarctic vascular plants, respectively.
Despite this, a closer look at the specific soluble carbohydrate’s variation reveals that while glucose and fructose contents remain unchanged at each warming treatment; other carbohydrates, such as sucrose in both species and raffinose and galactose in C. quitensis, do decrease their content. Both D. antarctica and C. quitensis cold-acclimated plants commonly accumulate large amounts of sucrose [10,40,41], which has a wide cellular distribution and could have an important role, not only by depressing the freezing point colligatively [42,43] but also by stabilizing proteins and cell membranes [44,45].
Sucrose was the most abundant soluble carbohydrate in D. antarctica, and a 28% drop of sucrose content in DW+ plants does not affect freezing tolerance in this species. However, at least part of this sucrose content reduction seems to be reflected in the colligative properties of the apoplastic fluid, with a modest increase in its freezing point. In contrast, sucrose seems to have a more relevant role in freezing resistance as a cellular protector in C. quitensis, since a 30% drop in sucrose content could be related to a reduction in freezing resistance of its leaf tissue when growth temperature increases. In addition, sucrose did not colligatively increase the freezing point in C. quitensis.
Another C. quitensis soluble carbohydrate with high variation among treatments is raffinose, which is produced in the cytoplasm but accumulates mainly in the vacuole and chloroplast stroma, where it is believed to serve as a membrane integrity protector [46,47]. Raffinose is also associated with the protection and stability of PSII [48]. Therefore, the decrease in leaf raffinose contents could contribute to the increase in LT50 in warmed plants of C quitensis in our experiment, as was reported in other Eudicots, including wild blueberry [49] or sugar beet [50] and also boreal conifers [51]. This could be particularly important because our LT50 method is essentially based on PSII stability.
We were unable to separate and quantify oligofructans previously reported for this plants species [11,12], such as raffinose and 1-kestose (D. antarctica), and stachyose and verbascose (C. quitensis). However, the added unresolved peaks did not show apparent differences among deacclimation treatments. This suggests that these sugars do not respond to short-term warming.
The decrease of accumulated soluble carbohydrates could be related to their allocation to plant vegetative growth and the increase in the respiration rate activated by warmer temperatures [21,29,52]. Previous results in Antarctic vascular plants seems to support this hypothesis since Sanhueza et al. [13] reported that D. antarctica and C. quitensis under nocturnal warming experimental condition reduced their ratio between respiration and carbon assimilation, favored mainly by the increase of CO2 assimilation in D. antarctica and acclimation of respiration in C. quitensis. Night-warmed D. antarctica also increases its dark respiration during the day [13]. Meanwhile, Sáez et al. [53] observed that C. quitensis plants under passive warming treatment (similar to DW+) reduced their leaf mass area and leaf density and promoted plant growth, net CO2 assimilation rate, and dark respiration. This suggests that the accumulated carbohydrates and the newly assimilated CO2 were used in other biological processes, such as vegetative and reproductive growth.
Similar levels of dehydrin-like proteins in CA and DW+ plants of D. antarctica, as well as their absence in the treatments including nocturnal warming, suggest an important role in the freezing tolerance in this species and further support the idea that nocturnal more than diurnal warming favors the cold deacclimation response in the Antarctic grass. Dehydrins are associated with cell membrane stability, preventing membrane hexagonal-phase transition under freezing temperature as a result of lipids interaction in a medium with less polarity, and the consequent electrolytes loss and other essential components of the cytoplasm [54]. The observed decrease in dehydrin-like protein levels during cold deacclimation has also been recorded in winter wheat and grasses, such as Poa annua, Agrostis stolonifera, and Cynodon spp. [19,39,55,56]. Therefore, given that diurnal warming per se does not affect the relative abundance of the dehydrin-like proteins detected in D. antarctica, it could be inferred that DW+ has little effect on the cold deacclimation induction in this species, at least in the current experimental condition. In the same line of thought, it could be expected that nocturnal warming with minimum night temperatures above the deacclimation threshold, downregulated the transcription factors required for dehydrin expression as it happens in Hordeum vulgare and Rhododendron anthopogon plants [57,58], as well as other proteins related to freezing tolerance, such as apoplastic ice recrystallization inhibition proteins (IRIP) [15,59,60]. A prominent candidate to regulate the expression of these genes is CBF transcription factor, which conforms a regulon that controls the expression of genes necessary for cold acclimation and freezing tolerance [61,62,63,64]. Two CBF genes have been described and proved to be functional in D. antarctica [65]. The analyses of the regulon CBF transcripts, comparing diurnal and nocturnal warming, are under way.
It is intriguing the absence of dehydrin antibody recognition in C. quitensis, even in cold-acclimated plants. It seems that the antibody had no cross reactivity with this Caryophyllaceae, even when it is capable to detect dehydrins in other Eudicots families, such as Malvaceae, Solanaceae, Brassicaceae, Fabaceae, and Cucurbitaceae [66].
The results obtained in this research are relevant to predict future impacts of regional warming in Antarctica concerning plant freezing vulnerability, since our results suggest that even the observed reduction in freezing tolerance/avoidance due to cold deacclimation is not enough to jeopardize plant survival. These plant species could withstand freezing events of around −17 °C for D. antarctica and up to −8 °C for C. quitensis, even though field plants could respond slightly differently to the same stimulus. These would allow both plant species to cold-deacclimate within a safety margin, being not yet vulnerable to the lowest freezing event reported for Antarctic summer months (−6.7 °C) near H. Arctowski Station by Kejna [67] and Plenzler et al. [68]. However, if C. quitensis plants would cold-deacclimate earlier in the growing season, they will approach dangerously to the vulnerability range of temperature because temperatures can reach as low as −16 °C between October and November [67,68].
4. Materials and Methods
4.1. Plant Material, Growth Conditions, and Warming Treatments
Deschampsia antarctica Desv. and Colobanthus quitensis Kunth Bartl. plants were collected in February 2018 near Henryk Arctowski Polish Scientific Station, King George Island, Maritime Antarctic (62°09′41″ S–58°28′10″ W). Plants were reproduced vegetatively and grown as described by Bravo et al. [36] in 400 mL pots with soil mixture 3:2:1 (vegetal soil:vermiculite:peat) in a controlled climate room at 13 °C constant temperature with 18 h light and 6 h dark photoperiod, which coincides with their habitat photoperiod in November according to NOAA ‘Sunrise/Sunset Calculator’, when snow cover is usually melted at the beginning the growth and reproduction period in their natural habitat.
These plants were cold acclimated at 10° C/2 °C (max/min) of 18 h/6 h day/night thermoperiod. Plants were maintained for 14 days under these conditions, then the diurnal temperature was reduced to 8 °C and the nocturnal temperature to −2 °C for 7 days to induce further cold acclimation, and subsequently the nocturnal temperature was increased to 0 °C for 7 more days. This condition maintains cold acclimation while it is close to Antarctic Spring temperatures (28 days in total). Then, groups of pots were transferred to 4 thermoperiods treatments that were established with the following temperature of culture: (CA) maintained at 8 °C/0 °C day/night, it is the control where plants remain in cold acclimation condition; (NW+) only nocturnal warming at 8 °C/6 °C day/night; (DW+) only diurnal warming 14 °C/0 °C day/night; and (DNW+), both diurnal and nocturnal warming at 14 °C/6 °C day/night. In all conditions, the photoperiod was maintained the same, the minimum temperature lasted 6 h within the night period, and the maximum temperature was maintained for 10 h of the day period, leaving the remaining 8 h of the day for the gradual increase and decrease of temperature. The plants remained in these conditions for 14 days, and the treatment’s effect was evaluated at the end of this period.
4.2. Freezing Tolerance (LT50)
The freezing tolerance was determined in D. antarctica (n = 10) and C. quitensis (n = 6) plants as the temperature at which leaf tissue reached 50% of photoinactivation (PhI), interpreted as the lethal temperature for 50% of tissue (LT50). This parameter was evaluated on excised leaves by applying a controlled temperature decent using a Peltier-Thermoelectric Cold Plate Cooler (CP-121, TE-Technohlogy, Inc., Traverse City, MI, USA), regulated by a bidirectional temperature controller, programmed at desired temperature through software supplied by the manufacturer (TE-Technology, Inc., Traverse City, MI, USA). The leaves were spread on slightly moistened filter paper on the Peltier modules surface and covered with a transparent glass to avoid tissue dehydration and to obtain close thermal contact of leaves to the cold plate. Maximum photochemical efficiency (Fv/Fminitial) was determined after darkening the plant material for 30 min at 13 °C (control temperature) with the IMAGING-PAM M-Series MAXI Version fluorimeter (Walz, Effeltrich, Germany). Then, the temperature was lowered from 13 to 0 °C within 30 min and then at different target temperatures, from −6 to −35 °C (one target temperature for each Peltier); once the target temperature was reached, it was maintained for 90 min. Subsequently, the temperature was raised again to 0 °C, where it was kept for 30 min (tissue thawing period), and then from 0 to 13 °C, where it remained for 9 h (recovery period). Leaves were in darken all the time. Once this period had elapsed, Fv/Fm has measured again (Fv/Fmfinal) (Supplementary Figure S4). The minimum Fv/Fm after a deathly freezing event was obtained by submerging the leaves in liquid nitrogen for 90 min, then putting them in a 0 °C environment for 30 min; after that, the leaves were organized on a moistened filter paper and kept on a covered Peltier modules surface at 13 °C for 9 h (Fv/Fmdeath) in darkness. To calculate the percentage of photoinactivation (PhI) was used the following formula modified from Larcher [69]: %PhI = (Fv/Fminitial − Fv/Fmfinal)/(Fv/Fminitial − Fv/Fmdeath) × 100.
4.3. Thermal Analysis
This analysis was used to determine the ice nucleation temperature (INT) and the freezing point (FP) of D. antarctica (n = 10) and C. quitensis (n = 6) leaves. It was carried out based on the methodology described by Arnold et al. [70] with modifications. The first fully expanded leaves of the sprout were used. These leaves were placed on the Peltier-Thermoelectric Cold Plate Cooler surface (CP-121, TE-Technology, Inc., Traverse City, MI, USA) covered with parafilm to decrease the thermal conductivity of the metal plate. A thermocouple (Gauge 30, copper-constantan, type K thermocouples; Cole Palmer Instruments, Vernon Hills, IL, USA) was placed on each leaf to monitor the temperature. Later the system was covered with a sheet of foam rubber to insulate it thermally. The Peltier was controlled using a program supplied by PITEC (Puig Ingeniería y Tecnología S.A., Santiago, Chile), regulating the temperature drop from 0 to −24 °C at 3 °C h−1 rate. The leaf temperature was monitored with a personal data acquisition module (DAQ, USB-2408 Series) controlled by DAQami™ software, both supplied by the manufacturer (Measurement Computing Corp, Norton, MA, USA). The leaf INT and FP were determined based on the exotherms produced by the heat released during the process of water freezing in the apoplast, including the water from the symplast driven outwards by water potential difference caused by apoplastic ice formation [71]. The low temperature value at the exotherm start corresponds to ice INT, and the maximum point reached by the exotherm corresponds to FP.
4.4. Carbohydrate Analyses
Soluble carbohydrates were obtained from 15 mg of lyophilized leaf tissue from 5 plants of each species. Total soluble sugars (TSS) content was extracted three times with methanol:chloroform:water (12:5:3, v/v/v) solution and separated from nonpolar pigments and lipids by adding ⅓ and ¼ final volume of chloroform and water, respectively, according to Dickson [72]. High thin-layer chromatography was carried out to determine the amount of fructose, glucose, sucrose, and raffinose following the protocol proposed by Oberlerchner et al. [73] with modifications. In summary, prewashed in methanol:water (6:1, v/v) silica-gel glass plates 60 F254 (20 × 10 cm, Merck, Darmstadt, Germany) were impregned with sodium dihydrogen phosphate-disodium hydrogen phosphate buffer (pH 6.8, 0.2 M) by immersion. Samples and standards were sprayed as bands of 8 mm using an ATS4 automated applicator (CAMAG, Muttenz, Switzerland). The distance between bands was 2 mm with bands starting at 8 mm from the bottom of the plate. Different known amounts of fructose, glucose, galactose, sucrose, raffinose, and stachyose standards were sprayed on 6 lines in all plates. All samples were sprayed twice, once with 2 µL volume for oligosaccharides and the other with 10 µL, for monosaccharides quantifications. Development was carried out in three sequential steps in a semiautomated chamber (CAMAG Twin Through Glass chamber 20 × 20 cm). First and second developments used as solvent acetonitrile:1-pentanol:water (4:1:1, v/v/v), while the third changed to acetonitrile:1-butanol:water (4:1:1, v/v/v). Every development was set: predrying 30 s, no saturation, 10 min activation with MgCl2 solution, and 70 mm migration distance each run. To allow detection, sugar derivatives were generated by dipping the plates 1 s in a solution containing aniline 1% (v/v), diphenylamine 1% (w/v), orthophosphoric acid 9% (v/v), and methanol:water (9:1, v/v). Plates were then heated at 130 °C for 5 min and scanned (TLC scanner 3, CAMAG, Muttenz, Switzerland) at 520 nm. The quantification was carried out via peak high and a multilevel calibration with linear regressions, using the Software WinCATS 1.4.4.6337 (CAMAG, Muttenz, Switzerland).
4.5. Immunoblot Analyses of Dehydrin-Like Peptides
Extraction of the thermostable fraction of proteins was performed from the leaf tissue of 5 plants of each species, based on the method proposed by Oliveira et al. [74] with modifications. In summary, liquid nitrogen frozen plant material was lyophilized and pulverized in mortars. A total of 50 mg dry leaf tissue from each sample was added 1 mL extraction buffer (20 mM TES, 0.5 M NaCl, pH 8.0). The mixture was vigorously shaken for 1 min and then centrifuged at 15,000× g at 4 °C for 10 min. Subsequently, the supernatant was boiled at 100 °C for 10 min then chilled on ice and centrifuged. Soluble proteins were quantified by the Bradford assay [75]. Then, the proteins were precipitated in TCA 15% (w/v), and after centrifuge at 15,000× g 4 °C for 15 min, the pellet was washed twice with a solution of methanol and 0.1 M ammonium acetate and dried in a desiccator. Next, the pellet was resuspended in Laemli buffer and 20 μg of proteins from each sample were separated in duplicate according to their molecular weight using SDS-polyacrylamide gels electrophoresis, composed of a stacking gel 4% (w/v) and a separating gel 12% (w/v). One gel was stained with colloidal Coomassie brilliant blue G-250 [76]. Meanwhile, the other was transferred to a PVDF membrane by wet transfer (1 h at 110 V). Dehydrin immunolocalization was carried out using polyclonal antibodies with reactivity against the Lysine-rich peptide (K segment) of dehydrins at the manufacturer’s recommended dilution 1:4000 [77], and a secondary HRP-conjugated antirabbit IgG (Bio-Rad, Hercules, CA, USA) in a dilution 1:10,000. Protein detection was carried out by ECL chemiluminescence (Pierce, Rockford, IL, USA) on X-ray film (Fuji, Tokyo, Japan). The densitometric measurements of the bands corresponding to each protein were performed with the TotalLabQuant software. The results were expressed as a percentage of the maximum level determined.
4.6. Statistical Analyses
The effect of diurnal and nocturnal warming on LT50, INT, FP, and carbohydrates content was assessed using one-way ANOVA tests. The differences among treatments in the ANOVA were assessed by Tukey-HSD tests. Also, the difference between the temperatures at which LT50 and INT occur and the dehydrins levels were assessed with the Student’s t-test. Finally, the relations between significantly variable carbohydrates and FP for D. antarctica or LT50 for C. quitensis were assessed with the Pearson correlation test. The analyses were performed with the software Statistica 8.0 (Stat Soft Inc. Tulsa, OK, USA).
5. Conclusions
The evidence obtained in the present study partially supports our hypothesis, since an increase in minimum night temperature is key in the cold deacclimation process in both species. In contrast, a short-term increase in maximum diurnal temperature only induced a significant cold deaclimation in C. quitensis. Furthermore, the remaining freezing resistance of D. antarctica and C. quitensis allows them to tolerate the magnitude of possible freezing events that occur during the summer months in their habitat, but C. quitensis could be more vulnerable to freezing if warming in the Antarctic Peninsula continues. However, more studies are necessary to understand the mechanisms that lead to the cold deacclimation of these species as well as to better understand the consequences that regional warming will have on their field populations. In this sense, it would be interesting to evaluate the effect of night warming under field experimental conditions with the development of new active warming systems that allow controlling the minimum temperatures.
Supplementary Materials
The following supporting information can be downloaded at: https://www.mdpi.com/article/10.3390/plants12040806/s1, Figure S1: Cold acclimation strategy and treatment design. Graphic description of the cold acclimation process used in the experiment (upper part of the figure). The different warming treatments used for 14 days before assessing the experiment: control cold-acclimated plants (CA), nocturnal warming (NW+), diurnal warming (DW+), and diurnal-nocturnal warming (DNW+). The black and white bars above the x axis represent the dark (night) 6h and light (day) 18h daily periods respectively. The red arrow highlights the temperature increments used in each treatment (bottom part of the figure); Figure S2. Significant correlation between soluble carbohydrates content and freezing resistance variables. Deschampsia antarctica: sucrose content vs freezing point (A). Colobanthus quitensis: raffinose content vs LT50 (B), and sucrose content vs LT50 (C). Each graph represents 5 biological replicates in the 4 treatments (CA, NW+, DW+, DNW+), with p < 0.001 significant. The 95% confident intervals are represented between dash lines; Figure S3. Soluble carbohydrates profiles. Densitometric histogram of the absorbance vs retention factor (Rf) of soluble carbohydrates recorded from Deschampsia antarctica (A) and Colobanthus quitensis (B) in silica plates pretreated with sodium phosphate buffer, after two development with acetonitrile:1-pentanol:water (4:1:1) and one with acetonitrile:1-butanol:water (4:1:1). Labeled in black are the peaks that were possible to resolve and quantify, meanwhile in red are labeled the peaks mixed that was not possible discriminate between their putative components; Figure S4. Photosystem II damage after freezing events. Visual representation of Fv/Fmfinal values of Deschampsia antarctica group of leaves, after different freezing events and their control at 13 °C. Experimental treatments represent the following day/night thermoperiod: 8 °C/0 °C cold-acclimated (CA); 8 °C/6 °C nocturnal warming (NW+); 14 °C/0 °C diurnal warming (DW+) and 14 °C/6 °C diurnal and nocturnal warming (DNW+). In the picture bottom is presented the percentual scale of Fv/Fm values.
Author Contributions
Conceptualization, D.L., L.B.-G. and L.A.B.; methodology, D.L., H.S.-G. and L.A.B.; investigation, D.L., C.S., H.S.-G. and L.A.B.; formal analysis, D.L. and L.A.B.; resources, L.B.-G. and L.A.B.; writing—original draft preparation and editing, D.L.; writing—review and editing, C.S., L.B.-G. and L.A.B.; visualization, D.L.; project administration, L.A.B.; and funding acquisition, D.L. and L.A.B. All authors have read and agreed to the published version of the manuscript.
Funding
This research was funded by ANID: Fondecyt 1151173 and Scholarship Program/BECA DE DOCTORADO NACIONAL/2017—21170470; NEXER-UFRO NXR17-0002; and INACH RT 18-18.
Data Availability Statement
Not applicable.
Acknowledgments
The authors thank the 42nd crews of Henryk Arctowski Station for their tremendous help and logistic support; and the Instituto Antártico Chileno (INACH) for the support provided (including the permits to work and sample close to ASPA 128) during 54th Antarctic Scientific Expedition (ECA). Also, Fresia Anguita from the Centro de Genómica Nutricional Agroacuícola for the technical support in carbohydrates determinations, and the illustrator Fernanda Meneses−Ponzini for drawing the graphical abstract.
Conflicts of Interest
The authors declare no conflict of interest. The funders had no role in the design of the study; in the collection, analyses, or interpretation of data; in the writing of the manuscript; or in the decision to publish the results.
References
- Torres-Mellado, G.A.; Jaña, R.; Casanova-Katny, M.A. Antarctic hairgrass expansion in the South Shetland archipelago and Antarctic Peninsula revisited. Polar Biol. 2011, 34, 1679–1688. [Google Scholar] [CrossRef]
- Cannone, N.; Guglielmin, M.; Convey, P.; Worland, M.R.; Favero Longo, S.E. Vascular plant changes in extreme environments: Effects of multiple drivers. Clim. Chang. 2016, 134, 651–665. [Google Scholar] [CrossRef]
- Day, T.A.; Ruhland, C.T.; Grobe, C.W.; Xiong, F. Growth and reproduction of Antarctic vascular plants in response to warming and UV radiation reductions in the field. Oecologia 1999, 119, 24–35. [Google Scholar] [CrossRef]
- Fowbert, J.A.; Smith, R.I.L. Rapid population increases in native vascular plants in the Argentine Islands, Antarctic Peninsula. Arct. Alp. Res. 1994, 26, 290–296. [Google Scholar] [CrossRef]
- Smith, R.I.L. Vascular plants as bioindicators of regional warming in Antarctica. Oecologia 1994, 99, 322–328. [Google Scholar] [CrossRef] [PubMed]
- Robinson, S.A.; Wasley, J.; Tobin, A.K. Living on the edge—Plants and global change in continental and maritime Antarctica. Glob. Chang. Biol. 2003, 9, 1681–1717. [Google Scholar] [CrossRef]
- Convey, P. The influence of environmental characteristics on life history attributes of Antarctic terrestrial biota. Biol. Rev. 1996, 71, 191–225. [Google Scholar] [CrossRef]
- Convey, P.; Chown, S.L.; Clarke, A.; Barnes, D.K.A.; Bokhorst, S.; Cummings, V.; Ducklow, H.W.; Frati, F.; Green, T.G.A.; Gordon, S.; et al. The spatial structure of antarctic biodiversity. Ecol. Monogr. 2014, 84, 203–244. [Google Scholar] [CrossRef]
- Cavieres, L.A.; Sáez, P.; Sanhueza, C.; Sierra-Almeida, A.; Rabert, C.; Corcuera, L.J.; Alberdi, M.; Bravo, L.A. Ecophysiological traits of Antarctic vascular plants: Their importance in the responses to climate change. Plant Ecol. 2016, 217, 343–358. [Google Scholar] [CrossRef]
- Zúñiga-Feest, A.; Bascuñán-Godoy, L.; Reyes-Diaz, M.; Bravo, L.A.; Corcuera, L.J. Is survival after ice encasement related with sugar distribution in organs of the Antarctic plants Deschampsia antarctica Desv. (Poaceae) and Colobanthus quitensis (Kunth) Bartl. (Caryophyllaceae)? Polar Biol. 2009, 32, 583–591. [Google Scholar] [CrossRef]
- Piotrowicz-Cieślak, A.I.; Giełwanowska, I.; Bochenek, A.; Loro, P.; Górecki, R.J. Carbohydrates in Colobanthus quitensis and Deschampsia antarctica. Acta Soc. Bot. Pol. 2005, 74, 209–217. [Google Scholar] [CrossRef]
- Pastorczyk, M.; Giełwanowska, I.; Lahuta, L.B. Changes in soluble carbohydrates in polar Caryophyllaceae and Poaceae plants in response to chilling. Acta Physiol. Plant. 2014, 36, 1771–1780. [Google Scholar] [CrossRef]
- Sanhueza, C.; Fuentes, F.; Cortes, D.; Bascuñan, L.; Saez, P.; Bravo, L.A.; Cavieres, L. Contrasting thermal acclimation of leaf dark respiration and photosynthesis of Antarctic vascular plant species exposed to nocturnal warming. Physiol. Plant. 2019, 167, 205–216. [Google Scholar] [CrossRef] [PubMed]
- Zuñiga, G.E.; Alberdi, M.; Corcuera, L.J. Non-structural carbohydrates in Deschampsia antarctica Desv. from South Shetland Islands, Maritime Antarctic. Environ. Exp. Bot. 1996, 36, 393–399. [Google Scholar] [CrossRef]
- John, U.P.; Polotnianka, R.M.; Sivakumaran, K.A.; Chew, O.; MacKin, L.; Kuiper, M.J.; Talbot, J.P.; Nugent, G.D.; Mautord, J.; Schrauf, G.E.; et al. Ice recrystallization inhibition proteins (IRIPs) and freeze tolerance in the cryophilic Antarctic hair grass Deschampsia antarctica E. Desv. Plant Cell Environ. 2009, 32, 336–348. [Google Scholar] [CrossRef]
- Chew, O.; Lelean, S.; John, U.P.; Spangenberg, G.C. Cold acclimation induces rapid and dynamic changes in freeze tolerance mechanisms in the cryophile Deschampsia antarctica E. Desv. Plant Cell Environ. 2012, 35, 829–837. [Google Scholar] [CrossRef]
- Short, S.; Díaz, R.; Quiñones, J.; Beltrán, J.; Farías, J.G.; Graether, S.P.; Bravo, L.A. Effect of in vitro cold acclimation of Deschampsia antarctica on the accumulation of proteins with antifreeze activity. J. Exp. Bot. 2020, 71, 2933–2942. [Google Scholar] [CrossRef]
- Olave-Concha, N.; Ruiz-Lara, S.; Muñoz, X.; Bravo, L.A.; Corcuera, L.J. Accumulation of dehydrin transcripts and proteins in response to abiotic stresses in Deschampsia antarctica. Antarct. Sci. 2004, 16, 175–184. [Google Scholar] [CrossRef]
- Hoffman, L.; DaCosta, M.; Scott Ebdon, J. Examination of cold deacclimation sensitivity of annual bluegrass and creeping bentgrass. Crop Sci. 2014, 54, 413–420. [Google Scholar] [CrossRef]
- Jørgensen, M.; Østrem, L.; Höglind, M. De-hardening in contrasting cultivars of timothy and perennial ryegrass during winter and spring. Grass Forage Sci. 2010, 65, 38–48. [Google Scholar] [CrossRef]
- Pagter, M.; Arora, R. Winter survival and deacclimation of perennials under warming climate: Physiological perspectives. Physiol. Plant. 2012, 147, 75–87. [Google Scholar] [CrossRef] [PubMed]
- Vyse, K.; Pagter, M.; Zuther, E.; Hincha, D.K. Deacclimation after cold acclimation- a crucial, but widely neglected part of plant winter survival. J. Exp. Bot. 2019, 70, 4595–4604. [Google Scholar] [CrossRef] [PubMed]
- Kalberer, S.R.; Wisniewski, M.; Arora, R. Deacclimation and reacclimation of cold-hardy plants: Current understanding and emerging concepts. Plant Sci. 2006, 171, 3–16. [Google Scholar] [CrossRef]
- Convey, P. Antarctic Ecosystems. In Encyclopedia of Biodiversity; Levin, S.A., Ed.; Elsevier: San Diego, CA, USA, 2013; Volume 1, pp. 179–188. ISBN 9780123847195. [Google Scholar] [CrossRef]
- Sierra-Almeida, A.; Cavieres, L.A.; Bravo, L.A. Warmer temperatures affect the in situ freezing resistance of the antarctic vascular plants. Front. Plant Sci. 2018, 9, 1456. [Google Scholar] [CrossRef] [PubMed]
- Stocker, T. (Ed.) Intergovernmental Panel on Climate Change. In Climate Change 2013 – The Physical Science Basis: Working Group I Contribution to the Fifth Assessment Report of the Intergovernmental Panel on Climate Change; Cambridge University Press: Cambridge, UK, 2014; ISBN 9781107415324. [Google Scholar] [CrossRef]
- Davy, R.; Esau, I.; Chernokulsky, A.; Outten, S.; Zilitinkevich, S. Diurnal asymmetry to the observed global warming. Int. J. Climatol. 2017, 37, 79–93. [Google Scholar] [CrossRef]
- Wen, Y.; Liu, X.; Du, G. Nonuniform time-lag effects of asymmetric warming on net primary productivity across global terrestrial biomes. Earth Interact. 2018, 22, 1–26. [Google Scholar] [CrossRef]
- Wan, S.; Xia, J.; Liu, W.; Niu, S. Photosynthetic overcompensation under nocturnal warming enhances grassland carbon sequestration. Ecology 2009, 90, 2700–2710. [Google Scholar] [CrossRef]
- Turnbull, M.H.; Murthy, R.; Griffin, K.L. The relative impacts of daytime and night-time warming on photosynthetic capacity in Populus deltoides. Plant Cell Environ. 2002, 25, 1729–1737. [Google Scholar] [CrossRef]
- Hu, C.; Tian, Z.; Gu, S.; Guo, H.; Fan, Y.; Abid, M.; Chen, K.; Jiang, D.; Cao, W.; Dai, T. Winter and spring night-warming improve root extension and soil nitrogen supply to increase nitrogen uptake and utilization of winter wheat (Triticum aestivum L.). Eur. J. Agron. 2018, 96, 96–107. [Google Scholar] [CrossRef]
- Bokhorst, S.; Huiskes, A.D.; Aerts, R.; Convey, P. Variable temperature effects of Open Top Chambers at polar and alpine sites explained by irradiance and snow depth. Glob. Chang. Biol. 2013, 19, 64–74. [Google Scholar] [CrossRef]
- Tang, S.; Yuan, P.; Tawaraya, K.; Tokida, T.; Fukuoka, M.; Yoshimoto, M.; Sakai, H.; Hasegawa, T.; Xu, X.; Cheng, W. Winter nocturnal warming affects the freeze-thaw frequency, soil aggregate distribution, and the contents and decomposability of C and N in paddy fields. Sci. Total Environ. 2022, 802, 149870. [Google Scholar] [CrossRef] [PubMed]
- Sierra-Almeida, A.; Cavieres, L.A. Summer freezing resistance decreased in high-elevation plants exposed to experimental warming in the central Chilean Andes. Oecologia 2010, 163, 267–276. [Google Scholar] [CrossRef] [PubMed]
- Rapacz, M.; Jurczyk, B.; Sasal, M. Deacclimation may be crucial for winter survival of cereals under warming climate. Plant Sci. 2017, 256, 5–15. [Google Scholar] [CrossRef]
- Bravo, L.A.; Ulloa, N.; Zuñiga, G.E.; Casanova, A.; Corcuera, L.J.; Alberdi, M. Cold resistance in antarctic angiosperms. Physiol. Plant. 2001, 111, 55–65. [Google Scholar] [CrossRef]
- Gianoli, E.; Inostroza, P.; Zúñiga-Feest, A.; Reyes-Díaz, M.; Cavieres, L.A.; Bravo, L.A.; Corcuera, L.J. Ecotypic Differentiation in Morphology and Cold Resistance in Populations of Colobanthus quitensis (Caryophyllaceae) from the Andes of Central Chile and the Maritime Antarctic. Arctic Antarct. Alp. Res. 2004, 36, 484–489. [Google Scholar] [CrossRef]
- Sakai, A.; Larcher, W. Frost Survival of Plants Responses and Adaptation to Freezing Stress; Springer: Berlin, Germany, 1987; ISBN 9783642717475. [Google Scholar] [CrossRef]
- Borovik, O.A.; Pomortsev, A.V.; Korsukova, A.V.; Polyakova, E.A.; Fomina, E.A.; Zabanova, N.S.; Grabelnych, O.I. Effect of Cold Acclimation and Deacclimation on the Content of Soluble Carbohydrates and Dehydrins in the Leaves of Winter Wheat. J. Stress Physiol. Biochem. 2019, 15, 62–67. [Google Scholar]
- Zúñiga-Feest, A.; Inostroza, P.; Vega, M.; Bravo, L.A.; Corcuera, L.J. Sugars and enzyme activity in the grass Deschampsia antarctica. Antarct. Sci. 2003, 15, 483–491. [Google Scholar] [CrossRef]
- Bascuñán-Godoy, L.; Uribe, E.; Zúñiga-Feest, A.; Corcuera, L.J.; Bravo, L.A. Low temperature regulates sucrose-phosphate synthase activity in Colobanthus quitensis (Kunth) Bartl. by decreasing its sensitivity to Pi and increased activation by glucose-6-phosphate. Polar Biol. 2006, 29, 1011–1017. [Google Scholar] [CrossRef]
- Hagiwara, T.; Hartel, R.W.; Matsukawa, S. Relationship between recrystallization rate of ice crystals in sugar solutions and water mobility in freeze-concentrated matrix. Food Biophys. 2006, 1, 74–82. [Google Scholar] [CrossRef]
- Keunen, E.; Peshev, D.; Vangronsveld, J.; Van Den Ende, W.; Cuypers, A. Plant sugars are crucial players in the oxidative challenge during abiotic stress: Extending the traditional concept. Plant Cell Environ. 2013, 36, 1242–1255. [Google Scholar] [CrossRef]
- Bhattacharya, S.; Kundu, A. Sugars and Sugar Polyols in Overcoming Environmental Stresses. In Protective Chemical Agents in the Amelioration of Plant Abiotic Stress; Roychoudhury, A., Kumar Tripathi, D., Eds.; Wiley Blackwell: New York, NY, USA, 2020; pp. 71–101. ISBN 9781119552154. [Google Scholar] [CrossRef]
- Strauss, G.; Hauser, H. Stabilization of lipid bilayer vesicles by sucrose during freezing. Biophysics 1986, 83, 2422–2426. [Google Scholar] [CrossRef] [PubMed]
- Nägele, T.; Heyer, A.G. Approximating subcellular organisation of carbohydrate metabolism during cold acclimation in different natural accessions of Arabidopsis thaliana. New Phytol. 2013, 198, 777–787. [Google Scholar] [CrossRef] [PubMed]
- Findling, S.; Zanger, K.; Krueger, S.; Lohaus, G. Subcellular distribution of raffinose oligosaccharides and other metabolites in summer and winter leaves of Ajuga reptans (Lamiaceae). Planta 2015, 241, 229–241. [Google Scholar] [CrossRef] [PubMed]
- Knaupp, M.; Mishra, K.B.; Nedbal, L.; Heyer, A.G. Evidence for a role of raffinose in stabilizing photosystem II during freeze-thaw cycles. Planta 2011, 234, 477–486. [Google Scholar] [CrossRef] [PubMed]
- Deslauriers, A.; Garcia, L.; Charrier, G.; Buttò, V.; Pichette, A.; Paré, M. Cold acclimation and deacclimation in wild blueberry: Direct and indirect influence of environmental factors and non-structural carbohydrates. Agric. For. Meteorol. 2021, 301–302, 108349. [Google Scholar] [CrossRef]
- Keller, I.; Müdsam, C.; Rodrigues, C.M.; Kischka, D.; Zierer, W.; Sonnewald, U.; Harms, K.; Czarnecki, O.; Fiedler-Wiechers, K.; Koch, W.; et al. Cold-Triggered Induction of ROS- and Raffinose Metabolism in Freezing-Sensitive Taproot Tissue of Sugar Beet. Front. Plant Sci. 2021, 12, 715767. [Google Scholar] [CrossRef] [PubMed]
- Strimbeck, G.R.; Kjellsen, T.D.; Schaberg, P.G.; Murakami, P.F. Dynamics of low-temperature acclimation in temperate and boreal conifer foliage in a mild winter climate. Tree Physiol. 2008, 28, 1365–1374. [Google Scholar] [CrossRef]
- Zuther, E.; Juszczak, I.; Ping Lee, Y.; Baier, M.; Hincha, D.K. Time-dependent deacclimation after cold acclimation in Arabidopsis thaliana accessions. Sci. Rep. 2015, 5, 12199. [Google Scholar] [CrossRef]
- Sáez, P.L.; Cavieres, L.A.; Galmés, J.; Gil-Pelegrín, E.; Peguero-Pina, J.J.; Sancho-Knapik, D.; Vivas, M.; Sanhueza, C.; Ramírez, C.F.; Rivera, B.K.; et al. In situ warming in the Antarctic: Effects on growth and photosynthesis in Antarctic vascular plants. New Phytol. 2018, 218, 1406–1418. [Google Scholar] [CrossRef]
- Banerjee, A.; Roychoudhury, A. Group II late embryogenesis abundant (LEA) proteins: Structural and functional aspects in plant abiotic stress. Plant Growth Regul. 2016, 79, 1–17. [Google Scholar] [CrossRef]
- Vítámvás, P.; Prášil, I.T. WCS120 protein family and frost tolerance during cold acclimation, deacclimation and reacclimation of winter wheat. Plant Physiol. Biochem. 2008, 46, 970–976. [Google Scholar] [CrossRef] [PubMed]
- Zhang, X.; Wang, K.; Ervin, E.H.; Waltz, C.; Murphy, T. Metabolic changes during cold acclimation and deacclimation in five bermudagrass varieties. I. Proline, total amino acid, protein, and dehydrin expression. Crop Sci. 2011, 51, 838–846. [Google Scholar] [CrossRef]
- Rathore, N.; Kumar, P.; Mehta, N.; Swarnkar, M.K.; Shankar, R.; Chawla, A. Time-series RNA-Seq transcriptome profiling reveals novel insights about cold acclimation and de-acclimation processes in an evergreen shrub of high altitude. Sci. Rep. 2022, 12, 15553. [Google Scholar] [CrossRef] [PubMed]
- Wójcik-Jagła, M.; Daszkowska-Golec, A.; Fiust, A.; Kopeć, P.; Rapacz, M. Identification of the genetic basis of response to de-acclimation in winter barley. Int. J. Mol. Sci. 2021, 22, 1057. [Google Scholar] [CrossRef]
- Sandve, S.R.; Fjellheim, S. Did gene family expansions during the Eocene-Oligocene boundary climate cooling play a role in Pooideae adaptation to cool climates? Mol. Ecol. 2010, 19, 2075–2088. [Google Scholar] [CrossRef]
- Pagter, M.; Alpers, J.; Erban, A.; Kopka, J.; Zuther, E.; Hincha, D.K. Rapid transcriptional and metabolic regulation of the deacclimation process in cold acclimated Arabidopsis thaliana. BMC Genom. 2017, 18, 731. [Google Scholar] [CrossRef]
- Fowler, S.; Thomashow, M.F. Arabidopsis Transcriptome Profiling Indicates that Multiple Regulatory Pathways are Activated during Cold Acclimation in Addition to the CBF Cold Response Pathway. Plant Cell 2002, 14, 1675–1690. [Google Scholar] [CrossRef]
- Kume, S.; Kobayashi, F.; Ishibashi, M.; Ohno, R.; Nakamura, C.; Takumi, S. Differential and coordinated expression of Cbf and Cor/Lea genes during long-term cold acclimation in two wheat cultivars showing distinct levels of freezing tolerance. Genes Genet. Syst. 2005, 80, 185–197. [Google Scholar] [CrossRef]
- Jia, Y.; Ding, Y.; Shi, Y.; Zhang, X.; Gong, Z.; Yang, S. The cbfs triple mutants reveal the essential functions of CBFs in cold acclimation and allow the definition of CBF regulons in Arabidopsis. New Phytol. 2016, 212, 345–353. [Google Scholar] [CrossRef]
- Rihan, H.Z.; Al-Issawi, M.; Fuller, M.P. Advances in physiological and molecular aspects of plant cold tolerance. J. Plant Interact. 2017, 12, 143–157. [Google Scholar] [CrossRef]
- Byun, M.Y.; Cui, L.H.; Lee, J.; Park, H.; Lee, A.; Kim, W.T.; Lee, H. Identification of Rice Genes Associated with Enhanced Cold Tolerance by Comparative Transcriptome Analysis with Two Transgenic Rice Plants Isolated from Antarctic Flowering Plant Deschampsia antarctica. Front. Plant Sci. 2018, 9, 601. [Google Scholar] [CrossRef] [PubMed]
- Close, T.J.; Fenton, R.D.; Moonan, F. A view of plant dehydrins using antibodies specific to the carboxy terminal peptide. Plant Mol. Biol. 1993, 23, 279–286. [Google Scholar] [CrossRef]
- Kejna, M. Air temperature on King George Island, South Shetland Islands, Antarctica. Polish Polar Res. 1999, 20, 183–201. [Google Scholar]
- Plenzler, J.; Budzik, T.; Puczko, D.; Bialik, R.J. Climatic conditions at Arctowski Station (King George Island, West Antarctica) in 2013–2017 against the background of regional changes. Polish Polar Res. 2019, 40, 1–27. [Google Scholar] [CrossRef]
- Larcher, W. Temperature stress and survival ability of Temperature stress and survival ability of Mediterranean sclerophyllous plants. Plant Biosyst. 2000, 134, 279–295. [Google Scholar] [CrossRef]
- Arnold, P.A.; Bricenõ, V.F.; Gowland, K.M.; Catling, A.A.; Bravo, L.A.; Nicotra, A.B. A high-throughput method for measuring critical thermal limits of leaves by chlorophyll imaging fluorescence. Funct. Plant Biol. 2021, 48, 634–646. [Google Scholar] [CrossRef]
- Larcher, W. Physiological Plant Ecology: Ecophysiology and Stress Physiology of Functional Groups, 4th ed.; Springer: New York, NY, USA, 2003. [Google Scholar]
- Dickson, R.E. Analytical Procedures for the Sequential Extraction of 14C-Labeled Constituents from Leaves, Bark and Wood of Cottonwood Plants. Physiol. Plant. 1979, 45, 480–488. [Google Scholar] [CrossRef]
- Oberlerchner, J.T.; Böhmdorfer, S.; Rosenau, T.; Potthast, A. A matrix-resistant HPTLC method to quantify monosaccharides in wood-based lignocellulose biorefinery streams. De Gruyter 2018, 72, 645–652. [Google Scholar] [CrossRef]
- Oliveira, E.; Amara, I.; Bellido, D.; Odena, M.A.; Domínguez, E.; Pagès, M.; Goday, A. LC-MSMS identification of Arabidopsis thaliana heat-stable seed proteins: Enriching for LEA-type proteins by acid treatment. J. Mass Spectrom. 2007, 42, 1485–1495. [Google Scholar] [CrossRef]
- Bradford, M.M. A Rapid and Sensitive Method for the Quantitation of Microgram Quantities of Protein Utilizing the Principle of Protein-Dye Binding. Anal. Biochem. 1976, 72, 248–254. [Google Scholar] [CrossRef]
- Neuhoff, V.; Arold, N.; Taube, D.; Ehrhardt, W. Improved staining of proteins in polyacrylamide gels including isoelectric focusing gels with clear background at nanogram sensitivity using Coomassie Brilliant Blue G-250 and R-250. Electrophoresis 1988, 9, 255–262. [Google Scholar] [CrossRef] [PubMed]
- Close, T.J.; Lammers, P.J. An osmotic stress protein of cyanobacteria is immunologically related to plant dehydrins. Plant Physiol. 1993, 101, 773–779. [Google Scholar] [CrossRef] [PubMed]
Disclaimer/Publisher’s Note: The statements, opinions and data contained in all publications are solely those of the individual author(s) and contributor(s) and not of MDPI and/or the editor(s). MDPI and/or the editor(s) disclaim responsibility for any injury to people or property resulting from any ideas, methods, instructions or products referred to in the content. |
© 2023 by the authors. Licensee MDPI, Basel, Switzerland. This article is an open access article distributed under the terms and conditions of the Creative Commons Attribution (CC BY) license (https://creativecommons.org/licenses/by/4.0/).


