Exogenous γ-Aminobutyric Acid Can Improve Seed Germination and Seedling Growth of Two Cotton Cultivars under Salt Stress
Abstract
1. Introduction
2. Results
2.1. Germination Rate and Index of Germination
2.2. Seedling Height and Biomass
2.3. Osmoregulatory Protective Agent Levels
2.4. Na+ Content, K+ Content, and the K+/Na+ Ratio
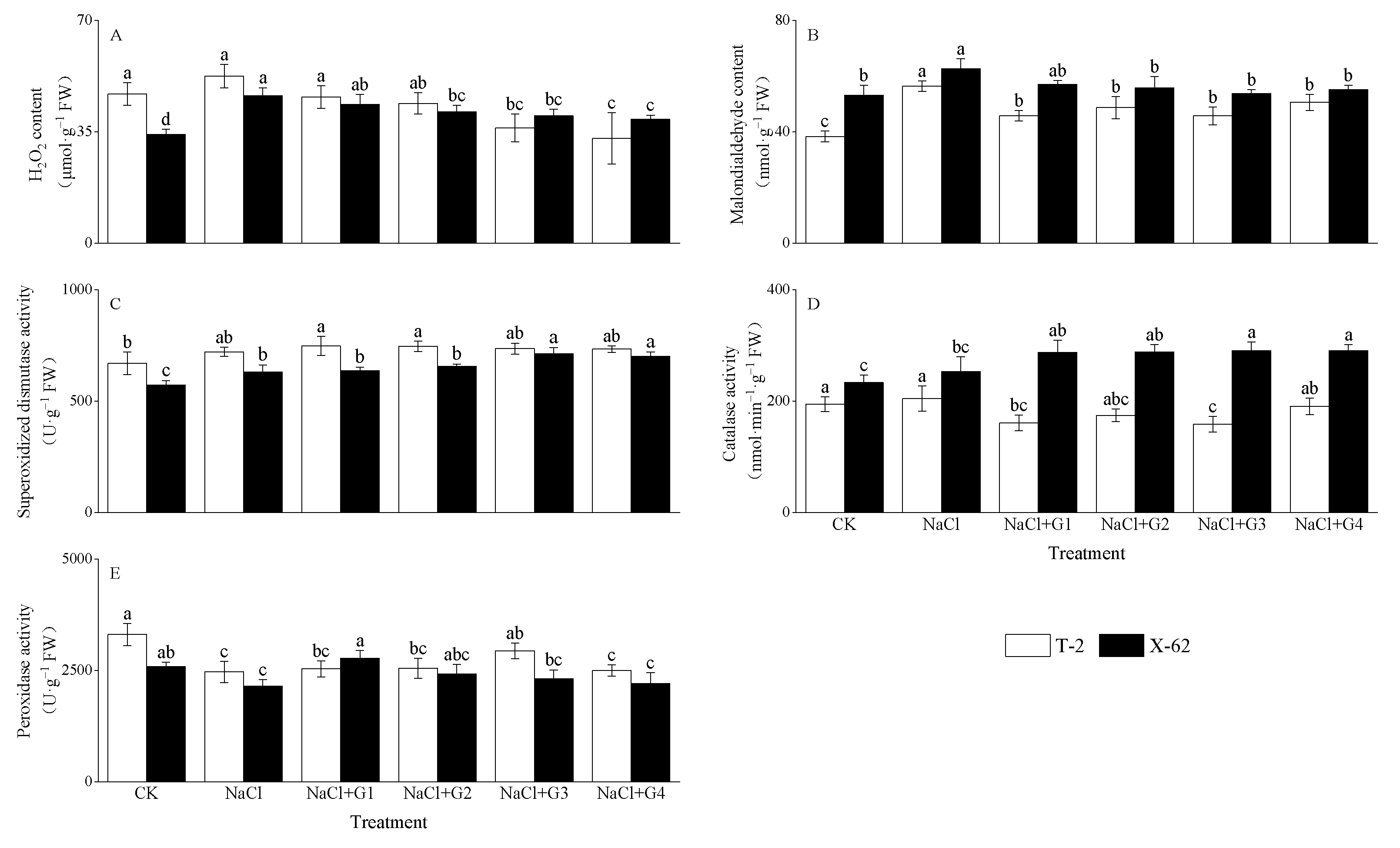
2.5. ROS Production and Antioxidant Enzymes
2.6. Comprehensive Evaluation
3. Discussion
3.1. Exogenous GABA Promotes Cotton Seed Germination and Seedling Growth
3.2. Exogenous GABA Regulates Osmoprotectants in Cotton Seedlings
3.3. Exogenous GABA Maintains Ion Homeostasis in Cotton Seedlings
3.4. Exogenous GABA Alleviates Oxidative Stress in Cotton Seedlings
4. Materials and Methods
4.1. Experimental Location and Materials
4.2. Experimental Design
4.3. Measurement of Growth Parameters
4.4. Determination of Osmoprotectant Content
4.5. Determination of Ion Content
4.6. Determination of H2O2 and Malondialdehyde Content
4.7. Antioxidant Enzyme Activity Determination
4.8. Statistical Analysis
5. Conclusions
Author Contributions
Funding
Data Availability Statement
Acknowledgments
Conflicts of Interest
References
- Ahmad, I.; Zhu, G.L.; Zhou, G.S.; Younas, M.U.; Suliman, M.E.; Liu, J.; Zhu, Y.M.; Gabralla, E.I.S. Integrated approaches for increasing plant yield under salt stress. Front. Plant Sci. 2023, 14, 1215343. [Google Scholar] [CrossRef] [PubMed]
- Wang, F.B.; Wan, C.Z.; Wu, W.Y.; Zhang, Y.N.; Pan, Y.X.; Chen, X.M.; Li, C.; Pi, J.L.; Wang, Z.X.; Ye, Y.X. Methyl jasmonate (MeJA) enhances salt tolerance of okra (Abelmoschus esculentus L.) plants by regulating ABA signaling, osmotic adjustment substances, photosynthesis and ROS metabolism. Sci. Hortic. 2023, 319, 112145. [Google Scholar] [CrossRef]
- Maryum, Z.; Luqman, T.; Nadeem, S.; Khan, S.M.U.D.; Wang, B.; Ditta, A.; Khan, M.K.R. An overview of salinity stress, mechanism of salinity tolerance and strategies for its management in cotton. Front. Plant Sci. 2022, 13, 907937. [Google Scholar] [CrossRef] [PubMed]
- Keya, S.S.; Mostofa, M.G.; Rahman, M.M.; Das, A.K.; Sultana, S.; Ghosh, P.K.; Anik, T.R.; Ahsan, S.; Rahman, M.A.; Jahan, N. Salicylic Acid Application Improves Photosynthetic Performance and Biochemical Responses to Mitigate Saline Stress in Cotton. J. Plant Growth Regul. 2023, 42, 5881–5894. [Google Scholar] [CrossRef]
- Zhou, J.Y.; Dai, J.L.; Feng, L.; Zhang, Y.J.; Wan, S.M.; Dong, H.Z. Research progress in theory and technology for modern cotton cultivation in China. J. Tarim Univ. 2023, 35, 1–12. [Google Scholar] [CrossRef]
- Cheng, W.M.; Wang, L.; Chen, B. Study on Improving Quality and Increasing Efficiency of Characteristic Industries in Ethnic Minority Areas under the Strategy of Vitalizing Rural Areas: Take Xinjiang Cotton Industr y as an Example. Guizhou Ethn. Stud. 2019, 40, 166–171. [Google Scholar] [CrossRef]
- Liu, C.J.; Jin, X.B.; Xu, W.Y.; Qiao, G.L.; Yang, X.H.; Zhou, Y.K. Analysis of the spatial distribution and variation characteristics of cotton planting in southern Xinjiang from 2000 to 2020. Trans. Chin. Soc. Agric. Eng. 2021, 37, 223–232. [Google Scholar] [CrossRef]
- Li, H.P.; Sun, H.C.; Ping, W.C.; Liu, L.T.; Zhang, Y.J.; Zhang, K.; Bai, Z.Y.; Li, A.C.; Zhu, J.J.; Li, C.D. Exogenous Ethylene Promotes the Germination of Cotton Seeds Under Salt Stress. J. Plant Growth Regul. 2023, 42, 3923–3933. [Google Scholar] [CrossRef]
- Wang, Y.C.; Cao, H.Z.; Wang, S.C.; Guo, J.M.; Dou, H.Y.; Qiao, J.F.; Yang, Q.H.; Shao, R.X.; Wang, H. Exogenous γ-aminobutyric acid (GABA) improves salt-inhibited nitrogen metabolism and the anaplerotic reaction of the tricarboxylic acid cycle by regulating GABA-shunt metabolism in maize seedlings. Ecotoxicol. Environ. Saf. 2023, 254, 114756. [Google Scholar] [CrossRef]
- Hayat, F.; Khan, U.; Li, J.; Ahmed, N.; Khanum, F.; Iqbal, S.; Altaf, M.A.; Ahmad, J.; Javed, H.U.; Peng, Y. γ Aminobutyric Acid (GABA): A Key Player in Alleviating Abiotic Stress Resistance in Horticultural Crops: Current Insights and Future Directions. Horticulturae 2023, 9, 647. [Google Scholar] [CrossRef]
- Guo, Z.J.; Gong, J.Q.; Luo, S.T.; Zuo, Y.X.; Shen, Y.B. Role of Gamma-Aminobutyric Acid in Plant Defense Response. Metabolites 2023, 13, 741. [Google Scholar] [CrossRef] [PubMed]
- Suhel, M.; Husain, T.; Pandey, A.; Singh, S.; Dubey, N.K.; Prasad, S.M.; Singh, V.P. An appraisal of ancient molecule GABA in abiotic stress tolerance in plants, and its crosstalk with other signaling molecules. J. Plant Growth Regul. 2023, 42, 614–629. [Google Scholar] [CrossRef]
- Shelp, B.J.; Aghdam, M.S.; Flaherty, E.J. γ-Aminobutyrate (GABA) regulated plant defense: Mechanisms and opportunities. Plants 2021, 10, 1939. [Google Scholar] [CrossRef] [PubMed]
- Ullah, A.; Ali, I.; Noor, J.; Zeng, F.J.; Bawazeer, S.; Eldin, S.M.; Asghar, M.A.; Javed, H.H.; Saleem, K.; Ullah, S. Exogenous γ-aminobutyric acid (GABA) mitigated salinity-induced impairments in mungbean plants by regulating their nitrogen metabolism and antioxidant potential. Front. Plant Sci. 2023, 13, 1081188. [Google Scholar] [CrossRef] [PubMed]
- Ullah, A.; Tariq, A.; Zeng, F.J.; Noor, J.; Sardans, J.; Asghar, M.A.; Zhang, Z.H.; Peñuelas, J. Application of GABA (γ-aminobutyric acid) to improve saline stress tolerance of chufa (Cyperus esculentus L. var. sativus Boeck) plants by regulating their antioxidant potential and nitrogen assimilation. S. Afr. J. Bot. 2023, 157, 540–552. [Google Scholar] [CrossRef]
- Sun, Z.Y.; Bai, C.M.; Liu, Y.F.; Ma, M.Z.; Zhang, S.W.; Liu, H.; Bai, R.; Han, X.R.; Yong, H.J.W. Resilient and sustainable production of peanut (Arachis hypogaea) in phosphorus-limited environment by using exogenous gamma-aminobutyric acid to sustain photosynthesis. Ecotoxicol. Environ. Saf. 2023, 263, 115388. [Google Scholar] [CrossRef] [PubMed]
- Ma, Y.H.; Huang, P.; Huang, S.C.; Younis, U.; Hussain, G.S.; Fahad, S.; Danish, S.; Elshikh, M.S.; Rizwana, H. γ-Aminobutyric acid (GABA) and ectoine (ECT) impacts with and without AMF on antioxidants, gas exchange attributes and nutrients of cotton cultivated in salt affected soil. BMC Plant Biol. 2023, 23, 476. [Google Scholar] [CrossRef]
- Ziogas, V.; Tanou, G.; Belghazi, M.; Diamantidis, G.; Molassiotis, A. Characterization of β-amino-and γ-amino butyric acid-induced citrus seeds germination under salinity using nanoLC–MS/MS analysis. Plant Cell Rep. 2017, 36, 787–789. [Google Scholar] [CrossRef]
- Tang, J.; Li, M.L.; Mao, P.S.; Jiang, Y.W. Effects of gamma-aminobutyric acid on seed germination, ion balance, and metabolic activity in perennial ryegrass under salinity stress. J. Plant Growth Regul. 2022, 41, 1835–1844. [Google Scholar] [CrossRef]
- Cheng, B.Z.; Li, Z.; Liang, L.L.; Cao, Y.; Zeng, W.H.; Zhang, X.Q.; Ma, X.; Huang, L.K.; Nie, G.; Liu, W. The γ-aminobutyric acid (GABA) alleviates salt stress damage during seeds germination of white clover associated with Na+/K+ transportation, dehydrins accumulation, and stress-related genes expression in white clover. Int. J. Mol. Sci. 2018, 19, 2520. [Google Scholar] [CrossRef]
- Xia, J.; Hao, X.Z.; Wang, T.G.; Li, H.Q.; Shi, X.J.; Liu, Y.C.; Luo, H.H. Seed priming with gibberellin regulates the germination of cotton seeds under low-temperature conditions. J. Plant Growth Regul. 2023, 42, 319–334. [Google Scholar] [CrossRef]
- Xu, A.Y.; Li, Q.; Li, D.K.; Liu, H.P.; Zhang, C.H.; Cao, J.; Li, T.Y.; Tian, X.J.; Yu, Z.B.; Cai, J.; et al. Effects of drought stress at the flowering and boll period on yield and quality of four main cotton varieties in southern Xinjiang. China Cotton 2023, 50, 29–32. [Google Scholar] [CrossRef]
- Saud, S.; Wang, L. Mechanism of cotton resistance to abiotic stress, and recent research advances in the osmoregulation related genes. Front. Plant Sci. 2022, 13, 972635. [Google Scholar] [CrossRef] [PubMed]
- Kalhor, M.S.; Aliniaeifard, S.; Seif, M.; Asayesh, E.J.; Bernard, F.; Hassani, B.; Li, T. Enhanced salt tolerance and photosynthetic performance: Implication of ɤ-amino butyric acid application in salt-exposed lettuce (Lactuca sativa L.) plants. Plant Physiol. Biochem. 2018, 130, 157–172. [Google Scholar] [CrossRef] [PubMed]
- Wu, X.L.; Jia, Q.Y.; Ji, S.X.; Gong, B.B.; Li, J.R.; Lü, G.Y.; Gao, H.B. Gamma-aminobutyric acid (GABA) alleviates salt damage in tomato by modulating Na+ uptake, the GAD gene, amino acid synthesis and reactive oxygen species metabolism. BMC Plant Biol. 2020, 20, 1–21. [Google Scholar] [CrossRef] [PubMed]
- Ma, Y.Y.; Wei, Z.H.; Liu, J.; Liu, X.Z.; Liu, F.L. Growth and physiological responses of cotton plants to salt stress. J. Agron. Crop Sci. 2021, 207, 565–576. [Google Scholar] [CrossRef]
- Fang, S.; Hou, X.; Liang, X.L. Response mechanisms of plants under saline-alkali stress. Front. Plant Sci. 2021, 12, 575–585. [Google Scholar] [CrossRef] [PubMed]
- Qiang, W.G.; Na, L.; Jun, F.R.; Jing, Z.J. Evaluation of salinity tolerance in seedlings of sugar beet (Beta vulgaris L.) cultivars using proline, soluble sugars and cation accumulation criteria. Acta Physiol. Plant. 2013, 35, 2665–2674. [Google Scholar] [CrossRef]
- Wang, Y.C.; Gu, W.R.; Meng, Y.; Xie, T.L.; Li, L.J.; Li, J.; Wei, S. γ-Aminobutyric acid imparts partial protection from salt stress injury to maize seedlings by improving photosynthesis and upregulating osmoprotectants and antioxidants. Sci. Rep. 2017, 7, 43609. [Google Scholar] [CrossRef]
- Hosseini, G.; Thengane, R.J. Salinity tolerance in cotton (Gossypium hirsutum L.) genotypes. Int. J. Bot. 2007, 3, 48–55. [Google Scholar] [CrossRef][Green Version]
- Feng, D.; Gao, Q.; Sun, X.A.; Ning, S.R.; Na, Q.; Hua, Z.T.; Tang, J.C. Effects of foliage-applied exogenous γ-aminobutyric acid on seedling growth of two rice varieties under salt stress. PLoS ONE 2023, 18, e0281846. [Google Scholar] [CrossRef] [PubMed]
- Aljuaid, B.S.; Ashour, H. Exogenous γ-aminobutyric acid (GABA) application mitigates salinity stress in maize plants. Life 2022, 12, 1860. [Google Scholar] [CrossRef] [PubMed]
- Li, L.; Dou, N.; Zhang, H.; Wu, C.X. The versatile GABA in plants. Plant Signal. Behav. 2021, 16, 1862565. [Google Scholar] [CrossRef] [PubMed]
- Su, N.N.; Wu, Q.; Chen, J.H.; Shabala, L.; Mithöfer, A.; Wang, H.Y.; Qu, M.; Yu, M.; Cui, J.; Shabala, S. GABA operates upstream of H+-ATPase and improves salinity tolerance in Arabidopsis by enabling cytosolic K+ retention and Na+ exclusion. J. Exp. Bot. 2019, 70, 6349–6361. [Google Scholar] [CrossRef] [PubMed]
- Zhang, M.R.; Liu, Z.Y.; Fan, Y.T.; Liu, C.R.; Wang, H.R.; Li, Y.; Xin, Y.C.; Gai, Y.P.; Ji, X.L. Characterization of GABA-transaminase gene from mulberry (Morus multicaulis) and its role in salt stress tolerance. Genes 2022, 13, 501. [Google Scholar] [CrossRef] [PubMed]
- Golnari, S.; Vafaee, Y.; Nazari, F.; Ghaderi, N. Gamma-aminobutyric acid (GABA) and salinity impacts antioxidative response and expression of stress-related genes in strawberry cv. Aromas. Braz. J. Bot. 2021, 44, 639–651. [Google Scholar] [CrossRef]
- Lu, Y.; Lyu, C.; Liao, H.; Hu, Y.; Lei, Y.; Cao, S.; Yang, H. Effects of NaCl on gel properties of myofibrillar protein supplemented with serine protease. Food Ferment. Ind. 2021, 47, 78–86. [Google Scholar] [CrossRef]
- Janati-Fard, F.; Housaindokht, M.R.; Monhemi, H.; Nakhaeipour, A. How a multimeric macromolecule is affected by divalent salts? Experimental and simulation study. Int. J. Biol. Macromol. 2018, 106, 284–292. [Google Scholar] [CrossRef]
- Hussain, S.; Hussain, S.; Ali, B.; Ren, X.L.; Chen, X.L.; Li, Q.Q.; Saqib, M.; Ahmad, N. Recent progress in understanding salinity tolerance in plants: Story of Na+/K+ balance and beyond. Plant Physiol. Biol. 2021, 160, 239–256. [Google Scholar] [CrossRef]
- Wang, B.; Wang, C.-C.; Xia, F.-S.; Chen, Y.-L.; Zhao, P.; Zhu, H.-S. Influence of Selenium Priming on the Antioxidant Characteristics in Different Varieties of Alfalfa Seeds. Acta Agrestia Sin. 2022, 30, 2037–2044. [Google Scholar] [CrossRef]
- Chen, L.; Lu, B.; Liu, L.T.; Duan, W.J.; Jiang, D.; Li, J.; Zhang, K.; Sun, H.C.; Zhang, Y.J.; Li, C.D. Melatonin promotes seed germination under salt stress by regulating ABA and GA3 in cotton (Gossypium hirsutum L.). Plant Physiol. Biol. 2021, 162, 506–516. [Google Scholar] [CrossRef] [PubMed]
- Abido, W.A.E.; Allem, A.; Zsombic, L.; Attila, N. Effect of gibberellic acid on germination of six wheat cultivars under salinity stress levels. Asian J. Biol. Sci. 2019, 12, 51–60. [Google Scholar] [CrossRef]
- Yang, Y.; Xie, J.M.; Li, J.; Zhang, J.; Zhang, X.D.; Yao, Y.D.; Wang, C.; Niu, T.H.; Bakpa, E.P. Trehalose alleviates salt tolerance by improving photosynthetic performance and maintaining mineral ion homeostasis in tomato plants. Front. Plant Sci. 2022, 13, 974507. [Google Scholar] [CrossRef] [PubMed]
- Mahmud, J.A.; Hasanuzzaman, M.; Khan, M.I.R.; Nahar, K.; Fujita, M. β-Aminobutyric Acid Pretreatment Confers Salt Stress Tolerance in Brassica napus L. by Modulating Reactive Oxygen Species Metabolism and Methylglyoxal Detoxification. Plants 2020, 9, 241. [Google Scholar] [CrossRef]
- Zhong, Z.Z.; Tan, Z.; Si, Y.B.; Jing, W.Z.; Jie, L.R.; Shen, L. The Influence of Sodium Salt on Growth, Photosynthesis, Na+/K+ Homeostasis and Osmotic Adjustment of Atriplex canescens under Drought Stress. Agronomy 2023, 13, 2434. [Google Scholar] [CrossRef]
- Desoky, E.-S.M.; Merwad, A.-R.M.; Abo El-Maati, M.F.; Mansour, E.; Arnaout, S.M.; Awad, M.F.; Ramadan, M.F.; Ibrahim, S.A. Physiological and biochemical mechanisms of exogenously applied selenium for alleviating destructive impacts induced by salinity stress in bread wheat. Agronomy 2021, 11, 926. [Google Scholar] [CrossRef]
- Liu, Y.Y.; Wei, L.J.; Feng, L.; Zhang, M.L.; Hu, D.L.; Tie, J.Z.; Liao, W.B. Hydrogen sulfide promotes adventitious root development in cucumber under salt stress by enhancing antioxidant ability. Plants 2022, 11, 935. [Google Scholar] [CrossRef]






| Cultivar | Treatment | Plant Height (cm) | Aerial Part | Root | Total Fresh Weight (g·seedling−1) | Total Dry Weight (g·seedling−1) | ||
|---|---|---|---|---|---|---|---|---|
| Fresh Weight (g·seedling−1) | Dry Weight (g·seedling−1) | Fresh Weight (g·seedling−1) | Dry Weight (g·seedling−1) | |||||
| T-2 | CK | 6.60 ± 0.26 ab | 0.71 ± 0.07 a | 0.14 ± 0.01 ab | 0.74 ± 0.08 a | 0.06 ± 0.01 a | 1.46 ± 0.05 a | 0.21 ± 0.00 b |
| NaCl | 5.93 ± 0.55 b | 0.53 ± 0.07 b | 0.11 ± 0.01 c | 0.58 ± 0.09 b | 0.07 ± 0.02 a | 1.11 ± 0.03 b | 0.18 ± 0.00 c | |
| NaCl + G1 | 6.10 ± 0.46 ab | 0.68 ± 0.07 a | 0.13 ± 0.01 b | 0.75 ± 0.07 a | 0.08 ± 0.00 a | 1.43 ± 0.11 a | 0.21 ± 0.00 b | |
| NaCl + G2 | 6.33 ± 0.31 ab | 0.74 ± 0.05 a | 0.15 ± 0.01 a | 0.82 ± 0.01 a | 0.08 ± 0.00 a | 1.56 ± 0.04 a | 0.23 ± 0.01 a | |
| NaCl + G3 | 6.73 ± 0.21 a | 0.73 ± 0.03 a | 0.15 ± 0.01 a | 0.82 ± 0.03 a | 0.08 ± 0.00 a | 1.55 ± 0.05 a | 0.23 ± 0.00 a | |
| NaCl + G4 | 6.60 ± 0.26 ab | 0.75 ± 0.09 a | 0.14 ± 0.01 ab | 0.80 ± 0.08 a | 0.07 ± 0.01 a | 1.56 ± 0.15 a | 0.21 ± 0.02 b | |
| X-62 | CK | 7.90 ± 0.30 a | 0.70 ± 0.01 a | 0.13 ± 0.01 b | 0.70 ± 0.04 a | 0.06 ± 0.00 c | 1.40 ± 0.03 a | 0.19 ± 0.01 b |
| NaCl | 5.93 ± 0.15 c | 0.55 ± 0.02 b | 0.11 ± 0.01 c | 0.53 ± 0.03 b | 0.07 ± 0.00 ab | 1.07 ± 0.01 b | 0.18 ± 0.01 b | |
| NaCl + G1 | 6.40 ± 0.20 bc | 0.70 ± 0.02 a | 0.15 ± 0.01 a | 0.68 ± 0.02 a | 0.07 ± 0.00 b | 1.38 ± 0.03 a | 0.22 ± 0.01 a | |
| NaCl + G2 | 6.83 ± 0.61 b | 0.69 ± 0.03 a | 0.15 ± 0.01 a | 0.73 ± 0.02 a | 0.07 ± 0.00 bc | 1.42 ± 0.01 a | 0.22 ± 0.01 a | |
| NaCl + G3 | 7.77 ± 0.23 a | 0.69 ± 0.02 a | 0.16 ± 0.01 a | 0.72 ± 0.03 a | 0.08 ± 0.00 a | 1.41 ± 0.04 a | 0.23 ± 0.01 a | |
| NaCl + G4 | 7.67 ± 0.21 a | 0.70 ± 0.01 a | 0.15 ± 0.01 ab | 0.71 ± 0.01 a | 0.07 ± 0.00 ab | 1.40 ± 0.02 a | 0.22 ± 0.01 a | |
Disclaimer/Publisher’s Note: The statements, opinions and data contained in all publications are solely those of the individual author(s) and contributor(s) and not of MDPI and/or the editor(s). MDPI and/or the editor(s) disclaim responsibility for any injury to people or property resulting from any ideas, methods, instructions or products referred to in the content. |
© 2023 by the authors. Licensee MDPI, Basel, Switzerland. This article is an open access article distributed under the terms and conditions of the Creative Commons Attribution (CC BY) license (https://creativecommons.org/licenses/by/4.0/).
Share and Cite
Dong, Z.; Huang, J.; Qi, T.; Meng, A.; Fu, Q.; Fu, Y.; Xu, F. Exogenous γ-Aminobutyric Acid Can Improve Seed Germination and Seedling Growth of Two Cotton Cultivars under Salt Stress. Plants 2024, 13, 82. https://doi.org/10.3390/plants13010082
Dong Z, Huang J, Qi T, Meng A, Fu Q, Fu Y, Xu F. Exogenous γ-Aminobutyric Acid Can Improve Seed Germination and Seedling Growth of Two Cotton Cultivars under Salt Stress. Plants. 2024; 13(1):82. https://doi.org/10.3390/plants13010082
Chicago/Turabian StyleDong, Zhiduo, Jian Huang, Tong Qi, Ajing Meng, Qiuping Fu, Yanbo Fu, and Fei Xu. 2024. "Exogenous γ-Aminobutyric Acid Can Improve Seed Germination and Seedling Growth of Two Cotton Cultivars under Salt Stress" Plants 13, no. 1: 82. https://doi.org/10.3390/plants13010082
APA StyleDong, Z., Huang, J., Qi, T., Meng, A., Fu, Q., Fu, Y., & Xu, F. (2024). Exogenous γ-Aminobutyric Acid Can Improve Seed Germination and Seedling Growth of Two Cotton Cultivars under Salt Stress. Plants, 13(1), 82. https://doi.org/10.3390/plants13010082

