Yield Difference between Different Cultivation Techniques under Ultrasonic Treatment Driven by Radiation Use Efficiency
Abstract
1. Introduction
2. Results
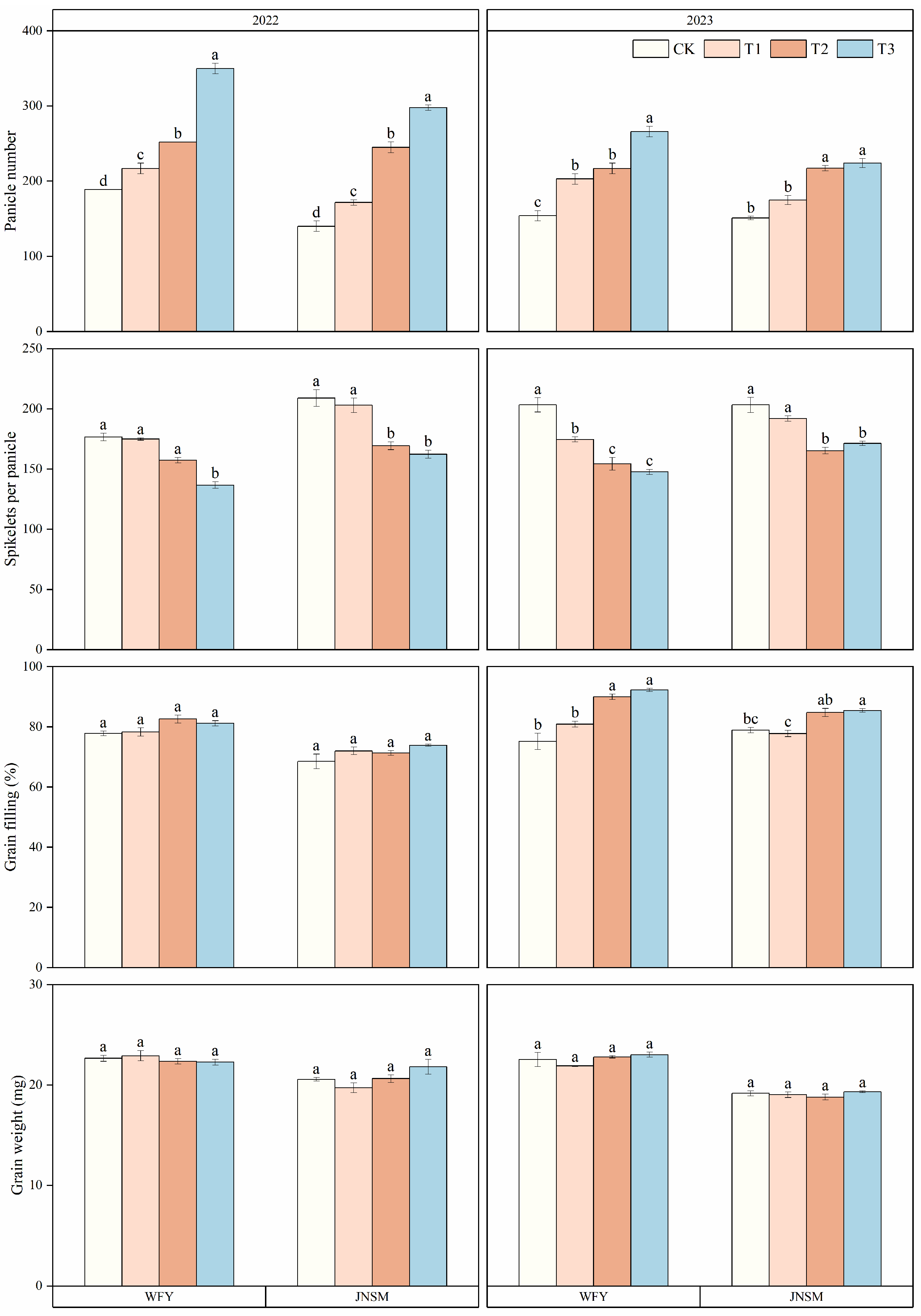
2.1. Yield and Yield Components
2.2. Aboveground Biomass, Growth Periods, and Crop Growth Rate
2.3. IPAR, RUE, and HI
2.4. Correlation Analyses of Grain Yield and Population Growth Parameters
2.5. Relationships between Grain Yield and Intercepted Radiation or RUE at Different Stages
2.6. Evaluation of the Effects of IPAR, RUE, and HI on Grain Yield of Each Variety
3. Discussion
4. Materials and Methods
4.1. Field Experimental Details
4.2. Measurement of Aboveground Biomass Production, Grain Yield, Yield Components and Crop Growth Rate
4.3. Measurement of Intercepted Radiation and Radiation Use Efficiency
4.4. Quantifying the Contributions of IPAR, RUE, and HI to Grain Yield
4.5. Statistical Analysis
5. Conclusions
Author Contributions
Funding
Data Availability Statement
Conflicts of Interest
References
- Elert, E. Rice by the numbers: A good grain. Nature 2014, 514, S50–S51. [Google Scholar] [CrossRef] [PubMed]
- Luo, H.W.; Duan, M.Y.; Xing, P.P.; Zhang, Y.Y.; Qi, J.Y.; Kong, L.L.; Tang, X.R. Effects of L-glutamic acid application on yield, grain quality, photosynthetic pigments, 2-acetyl-1-pyrroline, and antioxidant system of aromatic rice. Field Crops Res. 2023, 303, 109134. [Google Scholar] [CrossRef]
- Jiang, J.; Wang, L.; Fan, G.C.; Long, Y.; Lu, X.L.; Wang, R.; Liu, H.Y.; Qiu, X.J.; Zeng, D.L.; Li, Z.X. Genetic Dissection of Panicle Morphology Traits in Super High-Yield Hybrid Rice Chaoyou 1000. Plants 2024, 13, 179. [Google Scholar] [CrossRef] [PubMed]
- Chen, L.; Yang, J.C. Research Advances on Effect of Nitrogen on Grain Yield of Super Rice and Its Biological Basis. Crops 2012, 6, 19–24. [Google Scholar]
- Xu, C.S.; Yang, F.; Tang, X.N.; Lu, B.; Li, Z.Y.; Liu, Z.H.; Ding, Y.F.; Ding, C.; Li, G.H. Super Rice with High Sink Activities Has Superior Adaptability to Low Filling Stage Temperature. Front. Plant Sci. 2021, 12, 729021. [Google Scholar] [CrossRef]
- Qian, X.Q.; Huang, J.N.; Xie, R.Q.; Di, L.; Wang, J.J.; Wang, G.L. Synergistic Effects of N Fertilization and Irrigation on Soil Bacterial Community in Super Rice Paddies. Agronomy 2023, 13, 2856. [Google Scholar] [CrossRef]
- Wang, J.J.; Xie, R.Q.; He, N.N.; Wang, W.L.; Wang, G.L.; Yang, Y.J.; Hu, Q.; Zhao, H.T.; Qian, X.Q. Five years nitrogen reduction management shifted soil bacterial community structure and function in high-yielding ‘super’ rice cultivation. Agric. Ecosyst. Environ. 2024, 360, 108773. [Google Scholar] [CrossRef]
- Thakur, A.K.; Rath, S.; Mandal, K.G. Differential responses of system of rice intensification (SRI) and conventional flooded-rice management methods to applications of nitrogen fertilizer. Plant Soil 2013, 370, 59–71. [Google Scholar] [CrossRef]
- Jiang, P.; Huang, M.; Ibrahim, M.; Zeng, Y.; Xia, B.; Shi, W.J.; Xie, X.B.; Zou, Y.B. Effects of “Sanding” Cultivation Method on Nutrient Uptake and Nitrogen Use Efficiency in Double Cropping Super Rice. Acta Agron. Sin. 2011, 37, 2194–2207. [Google Scholar]
- Liang, K.M.; Zhong, X.H.; Huang, N.R.; Lampayan, R.M.; Liu, Y.Z.; Pan, J.F.; Peng, B.L.; Hu, X.Y.; Fu, Y.Q. Nitrogen losses and greenhouse gas emissions under different N and water management in a subtropical double-season rice cropping system. Sci. Total Environ. 2017, 609, 46–57. [Google Scholar] [CrossRef]
- Chen, G.J.; Lei, S.; Tang, X.R.; Liang, L.W.; Zhang, J.G.; Su, Z.B.; Fu, M. Effects of New Cultivation Techniques on Rice Yield and Quality. China Rice 2016, 22, 66–70. [Google Scholar]
- Zhou, C.H.; Zhao, Z.K.; Pan, X.H.; Huang, S.; Tan, X.M.; Wu, J.F.; Shi, Q.H. Integration of Growing Milk Vetch in Winter and Reducing Nitrogen Fertilizer Application Can Improve Rice Yield in Double-Rice Cropping System. Rice Sci. 2016, 23, 132–143. [Google Scholar]
- Wu, P.P.; Li, L.J.; Geng, Y.A.; Yao, W.Q. Effects of new-type fertilizers on rice growth, nitrogen uptake and utilization in Jianghuai region. Soil Fertil. Sci. China 2019, 3, 149–153. [Google Scholar]
- Yuan, S.; Han, Y.; Cui, C.; Chen, P.P.; Tu, N.M.; Rang, Z.W.; Yi, Z.X. Silicon–calcium fertilizer increased rice yield and quality by improving soil health. Sci. Rep. 2024, 14, 13088. [Google Scholar] [CrossRef]
- Nie, Q.; Li, H.L.; Song, W.; Zhang, M.S. Effect of Different Rice Seedling Strengthen Agents on Quality of Mechanically-transplant Rice Seedling. North Rice 2022, 52, 27–30. [Google Scholar]
- Dai, L.; Ren, Y.; Ashraf, U.; Gui, R.F.; Wang, Z.M.; Tang, X.R.; Duan, M.Y.; Mo, Z.W. Optimized liquid fertilizer management increases 2-acetyl-1-pyrroline content and grain quality in aromatic rice. J. Food Compos. Anal. 2024, 133, 106433. [Google Scholar] [CrossRef]
- Mo, Z.; Liu, Q.; Xie, W.; Ashraf, U.; Abrar, M.; Pan, S.; Duan, M.; Tian, H.; Wang, S.; Tang, X. Ultrasonic seed treatment and Cu application modulate photosynthesis, grain quality, and Cu concentrations in aromatic rice. Photosynthetica 2020, 58, 682–691. [Google Scholar] [CrossRef]
- Benedito, J.; Carcel, J.A.; Gonzalez, R.; Mulet, A. Application of low intensity ultrasonics to cheese manufacturing processes. Ultrasonics 2002, 40, 19–23. [Google Scholar] [CrossRef]
- Sharififar, A.; Nazari, M.; Asghari, R.H. Effect of ultrasonic waves on seed germination of Atriplex lentiformis, Cuminum cyminum, and Zygophyllum eurypterum. J. Appl. Res. Med. Aromat. Plants 2015, 2, 102–104. [Google Scholar] [CrossRef]
- Wang, W.Q.; He, A.B.; Peng, S.B.; Huang, J.L.; Cui, K.H.; Nie, L.X. The Effect of Storage Condition and Duration on the Deterioration of Primed Rice Seeds. Front. Plant Sci. 2018, 9, 172. [Google Scholar] [CrossRef]
- Pitt, W.G.; Ross, S.A. Ultrasound increases the rate of bacterial cell growth. Biotechnol. Prog. 2003, 19, 1038–1044. [Google Scholar] [CrossRef]
- Rao, G.S.; Ashraf, U.; Huang, S.H.; Cheng, S.R.; Abrar, M.; Mo, Z.W.; Pan, S.G.; Tang, X.R. Ultrasonic seed treatment improved physiological and yield traits of rice under lead toxicity. Environ. Sci. Pollut. Res. Int. 2018, 25, 33637–33644. [Google Scholar] [CrossRef]
- Huang, S.H.; Rao, G.S.; Ashraf, U.; Deng, Q.Q.; Dong, H.; Zhang, H.L.; Mo, Z.W.; Pan, S.G.; Tang, X.R. Ultrasonic seed treatment improved morpho-physiological and yield traits and reduced grain Cd concentrations in rice. Ecotoxicol. Environ. Saf. 2021, 214, 112119. [Google Scholar] [CrossRef] [PubMed]
- Ashokkumar, M. Applications of ultrasound in food and bioprocessing. Ultrason.—Sonochem. 2015, 25, 17–23. [Google Scholar] [CrossRef]
- Xie, X.B.; Shan, S.L.; Wang, Y.M.; Cao, F.B.; Chen, J.N.; Huang, M.; Zou, Y.B. Dense planting with reducing nitrogen rate increased grain yield and nitrogen use efficiency in two hybrid rice varieties across two light conditions. Field Crops Res. 2019, 236, 24–32. [Google Scholar] [CrossRef]
- Liu, K.; Yang, R.; Deng, J.; Huang, L.Y.; Wei, Z.W.; Ma, G.H.; Tian, X.H.; Zhang, Y.B. High radiation use efficiency improves yield in the recently developed elite hybrid rice Y-liangyou 900. Field Crops Res. 2020, 253, 107804. [Google Scholar] [CrossRef]
- Monteith, J.L. Climate and the efficiency of crop production in Britain. Philos. Trans. R. Soc. Lond. 1977, 281, 277–294. [Google Scholar]
- Meek, D.W.; Hatfield, J.L.; Howell, T.A.; Idso, S.B.; Reginato, R.J. A Generalized Relationship between Photosynthetically Active Radiation and Solar Radiation. Agron. J. 1984, 76, 939–945. [Google Scholar] [CrossRef]
- Deng, J.; Ye, J.Y.; Zhong, X.F.; Yang, Q.Q.; Harrison, M.T.; Wang, C.H.; Huang, L.Y.; Tian, X.H.; Liu, K.; Zhang, Y.B. Optimizing Grain Yield and Radiation Use Efficiency through Synergistic Applications of Nitrogen and Potassium Fertilizers in Super Hybrid Rice. Plants 2023, 12, 2858. [Google Scholar] [CrossRef]
- Li, G.H.; Zhang, J.; Yang, C.D.; Song, Y.P.; Zheng, C.Y.; Liu, Z.H.; Wang, S.H.; Tang, S.; Ding, Y.F. Yield and yield components of hybrid rice as influenced by nitrogen fertilization at different eco-sites. J. Plant Nutr. 2014, 37, 244–258. [Google Scholar] [CrossRef]
- Katsura, K.; Maeda, S.; Horie, T.; Shiraiwa, T. Analysis of yield attributes and crop physiological traits of Liangyoupeijiu, a hybrid rice recently bred in China. Field Crops Res. 2007, 103, 170–177. [Google Scholar] [CrossRef]
- Liu, K.; Yang, R.; Lu, J.; Wang, X.Y.; Lu, B.L.; Tian, X.H.; Zhang, Y.B. Radiation Use Efficiency and Source-Sink Changes of Super Hybrid Rice under Shade Stress during Grain-Filling Stage. Agron. J. 2019, 111, 1788–1798. [Google Scholar] [CrossRef]
- Pan, Y.H.; Cao, Y.W.; Chai, Y.X.; Meng, X.S.; Wang, M.; Wang, G.J.; Guo, S.W. Identification of photosynthetic parameters for superior yield of two super hybrid rice varieties: A cross-scale study from leaf to canopy. Front. Plant Sci. 2023, 14, 1110257. [Google Scholar] [CrossRef]
- Luo, Y.M.; Tian, J.Y.; Lin, Q.S.; Jiang, Y.J.; Xiao, L.Z.; Tang, X.R. Effects of cultivation technique characterized by enhancing source, activating sink and improving quality on yield of extensive-adaptation super rice in South China. J. Northwest A F Univ. 2014, 42, 55–60. [Google Scholar]
- Huang, S.H.; Ashraf, U.; Duan, M.Y.; Ren, Y.; Xing, P.P.; Yan, Z.S.; Tang, X.R. Ultrasonic seed treatment improved seed germination, growth, and yield of rice by modulating associated physio-biochemical mechanisms. Ultrason. Sonochem. 2024, 104, 106821. [Google Scholar] [CrossRef]
- Liang, Q.Y. Comparison of the Cultivation Technique Characterized by Enhancing Source, Activating Sink and Improving Quality of Super-rice and Its Fertilizer Recommendation after Soil Testing Technique and Conventional Technique. J. Anhui Agric. Sci. 2014, 42, 6583–6584. [Google Scholar]
- He, X.E.; Zhu, H.J.; Shi, A.L.; Wang, X.H. Optimizing Nitrogen Fertilizer Management Enhances Rice Yield, Dry Matter, and Nitrogen Use Efficiency. Agronomy 2024, 14, 919. [Google Scholar] [CrossRef]
- Li, D.Q.; Qin, J.Q.; Zhang, Y.B.; Yang, S.H.; Peng, S.B.; Zou, Y.B.; Tang, Q.Y. Effects of rice varieties and sowing dates on solar energy interception and vertical distribution of dry matter. J. Nucl. Agric. Sci. 2009, 23, 858–863. [Google Scholar]
- Huang, N.R.; Fu, Y.Q.; Zhong, X.H.; Liang, K.M.; Pan, J.F.; Liu, Y.Z.; Hu, X.Y.; Peng, B.L.; Chen, R.B.; Hu, R. Radiation use efficiency and its classification of main varieties in double-cropping rice region of South China. Chin. J. Eco-Agric. 2019, 27, 1714–1724. [Google Scholar]
- Huang, M.; Shan, S.L.; Zhou, X.F.; Chen, J.N.; Cao, F.B.; Jiang, L.G.; Zou, Y.B. Leaf photosynthetic performance related to higher radiation use efficiency and grain yield in hybrid rice. Field Crops Res. 2016, 193, 87–93. [Google Scholar] [CrossRef]
- Ying, J.F.; Peng, S.B.; He, Q.R.; Yang, H.; Yang, C.D.; Visperas, R.M.; Cassman, K.G. Comparison of high-yield rice in tropical and subtropical environments: I. Determinants of grain and dry matter yields. Field Crops Res. 1998, 57, 71–78. [Google Scholar] [CrossRef]
- Zhang, Y.B.; Tang, Q.Y.; Zou, Y.B.; Li, D.Q.; Qin, J.Q.; Yang, S.H.; Chen, L.J.; Xia, B.; Peng, S.B. Yield potential and radiation use efficiency of super hybrid rice grown under subtropical conditions. Field Crops Res. 2009, 114, 91–98. [Google Scholar] [CrossRef]
- Kiniry, J.R.; McCauley, G.; Xie, Y.; Arnold, J.G. Rice Parameters Describing Crop Performance of Four US Cultivars. Agron. J. 2001, 93, 1354–1361. [Google Scholar] [CrossRef]
- Kiniry, J.R.; Jones, C.A.; O’Toole, J.C.; Blanchet, R.; Cabelguenne, M.; Spanel, D.A. Radiation use efficiency in biomass accumulation prior to grain-filling for five grain-crop species. Field Crops Res. 1989, 20, 51–64. [Google Scholar] [CrossRef]
- Huang, M.; Fang, S.L.; Cao, F.B.; Chen, J.N.; Shan, S.L.; Liu, Y.; Lei, T.; Tian, A.L.; Tao, Z.; Zou, Y.B. Early sowing increases grain yield of machine-transplanted late-season rice under single-seed sowing. Field Crops Res. 2020, 253, 107832. [Google Scholar] [CrossRef]








| ANOVA | GY | PN | SP | GF | GW | IPAR | TDW | RUE | HI |
|---|---|---|---|---|---|---|---|---|---|
| Year (Y) | 71.97 ** | 127.25 ** | ns | 133.60 ** | 17.76 ** | 3514.81 ** | 215.62 ** | 251.23 ** | 79.20 ** |
| Variety (V) | 559.01 ** | 100.25 ** | 86.54 ** | 78.65 ** | 200.45 ** | 4.67 * | 198.65 ** | 212.27 ** | 185.25 ** |
| Treatment (T) | 183.12 ** | 369.87 ** | 103.20 ** | 36.35 ** | ns | 131.89 ** | 343.44 ** | 164.72 ** | 44.05 ** |
| Y × V | ns | 12.84 ** | 8.14 ** | 19.50 ** | 18.28 ** | ns | 5.32 * | 4.79 * | ns |
| Y × T | ns | 34.49 ** | 4.56 ** | 9.50 ** | ns | ns | ns | 6.32 ** | ns |
| V × T | ns | 11.01 ** | ns | 3.58 * | ns | 4.77 ** | ns | 3.73 * | ns |
| Y × V × T | ns | ns | 3.26 * | 4.40 * | 4.01 * | ns | 4.37 * | ns | ns |
| Year (Y) | Variety (V) | Treatment (T) | GP (d) | IPAR (MJ m−2) | RUE (g MJ−2) | ||||||
|---|---|---|---|---|---|---|---|---|---|---|---|
| MT | MT–FL | FL–MA | WGS | MT | MT–FL | FL–MA | WGS | ||||
| 2022 | WFY | CK | 97 | 89.53 c | 199.69 c | 185.48 b | 474.70 c | 1.46 b | 2.29 a | 2.72 c | 2.30 c |
| T1 | 97 | 94.82 bc | 208.04 b | 187.82 b | 490.69 b | 1.80 b | 2.45 a | 3.26 b | 2.63 b | ||
| T2 | 97 | 97.60 ab | 214.57 ab | 194.29 a | 506.46 a | 2.51 a | 2.61 a | 3.31 b | 2.86 a | ||
| T3 | 97 | 102.57 a | 220.25 a | 196.98 a | 519.80 a | 2.80 a | 2.46 a | 3.71 a | 3.00 a | ||
| Mean | 97 | 96.13 A | 210.65 A | 191.15 A | 497.93 A | 2.15 A | 2.48 B | 3.25 A | 2.70 AB | ||
| JNSM | CK | 101 | 76.07 b | 215.90 b | 180.12 c | 472.08 b | 1.26 b | 2.42 ab | 2.07 c | 2.10 c | |
| T1 | 101 | 81.67 b | 222.99 b | 182.76 c | 487.42 b | 1.25 b | 2.59 a | 2.61 b | 2.37 b | ||
| T2 | 101 | 93.26 a | 239.27 a | 185.91 b | 518.44 a | 2.33 a | 2.29 b | 2.77 b | 2.47 b | ||
| T3 | 101 | 98.02 a | 246.10 a | 188.93 a | 533.04 a | 2.53 a | 2.40 ab | 3.19 a | 2.70 a | ||
| Mean | 101 | 87.28 A | 231.08 A | 184.43 A | 502.73 A | 1.85 A | 2.43 B | 2.68 A | 2.41 B | ||
| 2023 | WFY | CK | 98 | 92.24 d | 129.44 d | 147.34 c | 369.01 d | 1.84 b | 2.75 b | 3.33 b | 2.76 b |
| T1 | 98 | 95.49 c | 132.92 c | 148.66 c | 377.06 c | 1.84 b | 3.00 b | 3.42 b | 2.87 b | ||
| T2 | 98 | 99.97 b | 139.49 b | 155.16 b | 394.62 b | 2.37 a | 3.58 a | 3.77 ab | 3.35 a | ||
| T3 | 98 | 103.19 a | 142.84 a | 158.24 a | 404.28 a | 2.53 a | 3.69 a | 4.00 a | 3.52 a | ||
| Mean | 98 | 97.73 A | 136.15 C | 152.35 B | 386.25 B | 2.13 A | 3.28 A | 3.63 A | 3.13 A | ||
| JNSM | CK | 101 | 79.57 d | 129.44 d | 132.57 c | 364.24 d | 1.83 c | 2.83 b | 2.34 d | 2.44 d | |
| T1 | 101 | 84.76 c | 132.92 c | 134.33 c | 375.63 c | 1.61 d | 3.03 a | 2.55 c | 2.54 c | ||
| T2 | 101 | 94.30 b | 139.49 b | 139.21 b | 403.02 b | 2.45 b | 2.80 b | 3.08 b | 2.81 b | ||
| T3 | 101 | 98.45 a | 142.84 a | 142.23 a | 415.52 a | 3.00 a | 2.84 b | 3.57 a | 3.13 a | ||
| Mean | 101 | 89.30 A | 163.23 B | 137.08 C | 389.58 B | 2.20 A | 2.85 AB | 2.90 A | 2.73 AB | ||
| GY | Intercept | IPAR | RUE | HI | Adj.R2 | ||||||
|---|---|---|---|---|---|---|---|---|---|---|---|
| Value | SE | p-Level | Value | SE | p-Level | Value | SE | p-Level | |||
| WFY | −4.669 | 0.798 | 0.107 | ** | 0.793 | 0.094 | ** | 0.063 | 0.185 | ns | 0.854 |
| JNSM | −4.379 | 0.985 | 0.122 | ** | 0.811 | 0.092 | ** | −0.234 | 0.214 | ns | 0.925 |
| Mean | −5.747 | 0.439 | 0.102 | ** | 0.695 | 0.091 | ** | 0.327 | 0.136 | ** | 0.868 |
| Fertilizer | Basic Fertilizer N,P2O5, and K2O (kg−1) | Tillering Fertilizer N,P2O5, and K2O (kg·ha−1) | Panicle Initiation Fertilizer N,P2O5, and K2O (kg·ha−1) | Heading Fertilizer N,P2O5, and K2O (kg·ha−1) | Foliar Fertilizer at Heading Stage (kg·ha−1) | Fertilization Method | |
|---|---|---|---|---|---|---|---|
| Conventional cultivation technique | Urea (46.7%), rapidly available P (15%), and rapidly available K (60%) | 72:48:0 | 36:0:36 | 63:0:36 | 9:0:0 | - | Broadcast fertilization |
| Super rice-specific cultivation technique | Special fertilizer for super rice (N:P2O5:K2O = 15:4:6) | 135:36:54 | 45:12:18 | - | - | 1.5 |
Disclaimer/Publisher’s Note: The statements, opinions and data contained in all publications are solely those of the individual author(s) and contributor(s) and not of MDPI and/or the editor(s). MDPI and/or the editor(s) disclaim responsibility for any injury to people or property resulting from any ideas, methods, instructions or products referred to in the content. |
© 2024 by the authors. Licensee MDPI, Basel, Switzerland. This article is an open access article distributed under the terms and conditions of the Creative Commons Attribution (CC BY) license (https://creativecommons.org/licenses/by/4.0/).
Share and Cite
Deng, S.; Gu, Q.; Wu, Y.; Yi, W.; Lu, J.; Peng, L.; Tang, X. Yield Difference between Different Cultivation Techniques under Ultrasonic Treatment Driven by Radiation Use Efficiency. Plants 2024, 13, 2510. https://doi.org/10.3390/plants13172510
Deng S, Gu Q, Wu Y, Yi W, Lu J, Peng L, Tang X. Yield Difference between Different Cultivation Techniques under Ultrasonic Treatment Driven by Radiation Use Efficiency. Plants. 2024; 13(17):2510. https://doi.org/10.3390/plants13172510
Chicago/Turabian StyleDeng, Sicheng, Qichang Gu, Yizhu Wu, Wentao Yi, Jian Lu, Ligong Peng, and Xiangru Tang. 2024. "Yield Difference between Different Cultivation Techniques under Ultrasonic Treatment Driven by Radiation Use Efficiency" Plants 13, no. 17: 2510. https://doi.org/10.3390/plants13172510
APA StyleDeng, S., Gu, Q., Wu, Y., Yi, W., Lu, J., Peng, L., & Tang, X. (2024). Yield Difference between Different Cultivation Techniques under Ultrasonic Treatment Driven by Radiation Use Efficiency. Plants, 13(17), 2510. https://doi.org/10.3390/plants13172510

