Composition and Effects of Aerosol Particles Deposited on Urban Plant Leaves in Terrestrial and Aquatic Habitats
Abstract
1. Introduction
2. Materials and Methods
2.1. Studied Species
2.2. Sampling Sites
2.3. Sample Collections
2.4. Measurements of Particle Compositions
- (1)
- Number density of particles
- (2)
- Mass concentration of particles
- (3)
- Concentration of water-soluble inorganic ions
2.5. Measurements of Leaf Functional Traits
- (1)
- Photosynthetic-related parameters
- (2)
- Morphological characteristics
2.6. Data Analysis
3. Results
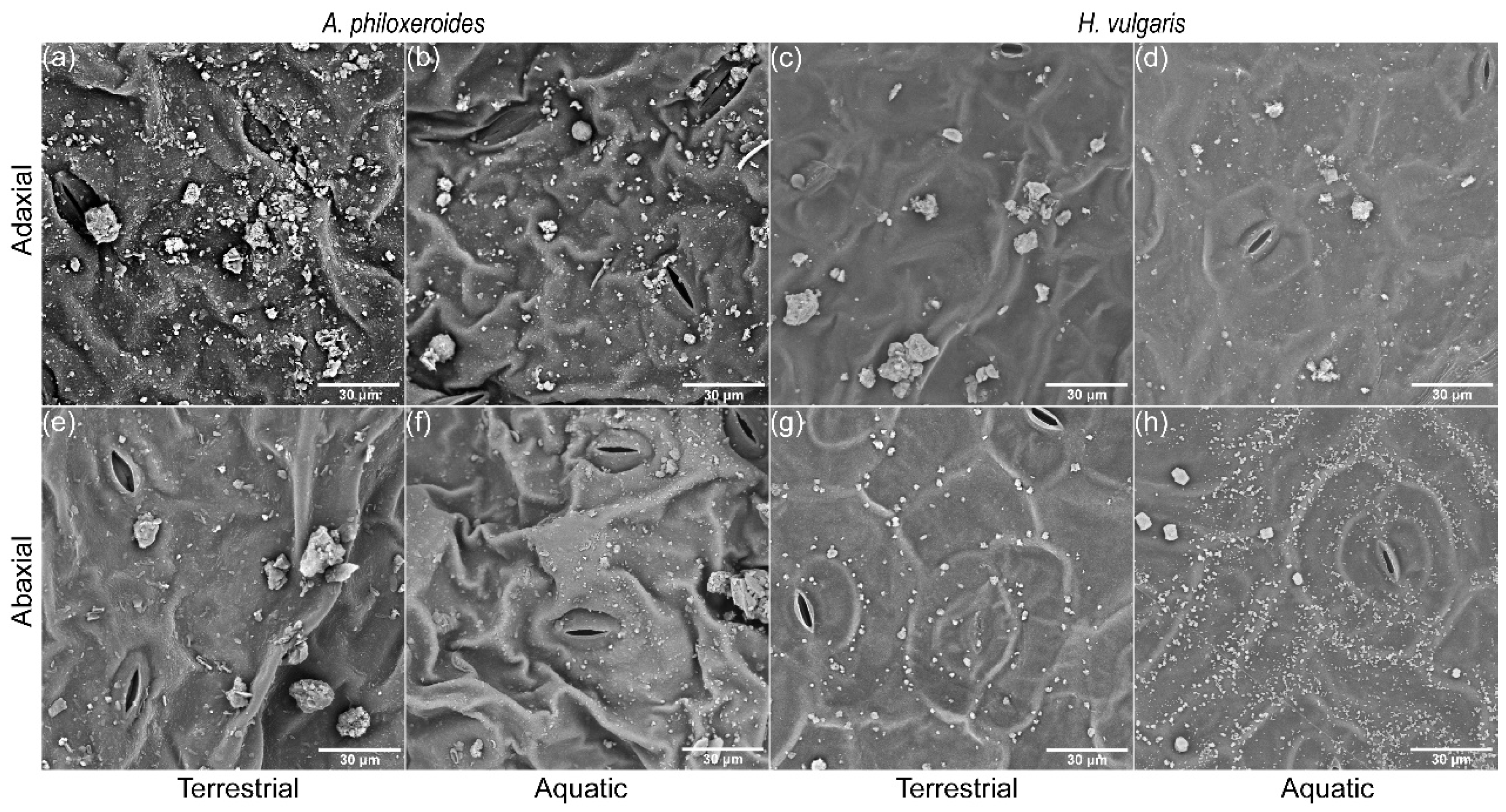
3.1. The Size Distributions of Deposited Particles
3.2. The Composition Characteristics of Deposited Particles
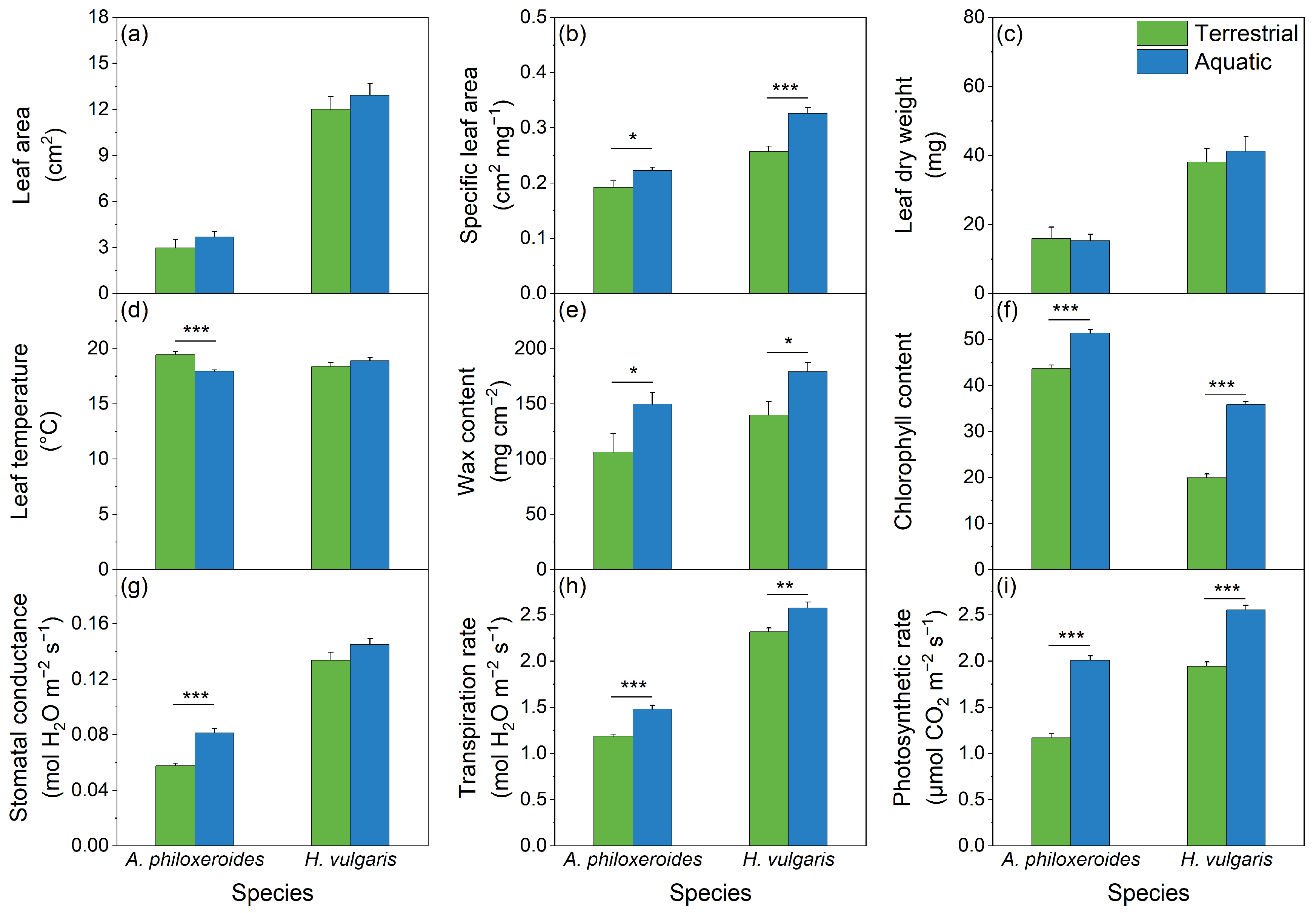
3.3. The Leaf Functional Traits of Plants
3.4. Relation Between Particle Deposition and Leaf Functional Traits
4. Discussion
4.1. Differences in Particle Characteristics Deposited on Plants in Terrestrial and Aquatic Habitats
4.2. Effects on Particle Retention Efficiency of Plants by Different Habitats
4.3. The Effects of Particle Deposition on the Physiological Features of Plants
5. Conclusions
Author Contributions
Funding
Data Availability Statement
Conflicts of Interest
References
- Li, W.; Xu, L.; Liu, X.; Zhang, J.; Lin, Y.; Yao, X.; Gao, H.; Zhang, D.; Chen, J.; Wang, W.; et al. Air pollution-aerosol interactions produce more bioavailable iron for ocean ecosystems. Sci. Adv. 2017, 3, e1601749. [Google Scholar] [CrossRef] [PubMed]
- West, J.J.; Cohen, A.; Dentener, F.; Brunekreef, B.; Zhu, T.; Armstrong, B.; Bell, M.L.; Brauer, M.; Carmichael, G.; Costa, D.L.; et al. What we breathe impacts our health: Improving understanding of the link between air pollution and Health. Environ. Sci. Technol. 2016, 50, 4895–4904. [Google Scholar] [CrossRef] [PubMed]
- Li, W.J.; Shao, L.Y. Transmission electron microscopy study of aerosol particles from the brown hazes in Northern China. J. Geophys. Res. Atmos. 2009, 114, D09302. [Google Scholar] [CrossRef]
- Sun, X.; Li, H.; Guo, X.; Sun, Y.; Li, S. Capacity of six shrub species to retain atmospheric particulates with different diameters. Environ. Sci. Pollut. Res. Int. 2018, 25, 2643–2650. [Google Scholar] [CrossRef]
- Zhang, X.; Lyu, J.; Zeng, Y.; Sun, N.; Liu, C.; Yin, S. Individual effects of trichomes and leaf morphology on PM2.5 dry deposition velocity: A variable-control approach using species from the same family or genus. Environ. Pollut. 2021, 272, 116385. [Google Scholar] [CrossRef]
- Qi, Y.; Wei, S.; Xin, T.; Huang, C.; Pu, Y.; Ma, J.; Zhang, C.; Liu, Y.; Lynch, I.; Liu, S. Passage of exogeneous fine particles from the lung into the brain in humans and animals. Proc. Natl. Acad. Sci. USA 2022, 119, e2117083119. [Google Scholar] [CrossRef] [PubMed]
- Combes, A.; Franchineau, G. Fine particle environmental pollution and cardiovascular diseases. Metabolism 2019, 100S, 153944. [Google Scholar] [CrossRef]
- Health Effects Institute. State of Global Air 2020 Special Report; Health Effects Institute: Boston, MA, USA, 2020. [Google Scholar]
- Gaglio, M.; Pace, R.; Muresan, A.N.; Grote, R.; Castaldelli, G.; Calfapietra, C.; Fano, E.A. Species-specific efficiency in PM2.5 removal by urban trees: From leaf measurements to improved modeling estimates. Sci. Total Environ. 2022, 844, 157131. [Google Scholar] [CrossRef]
- Fares, S.; Conte, A.; Alivernini, A.; Chianucci, F.; Grotti, M.; Zappitelli, I.; Petrella, F.; Corona, P. Testing removal of carbon dioxide, ozone, and atmospheric particles by urban parks in Italy. Environ. Sci. Technol. 2020, 54, 14910–14922. [Google Scholar] [CrossRef]
- Prigioniero, A.; Zuzolo, D.; Niinemets, U.; Postiglione, A.; Mercurio, M.; Izzo, F.; Trifuoggi, M.; Toscanesi, M.; Scarano, P.; Tartaglia, M.; et al. Particulate matter and polycyclic aromatic hydrocarbon uptake in relation to leaf surface functional traits in Mediterranean evergreens: Potentials for air phytoremediation. J. Hazard. Mater. 2022, 435, 129029. [Google Scholar] [CrossRef]
- Wang, C.; Guo, M.; Jin, J.; Yang, Y.; Ren, Y.; Wang, Y.; Cao, J. Does the spatial pattern of plants and green space affect air pollutant concentrations? Evidence from 37 garden cities in China. Plants 2022, 11, 2847. [Google Scholar] [CrossRef] [PubMed]
- Chen, S.Q.; Yu, H.; Teng, X.M.; Dong, M.; Li, W.J. Composition and size of retained aerosol particles on urban plants: Insights into related factors and potential impacts. Sci. Total Environ. 2022, 853, 158656. [Google Scholar] [CrossRef] [PubMed]
- Schaubroeck, T.; Deckmyn, G.; Neirynck, J.; Staelens, J.; Adriaenssens, S.; Dewulf, J.; Muys, B.; Verheyen, K. Multilayered modeling of particulate matter removal by a growing forest over time, from plant surface deposition to washoff via rainfall. Environ. Sci. Technol. 2014, 48, 10785–10794. [Google Scholar] [CrossRef] [PubMed]
- Cao, Z.; Wu, X.; Wang, T.; Zhao, Y.; Zhao, Y.; Wang, D.; Chang, Y.; Wei, Y.; Yan, G.; Fan, Y.; et al. Characteristics of airborne particles retained on conifer needles across China in winter and preliminary evaluation of the capacity of trees in haze mitigation. Sci. Total Environ. 2022, 806, 150704. [Google Scholar] [CrossRef]
- Pettit, T.; Torpy, F.R.; Surawski, N.C.; Fleck, R.; Irga, P.J. Effective reduction of roadside air pollution with botanical biofiltration. J. Hazard. Mater. 2021, 414, 125566. [Google Scholar] [CrossRef]
- Xie, C.; Kan, L.; Guo, J.; Jin, S.; Li, Z.; Chen, D.; Li, X.; Che, S. A dynamic processes study of PM retention by trees under different wind conditions. Environ. Pollut. 2018, 233, 315–322. [Google Scholar] [CrossRef] [PubMed]
- Li, X.; Zhang, T.; Sun, F.; Song, X.; Zhang, Y.; Huang, F.; Yuan, C.; Yu, H.; Zhang, G.; Qi, F.; et al. The relationship between particulate matter retention capacity and leaf surface micromorphology of ten tree species in Hangzhou, China. Sci. Total Environ. 2021, 771, 144812. [Google Scholar] [CrossRef]
- Sgrigna, G.; Baldacchini, C.; Dreveck, S.; Cheng, Z.; Calfapietra, C. Relationships between air particulate matter capture efficiency and leaf traits in twelve tree species from an Italian urban-industrial environment. Sci. Total Environ. 2020, 718, 137310. [Google Scholar] [CrossRef]
- Gao, P.P.; Xue, P.Y.; Dong, J.W.; Zhang, X.M.; Sun, H.X.; Geng, L.P.; Luo, S.X.; Zhao, J.J.; Liu, W.J. Contribution of PM2.5-Pb in atmospheric fallout to Pb accumulation in Chinese cabbage leaves via stomata. J. Hazard. Mater. 2021, 407, 124356. [Google Scholar] [CrossRef]
- Xu, H.; Wang, W.; Wang, H.; Sun, Y.; Zhong, Z.; Wang, S. Differences in quantity and composition of leaf particulate matter and morphological structures in three evergreen trees and their association in Harbin, China. Environ. Pollut. 2019, 252, 1772–1790. [Google Scholar] [CrossRef]
- Choi, Y.K.; Song, H.J.; Jo, J.W.; Bang, S.W.; Park, B.H.; Kim, H.H.; Kim, K.J.; Jeong, N.R.; Kim, J.H.; Kim, H.J. Morphological and chemical evaluations of leaf surface on particulate matter2.5 (PM2.5) removal in a botanical plant-based biofilter system. Plants 2021, 10, 2761. [Google Scholar] [CrossRef] [PubMed]
- Zhang, X.; Lyu, J.; Han, Y.; Sun, N.; Sun, W.; Li, J.; Liu, C.; Yin, S. Effects of the leaf functional traits of coniferous and broadleaved trees in subtropical monsoon regions on PM2.5 dry deposition velocities. Environ. Pollut. 2020, 265, 114845. [Google Scholar] [CrossRef] [PubMed]
- Shao, F.; Wang, L.; Sun, F.; Li, G.; Yu, L.; Wang, Y.; Zeng, X.; Yan, H.; Dong, L.; Bao, Z. Study on different particulate matter retention capacities of the leaf surfaces of eight common garden plants in Hangzhou, China. Sci. Total Environ. 2019, 652, 939–951. [Google Scholar] [CrossRef] [PubMed]
- Wang, H.; Shi, H. Particle retention capacity, efficiency, and mechanism of selected plant species: Implications for urban planting for improving urban air quality. Plants 2021, 10, 2109. [Google Scholar] [CrossRef]
- Konczak, B.; Cempa, M.; Pierzchala, L.; Deska, M. Assessment of the ability of roadside vegetation to remove particulate matter from the urban air. Environ. Pollut. 2021, 268, 115465. [Google Scholar] [CrossRef] [PubMed]
- Wang, H.; Maher, B.A.; Ahmed, I.A.; Davison, B. Efficient removal of ultrafine particles from diesel exhaust by selected tree species: Implications for roadside planting for improving the quality of urban air. Environ. Sci. Technol. 2019, 53, 6906–6916. [Google Scholar] [CrossRef]
- Rai, P.K. Impacts of particulate matter pollution on plants: Implications for environmental biomonitoring. Ecotoxicol. Environ. Saf. 2016, 129, 120–136. [Google Scholar] [CrossRef]
- Yu, W.; Wang, Y.; Wang, Y.; Li, B.; Liu, Y.; Liu, X. Application of a coupled model of photosynthesis and stomatal conductance for estimating plant physiological response to pollution by fine particulate matter (PM2.5). Environ. Sci. Pollut. Res. Int. 2018, 25, 19826–19835. [Google Scholar] [CrossRef]
- Li, Y.F.; Wang, Y.J.; Wang, B.; Wang, Y.Q.; Yu, W.Q. The response of plant photosynthesis and stomatal conductance to fine particulate matter (PM2.5) based on leaf factors analyzing. J. Plant Biol. 2019, 62, 120–128. [Google Scholar] [CrossRef]
- Neves, N.R.; Oliva, M.A.; da Cruz Centeno, D.; Costa, A.C.; Ribas, R.F.; Pereira, E.G. Photosynthesis and oxidative stress in the restinga plant species Eugenia uniflora L. exposed to simulated acid rain and iron ore dust deposition: Potential use in environmental risk assessment. Sci. Total Environ. 2009, 407, 3740–3745. [Google Scholar] [CrossRef]
- Liu, J.Q.; Cao, Z.G.; Zou, S.Y.; Liu, H.H.; Hai, X.; Wang, S.H.; Duan, J.; Xi, B.Y.; Yan, G.X.; Zhang, S.W.; et al. An investigation of the leaf retention capacity, efficiency and mechanism for atmospheric particulate matter of five greening tree species in Beijing, China. Sci. Total Environ. 2018, 616, 417–426. [Google Scholar] [CrossRef] [PubMed]
- Xu, X.; Yu, X.; Bao, L.; Desai, A.R. Size distribution of particulate matter in runoff from different leaf surfaces during controlled rainfall processes. Environ. Pollut. 2019, 255, 113234. [Google Scholar] [CrossRef]
- Przybysz, A.; Saebo, A.; Hanslin, H.M.; Gawronski, S.W. Accumulation of particulate matter and trace elements on vegetation as affected by pollution level, rainfall and the passage of time. Sci. Total Environ. 2014, 481, 360–369. [Google Scholar] [CrossRef] [PubMed]
- Holm, L.; Doll, J.; Holm, E.; Pancho, J.V.; Herberger, J.P. World Weeds: Natural Histories and Distribution; John Wiley & Sons: Hoboken, NJ, USA, 1997. [Google Scholar]
- Wang, M.Z.; Li, H.L.; Li, J.M.; Yu, F.H. Correlations between genetic, epigenetic and phenotypic variation of an introduced clonal herb. Heredity 2020, 124, 146–155. [Google Scholar] [CrossRef]
- Huang, L.; Yu, M.F.; Hu, J.N.; Sheng, W.J.; Xue, W.; Yu, F.H. Density alters impacts of genotypic evenness on productivity in an experimental plant population. Front. Plant Sci. 2022, 13, 915812. [Google Scholar] [CrossRef] [PubMed]
- Weerakkody, U.; Dover, J.W.; Mitchell, P.; Reiling, K. Quantification of the traffic-generated particulate matter capture by plant species in a living wall and evaluation of the important leaf characteristics. Sci. Total Environ. 2018, 635, 1012–1024. [Google Scholar] [CrossRef]
- Chen, S.Q.; Yu, H.; Xu, L.; Fei, F.M.; Song, Y.B.; Dong, M.; Li, W.J. Characterizing accumulation and negative effects of aerosol particles on the leaves of urban trees. Environ. Pollut. 2024, 340, 122812. [Google Scholar] [CrossRef] [PubMed]
- Barwise, Y.; Kumar, P. Designing vegetation barriers for urban air pollution abatement: A practical review for appropriate plant species selection. Npj Clim. Atmos. Sci. 2020, 3, 12. [Google Scholar] [CrossRef]
- Li, W.J.; Chi, J.W.; Shi, Z.B.; Wang, X.F.; Chen, B.; Wang, Y.; Li, T.; Chen, J.M.; Zhang, D.Z.; Wang, Z.F.; et al. Composition and hygroscopicity of aerosol particles at Mt. Lu in South China: Implications for acid precipitation. Atmos. Environ. 2014, 94, 626–636. [Google Scholar] [CrossRef]
- Tian, M.; Wang, H.B.; Chen, Y.; Yang, F.M.; Zhang, X.H.; Zou, Q.; Zhang, R.Q.; Ma, Y.L.; He, K.B. Characteristics of aerosol pollution during heavy haze events in Suzhou, China. Atmos. Chem. Phys. 2016, 16, 7357–7371. [Google Scholar] [CrossRef]
- Ryu, J.; Kim, J.J.; Byeon, H.; Go, T.; Lee, S.J. Removal of fine particulate matter (PM2.5) via atmospheric humidity caused by evapotranspiration. Environ. Pollut. 2019, 245, 253–259. [Google Scholar] [CrossRef] [PubMed]
- Cheng, Y.; He, K.-B.; Du, Z.-Y.; Zheng, M.; Duan, F.-K.; Ma, Y.-L. Humidity plays an important role in the PM2.5 pollution in Beijing. Environ. Pollut. 2015, 197, 68–75. [Google Scholar] [CrossRef] [PubMed]
- Zhu, Y.; Huang, L.; Li, J.; Ying, Q.; Zhang, H.; Liu, X.; Liao, H.; Li, N.; Liu, Z.; Mao, Y.; et al. Sources of particulate matter in China: Insights from source apportionment studies published in 1987–2017. Environ. Int. 2018, 115, 343–357. [Google Scholar] [CrossRef]
- Zhang, W.; Cao, J.; Luo, X.; Qiu, J.; Qi, Y. Plants emit sulfate-, phosphate- and metal-containing nanoparticles. Environ. Chem. Lett. 2023, 21, 655–661. [Google Scholar] [CrossRef]
- Cheng, Y.; Zheng, G.; Wei, C.; Mu, Q.; Zheng, B.; Wang, Z.; Gao, M.; Zhang, Q.; He, K.; Carmichael, G.; et al. Reactive nitrogen chemistry in aerosol water as a source of sulfate during haze events in China. Sci. Adv. 2016, 2, e1601530. [Google Scholar] [CrossRef]
- Ding, J.; Dai, Q.; Zhang, Y.; Xu, J.; Huangfu, Y.; Feng, Y. Air humidity affects secondary aerosol formation in different pathways. Sci. Total Environ. 2021, 759, 143540. [Google Scholar] [CrossRef] [PubMed]
- Guo, F.F.; Xie, S.D. Formation mechanisms of secondary sulfate and nitrate in PM2.5. Prog. Chem. 2023, 35, 1313–1326. [Google Scholar] [CrossRef]
- Liu, P.; Ye, C.; Xue, C.; Zhang, C.; Mu, Y.; Sun, X. Formation mechanisms of atmospheric nitrate and sulfate during the winter haze pollution periods in Beijing: Gas-phase, heterogeneous and aqueous-phase chemistry. Atmos. Chem. Phys. 2020, 20, 4153–4165. [Google Scholar] [CrossRef]
- Mariraj Mohan, S. An overview of particulate dry deposition: Measuring methods, deposition velocity and controlling factors. Int. J. Environ. Sci. Technol. 2016, 13, 387–402. [Google Scholar] [CrossRef]
- Wang, Y.; Chen, L.; Chen, R.; Tian, G.; Li, D.; Chen, C.; Ge, X.; Ge, G. Effect of relative humidity on the deposition and coagulation of aerosolized SiO2 nanoparticles. Atmos. Res. 2017, 194, 100–108. [Google Scholar] [CrossRef]
- Li, W.; Teng, X.; Chen, X.; Liu, L.; Xu, L.; Zhang, J.; Wang, Y.; Zhang, Y.; Shi, Z. Organic coating reduces hygroscopic growth of phase-separated aerosol particles. Environ. Sci. Technol. 2021, 55, 16339–16346. [Google Scholar] [CrossRef]
- Sun, J.; Liu, L.; Xu, L.; Wang, Y.; Wu, Z.; Hu, M.; Shi, Z.; Li, Y.; Zhang, X.; Chen, J.; et al. Key role of nitrate in phase transitions of urban particles: Implications of important reactive surfaces for secondary aerosol formation. J. Geophys. Res. Atmos. 2018, 123, 1234–1243. [Google Scholar] [CrossRef]
- Kardel, F.; Wuyts, K.; Khavaninzhadeh, A.R.; Wuytack, T.; Babanezhad, M.; Samson, R. Comparison of leaf saturation isothermal remanent magnetisation (SIRM) with anatomical, morphological and physiological tree leaf characteristics for assessing urban habitat quality. Environ. Pollut. 2013, 183, 96–103. [Google Scholar] [CrossRef] [PubMed]
- Poorter, H.; Niinemets, Ü.; Poorter, L.; Wright, I.J.; Villar, R. Causes and consequences of variation in leaf mass per area (LMA): A meta-analysis. New Phytol. 2009, 182, 565–588. [Google Scholar] [CrossRef] [PubMed]
- Leonard, R.J.; McArthur, C.; Hochuli, D.F. Particulate matter deposition on roadside plants and the importance of leaf trait combinations. Urban For. Urban Green. 2016, 20, 249–253. [Google Scholar] [CrossRef]
- Marien, B.; Marien, J.; Nguyen, X.H.; Nguyen, T.C.; Nguyen, V.S.; Samson, R. Particulate matter accumulation capacity of plants in Hanoi, Vietnam. Environ. Pollut. 2019, 253, 1079–1088. [Google Scholar] [CrossRef]
- Chiam, Z.; Song, X.P.; Lai, H.R.; Tan, H.T.W. Particulate matter mitigation via plants: Understanding complex relationships with leaf traits. Sci. Total Environ. 2019, 688, 398–408. [Google Scholar] [CrossRef]
- Chen, X.P.; Zhou, Z.X.; Teng, M.J.; Wang, P.C.; Zhou, L. Accumulation of three different sizes of particulate matter on plant leaf surfaces: Effect on leaf traits. Arch. Biol. Sci. 2015, 67, 1257–1267. [Google Scholar] [CrossRef]
- Cai, M.; Xin, Z.; Yu, X. Spatio-temporal variations in PM leaf deposition: A meta-analysis. Environ. Pollut. 2017, 231, 207–218. [Google Scholar] [CrossRef]
- Lu, S.W.; Yang, X.B.; Li, S.N.; Chen, B.; Jiang, Y.; Wang, D.; Xu, L. Effects of plant leaf surface and different pollution levels on PM adsorption capacity. Urban For. Urban Green. 2018, 34, 64–70. [Google Scholar] [CrossRef]
- Redondo-Bermudez, M.D.C.; Gulenc, I.T.; Cameron, R.W.; Inkson, B.J. ‘Green barriers’ for air pollutant capture: Leaf micromorphology as a mechanism to explain plants capacity to capture particulate matter. Environ. Pollut. 2021, 288, 117809. [Google Scholar] [CrossRef]
- Xu, Y.; Xu, W.; Mo, L.; Heal, M.R.; Xu, X.; Yu, X. Quantifying particulate matter accumulated on leaves by 17 species of urban trees in Beijing, China. Environ. Sci. Pollut. Res. 2018, 25, 12545–12556. [Google Scholar] [CrossRef]
- Przybysz, A.; Popek, R.; Stankiewicz-Kosyl, M.; Zhu, C.Y.; Malecka-Przybysz, M.; Maulidyawati, T.; Mikowska, K.; Deluga, D.; Grizuk, K.; Sokalski-Wieczorek, J.; et al. Where trees cannot grow-Particulate matter accumulation by urban meadows. Sci. Total Environ. 2021, 785, 147310. [Google Scholar] [CrossRef] [PubMed]
- Kong, Q.; Zhang, J.; Chen, S.; Zhang, J.; Ren, Y.; Jin, X.; Chen, J. Effects of periodic drought with severe exhaust exposure on particle retention capacity and physiological responses of Photinia x fraseri Dress. Ecotoxicol. Environ. Saf. 2022, 241, 113807. [Google Scholar] [CrossRef] [PubMed]
- Burkhardt, J.; Pariyar, S. Particulate pollutants are capable to ‘degrade’ epicuticular waxes and to decrease the drought tolerance of Scots pine (Pinus sylvestris L.). Environ. Pollut. 2014, 184, 659–667. [Google Scholar] [CrossRef]
- Bucher, S.F.; Auerswald, K.; Grün-Wenzel, C.; Higgins, S.I.; Garcia Jorge, J.; Römermann, C. Stomatal traits relate to habitat preferences of herbaceous species in a temperate climate. Flora 2017, 229, 107–115. [Google Scholar] [CrossRef]
- Wang, Y.; Wang, Y.; Tang, Y.; Zhu, X.-G. Stomata conductance as a goalkeeper for increased photosynthetic efficiency. Curr. Opin. Plant Biol. 2022, 70, 102310. [Google Scholar] [CrossRef] [PubMed]
- Tao, Y.; Chen, F.; Wan, K.; Li, X.; Li, J. The structural adaptation of aerial parts of invasive Alternanthera philoxeroides to water regime. J. Plant Biol. 2009, 52, 403–410. [Google Scholar] [CrossRef]
- Wang, R.; Huang, W.; Chen, L.; Ma, L.; Guo, C.; Liu, X. Anatomical and physiological plasticity in Leymus chinensis (Poaceae) along large-Scale longitudinal gradient in Northeast China. PLoS ONE 2011, 6, e26209. [Google Scholar] [CrossRef]
- Popek, R.; Przybysz, A.; Gawronska, H.; Klamkowski, K.; Gawronski, S.W. Impact of particulate matter accumulation on the photosynthetic apparatus of roadside woody plants growing in the urban conditions. Ecotoxicol. Environ. Saf. 2018, 163, 56–62. [Google Scholar] [CrossRef]
- Casson, S.; Gray, J.E. Influence of environmental factors on stomatal development. New Phytol. 2008, 178, 9–23. [Google Scholar] [CrossRef] [PubMed]
- Shabnam, N.; Oh, J.; Park, S.; Kim, H. Impact of particulate matter on primary leaves of Vigna radiata (L.) R. Wilczek. Ecotoxicol. Environ. Saf. 2021, 212, 111965. [Google Scholar] [CrossRef] [PubMed]
- Porra, R.J.; Scheer, H. Towards a more accurate future for chlorophyll a and b determinations: The inaccuracies of Daniel Arnon’s assay. Photosynth. Res. 2019, 140, 215–219. [Google Scholar] [CrossRef] [PubMed]








| Particle Characteristics | Fh | Fs | Fh × Fs |
|---|---|---|---|
| Number density | |||
| Fine particles | 15.782 ** | 14.543 ** | 1.841 |
| Coarse particles | 0.012 | 19.381 *** | 11.478 ** |
| Large particles | 0.781 | 22.464 *** | 6.976 * |
| TSP | 18.748 *** | 58.196 *** | 23.694 *** |
| Mass concentration | |||
| Fine particles | 12.952 ** | 7.942 ** | 12.648 ** |
| Coarse particles | 2.211 | 23.173 *** | 1.592 |
| Large particles | 0.139 | 28.061 *** | 12.432 ** |
| TSP | 13.823 ** | 64.499 *** | 28.196 *** |
| Ion concentration | |||
| Ca2+ | 0.029 | 0.555 | 0.848 |
| K+ | 1.445 | 1.445 | 1.445 |
| NH4+ | 1.497 | 1.896 | 2.834 |
| Na+ | 1.079 | 1.201 | 1.079 |
| SO42− | 8.497 * | 1.178 | 2.304 |
| NO3− | 4.783 * | 0.607 | 0.502 |
| Cl− | 0.036 | 3.363 | 0.036 |
| F− | 2.637 | 0.010 | 16.566 ** |
| Leaf Functional Traits | Fh | Fs | Fh × Fs |
|---|---|---|---|
| Leaf area | 2.555 | 293.908 *** | 0.038 |
| Specific leaf area | 48.463 *** | 132.115 *** | 4.714 * |
| Leaf biomass | 1.996 | 117.595 *** | 2.682 |
| Leaf temperature | 1.972 | 0.000 | 6.724 * |
| Wax content | 23.660 *** | 21.692 *** | 2.376 |
| Chlorophyll content | 237.371 *** | 652.221 *** | 28.381 *** |
| Stomatal conductance | 23.125 *** | 296.199 *** | 3.139 |
| Stomatal density | 211.170 *** | 92.857 *** | 143.989 *** |
| Stomatal area | 833.937 *** | 2987.058 *** | 19.031 *** |
| Transpiration rate | 35.022 *** | 573.681 *** | 0.134 |
| Photosynthetic rate | 248.322 *** | 204.632 *** | 6.168 * |
| Subjects | Parameters | Terrestrial Habitat | Aquatic Habitat |
|---|---|---|---|
| Particle characteristics | Particle size | More coarse and large particles | More fine particles, varied with the species |
| Number density | A little higher, in the adaxial surface | A little lower, on the whole | |
| Mass concentration | Higher, in the adaxial surface | Lower, on the whole | |
| Micro-morphological characteristics | Larger, irregular | Smaller, regular | |
| Main types | Dominated by mineral particles | Most are secondary particles | |
| Water-soluble inorganic ions | Lower | Higher | |
| Plant leaf traits | Growth traits | Normal | Better |
| Morphological traits | Normal | Better | |
| Stomatal density | Higher | Lower | |
| Stomatal area | Larger | Smaller | |
| Stomatal conductance | Lower | Higher | |
| Chlorophyll content | Lower | Higher | |
| Transpiration rate | Lower | Higher | |
| Photosynthetic rate | Lower | Higher |
Disclaimer/Publisher’s Note: The statements, opinions and data contained in all publications are solely those of the individual author(s) and contributor(s) and not of MDPI and/or the editor(s). MDPI and/or the editor(s) disclaim responsibility for any injury to people or property resulting from any ideas, methods, instructions or products referred to in the content. |
© 2024 by the authors. Licensee MDPI, Basel, Switzerland. This article is an open access article distributed under the terms and conditions of the Creative Commons Attribution (CC BY) license (https://creativecommons.org/licenses/by/4.0/).
Share and Cite
Chen, S.; Fei, F.; Song, Y.; Dong, M.; Wu, A.; Yu, H. Composition and Effects of Aerosol Particles Deposited on Urban Plant Leaves in Terrestrial and Aquatic Habitats. Plants 2024, 13, 3056. https://doi.org/10.3390/plants13213056
Chen S, Fei F, Song Y, Dong M, Wu A, Yu H. Composition and Effects of Aerosol Particles Deposited on Urban Plant Leaves in Terrestrial and Aquatic Habitats. Plants. 2024; 13(21):3056. https://doi.org/10.3390/plants13213056
Chicago/Turabian StyleChen, Siqi, Fangmin Fei, Yaobin Song, Ming Dong, Aiping Wu, and Hua Yu. 2024. "Composition and Effects of Aerosol Particles Deposited on Urban Plant Leaves in Terrestrial and Aquatic Habitats" Plants 13, no. 21: 3056. https://doi.org/10.3390/plants13213056
APA StyleChen, S., Fei, F., Song, Y., Dong, M., Wu, A., & Yu, H. (2024). Composition and Effects of Aerosol Particles Deposited on Urban Plant Leaves in Terrestrial and Aquatic Habitats. Plants, 13(21), 3056. https://doi.org/10.3390/plants13213056

