Abstract
Cowpeas are prone to abiotic (heat and drought) and biotic (pathogens and insect pests) stresses, with the former representing the predominant challenge, causing poor growth and reduced yield globally under changing climatic conditions. Cowpea can synthesize phytochemicals to respond to these stresses; however, there is limited information on the impact of weather on phytochemical biosynthesis in the cowpea phyllosphere. Phytochemical profiles were determined via chromatographic and spectrophotometric analyses of leaf samples from six cowpea varieties grown during 2020–2021. A total of 10 fatty acid methyl esters (FAMEs) and 62 diverse metabolites were identified across varieties and seasons, with higher levels in 2020 under elevated temperatures and rainfall. The Queen Anne (QA) variety exhibited the maximum concentration of elaidic oleic acid (cis + trans), behenate, lignocerate, methyl laurate, and methyl palmitate (with the highest concentration at 258.415 µg/mL), and the Whippoorwill Steele’s Black (WP) variety predominantly exhibited diverse phytochemicals with high peak areas during 2020, including phenolic acids, phytohormones, alkaloids, flavonoids, and amino acids. While higher overall increases were observed in 2020, some compounds and varieties peaked in 2021, including FAMEs in the Colossus (CL) variety and other phytochemicals in QA. Flavonoid, flavone, and flavonol biosynthesis; phenylalanine metabolism; and tyrosine metabolism were significantly affected, leading to the accumulation of metabolites. Understanding plant–climate interactions will help farmers with variety selection and planting decisions. This study suggests that further research on the temperature mechanism for the biosynthetic pathways of these metabolites in the screened cowpea varieties is required.
1. Introduction
Cowpea is an important commercial crop and a highly nutritious vegetable due to its rich nutrient composition, consisting of proteins, carbohydrates, minerals, and vitamins. It contributes significantly to the global economy through its diverse applications as a grain crop, livestock feed, and vegetable [,,,,,,]. This crop is grown in several countries around the world [,] and serves as a cover crop, effectively suppressing weeds, soilborne diseases, and nematodes, while also providing organic matter, improving soil structure, and reducing soil erosion. Furthermore, cowpea can fix nitrogen through a symbiotic relationship with microorganisms in the rhizosphere, making it a cost-effective and sustainable alternative to inorganic fertilizers [,]. However, cowpea production is impeded by abiotic (including environmental factors such as heat, reactive oxygen species, cold, drought, and salt) and biotic (pathogens and insect pests) stresses throughout its life cycle, from seed storage to seedling development and maturity [,,,]. Abiotic stresses are considered the most challenging stressors in crop production, affecting plant growth and yield worldwide []. The cowpea phyllosphere has evolved defense mechanisms against these abiotic and biotic stresses, including the synthesis of phytochemicals (plant metabolites), which function as defenders against extreme weather, antimicrobial agents, and insecticides [,,].
In recent years, increasing consumer concerns about food safety and quality, soil conservation, and environmental safety have led to an increase in the adoption of sustainable agriculture practices []. Organic agriculture, a fundamental pillar of sustainable agriculture, employs ecologically friendly pest control techniques [] such as safe biopesticides, crop rotation, and sanitation. Plant-based pesticides are central to this approach, functioning as signaling molecules with antimicrobial, insecticidal, and antioxidant activities that enhance plant resilience to both biotic and abiotic stresses. These compounds include volatile and non-volatile phytochemicals such as terpenoids; fatty acids and fatty acid derivatives; phytohormones such as salicylic acid, indole acetic acid, abscisic acid, and gibberellic acid; and phenolics, including phenolic acids and flavonoids [,,,,,]. Non-volatile phytochemicals contribute significantly to stress adaptation. For example, flavonoids accumulate in the roots in response to salinity [], and quercetin accumulates under drought stress []. Volatile phytochemicals such as terpenes and fatty acids also play a critical role: saturated fatty acids (such as palmitic, myristic, and stearic acids) [,] and unsaturated fatty acids (UFAs), especially compounds with 18-carbon-long UFAs like oleic (18:1n9), alpha-linolenic (18:3n3), and linoleic (18:2n6) acids, are mobilized during stress and subsequently converted into bioactive molecules [], including azelaic, jasmonic, and 2-hydroxy-octadecatrienoic acids via oxidation []. Fatty acids have multifaceted roles in plant health. They act as repellents, signaling molecules that activate the defense mechanism of the plant, sources of biosynthesis of other bioactive phytochemicals, and reservoirs of components for the synthesis of the extracellular barriers of the plant [,,]. Similarly, terpenes strengthen defense mechanisms by acting as attractants for natural enemies, insect repellents, and pathogen growth inhibitors, as well as reducing oxidative stress [,,,,,].
The biosynthesis of phytochemicals in plants can be affected by weather conditions such as variations in rainfall and temperature, enabling them to modify their phytochemical profiles in response to stress via phenotypic plasticity []. For example, Gitonga et al. [] found that environmental conditions affect the synthesis of phytochemicals in cowpea, with phytochemical contents varying significantly between environments, including increased production in the long rainy season. Mansour-Gueddes et al. [] reported a significant increase in the contents of phenolic compounds, tannins, saponins, flavonoids, phytosterols, and carotenoids, along with a decrease in chlorophyll levels, in olive tree leaves grown in a lower arid (southern) area compared to the subhumid (northern) and higher semi-arid (central) areas of Tunisia. Higher antioxidant activity contributes to a reduction in oxidative stress in olive trees, suggesting that the increase in the phytochemicals observed in the study can be interpreted as the tree’s reaction to environmental threats and oxidative stress caused by the harsh weather typical of the southern area. High temperatures and rainfall can increase pest populations and exacerbate disease due to excessive moisture, which creates favorable conditions for pathogens [], triggering an increase in the synthesis of defensive compounds. Insects cause direct plant damage, with some, such as aphids, serving as vectors for plant pathogens, such as viruses [], which can further influence metabolite production.
Extremely high temperatures are considered the most challenging weather conditions, causing heat stress in plants that, in turn, causes them to initiate defensive mechanisms by redirecting carbon from growth and reproduction (primary metabolism) to bioactive compound biosynthesis (secondary metabolism) []. High temperatures regulate gene expression, enzyme activities, and plant hormones, affecting alkaloid and volatile terpene biosynthesis. They can also cause reactive oxygen species to form, which in turn activate the biosynthesis of antioxidant secondary metabolites such as phenolics and flavonoids in plants [,].
Field-based cowpea research is important for providing essential insights into climate-adaptive agriculture in uncontrolled environments that greenhouse studies are limited to. Agricultural systems are dependent on climate stability; changing climatic conditions cause various challenges that impact agricultural activities through intensified biotic and abiotic stressors []. Natural field conditions expose cowpeas to complex environmental stressors, including fluctuations in temperature, light, rainfall, and soil conditions that elicit adaptation responses. The selection of varieties with better adaptive traits and important weather information is essential. Other studies show that farmers who used weather and climate information services and better selection of the cowpea varieties obtained significantly higher yields, with 34% higher gross margins than those who did not []. Stressful field conditions may induce greater facilitation and more positive plant–soil feedback [], revealing a metabolic flexibility that is essential for developing climate-resilient varieties capable of maintaining productivity under increasingly variable environmental conditions.
Fluctuations in phytocompounds in plants affect their defense mechanisms against abiotic and biotic stresses. Although there are studies on the effects of weather in cowpea production, few studies link weather information and phytocompound expression with primary functions such as defense against biotic and abiotic stresses. Therefore, the necessity arises to determine whether the weather fluctuations in Alabama during the summer can impact the phytochemical composition of the cowpeas. This study aims to investigate the effect of seasonal variations on the composition and concentration of the phytochemical compounds produced by cowpeas. This research will assist farmers around the world in selecting optimal cowpea varieties that produce essential phytochemicals to defend against changing weather conditions.
2. Results
2.1. Weather Data
Statistical analysis of weather data for the two seasons revealed significant differences in climatic parameters between 2020 and 2021, including temperature and rainfall, where the difference was highly significant between the two seasons (p < 0.0001). In contrast, there were no significant differences in relative humidity between the 2020 and 2021 growing seasons (p = 0.74). These findings indicate that temperature and rainfall were the most substantially different climatic factors between the two study periods, while humidity remained relatively consistent in both seasons (Table 1).
Table 1.
Average (mean ± SE) values for relative humidity, rainfall, and temperature for the study years during the summer season (2020 and 2021) and during individual months (for temperature) within the season. Means followed by the same letter are not statistically significant. Max = maximum temperature, min = minimum temperature, SE = standard error, and CV = coefficient of variation.
The average temperature for seasons and individual months within the season is shown in Table 1. In 2020, the temperature (32.02 °C) was higher than in 2021 (29.88 °C), indicating that 2020 was the warmer of the two years. In 2020, July and August were the hottest months, with temperatures of approximately 33 °C, and were slightly warmer than June, averaging 31 °C. In 2021, August was the hottest (31 °C), compared to June and July, for which the average temperatures were 29.5 °C and 28.8 °C, respectively. Weather data show that 2020 was significantly warmer than 2021 in all months; therefore, cowpeas in this year were exposed to prolonged heat stress (consistent maximum temperature of 32.02 °C). The highly significant p-values (<0.0001) and the small standard errors show that the results of environmental difference analysis between 2020 and 2021 are robust, not random variations.
2.2. Identification of Targeted Phytochemicals Using GC-MS
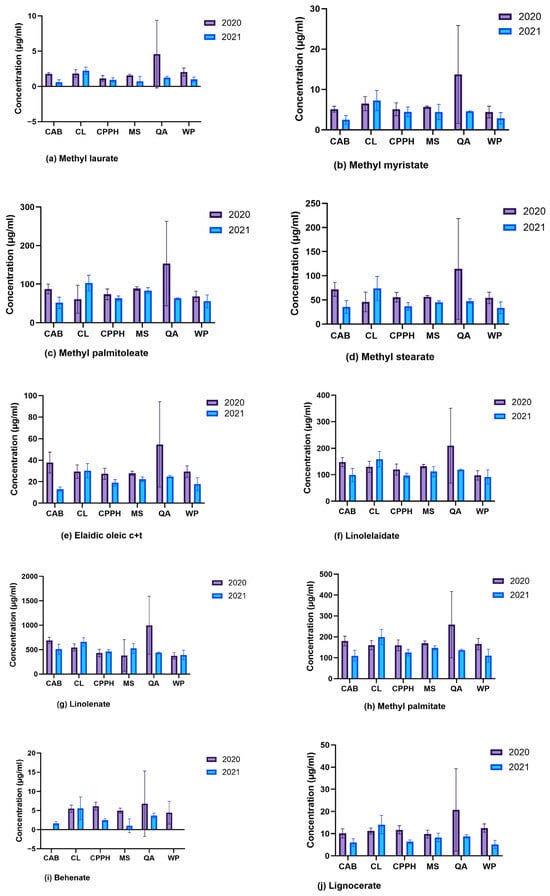
Analysis of the fatty acid composition revealed that ten fatty acid methyl esters were detected at significant concentrations, as shown in Figure 1a–j: methyl stearate (18:0), methyl palmitoleate (16:1), methyl palmitate (16:0), methyl myristate (14:1), methyl laurate (12:0), elaidic oleic acid (cis + trans; 18:1) or elaidic oleic c + t (18:1), lignocerate (24:0), behenate (22:0), linolenate (a methyl ester of linolenic acid; 18:3n3), and linolelaidate (methyl linolelaidate or methyl trans,trans-9,12-octadecadienoate; 18:2n6). The other two compounds, methyl decanoate (10:0) and linolenate (18:3n6), were not detected in any cowpea variety; therefore, they were excluded from the study. Methyl stearate, methyl palmitoleate, methyl palmitate, methyl myristate, and methyl laurate are the methyl esters of the following fatty acids: stearic acid, palmitoleic acid, palmitic acid, myristic acid, and lauric acid, respectively. The fatty acid composition varies by cowpea variety and season, as evidenced by the identified FAMEs.
Figure 1.
Mean concentrations of FAMEs identified between cowpea varieties and seasons (2020 and 2021), with their names indicated (a–j). Note: CPPH—Coronet Pinkeye Purple Hull, CL—Colossus, CAB—California Blackeye Pea, WP—Whippoorwill Steele’s Black, QA—Queen Anne, and MS—Mississippi Silver. (a) Methyl laurate, (b) methyl myristate, (c) methyl palmitoleate, (d) methyl stearate, (e) elaidic oleic c + t, (f) linolelaidate, (g) linolenate, (h) methyl palmitate, (i) behenate, and (j) lignocerate.
Analysis of variance (ANOVA), followed by pairwise comparisons using Tukey’s post hoc test (raw p < 0.05), was conducted to identify significant differences in mean compound concentrations among varieties and growing seasons. The amount of methyl laurate (p = 0.04), methyl palmitate (p = 0.02), elaidic oleic c + t (p = 0.003), behenate (p = 0.02), and lignocerate (p = 0.02) varied significantly between seasons, with the highest concentration of these compounds observed in samples from 2020. QA exhibited the highest concentrations of all compounds detected in 2020, and CL exhibited the highest concentrations of all compounds in 2021, while the low concentrations of most compounds were detected in CAB, WP, CPPH, and MS (except for methyl palmitoleate and methyl stearate, in both seasons). Methyl palmitate was highly abundant in the QA variety (258.415 µg/mL) compared to other significant FAMEs in all varieties. Lignocerate was highest in the QA variety (2020), followed by the CL (2021), and lowest in the CAB and WP varieties in 2021. Behenate was not detected in the CAB and the WP varieties in 2020 and 2021, respectively. Methyl laurate and behenate (1 μg/mL) were the least abundant in the CAB and MS varieties, respectively, in 2021. In 2021, the CAB variety had the lowest concentration of many compounds, including elaidic oleic c + t, methyl laurate, and methyl myristate (Figure 1a–j).
2.3. Identification of Untargeted Phytochemicals with LC-MS/MS
In the LC-MS/MS analysis, out of 68 tentatively matched metabolites, 62 were significantly different, including volatile phytochemicals such as terpenoids (oleanolic (or ursolic) acid and carvone); fatty acids and their derivatives (linoleic acid, alpha-linolenic acid, palmitic acid, azelaic acid, suberic acid, corchorifatty acid F, palmitic amide, 16-hydroxyhexadecanoic acid, linoleoyl ethanolamide, oleamide, and octadecanamide); phytohormones (salicylic acid and jasmonic acid); non-volatile phytochemicals including flavonoids (kaempferol, catechol, and isoliquiritigenin), alkaloids (vindoline, reserpine, and isoquinoline), polyphenolic pigments (pelargonidin), and phenolic acids (homogentisic acid, gentisic acid, ferulic acid, trans-cinnamic acid, and gallic acid); and primary metabolites like amino acids (phenylalanine, isoleucine, leucine, and proline).
Two-way ANOVA was performed, and an adjusted p-value (FDR < 0.05) was used as the significance threshold to ensure robust findings. The number of phytochemicals that were significantly affected by season, cowpea variety, and their interactions is shown in Table A1. Of the 68 phytochemicals, 62 were significantly affected by these factors (FDR < 0.05), with the unique phytochemicals affected by each factor and their combined effects. Three tentatively identified metabolites, kaempferol (p = 0.02), adenosine (p = 0.02), and phenylacetaldehyde (p = 0.03), showed significant differences between varieties regardless of the season, and uracil, proline, jasmonic acid, and cuminaldehyde varied significantly between seasons, reflecting that neither their production nor accumulation was dependent on variety. Alpha-linolenoyl ethanolamide was influenced by the interaction between season and variety; neither the variety nor the seasonal change alone had a significant effect (Table A1).
The shared significance is shown by the overlap effects of the phytochemicals (FDR < 0.05) (Table A1), whereas argininosuccinic acid, linoleoyl ethanolamide, 2-piperidinone, and alpha-linolenic acid were significantly affected by variety and season. Both the cowpea variety and the season independently influenced the levels of these phytochemicals. Isoliquiritigenin, apigenin, kynurenic acid, carvone, isoquinoline, and ergocalciferol were strongly influenced by cowpea variety and the interaction between cowpea variety and season. Neocnidilide, palmitic amide, corchorifatty acid F, dihydrotestosterone, reserpine, leucylproline, octadecanamide, and 4-hydroxyphenylpyruvic acid were influenced by both the season and interactions between season and variety. The remaining 36 phytochemicals were significantly affected by all three factors (cowpea variety, season, and interaction), demonstrating a strong combined effect (FDR < 0.05) and thus indicating robust results beyond random chance. These phytochemicals are glycitein, rhamnetin, aesculin, D-malic acid, phenol, salicylic acid, chrysin, ferulic acid, homogentisic acid, gentisic acid, trans-cinnamic acid, catechol, daidzin, pelargonidin, gallic acid, L-phenylalanine, vindoline, benzoic acid, 3-cresotinic acid (3-methylsalicylic acid), (Z)-3-methyl-2-(2-pentenyl)-2-cyclopenten-1-one, xanthine, 16-hydroxy hexadecanoic acid, 4-hydroxybenzaldehyde, oleamide, ortho-hydroxyphenylacetic acid, isoleucine, oleanolic acid, linoleic acid, suberic acid, fumaric acid, azelaic acid, guanine, palmitic acid, ethyl tetradecanoate, leucine, and thymine (Table A1).
A hierarchical heatmap was used to visualize metabolic profiles, revealing significant differences in both the number and the type of phytochemicals with significantly high (high level) and low (low level) peak areas between cowpea varieties in each growing season (2020 and 2021) (Figure 2a,b). All data points are directly visualized on the heatmap as color squares. The color spectrum demonstrates whether values are high (red) or low (blue). Phytochemical peak areas exhibited significant variability among varieties and seasons, with most compounds showing increased peak areas during the 2020 growing season compared to 2021. In each variety, the number of metabolites that showed the highest (red color intensity) and lowest (blue color intensity) peak areas are as follows: WP (27; 8), CPPH (9;11), CL (6;4), QA (3;10), MS (4;14) and CAB (3;17) in 2020 (Figure 2a), and QA (17;5), CL (9;1), WP (4;8), CPPH (4;14), MS (2;14) and CAB (0:22), in 2021 (Figure 2b).
Figure 2.
Heatmap visualization of significantly affected phytochemicals in six cowpea varieties across two growing seasons: (a) 2020 and (b) 2021. Color intensity represents relative peak area abundance, with red indicating high metabolite levels and blue indicating low metabolite levels. Each row represents a distinct phytochemical compound, and each column represents a cowpea variety. The heatmap illustrates seasonal variation in phytochemical profiles and variety-specific metabolic responses across the experimental period. CPPH—Coronet Pinkeye Purple Hull, CL—Colossus, CAB—California Blackeye Pea, WP—Whippoorwill Steele’s Black, QA—Queen Anne, and MS—Mississippi Silver.
In 2020, the WP variety had the richest metabolite profile, with 27 metabolites with the highest peak areas. These metabolites include phytohormones (such as jasmonic acid); alkaloids (such as reserpine); phenolic compounds, including phenolic acids and flavonoids (such as gallic acid, gentisic acid, ortho-hydroxyphenylacetic acid, 4-hydroxyphenylpyruvic acid, and catechol); fatty acid derivatives (such as corchorifatty acid F and azelaic acid); amino acids (such as proline); and other defense-related compounds (Figure 2a). This variety was followed by the QA variety in 2021, with 17 phytochemicals exhibiting the highest peak areas, including important signaling molecules and other stress-related metabolites such as salicylic acid, oleamide, fumaric acid, apigenin, dihydrotestosterone, alpha-linolenoyl ethanolamide, and ethyl tetradecanoate (Figure 2b). CPPH in 2020 and CL in 2021 showed moderate metabolite abundances (nine metabolites each) in their respective highest peak areas across both years, with metabolites including aesculin, xanthine, octadecanamide, palmitic amide, linoleoyl ethanolamide, isoleucine, linoleic acid, leucine, and L-phenylalanine in CPPH and alpha-linolenic acid, 3-cresotinic acid, leucine, isoleucine, homogentisic acid, phenylacetaldehyde, 4-hydroxybenzaldehyde, trans-cinnamic acid, and phenol in the CL variety. In 2020, these compounds also included 4-hydroxybenzaldehyde, trans-cinnamic acid, ferulic acid, oleanolic acid, carvone, and cuminaldehyde in CL. The remaining varieties exhibited low metabolic profiles in the highest peak area (from two to four metabolites); MS in 2020 (glycitein, daidzin, homogentisic acid, and adenosine), WP in 2021 (phytochemicals; 2-piperididone, kaempferol, kynurenic acid, and palmitic acid), and CPPH in 2021 (vindoline, jasmonic acid, aesculin, and ergocalciferol) each had four phytochemicals. QA (alpha-linolenic acid, palmitic acid, and apigenin) and CAB (guanine, ethyl tetradecanoate, and salicylic acid) both had three phytochemicals in 2020, and MS had two in 2021, including guanine and carvone (Figure 2a,b).
The phytochemicals with the highest peak areas exclusively detected in 2020 include key phenolics and stress-related metabolites such as gentisic acid, reserpine, thymine, gallic acid, catechol, azelaic acid, suberic acid, 16-hydroxy hexadecanoic acid, ortho-hydroxyphenylacetic acid, 4-hydroxyphenylpyruvic acid, corchorifatty acid F, and 2-piperidinone, which were highest in the WP variety, followed by CPPH (with increased levels of L-phenylalanine, isoleucine, and palmitic amide), CL (cuminaldehyde, ferulic and oleanolic acid) and MS (glycitein), This suggests strong season-specific activation of defense and/or antioxidant pathways (Figure 2a).
In 2021, the phytochemicals with a higher peak area than in 2020 include vindoline and ergocalciferol (in CPPH); phenylacetaldehyde and phenol (CL); trans-cinnamic acid (in both CL and MS); kaempferol (WP); and palmitic acid (in the WP variety, followed by CL). Although palmitic acid was highly expressed in 2021, it was also observed in 2020 (in QA and CAB), but not at a higher level than that observed in WP in 2021 (Figure 2a,b). This fatty acid was also detected using GC-MS as a FAME (methyl palmitate) and was also high in QA (2020) and CL (2021) (Figure 1h). Jasmonic acid increased more in CPPH (2021) than in WP (2020); homogentisic acid was highly increased in CL (2021) compared to MS (2020) and decreased in WP and CPPH in both seasons. These phytochemicals are linked to specialized metabolism and secondary defense.
Other phytochemicals had the highest peak areas in both 2020 and 2021, either within the same or different varieties. Aesculin was highly expressed in CPPH in both seasons. Salicylic acid was highest in QA (2021), followed by CAB and CPPH in both seasons, with a large increase in 2020. Kynurenic acid had the highest peak area in WP in both seasons, which was higher in 2020, followed by QA; the lowest peak areas were observed in CAB (2020), CL (2021), and CPPH and MS (in both seasons). Alpha-linolenic acid had the highest peak area in QA (2020) and the lowest peak area in WP and MS in 2021 (Figure 2a,b).
Kaempferol was the highest in WP and the lowest in CPPH, while adenosine increased in MS and QA but was lowest in CAB. Phenylacetaldehyde was the highest in MS, CL, and WP and the lowest in CAB and CPPH (Figure 2a,b), indicating that this compound is variety-dependent regardless of the season.
The CAB variety had the highest number (17 and 22) of phytochemicals with the lowest peak area in 2020 and 2021, respectively (Figure 2a,b). The phytochemicals isoliquiritigenin, glycitein, ferulic acid, (Z)-3-methyl-2-(2-pentenyl)-2-cyclopenten-1-one, and benzoic acid decreased in the CAB variety in both seasons. D-malic acid and trans-cinnamic acid peak areas were high in CL and MS in both seasons and were lowest in the CAB and QA varieties in 2021 and in CPPH in both seasons.
These patterns suggest that the conditions in 2020 triggered a wider and stronger metabolite diversity compared to 2021; however, distinct metabolites were observed.
The partial least squares discriminant analysis (PLS-DA) (Figure 3) discriminated against six varieties of cowpea using metabolic profiling, with a total variance of 43.8%. Components 1 (18.3%) and 2 (25.5%), with distinct cowpea-specific clustering patterns and minimal confidence ellipse overlap, showed distinct separation for most cowpea varieties, confirming statistically significant metabolic differences. The WP variety exhibited the most extensive distribution along the axis of positive component 1, indicating the highest metabolic variability and a distinct metabolic profile. The fact that this variety exhibits the highest metabolic variability and a wide distribution suggests a robust adaptive capacity and enhanced metabolic resilience under varying weather conditions. CAB and QA showed pronounced separation along component 2, with CAB positioned in the upper-left quadrant and QA extending toward the lower region. The CL, CPPH, and MS varieties displayed intermediate positioning; CPPH exhibited a compact, well-defined cluster in the upper-left region, with minimal overlap with other groups, while CL and MS showed some degree of overlap, suggesting more similar metabolic profiles. After WP, CPPH demonstrated the second highest-performing group due to its metabolic consistency and clear separation, while MS represented the lowest-performing group due to its significant overlap with other groups (including CL and CPPH) and the least distinctive metabolomic profile, with few unique discriminating metabolites.
Figure 3.
Partial least squares discriminant analysis (PLS-DA) biplot of metabolic profiles across six cowpea varieties, showing a clear discrimination between groups (CAB, CL, CPPH, MS, QA, and WP cowpea varieties) based on the phytochemical data. The colored ellipses represent 95% confidence intervals for each group. Loading vectors indicate the contribution of individual metabolites to group separation. Each point represents an individual sample, and the vector length indicates the magnitude of metabolite contribution to the discriminant model. Note: CAB—California Blackeye Pea, CL—Colossus, CPPH—Coronet Pinkeye Purple Hull, MS—Mississippi Silver, QA—Queen Anne, and WP—Whippoorwill Steele’s Black.
Key discriminating metabolites include aesculin, glycitein, gallic acid, palmitic acid, alpha-linolenoyl ethanolamide, and adenosine, representing comprehensive primary and secondary metabolic reprogramming underlying the observed differences under different weather conditions, suggesting biosynthesis takes place through different pathways and not through a single pathway.
In the metabolic pathway enrichment analysis, a total of 34 metabolic pathways were revealed to have been reprogrammed in response to heat stress. Five metabolic pathways showed significantly altered regulation (with raw p < 0.05, FDR < 0.10), with a particular emphasis on secondary metabolite biosynthesis, aromatic acid metabolism, fatty acid biosynthesis, and membrane structural maintenance (Figure 4, Table A2 in Appendix A). Flavone and flavonol biosynthesis was most significantly altered (p = 0.00062, FDR = 0.040, and the high biological impact of 0.7), followed by phenylalanine metabolism (p = 0.001, FDR = 0.04), flavonoid biosynthesis (p = 0.001, FDR = 0.04), tyrosine metabolism (p = 0.003, FDR = 0.07), and unsaturated fatty acid biosynthesis (p = 0.007, FDR = 0.126). Phenylalanine and tyrosine metabolism, indicating coordinated disruption of aromatic amino acid catabolism, was characterized by perturbation of other pathways, including flavonoid, flavone, and flavonol biosynthesis, indicating multiple secondary metabolite biosynthesis pathways were disturbed. Cutin, suberine, and wax biosynthesis, along with arginine biosynthesis, had a significant raw p-value of 0.042; however, their FDR was 0.55, indicating a non-significant difference. Additionally, the biological impacts were moderate (0.31) for cutin, suberine, and wax biosynthesis and low (0.1) for arginine biosynthesis. Also, alpha-linolenic acid metabolism had a low biological impact (0.125) and was not significantly different between seasons (p = 0.081, FDR = 0.623) (Figure 4 and Table A2 in the Appendix A).
Figure 4.
Metabolic pathway analysis in response to environmental stress. Red dots represent the most enriched pathways, and yellow dots represent less significantly enriched pathways.
Linoleic acid metabolism also exhibited the maximum biological impact (impact score of 1.0) despite lacking statistical significance (p = 0.07 and FDR = 0.601) (Figure 4, Table A2), indicating that a few altered metabolites occupy topologically critical positions within the metabolic network. This pattern suggests targeted modifications of specific regulatory nodes or rate-limiting enzymes, potentially generating substantial biological effects without extensive pathway perturbation. Disruptions in linoleic acid production suggest the induced compensatory increases in alternative fatty acids, demonstrating how changes in metabolically central compounds influence broader lipid homeostasis. The absence of statistical significance likely reflects precise metabolic regulation rather than pathway dysfunction, suggesting a sophisticated strategy where cowpeas make targeted adjustments to critical control points while maintaining cellular function and optimizing resource allocation under stress conditions.
The biosynthesis of unsaturated fatty acid pathway had an impact score of zero, despite significant enrichment (Table A2), due to the methodological distinction between pathway enrichment analysis and topological impact assessment. Impact scores are weighted according to the topological importance and centrally affected metabolites within the biochemical network, while statistical significance indicates a greater-than-expected number of altered metabolites within the pathway.
These observed metabolic profiles show that cowpeas respond to heat stress by producing antioxidants, adjusting their membranes, and shifting their metabolism to maintain cell stability during environmental challenges.
3. Discussion
We were unable to identify studies that have directly examined the impact of weather conditions on the composition of fatty acids/FAMEs in cowpeas grown in the field. However, some studies have reported metabolites associated with herbivorous insects and pathogens as playing insecticidal and antimicrobial roles and having drought effects in a greenhouse environment. Therefore, our comparisons are based on the findings of other legumes related to cowpeas and other crops. Additionally, no studies were found referencing the specific cowpea varieties used in our research.
In 2020, there was a significant increase in the concentration of methyl laurate, methyl palmitate, elaidic oleic c + t, behenate, and lignocerate, with the highest concentrations observed in the QA variety. This could be attributed to the elevated temperature and rainfall in this season. Rahnama et al. reported similar findings in sunflower (Helianthus annuus), where high temperatures (30–32 °C during the day and 24–25 °C at night) led to a significant increase in palmitic and stearic acids []. On the other hand, a temperature between 21/13 °C and 37/29 °C (day/night) significantly altered the fatty acid composition in soybean through an increase in the concentration of oleic acid and a decrease in the concentrations of linoleic and linolenic acids, while stearic and palmitic acids showed significant interaction between cultivars []. In contrast, Kurasiak-Popowska et al. found that in Camelina sativa, temperatures ranging from 14 to 23 °C had no significant effect on the composition of the studied fatty acids (oleic, linoleic, linolenic, eicosenoic, and erucic acids) [].
The same compounds that exhibited an increased concentration in 2020 decreased in 2021, which could be attributed to a decrease in temperature, which directly affects plant secondary metabolites. These climate parameters are known to influence the synthesis of secondary metabolites, with such responses varying by plant species and variety. The synthesis of plant metabolites is a hereditary trait, influenced by environmental conditions that can affect the composition and quantity of fatty acids [] and other phytochemicals.
Temperature-responsive fatty acid regulation is a fundamental adaptive mechanism that enables plants to maintain cellular homeostasis and survive thermal fluctuations in the natural environment []. To sustain membrane fluidity and integrity, plants dynamically adjust their lipid composition; in particular, they decrease their lipid unsaturation in response to elevated temperatures [,] and increase their membrane saturation levels []. The proportions of unsaturated and saturated fatty acids in membrane lipids are fundamental factors in thermostability and temperature acclimation []. In our study, we observed an increase in the concentration of saturated fatty acids, including methyl laurate, methyl palmitate, behenate, and lignocerate, which could have contributed to enhanced membrane bilayer integrity and cuticular barriers during stress. In contrast, monounsaturated oleic acid accumulated due to a reduced desaturase activity, balancing rigidity and flexibility. Similarly, Falcone et al. showed that there is regulated membrane unsaturation under elevated growth temperatures in Arabidopsis, with increases in saturated palmitic acid (16:0), diunsaturated linoleic acid (18:2), and monounsaturated oleic acid (18.1) and a decrease in unsaturated fatty acids 16:3 and 18:3 []. This variation could be attributed to the growth stage, the temperature range, and mixed pathway activation. This adaptive response is regulated by temperature-dependent regulation of fatty acid desaturase enzymes [].
Further, the high impact of linoleic acid metabolism supports the biological significance of this regulation, showing that linoleic acid occupies a central role in the fatty acid metabolic network []. It coordinates and regulates the production of saturated fatty acids, thereby helping to maintain membrane integrity under thermal stress. Moreover, linoleic acid serves as a precursor for oxylipin signaling molecules such as jasmonic acid, which regulate the gene expression that in turn modulates heat stress responses and antioxidant defenses important for preserving membrane integrity under stress []. In addition, under heat stress, the alteration of peripheral fatty acids is prioritized over central enzymatic nodes in cowpea, as shown by the zero-impact score of the biosynthetic unsaturated fatty acid pathway. This strategy optimizes membrane fluidity while minimizing disruption to key metabolic pathways. By adjusting fatty acid synthesis, cowpea demonstrates adaptive allocation of resources to prioritize immediate stress defenses while preserving/maintaining regular fatty acid biosynthesis. The contrasting roles of the unsaturated fatty acid biosynthesis pathway and linoleic acid metabolism suggest an intricate regulatory mechanism. The interplay between saturated and unsaturated fatty acids in cowpeas under heat stress remains complex and not fully understood. Further studies integrating lipidomics, transcriptomics, and enzymology will help to clarify these mechanisms and provide deeper insights into plant heat stress adaptation strategies.
LC-MS/MS analysis revealed that the cowpea variety, growing season, and their interactive effects significantly influenced phytochemical biosynthesis. Phytochemicals exhibited variety-dependent patterns, with the increases in peak areas in some cowpea varieties regardless of seasonal conditions, for instance, in kaempferol and adenosine levels, indicating genetic control over their synthesis and accumulation (Figure 2a,b; Table A1). This aligns with the findings of Mageney et al., who analyzed 28 kale cultivars and observed significant differences in the content of kaempferol glycoside and in quercetin-to-kaempferol ratios, indicating genetic diversity in flavonoid biosynthesis pathways []. Bang et al. reported that both genotype and harvest year influenced kaempferol levels across Amaranthus species [], suggesting both genetic and environmental influences on phytochemical accumulation [,]. Variations in climatic conditions affect the types of phytochemicals observed in plants and their amount []. Weather conditions had a more pronounced effect on the levels of some phytochemicals, such as jasmonic acid, uracil, proline, and cuminaldehyde, than the variety (Table A1). Our findings demonstrated that the combined effects of elevated temperature and increased rainfall in 2020 corresponded with increased phytochemical peak areas. This finding aligns with previous studies showing that increased temperature enhanced secondary metabolite production, though the role of rainfall appears more complex. Moreira et al. reported that increased temperatures increased the community-weighted mean of total phenolics in annual plants, while reduced rainfall had no effect [], indicating that weather conditions, particularly temperature, influence phytochemical synthesis in plants. In contrast, our study observed that elevated temperatures combined with increased rainfall led to enhanced accumulation of metabolites in cowpeas, suggesting that phytochemical responses vary with different levels of environmental stress. While temperature is a main driver of metabolite biosynthesis, rainfall modulates this effect. This suggests that the optimal combination of environmental variables, rather than a single factor, significantly influences the phytochemical profiles of plants. Furthermore, the interactive effects between temperature and rainfall warrant consideration.
Environmental factors, particularly temperature, have been shown to significantly affect phytochemical contents in crops such as wheat and strawberries in other studies [,]. Shamloo et al. observed that growing wheat at higher temperatures (up to 30 °C) led to increased levels of total phenolic acids, flavonoids, and palmitic and oleic acids, while linoleic and linolenic acids were reduced, a likely defensive response to heat stress [].
Temperature’s effect on secondary metabolites is species-specific. For instance, in the grass species Paspalum wettsteinii, flavonoids, proline, and organic acids were upregulated at high temperatures (35 °C, 40 °C, and 45 °C), concurrent with an induction of heat shock proteins through the activation of stress response genes and a downregulation of free fatty acids []. In Brassicaceae, temperature stress due to increased temperatures reduced carotenoid and beta-carotene levels [], increased accumulation of terpene in Daucus carota in response to heat shock [], decreased salicylic acid and phenolic contents in Populus tremula [], and increased catechin levels in tea plants []. Selinga et al. determined which heat-induced proteins were associated with cowpea performance and photosynthesis recovery under high temperatures in a controlled environment (40 °C for 72 h) and field conditions (during summer at two South African research sites—a warm site with a maximum temperature of 26–28 °C and a hot site with a maximum temperature of 30–32 °C). They observed a higher regulation of heat shock proteins and succinic dehydrogenase at the hot site []. In our study, flavonoids (glycitein) and phenolic acids (gentisic acid) were increased at high temperatures, while salycilic acid, phenolic acids (homogentisic acid), and alkaloids (vindoline) were increased at low temperatures.
The upregulation and downregulation of metabolites depend on the genes responsible for their biosynthesis and their tolerance to temperature []. Different varieties showed specific responses in relation to the effect of weather, with an increase in L-phenylalanine and palmitic amide in the CPPH variety and cuminaldehyde in the CL variety, with a decrease in these phytochemicals in the CAB variety, during the high-temperature 2020 season. Our findings aligned with those of Goufo et al., who studied cowpea metabolites in two varieties (Pinhel and Fradel) under drought stress in a greenhouse setting with day/night temperatures of approximately 43.6/19.0 °C. They found that proline, quercetin 3-O-6″-malonyglycoside, galactinol, quercetin, and phenylalanine were highly increased in the leaves, and kaempferol 3-O-diglycoside and quercetin 3-O-6″-malonyglycoside were highly increased in the roots of the Pinhel variety in comparison to Fradel []. Plant metabolites employ dual defense strategies through up- and downregulation mechanisms. Upregulation activates defensive genes to combat stress, pathogens, and environmental challenges, while downregulation conserves energy for essential processes such as photosynthesis and reproduction []. The increased temperature and rainfall observed in 2020 could have created favorable conditions for insect pest proliferation and pathogen establishment, which would subsequently trigger plant regulatory gene networks governing stress responses. This environmental stress induced different metabolic defense strategies; upregulation of diverse secondary metabolites, including alkaloids (reserpine), flavonoids (catechol), and phenolic acids (gallic acid) in the WP variety, provided active defense against stresses. Conversely, the downregulation of primary metabolites such as fumaric acid and adenosine likely contributed to a strategic trade-off mechanism to conserve metabolic energy while maintaining essential processes as an alternative defense during prolonged heat stress conditions.
Although metabolites were detected in leaves, other studies suggest that other plant parts, including seeds, can accumulate similar compounds under these conditions. Shamloo et al. reported an increase in the accumulation of phytochemicals in seeds grown under heat stress []. Mayer et al. exposed cowpea cells to heat shock at 42 °C and observed an increase in proline, leucine, and isoleucine after 24 h []. These amino acids were similarly increased in our study in 2020, where maximum daily temperatures reached 32 °C. However, unlike our findings, phenylalanine was found to be downregulated in Mayer’s study.
This study demonstrates that seasonal (environmental) and varietal (genotypic) differences significantly influence the production and accumulation of primary and secondary metabolites in cowpea, with genotypic traits determining how heat-induced signals are transduced into metabolite biosynthesis responses through transcription factor expression, pathway sensitivity, and precursor availability []. The biosynthetic pathways identified in cowpeas were grouped into four primary mechanisms in response to weather conditions: aromatic amino acid response, secondary metabolite defense systems, membrane lipid regulation, and integrated stress response mechanisms. The aromatic amino acid response was mediated by phenylalanine and tyrosine metabolism. The former was significantly activated by three key metabolites (L-phenylalanine, phenylacetaldehyde, and ortho-hydroxyphenyl acetic acid), providing carbon skeletons for phenylpropanoid pathways and facilitating the synthesis of various defensive compounds [], including flavonoids, phenolics, and benzenoid/phenylpropanoids that mitigate ultraviolet radiation [] and heat stress. Phenylalanine is an important amino acid for protein synthesis and a precursor to other metabolites and secondary metabolites []. The substantial increase in these phytochemical levels in 2020 may have triggered cascading biosynthetic pathways, resulting in increased production of secondary metabolites, including flavonoids, alkaloids, and phenolics, as demonstrated by their elevated peak areas. Tyrosine is an important amino acid for protein biosynthesis; it can also be involved in the biosynthesis of secondary metabolites in plants []. Tyrosine metabolism was altered through metabolites such as homogentisic acid, 4-hydroxyphenylpyruvic acid, and fumaric acid, which are also crucial for the synthesis of other secondary metabolites, including tyrosine-derived phytochemicals such as suberin and tocopherols, which are structural phytochemicals for plant protection [].
Homogentisic acid levels were highest in CL (2021), followed by MS (2020). As a phenolic compound involved in tyrosine metabolism, homogentisic acid contributed to metabolite formation during heat stress in both seasons and served defensive functions. It acts as a precursor for lipid-soluble antioxidants, such as tocopherol, which protect photosynthetic membranes during abiotic stress []. The secondary metabolite defense system was primarily controlled through the following significantly identified pathways: flavone, flavonol, and flavonoid biosynthesis. This led to the production of antioxidant compounds that function as reactive oxygen species scavengers, including apigenin, pelargonidin, isoliquiritigenin, and kaempferol, maintaining membrane stability and regulating pathways that respond to heat stress [,,]. Similar to our findings, flavonoid biosynthesis was reported to reduce oxidative damage from heat and salt stress in tomatoes []. In addition, transgenic rice plants accumulate kaempferol under stress conditions, reducing oxidative damage and cell death, suggesting that flavonoid synthesis enhances the tolerance to combined heat and salt stress through multiple physiological and molecular mechanisms []. These flavonoids regulate heat shock factors and proteins while modulating gene expression through hormone cross-signaling molecules such as salicylic acid and abscisic acid [,].
Membrane lipid regulation was achieved through the biosynthesis of fatty acids, linoleic acid metabolism, and the biosynthesis of cutin, suberine, and wax, triggering the synthesis of structural materials for maintaining cell wall integrity. Cutin, suberine, and wax are important structural materials for this purpose, evidenced by the presence of suberic acid in leaves and plant roots during stress, aiding protection []. Fatty acids are precursors for the synthesis of secondary metabolites and maintain optimal membrane fluidity to ensure proper cellular function during stress conditions [,].
The integrated stress response involved the redirection of resources from the primary metabolism to secondary metabolite production, with increased amino acid synthesis linked to the synthesis of heat shock proteins. A similar finding was presented in a previous study in rice, in which flavone accumulation activated heat shock proteins and improved heat tolerance []. These interconnected pathways work synergistically to provide comprehensive tolerance to heat stress in cowpea varieties, suggesting conserved mechanisms between plant species that warrant further investigation, particularly regarding secondary metabolite, amino acid, and fatty acid metabolism and their relationship with heat stress responses.
4. Materials and Methods
4.1. Research Site
The field study was conducted on a certified organic research farm located at the George Washington Carver Agricultural Experiment Station, Tuskegee University, Alabama, USA, with the following GPS coordinates: latitude: 32°26′10.976″ N, longitude: −85°44′11.307″ W. Extraction was conducted in the chemistry department at Tuskegee University, while LC-MS/MS and GC/MS analyses were conducted at Auburn University.
4.2. Climatic Conditions
Climatological parameters, including precipitation, relative humidity, and temperature during the summers of 2020 and 2021, were obtained from the National Water and Climate Center (NWCC), USDA–Natural Resources Conservation Service, from the Tuskegee University Weather Station SCAN site (Tuskegee (2115)—Site Information and Reports (usda.gov) (https://wcc.sc.egov.usda.gov/nwcc/site?sitenum=2115, accessed on 26 February 2024). Weather data were analyzed using analysis of variance in OriginPro 2025 software. Mean separation was performed using Tukey’s test with a significance threshold of p < 0.05.
4.3. Variety Selection and Experiment Design
Organic certified seeds of six cowpea varieties—Mississippi Silver (MS), Colossus (CL), California Black Eye Pea (CAB), Coronet Pinkeye Purple Hull (CPPH), Queen Anne (QA), and Whippoorwill Steele’s Black (WP)—were obtained from the Southern Exposure Seed Exchange (Mineral, VA, USA) and Garden Hoard (Howell, MI, USA). In each season, the experimental design was a Latin square with six blocks, with a total area of 1547.76 square meters. Each block was treated as a replicate with six subplots (each with a cowpea variety), and each subplot had three rows; the middle row was for the experiment, and two were guard rows. Each row was 6.10 m long. There was a 3.05 m separation between blocks, a 3.05 m separation between subplots, and a 1.22 m separation between rows; cowpea seeds were planted 8 inches (0.20 m) apart within rows. Organic farming practices were observed, which included certified organic seeds, crop rotation, mechanical weeding, and no spraying of synthetic chemicals. Cowpeas were grown in and exposed to natural conditions.
4.4. Sample Collection and Preparation
Six weeks after planting (during the flowering stage), leaves were collected randomly from the six cowpea varieties in the middle row and stored in separate freezable Ziploc bags in a freezer at −80 °C (So-Low Environmental Equipment, Cincinnati, OH, USA) until use. Samples from both seasons were collected at comparable stages. The samples were air-dried and ground to a powder form using a heavy grinder, followed by further storage at 4 °C until use.
4.5. Extraction of FAMEs
FAMEs were extracted following the method of Abugri et al. and Abugri and Pritchett [,], with little modification. Extraction was carried out under a fume hood: a methanol and HCl mixture in a 4:1 ratio v/v was prepared in conical flasks. A total of 2 mL of the methanol and HCl mixture was added to 0.5 g of dry, ground leaf tissue in 16 × 100 mm PYREX screw-cap culture tubes and vortexed for 1 min. The tubes were placed in dry heating blocks at 100 °C for 30 min and cooled on ice for 5 min, after which 2 mL of hexane was added, followed by 1 mL of distilled water. This mixture was vortexed and then centrifuged at 2000 rpm for 5 min. The top layer containing the FAMEs was transferred to gas liquid chromatography (GLC) vials using Pasteur pipettes, stored at −20 °C, and later analyzed by GC-MS at Auburn University. Extraction was repeated three times.
GC-MS Analysis
An Agilent 6890N GC and 5975 MS (Agilent Technologies, Santa Clara, CA, USA) with a Restek Stabilwax-DA column (30 m × 250 mm, 0.25 µm) were used to analyze the FAMEs. The temperature of the injection port and MS transfer line was set at 250 °C at a constant pressure of 22 psi. The temperature of the GC oven was programmed as follows: initial temperature of 50 °C for 2.5 min, ramp to 180 °C at 50 °C/min, ramp to 212 °C at 3 °C/min, and ramp to 250 °C at 50 °C/min with a hold of 3 min. Thus, a total run time of 33 min was required. Raw data was processed and analyzed using Agilent enhanced ChemStation E.02.02.1431. A FAME standard (Supelco 37 Component FAME Mix (Supelco, Bellefonte, PA, USA) was used to quantify the concentration in the extracts with the use of a methyl nonadecanoate internal standard at a concentration of 50 ug/mL. The concentrations of FAME Mix ranged from 350 ug/mL to 1 ug/mL. The retention times of the standard FAME Mix were compared to those in the NIST 2.0 spectral library to identify the standard and sample chromatographic peaks by unique spectral features. Calibration curves were employed to quantify sample concentrations, with detailed calibration parameters provided in the Appendix A (Table A3). The limit of detection (LOD) and limit of quantification (LOQ) were estimated from the lowest level calibration point with signal-to-noise ratios of 3 and 9, respectively. The results were reported in terms of the concentration of the identified fatty acids in each cowpea variety based on the concentrations of the FAME Mix in ug/mL. The two-way analysis of variance (ANOVA) was performed using Prism GraphPad 10 software to assess mean variations in FAME concentrations between cowpea varieties and growing seasons.
4.6. Extraction of Other Phytochemicals
A total of 0.5 g of ground leaves was placed in each reaction tube, and 10 mL of methanol was added to each reaction tube. The mixture was vortexed for 15 s, followed by maceration at room temperature for 48 h in the dark. The extract was first filtered through filter paper, and the same amount of solvent previously added was added to the plant material. The extraction was repeated until the filtrate was clear. The filtrate was further filtered into rotavapor vials through a 0.22 µm syringe filter and then stored at 4 °C. The solvent was removed from the extract using a vacuum evaporator; Rotavapor R-215 (BUCHI Corporation, Meierseggstrasse, Flawil, Switzerland; BUCHI Corporation New Castle, DE, USA) at 150 rpm and 40 °C. The dry crude extract was stored at room temperature in the dark until further use in LC-MS/MS analysis.
Characterization of Extracts Using LC-MS/MS Analysis
Methanol extract analysis was carried out on a Vanquish ultra-high performance liquid chromatography (UHPLC) system (Thermo Fisher, Waltham, MA, USA) coupled with a quadrupole Orbitrap mass spectrometer (Orbitrap Exploris 120, Thermo) with electrospray ionization (H-ESI) in positive and negative mode using Xcalibur software (V4.4.16.14). A total of 10 µL of the sample was injected onto a C18 column (ACQUITY UPLC® BEH C18, 1.7 µm, 2.1 × 50 mm, Waters, Milford, MA, USA) maintained at 40 °C with a 200 μL/min flow rate of mobile phase solution A (0.1% formic acid in water) and mobile phase B (95% acetonitrile, 4.9% water, and 0.1% formic acid) beginning at 0% B, held for 1 min, increased to 2% B at 7 min, increased to 28% B at 9 min, increased to 38% B at 11 min, increased to 49% B at 13 min, increased to 70% B at 15 min, increased to 89% B at 17 min, then increased to 100% B at 19 min held for 1 min, followed by re-equilibration to 0% B for 8 min for a total analysis time of 28 min. The samples were chilled to 10 °C while the column was heated to 40 °C. The MS scan range was 70–1000 m/z with a resolution of 60,000, a standard AGC target, a 70% RF lens, and an auto maximum injection time, with EASY-IC on. The spray voltage was 3500 V in positive mode and 2500 V in negative mode, the ion transfer tube temperature was 320 °C, the vaporizer temperature was 275 °C, and the sheath and aux gases were 45 and 5, respectively. There was nontargeted fragmentation with exclusion of compounds found in the blank injections. The isolation window was 2, the collision energy was normalized to 30%, and the Orbitrap resolution was 15,000, with other parameters set to auto. The instrument used is incapable of determining stereochemistry, and positional isomers are likely a reflection of the compounds in the databases rather than discrimination in the actual data. Compounds were named by matching fragment ions to mzCloud and/or chemical formula using the Compound Discoverer 3.2.0.421 Software. Data were screened via both manual searches and enrichment analysis. The compounds with the best match (mzCloud Best Match > 70%) were selected and subjected to MetaboAnalyst 6.0 software, for the enrichment analysis to cross-validate the compound names matched against Human Metabolome (HMDB), PubChem, and Kyoto Encyclopedia of Genes and Genomes (KEGG) databases to confirm compound identification. The peak area data of selected compounds were analyzed using MetaboAnalyst 6.0, which included a two-way ANOVA with multiple testing correction for false discovery rate (FDR) based on the adjusted p-value (q-value) < 0.05; heatmaps were constructed to compare the phytochemical differences among varieties and growing seasons, and a PLS-DA was performed to discriminate between varieties and determine the metabolites contributing most to their separation. Additional information for compound identification, including calculated molecular weights (Calc. MW), chemical formulas, and retention times (RTs), is included in the ANOVA table (Table A1) in the Appendix A.
Pathway analysis for metabolite biosynthesis was performed using MetaboAnalyst 6.0 software with reference to the KEGG pathway in the Arabidopsis thaliana database; metabolites showing significant enrichment (both raw p < 0.05 and FDR < 0.10) and/or with biological impact scores were explained.
5. Conclusions
The prolonged high temperatures in the summer of 2020 induced significant heat stress in cowpeas, which triggered comprehensive metabolic reprogramming, characterized by increased FAME production and enhanced secondary metabolite diversity. These metabolic alterations support the hypothesis that environmental conditions drive differences in the amounts and compositions of defensive phytochemicals between growing seasons. Varietal responses exhibited distinct patterns: the QA variety exhibited an increased concentration of FAMEs, while the WP variety displayed diverse phytochemical profiles with a high peak intensity associated with stress regulation. The identified phytochemicals play crucial roles in plant defense mechanisms, enabling adaptation to environmental challenges and protection against abiotic and biotic stressors. These findings have significant implications for crop improvement strategies, including the selection of the variety and planting time. The identified stress-responsive phytochemicals represent valuable genetic resources for developing heat-tolerant cowpea varieties capable of withstanding pest pressure and disease susceptibility under adverse climatic conditions. Future research should focus on elucidating the enzymology and molecular mechanisms underlying heat tolerance in selected varieties and characterizing temperature-dependent metabolic pathway regulation in different growth stages. Understanding these stress-responsive metabolic networks is essential for optimizing breeding programs and developing cowpea-derived biopesticides for integrated pest management strategies, ultimately contributing to enhanced agricultural resilience under changing environmental conditions.
Author Contributions
Conceptualization, J.M.M., F.Q., D.A.A., G.B., T.N., D.G.M. and C.K.B.; methodology, J.M.M., F.Q., D.A.A., M.B., D.G.M., G.B., T.N. and C.K.B.; software, J.M.M., M.B., F.M. and G.G.K.; validation, J.M.M., F.Q., D.A.A., M.B., D.G.M., G.B. and T.N.; formal analysis, J.M.M., F.M., G.G.K. and D.A.A.; investigation J.M.M., F.Q., D.A.A., M.B. and G.G.K.; resources, C.K.B., F.Q. and D.G.M.; data curation, J.M.M., F.M., G.G.K., D.A.A. and M.B.; writing—original draft preparation, J.M.M., F.M., G.G.K., D.A.A., F.Q. and C.K.B.; writing—review and editing, J.M.M., F.M., G.G.K., D.A.A., G.B., T.N., F.Q., D.G.M., M.B. and C.K.B.; visualization, J.M.M., C.K.B., F.Q., D.A.A., D.G.M., M.B. and G.G.K., supervision, F.Q., D.A.A., G.B., T.N., D.G.M. and C.K.B.; project administration, D.G.M. and C.K.B.; funding acquisition, F.Q., D.G.M. and C.K.B. All authors have read and agreed to the published version of the manuscript.
Funding
This research was funded by “Contribution of the College of Agriculture, Environment and Nutrition Sciences (CAENS), and the George Washington Carver Agricultural Experiment Station (GWCAES), Tuskegee University, under the USDA/NIFA Evans Allen Program (Grant No. ALX-FVC-18).
Data Availability Statement
Data are contained within the article.
Acknowledgments
Foundation for Food & Agriculture Research (FFAR) Fellows for the fellowship support of J.M.M.
Conflicts of Interest
The authors declare no conflicts of interest.
Abbreviations
The following abbreviations are used in this manuscript:
| AL | Alabama |
| ANOVA | Analysis of variance |
| CAB | California Black Eye Pea |
| CAENS | College of Agriculture, Environment and Nutrition Sciences |
| CL | Colossus |
| CPPH | Coronet Pinkeye Purple Hull |
| GC-MS | Gas chromatography–mass spectrometry |
| GWCAES | George Washington Carver Agricultural Experiment Station |
| FAMEs | Fatty acid methyl esters |
| FDR | False discovery rate |
| HCl | Hydrochloric acid |
| HMDB | Human Metabolome Database |
| KEGG | Kyoto Encyclopedia of Genes and Genomes |
| LC-MS/MS | Liquid chromatography–tandem mass spectrometry |
| LOD | Limit of detection |
| LOQ | Limit of quantification |
| MS | Mississippi Silver |
| NIFA | National Institute of Food and Agriculture |
| NIST | National Institute of Standards and Technology |
| NWCC | National Water and Climate Center |
| QA | Queen Anne |
| RT | Retention time |
| UFA | Unsaturated fatty acids |
| USA | United States of America |
| USDA | United States Department of Agriculture |
| WP | Whippoorwill Steele’s Black |
Appendix A
Table A1.
Analysis of variance showing the 62 metabolites significantly affected by cowpea variety, season, and their interaction, with additional compound information, including calculated molecular weight (Calc. MW), chemical formula, and retention time (RT).
Table A1.
Analysis of variance showing the 62 metabolites significantly affected by cowpea variety, season, and their interaction, with additional compound information, including calculated molecular weight (Calc. MW), chemical formula, and retention time (RT).
| Phytochemical Name | Formula | Calc. MW | RT (min) | Cowpea Variety (F.val) | Cowpea Variety (raw.p) | Cowpea Variety (adj.p) | Seasons (F.val) | Seasons (raw.p) | Seasons (adj.p) | Interaction (F.val) | Interaction (raw.p) | Interaction (adj.p) |
|---|---|---|---|---|---|---|---|---|---|---|---|---|
| Glycitein | C16 H12 O5 | 284.06849 | 13.9 | 202.82 | 8.19 × 10−19 | 5.57 × 10−17 | 78.146 | 5.16 × 10−9 | 1.95 × 10−8 | 35.918 | 2.20 × 10−10 | 2.14 × 10−9 |
| Rhamnetin | C16 H12 O7 | 316.05832 | 13.907 | 177.8 | 3.81 × 10−18 | 1.30 × 10−16 | 31.796 | 8.33 × 10−6 | 2.098 × 10−5 | 8.119 | 0.000134 | 0.0003375 |
| Aesculin | C15 H16 O9 | 340.07931 | 11.688 | 147.1 | 3.44 × 10−17 | 7.80 × 10−16 | 53.3 | 1.53 × 10−7 | 4.34 × 10−7 | 3.46 | 0.017 | 0.02513 |
| D-Malic acid | C4 H6 O5 | 134.02148 | 12.879 | 103.13 | 2.04 × 10−15 | 3.47 × 10−14 | 76.56 | 6.24 × 10−9 | 2.23 × 10−8 | 7.397 | 0.000254 | 0.0005956 |
| Phenol | C6 H6 O | 94.04183 | 12.141 | 89.653 | 1.00 × 10−14 | 1.36 × 10−13 | 66.681 | 2.19 × 10−8 | 6.77 × 10−8 | 8.472 | 0.0000988 | 0.0002799 |
| Argininosuccinic acid | C10 H18 N4 O6 | 290.11873 | 13.23 | 70.806 | 1.42 × 10−13 | 1.61 × 10−12 | 26.152 | 3.12 × 10−5 | 7.072 × 10−5 | 2.25 | 0.082 | 0.10521 |
| Salicylic acid | C7 H6 O3 | 138.03166 | 7.727 | 69.137 | 1.85 × 10−13 | 1.80 × 10−12 | 196.22 | 4.77 × 10−13 | 3.60 × 10−12 | 49.927 | 6.62 × 10−12 | 1.13 × 10−10 |
| Chrysin | C15 H10 O4 | 254.05787 | 13.759 | 58.774 | 1.12 × 10−12 | 9.52 × 10−12 | 9.597 | 5.00 × 10−3 | 0.0077273 | 140.59 | 5.81 × 10−17 | 3.95 × 10−15 |
| Isoliquiritigenin | C15 H12 O4 | 256.07359 | 15.295 | 55.159 | 2.24 × 10−12 | 1.69 × 10−11 | 0.313 | 0.581 | 0.61731 | 38.816 | 9.75 × 10−11 | 1.33 × 10−9 |
| Ferulic acid | C10 H10 O4 | 194.05786 | 12.225 | 50.908 | 5.36 × 10−12 | 3.64 × 10−11 | 8.653 | 7.00 × 10−3 | 0.010348 | 6.817 | 0.000437 | 0.0009905 |
| Homogentisic acid | C8 H8 O4 | 168.04218 | 11.777 | 45.384 | 1.85 × 10−11 | 1.14 × 10−10 | 87.106 | 1.86 × 10−9 | 7.91 × 10−9 | 65.33 | 3.48 × 10−13 | 7.89 × 10−12 |
| Gentisic acid | C7 H6 O4 | 154.0265 | 3.746 | 40.64 | 6.00 × 10−11 | 3.40 × 10−10 | 18.921 | 2.17 × 10−4 | 0.0004307 | 13.656 | 0.0000023 | 1.20 × 10−5 |
| trans-Cinnamic acid | C9 H8 O2 | 148.05239 | 12.143 | 39.938 | 7.22 × 10−11 | 3.78 × 10−10 | 92.105 | 1.09 × 10−9 | 4.94 × 10−9 | 8.157 | 0.000129 | 0.0003374 |
| Catechol | C6 H6 O2 | 110.03672 | 3.743 | 36.419 | 1.90 × 10−10 | 9.23 × 10−10 | 18.839 | 2.22 × 10−4 | 0.0004307 | 8.784 | 0.0000761 | 0.000225 |
| Daidzin | C21 H20 O9 | 416.11089 | 12.66 | 35.555 | 2.44 × 10−10 | 1.11 × 10−9 | 657.23 | 5.99 × 10−19 | 2.04 × 10−17 | 100.9 | 2.62 × 10−15 | 8.91 × 10−14 |
| Pelargonidin | C15 H10 O5 | 270.05284 | 13.917 | 31.263 | 9.21 × 10−10 | 3.91 × 10−9 | 7.368 | 1.20 × 10−2 | 0.017362 | 36.371 | 1.93 × 10−10 | 2.14 × 10−9 |
| Gallic acid | C7 H6 O5 | 170.02144 | 1.565 | 24.816 | 9.34 × 10−9 | 3.74 × 10−8 | 5.946 | 2.30 × 10−2 | 0.030667 | 9.613 | 0.0000389 | 0.000147 |
| L-Phenylalanine | C9 H11 N O2 | 165.07891 | 3.2 | 24.006 | 1.29 × 10−8 | 4.87 × 10−8 | 519.8 | 8.99 × 10−18 | 1.53 × 10−16 | 15.923 | 6.03 × 10−7 | 4.10 × 10−6 |
| Vindoline | C25 H32 N2 O6 | 456.23372 | 12.799 | 21.547 | 3.68 × 10−8 | 1.32 × 10−7 | 12.038 | 2.00 × 10−3 | 0.0032381 | 8.889 | 0.0000698 | 0.000225 |
| Benzoic acid | C7 H6 O2 | 122.03674 | 13.151 | 20.144 | 6.97 × 10−8 | 2.37 × 10−7 | 26.147 | 3.12 × 10−5 | 7.072 × 10−5 | 8.808 | 0.0000746 | 0.000225 |
| 3-Cresotinic acid | C8 H8 O3 | 152.04728 | 12.353 | 15.991 | 5.8 × 10−7 | 1.86 × 10−6 | 956.78 | 7.52 × 10−21 | 5.11 × 10−19 | 28.004 | 2.81 × 10−9 | 2.39 × 10−8 |
| (Z)-3-Methyl-2-(2-pentenyl)-2-cyclopenten-1-one | C11 H16 O | 164.12007 | 15.306 | 15.881 | 6.17 × 10−7 | 1.86 × 10−6 | 7.091 | 1.40 × 10−2 | 0.019833 | 11.029 | 0.0000134 | 0.0000536 |
| Apigenin | C15 H10 O5 | 270.05276 | 14.624 | 15.798 | 6.47 × 10−7 | 1.86 × 10−6 | 4.475 | 0.045 | 0.056667 | 7.972 | 0.000152 | 0.0003691 |
| Xanthine | C5 H4 N4 O2 | 152.03339 | 12.848 | 15.716 | 6.77 × 10−7 | 1.86 × 10−6 | 145.43 | 1.13 × 10−11 | 7.68 × 10−11 | 6.027 | 0.00095 | 0.0019 |
| Kynurenic acid | C10 H7 N O3 | 189.04263 | 11.745 | 15.698 | 6.84 × 10−7 | 1.86 × 10−6 | 4.642 | 0.041 | 0.052604 | 3.697 | 0.013 | 0.020091 |
| 16-Hydroxy hexadecanoic acid | C16 H32 O3 | 272.23477 | 20.512 | 11.744 | 8.09 × 10−6 | 2.12 × 10−5 | 396.62 | 1.97 × 10−16 | 2.23 × 10−15 | 11.425 | 0.0000101 | 4.29 × 10−5 |
| 4-Hydroxybenzaldehyde | C7 H6 O2 | 122.03674 | 11.66 | 10.872 | 0.000015 | 3.78 × 10−5 | 20.85 | 1.25 × 10−4 | 0.0002576 | 4.18 | 0.007 | 0.012205 |
| Oleamide | C18 H35 N O | 264.24532 | 20.914 | 9.035 | 0.0000618 | 0.0001501 | 567.83 | 3.25 × 10−18 | 7.37 × 10−17 | 15.399 | 8.12 × 10−7 | 4.68 × 10−6 |
| Ortho-Hydroxyphenylacetic acid | C8 H8 O3 | 152.04727 | 6.521 | 7.021 | 0.00036 | 0.0008441 | 18.746 | 2.28 × 10−4 | 0.0004307 | 6.133 | 0.000854 | 0.0018148 |
| Isoleucine | C6 H13 N O2 | 131.09454 | 1.422 | 6.968 | 0.000379 | 0.0008591 | 390.96 | 2.32 × 10−16 | 2.25 × 10−15 | 15.368 | 8.26 × 10−7 | 4.68 × 10−6 |
| Carvone | C10 H14 O | 150.1044 | 13.204 | 6.843 | 0.000426 | 0.0009345 | 0.834 | 0.37 | 0.41246 | 3.378 | 0.019 | 0.026917 |
| Oleanolic acid | C30 H48 O3 | 478.34286 | 20.361 | 6.293 | 0.000728 | 0.0015228 | 5.933 | 2.30 × 10−2 | 0.030667 | 3.201 | 0.024 | 0.03264 |
| Isoquinoline | C9 H7 N | 129.05771 | 12.915 | 6.278 | 0.000739 | 0.0015228 | 0.06 | 0.808 | 0.83248 | 11.878 | 7.37 × 10−6 | 3.34 × 10−5 |
| Linoleic acid | C18 H32 O2 | 280.24024 | 21.057 | 6.135 | 0.000852 | 0.0016592 | 104.7 | 3.13 × 10−10 | 1.64 × 10−9 | 3.685 | 0.013 | 0.020091 |
| Suberic acid | C8 H14 O4 | 174.08913 | 12.759 | 6.132 | 0.000854 | 0.0016592 | 215.73 | 1.71 × 10−13 | 1.45 × 10−12 | 9.083 | 0.0000595 | 0.0002023 |
| Fumaric acid | C4 H4 O4 | 116.01098 | 1.224 | 5.798 | 0.001 | 0.0018889 | 22.762 | 7.44 × 10−5 | 0.0001581 | 4.96 | 0.003 | 0.0055135 |
| Azelaic acid | C9 H16 O4 | 188.10468 | 13.011 | 5.238 | 0.002 | 0.0035789 | 79.984 | 4.15 × 10−9 | 1.66 × 10−8 | 5.142 | 0.002 | 0.0038857 |
| Ergocalciferol | C28 H44 O | 396.33939 | 21.735 | 5.127 | 0.002 | 0.0035789 | 1.006 | 0.326 | 0.37803 | 4.195 | 0.007 | 0.012205 |
| Guanine | C5 H5 N5 O | 151.04937 | 1.531 | 4.802 | 0.003 | 0.0049756 | 38.346 | 2.13 × 10−6 | 5.57 × 10−6 | 13.025 | 3.44 × 10−6 | 1.67 × 10−5 |
| Linoleoyl ethanolamide | C20 H37 N O2 | 323.28241 | 19.639 | 4.974 | 0.003 | 0.0049756 | 9.227 | 6.00 × 10−3 | 0.0090667 | 1.938 | 0.125 | 0.15455 |
| Palmitic acid | C16 H32 O2 | 273.26681 | 16.566 | 4.803 | 0.003 | 0.0049756 | 16.219 | 4.92 × 10−4 | 0.0009042 | 5.055 | 0.003 | 0.0055135 |
| 2-Piperidinone | C5 H9 N O | 99.06835 | 2.77 | 4.691 | 0.004 | 0.0064762 | 73.488 | 9.09 × 10−9 | 3.09 × 10−8 | 1.802 | 0.151 | 0.18336 |
| Ethyl tetradecanoate | C16 H32 O2 | 256.24015 | 20.074 | 4.117 | 0.008 | 0.012651 | 13.493 | 1.00 × 10−3 | 0.0017 | 8.399 | 0.000105 | 0.0002856 |
| Kaempferol | C15 H10 O6 | 286.0478 | 12.374 | 3.905 | 0.01 | 0.015455 | 0.006 | 0.937 | 0.937 | 1.004 | 0.437 | 0.45024 |
| Adenosine | C10 H13 N5 O4 | 267.09683 | 1.398 | 3.852 | 0.011 | 0.016622 | 3.834 | 0.062 | 0.076655 | 1.654 | 0.184 | 0.21951 |
| Leucine | C6 H13 N O2 | 131.09457 | 1.629 | 3.497 | 0.016 | 0.022667 | 135.1 | 2.41 × 10−11 | 1.49 × 10−10 | 3.808 | 0.011 | 0.01781 |
| Thymine | C5 H6 N2 O2 | 126.04288 | 1.463 | 3.493 | 0.016 | 0.022667 | 452.79 | 4.37 × 10−17 | 5.94 × 10−16 | 6.027 | 0.00095 | 0.0019 |
| Alpha-Linolenic acid | C18 H30 O2 | 278.22457 | 20.324 | 3.494 | 0.016 | 0.022667 | 23.617 | 5.93 × 10−5 | 0.0001301 | 2.325 | 0.074 | 0.096769 |
| Phenylacetaldehyde | C8 H8 O | 120.05746 | 12.563 | 3.269 | 0.022 | 0.030531 | 0.999 | 0.328 | 0.37803 | 1.257 | 0.314 | 0.33362 |
| Uracil | C4 H4 N2 O2 | 112.02722 | 1.248 | 2.715 | 0.044 | 0.05984 | 13.479 | 0.001 | 0.0017 | 2.092 | 0.101 | 0.12719 |
| Neocnidilide | C12 H18 O2 | 176.12005 | 15.839 | 2.658 | 0.048 | 0.064 | 28.482 | 1.78 × 10−5 | 4.32 × 10−5 | 9.197 | 0.0000542 | 0.000194 |
| Palmitic amide | C16 H33 N O | 255.25625 | 20.705 | 2.621 | 0.05 | 0.065385 | 112.62 | 1.52 × 10−10 | 8.61 × 10−10 | 3.398 | 0.018 | 0.026043 |
| Corchorifatty acid F | C18 H32 O5 | 328.22417 | 14.584 | 2.463 | 0.062 | 0.079547 | 15.385 | 6.41 × 10−4 | 1.15 × 10−3 | 3.563 | 0.015 | 0.022667 |
| Dihydrotestosterone | C19 H30 O2 | 290.22462 | 19.365 | 2.356 | 0.071 | 0.089407 | 11.999 | 2.00 × 10−3 | 3.24 × 10−3 | 17.225 | 2.97 × 10−7 | 2.24 × 10−6 |
| Reserpine | C33 H40 N2 O9 | 608.26352 | 19.8 | 2.323 | 0.074 | 0.091491 | 102.14 | 3.99 × 10−10 | 1.94 × 10−9 | 3.167 | 0.025 | 0.033333 |
| Alpha-Linolenoyl ethanolamide | C20 H35 N O2 | 321.26674 | 17.68 | 2.278 | 0.079 | 0.095929 | 1.237 | 0.277 | 0.33046 | 6.264 | 0.000749 | 0.001643 |
| Leucylproline | C11 H20 N2 O3 | 228.14737 | 11.6 | 1.988 | 0.117 | 0.13717 | 42.96 | 8.86 × 10−7 | 2.41 × 10−6 | 3.344 | 0.02 | 0.027755 |
| Octadecanamide | C18 H37 N O | 283.28756 | 22.018 | 1.931 | 0.126 | 0.14522 | 69.375 | 1.53 × 10−8 | 4.95 × 10−8 | 3.865 | 0.01 | 0.016585 |
| Proline | C5 H9 N O2 | 115.06327 | 1.276 | 1.743 | 0.163 | 0.1817 | 55.436 | 1.10 × 10−7 | 3.25 × 10−7 | 1.142 | 0.366 | 0.38289 |
| Cuminaldehyde | C10 H12 O | 148.08875 | 12.364 | 1.247 | 0.318 | 0.34324 | 6.478 | 0.018 | 0.02498 | 0.898 | 0.498 | 0.498 |
| 4-Hydroxyphenylpyruvic acid | C9 H8 O4 | 180.04219 | 13.663 | 0.956 | 0.464 | 0.493 | 9.535 | 0.005 | 0.0077273 | 3.933 | 0.01 | 0.016585 |
| Jasmonic acid | C12 H18 O3 | 210.12554 | 14.863 | 0.923 | 0.483 | 0.50529 | 4.805 | 0.038 | 0.049692 | 0.963 | 0.46 | 0.46687 |
Table A2.
Pathway analysis showing the most affected pathways in metabolite biosynthesis in response to stress.
Table A2.
Pathway analysis showing the most affected pathways in metabolite biosynthesis in response to stress.
| Pathway | Total | Expected | Hits | Raw p | −Log10(p) | Holm Adjust | FDR | Impact |
|---|---|---|---|---|---|---|---|---|
| Flavone and flavonol biosynthesis | 10 | 0.18457 | 3 | 0.00062 | 3.2073 | 0.057085 | 0.040597 | 0.7 |
| Phenylalanine metabolism | 12 | 0.22149 | 3 | 0.00111 | 2.9548 | 0.10098 | 0.040597 | 0.42308 |
| Flavonoid biosynthesis | 47 | 0.8675 | 5 | 0.001324 | 2.8782 | 0.11914 | 0.040597 | 0.08216 |
| Tyrosine metabolism | 17 | 0.31378 | 3 | 0.003223 | 2.4917 | 0.28687 | 0.074136 | 0.44134 |
| Biosynthesis of unsaturated fatty acids | 22 | 0.40606 | 3 | 0.006861 | 2.1636 | 0.60378 | 0.12625 | 0 |
| Arginine biosynthesis | 18 | 0.33223 | 2 | 0.041895 | 1.3778 | 1 | 0.55062 | 0.09568 |
| Cutin, suberine, and wax biosynthesis | 18 | 0.33223 | 2 | 0.041895 | 1.3778 | 1 | 0.55062 | 0.3125 |
| Valine, leucine, and isoleucine biosynthesis | 22 | 0.40606 | 2 | 0.060457 | 1.2186 | 1 | 0.5562 | 0 |
| Phenylalanine, tyrosine, and tryptophan biosynthesis | 22 | 0.40606 | 2 | 0.060457 | 1.2186 | 1 | 0.5562 | 0.0015 |
| Alanine, aspartate, and glutamate metabolism | 22 | 0.40606 | 2 | 0.060457 | 1.2186 | 1 | 0.5562 | 0.02159 |
| Linoleic acid metabolism | 4 | 0.07383 | 1 | 0.07188 | 1.1434 | 1 | 0.60118 | 1 |
| alpha-Linolenic acid metabolism | 26 | 0.47989 | 2 | 0.081315 | 1.0898 | 1 | 0.62341 | 0.125 |
| Isoquinoline alkaloid biosynthesis | 6 | 0.11074 | 1 | 0.10593 | 0.975 | 1 | 0.74963 | 0 |
| Glucosinolate biosynthesis | 65 | 1.1997 | 3 | 0.11486 | 0.93982 | 1 | 0.75129 | 0 |
| Indole alkaloid biosynthesis | 7 | 0.1292 | 1 | 0.12249 | 0.91189 | 1 | 0.75129 | 0 |
| Valine, leucine, and isoleucine degradation | 37 | 0.68293 | 2 | 0.14739 | 0.83154 | 1 | 0.80423 | 0 |
| Tropane, piperidine, and pyridine alkaloid biosynthesis | 9 | 0.16612 | 1 | 0.15475 | 0.81038 | 1 | 0.80423 | 0 |
| Purine metabolism | 75 | 1.3843 | 3 | 0.15735 | 0.80313 | 1 | 0.80423 | 0.02272 |
| Pyrimidine metabolism | 41 | 0.75676 | 2 | 0.17362 | 0.76041 | 1 | 0.84067 | 0.05624 |
| Phenylpropanoid biosynthesis | 43 | 0.79367 | 2 | 0.18702 | 0.72811 | 1 | 0.86031 | 0.05935 |
| Ubiquinone and other terpenoid-quinone biosynthesis | 48 | 0.88596 | 2 | 0.22116 | 0.6553 | 1 | 0.96888 | 0.19809 |
| beta-Alanine metabolism | 18 | 0.33223 | 1 | 0.28627 | 0.54322 | 1 | 1 | 0 |
| Citrate cycle (TCA cycle) | 20 | 0.36915 | 1 | 0.31269 | 0.50488 | 1 | 1 | 0.0295 |
| One carbon pool by folate | 21 | 0.38761 | 1 | 0.32555 | 0.48738 | 1 | 1 | 0 |
| Fatty acid elongation | 23 | 0.42452 | 1 | 0.35057 | 0.45523 | 1 | 1 | 0 |
| Pyruvate metabolism | 23 | 0.42452 | 1 | 0.35057 | 0.45523 | 1 | 1 | 0 |
| Pantothenate and CoA biosynthesis | 25 | 0.46144 | 1 | 0.37469 | 0.42633 | 1 | 1 | 0 |
| Glycosylphosphatidylinositol (GPI)-anchor biosynthesis | 28 | 0.51681 | 1 | 0.40926 | 0.388 | 1 | 1 | 0.04762 |
| Cyanoamino acid metabolism | 29 | 0.53527 | 1 | 0.42037 | 0.37637 | 1 | 1 | 0 |
| Biosynthesis of various plant secondary metabolites | 29 | 0.53527 | 1 | 0.42037 | 0.37637 | 1 | 1 | 0 |
| Arginine and proline metabolism | 32 | 0.59064 | 1 | 0.4525 | 0.34438 | 1 | 1 | 0.01637 |
| Fatty acid degradation | 37 | 0.68293 | 1 | 0.50227 | 0.29906 | 1 | 1 | 0 |
| Fatty acid biosynthesis | 56 | 1.0336 | 1 | 0.65453 | 0.18407 | 1 | 1 | 0.01123 |
Table A3.
GC-MS FAME calibration curve information.
Table A3.
GC-MS FAME calibration curve information.
| Compound | Target Ion and Qualifier Ions | RT Min | Quadratic Term | Linear Term | Constant Term | Correlation Coefficient (r2) |
|---|---|---|---|---|---|---|
| 10:0 methyl decanoate | 74.2, 87.2, 55.15, 186.4 | 5.2 | 1.561e−005 | 3.815e−003 | 1.598e−003 | 0.999 |
| 12:0 methyl laurate | 74.2, 87.15, 55.15, 214.40 | 5.8 | 1.548e−005 | 4.004e−003 | 3.019e−003 | 0.999 |
| 14:0 methyl myristate | 74.2, 87.15, 55.15, 242.4 | 6.7 | 1.780e−005 | 3.890e−003 | 3.610e−003 | 0.999 |
| Methyl palmitate | 74.2, 87.2, 55.15, 270.6 | 8.1 | 2.918e−005 | 5.769e−003 | 5.368e−003 | 0.999 |
| 16:1 methyl palmitoleate | 55.15, 74.2, 69.15, 268.4 | 8.3 | 2.638e−006 | 7.876e−004 | −3.739e−004 | 0.999 |
| 18:0 Methyl stearate | 74.2, 7.2, 55.15, 98.4 | 10.3 | 0.000e+000 | 4.689e−003 | −2.116e−003 | 0.998 |
| 18:1 elaidic oleic cis & trans | 55.15, 74.2, 69.15, 296.4 | 10.55 | 1.296e−005 | 2.069e−003 | 1.766e−003 | 0.999 |
| 18:2n−6 linolelaidate | 65.15, 55.15, 81.2, 294.4 | 14.0 | 5.593e−006 | 1.618e−003 | −5.778e−004 | 0.999 |
| 18:3n−6 linolenate | 67.5, 74.2, 55.15, 150 | 14.2 | 0.000e+000 | 2.673e−005 | 3.958e−004 | 0.574 |
| 18:3n−3 linolenate | 67.15, 79.15. 55.15, 292.4 | 14.7 | 1.000e−006 | 6.153e−004 | −1.126e−003 | 0.998 |
| 22:0 behenate | 74.15, 87.2, 55.2, 354.6 | 20.4 | 1.741e−005 | 3.296e−003 | −9.790e−004 | 0.999 |
| 24:0 lignocerate | 74.2, 87.2, 55.2, 382.4 | 22.9 | 2.426e−005 | 2.509e−003 | −1.856e−003 | 0.999 |
References
- Osipitan, O.A.; Fields, J.S.; Lo, S.; Cuvaca, I. Production Systems and Prospects of Cowpea (Vigna unguiculata (L.) Walp.) in the United States. Agronomy 2021, 11, 2312. [Google Scholar] [CrossRef]
- Nkhoma, N.; Shimelis, H.; Laing, M.D.; Shayanowako, A.; Mathew, I. Assessing the genetic diversity of cowpea [Vigna unguiculata (L.) Walp.] germplasm collections using phenotypic traits and SNP markers. BMC Genet. 2020, 21, 110. [Google Scholar] [CrossRef] [PubMed]
- Omomowo, O.I.; Babalola, O.O. Constraints and Prospects of Improving Cowpea Productivity to Ensure Food, Nutritional Security and Environmental Sustainability. Front. Plant Sci. 2021, 12, 751731. [Google Scholar] [CrossRef] [PubMed]
- Lyngdoh, C.; Bahadur, V.; David, A.; Prasad, V.; Jamir, T. Effect of Organic Manures, Organic Supplements and Biofertilizers on Growth and Yield of Cowpea [Vigna unguiculata (L.) Walp]. Int. J. Curr. Microbiol. Appl. Sci. 2017, 6, 1029–1036. [Google Scholar] [CrossRef]
- Boukar, O.; Fatokun, C.A.; Huynh, B.-L.; Roberts, P.A.; Close, T.J. Genomic tools in cowpea breeding programs: Status and perspectives. Front. Plant Sci. 2016, 7, 757. [Google Scholar] [CrossRef]
- Boukar, O.; Massawe, F.; Muranaka, S.; Franco, J.; Maziya-Dixon, B.; Singh, B.; Fatokun, C. Evaluation of cowpea germplasm lines for protein and mineral concentrations in grains. Plant Genet. Resour. Charact. Util. 2011, 9, 515–522. [Google Scholar] [CrossRef]
- Owade, J.O.; Abong’, G.; Okoth, M.; Mwang’oMbe, A.W. A review of the contribution of cowpea leaves to food and nutrition security in East Africa. Food Sci. Nutr. 2019, 8, 36–47. [Google Scholar] [CrossRef]
- Sheahan, C.M. Plant Guide for Cowpea (Vigna unguiculata) [Internet]. 2012. Available online: https://plants.usda.gov/DocumentLibrary/plantguide/pdf/pg_viun.pdf (accessed on 7 March 2023).
- Kemble, J.M.; Jennings, K.M.; Walgenbach, J.F.; Rudolph, R. Handbook Southeastern Vegetable Extension Workers; North Carolina State Extension: Raleigh, NC, USA, 2020. [Google Scholar]
- Nyaga, J.W.; Njeru, E.M. Potential of Native Rhizobia to Improve Cowpea Growth and Production in Semiarid Regions of Kenya. Front. Agron. 2020, 2, 606293. [Google Scholar] [CrossRef]
- Hill, S.L. Cowpea Adaptability to Southeastern Organic Farming Systems: Forage Productivity and Charcoal Rot Susceptibility Forage Productivity and Charcoal Rot Susceptibility [Internet]. 2015. Available online: https://trace.tennessee.edu/utk_gradthes (accessed on 13 September 2025).
- Quinn, J.; Myers, R. COWPEA A Versatile Legume for Hot, Dry Conditions [Internet]. 2002. Available online: www.jeffersoninstitute.org (accessed on 13 September 2025).
- Singh, S.R.; Allen, D.J. Cowpea Pests and Diseases; International Institute of Tropical Agriculture Ibadan Nigeria Manual Series NO. 2 Contents; IITA: Ibadan, Nigeria, 1979. [Google Scholar]
- Salam, U.; Ullah, S.; Tang, Z.-H.; Elateeq, A.A.; Khan, Y.; Khan, J.; Khan, A.; Ali, S. Plant Metabolomics: An Overview of the Role of Primary and Secondary Metabolites against Different Environmental Stress Factors. Life 2023, 13, 706. [Google Scholar] [CrossRef]
- Altindal, D.; Altindal, N. Plant volatile compounds in growth. In Volatiles and Food Security: Role of Volatiles in Agro-Ecosystems; Springer: Singapore, 2017; pp. 1–13. [Google Scholar]
- He, M.; Ding, N.-Z. Plant Unsaturated Fatty Acids: Multiple Roles in Stress Response. Front. Plant Sci. 2020, 11, 562785. [Google Scholar] [CrossRef]
- Rowan, D.D. Volatile metabolites. Metabolites 2011, 1, 41–63. [Google Scholar] [CrossRef]
- Tilman, D.; Cassman, K.; Matson, P.; Naylor, R.; Polasky, S. Agricultural Sustainability and Intensive Production Practices [Internet]. 2002. Available online: www.nature.com/nature (accessed on 13 September 2025).
- Adamchak, R. Organic Farming; Encyclopedia Britannica, Inc.: Chicago, IL, USA, 2024; Available online: https://www.britannica.com/topic/organic-farming (accessed on 7 April 2024).
- Al-Khayri, J.M.; Rashmi, R.; Toppo, V.; Chole, P.B.; Banadka, A.; Sudheer, W.N.; Nagella, P.; Shehata, W.F.; Al-Mssallem, M.Q.; Alessa, F.M.; et al. Plant Secondary Metabolites: The Weapons for Biotic Stress Management. Metabolites 2023, 13, 716. [Google Scholar] [CrossRef]
- Ooko Abong’, G.; Muzhingi, T.; Wandayi Okoth, M.; Ng’ang’a, F.; Ochieng’, P.E.; Mahuga Mbogo, D.; Malavi, D.; Akhwale, M.; Ghimire, S. Phytochemicals in Leaves and Roots of Selected Kenyan Orange Fleshed Sweet Potato (OFSP) Varieties. Int. J. Food Sci. 2020, 2020, 3567972. [Google Scholar] [CrossRef]
- Zhu, F.; Shang, J.; Wong, S.-M. Editorial: Induced plant resistance against pathogens by application of bioactive molecules. Front. Plant Sci. 2023, 14, 1282909. [Google Scholar] [CrossRef] [PubMed]
- Maoka, T. Carotenoids as natural functional pigments. J. Nat. Med. 2019, 74, 1–16. [Google Scholar] [CrossRef] [PubMed]
- Jayawardhane, J.; Goyali, J.C.; Zafari, S.; Igamberdiev, A.U. The Response of Cowpea (Vigna unguiculata) Plants to Three Abiotic Stresses Applied with Increasing Intensity: Hypoxia, Salinity, and Water Deficit. Metabolites 2022, 12, 38. [Google Scholar] [CrossRef] [PubMed]
- Goufo, P.; Moutinho-Pereira, J.M.; Jorge, T.F.; Correia, C.M.; Oliveira, M.R.; Rosa, E.A.S.; António, C.; Trindade, H. Cowpea (Vigna unguiculata L. Walp.) metabolomics: Osmoprotection as a physiological strategy for drought stress resistance and improved yield. Front. Plant Sci. 2017, 8, 586. [Google Scholar] [CrossRef]
- Zhukov, A.V. Palmitic acid and its role in the structure and functions of plant cell membranes. Russ. J. Plant Physiol. 2015, 62, 706–713. [Google Scholar] [CrossRef]
- Kumar, M.; Patel, M.K.; Kumar, N.; Bajpai, A.B.; Siddique, K.H.M. Metabolomics and molecular approaches reveal drought stress tolerance in plants. Int. J. Mol. Sci. 2021, 22, 9108. [Google Scholar] [CrossRef]
- Ohlrogge, J.; Browse, J. Lipid Biosynthesis. Plant Cell Am. Soc. Plant Physiol. 1995, 7, 957. [Google Scholar]
- Ichihara, K.; Fukubayashi, Y. Preparation of fatty acid methyl esters for gas-liquid chromatography. J. Lipid Res. 2010, 51, 635–640. [Google Scholar] [CrossRef]
- Jafarihaghighi, F.; Ardjmand, M.; Hassani, M.S.; Mirzajanzadeh, M.; Bahrami, H. Effect of Fatty Acid Profiles and Molecular Structures of Nine New Source of Biodiesel on Combustion and Emission. ACS Omega 2020, 5, 16053–16063. [Google Scholar] [CrossRef]
- Gao, H.; Ma, K.; Ji, G.; Pan, L.; Zhou, Q. Lipid transfer proteins involved in plant–pathogen interactions and their molecular mechanisms. Mol. Plant Pathol. 2022, 23, 1815–1829. [Google Scholar] [CrossRef] [PubMed]
- Kuźniak, E.; Gajewska, E. Lipids and Lipid-Mediated Signaling in Plant–Pathogen Interactions. Int. J. Mol. Sci. 2024, 25, 7255. [Google Scholar] [CrossRef]
- Jin, W.; Yang, Z.; Xu, K.; Liu, Q.; Luo, Q.; Li, L.; Xiang, X. A Comprehensive Review of Plant Volatile Terpenoids, Elucidating Interactions with Surroundings, Systematic Synthesis, Regulation, and Targeted Engineering Production. Biology 2025, 14, 466. [Google Scholar] [CrossRef] [PubMed]
- Siddiqui, T.; Khan, M.U.; Sharma, V.; Gupta, K. Terpenoids in essential oils: Chemistry, classification, and potential impact on human health and industry. Phytomed. Plus 2024, 4, 100549. [Google Scholar] [CrossRef]
- Khanam, S.; Mishra, P.; Faruqui, T.; Alam, P.; Albalawi, T.; Siddiqui, F.; Rafi, Z.; Khan, S. Plant-based secondary metabolites as natural remedies: A comprehensive review on terpenes and their therapeutic applications. Front. Pharmacol. 2025, 16, 1587215. [Google Scholar] [CrossRef]
- Câmara, J.S.; Perestrelo, R.; Ferreira, R.; Berenguer, C.V.; Pereira, J.A.M.; Castilho, P.C. Plant-Derived Terpenoids: A Plethora of Bioactive Compounds with Several Health Functions and Industrial Applications—A Comprehensive Overview. Molecules 2024, 29, 3861. [Google Scholar] [CrossRef]
- Bacong, J.R.C.; Juanico, D.E.O. Predictive Chromatography of Leaf Extracts Through Encoded Environmental Forcing on Phytochemical Synthesis. Front. Plant Sci. 2021, 12, 613507. [Google Scholar] [CrossRef]
- Gitonga, H.W.; Kyamanywa, S.; Arusei, P.; Lukanda, M.M.; Edema, R.; Dramadri, I.O. Genotype × Environment Interaction Influence Secondary Metabolite in Cowpea Infested by Flower Bud Thrips. Agronomy 2022, 12, 3210. [Google Scholar] [CrossRef]
- BEN Mansour-Gueddes, S.; Saidana-Naija, D.; Bchir, A.; Braham, M. Climate change effects on phytochemical compounds and antioxidant activity of Olea europaea L. Not. Bot. Horti Agrobot. Cluj-Napoca 2020, 48, 436–455. [Google Scholar] [CrossRef]
- Alves, A.S.D.S.C.; Acioli, A.N.S.; Ferreira, G.S.L.; Silva, N.M.D. Effect of cowpea (Vigna unguiculata L. Walp.) sowing season on population dynamics of pest insects. Arq. Do Inst. Biológico 2022, 89, e00322021. [Google Scholar]
- Jeff Whitworth, R.; Ahmad, A. MF2865 Cowpea Aphid [Internet]. Available online: www.bookstore.ksre.ksu.edu (accessed on 13 September 2025).
- Yang, L.; Wen, K.-S.; Ruan, X.; Zhao, Y.-X.; Wei, F.; Wang, Q. Response of plant secondary metabolites to environmental factors. Molecules 2018, 23, 762. [Google Scholar] [CrossRef] [PubMed]
- Jan, R.; Asaf, S.; Numan, M.; Lubna; Kim, K.-M. Plant secondary metabolite biosynthesis and transcriptional regulation in response to biotic and abiotic stress conditions. Agronomy 2021, 11, 968. [Google Scholar] [CrossRef]
- Reshi, Z.A.; Ahmad, W.; Lukatkin, A.S.; Bin Javed, S. From Nature to Lab: A Review of Secondary Metabolite Biosynthetic Pathways, Environmental Influences, and In Vitro Approaches. Metabolites 2023, 13, 895. [Google Scholar] [CrossRef]
- Grigorieva, E.; Livenets, A.; Stelmakh, E. Adaptation of Agriculture to Climate Change: A Scoping Review. Climate 2023, 11, 202. [Google Scholar] [CrossRef]
- Ouédraogo, M.; Barry, S.; Zougmoré, R.B. How using weather and climate information services may impact farm productivity and technical efficiency: Evidence from cowpea and sesame producers in burkina faso. Clim. Chang. Econ. 2023, 14, 2350011. [Google Scholar] [CrossRef]
- Forero, L.E.; Grenzer, J.; Heinze, J.; Schittko, C.; Kulmatiski, A. Greenhouse- and Field-Measured Plant-Soil Feedbacks Are Not Correlated. Front. Environ. Sci. 2019, 7, 184. [Google Scholar] [CrossRef]
- Rahnama, A.; Salehi, F.; Meskarbashee, M.; Khanlou, K.M.; Ghorbanpour, M.; Harrison, M.T. High temperature perturbs physicochemical parameters and fatty acids composition of safflower (Carthamus tinctorius L.). BMC Plant Biol. 2024, 24, 1080. [Google Scholar] [CrossRef]
- Alsajri, F.A.; Wijewardana, C.; Irby, J.T.; Bellaloui, N.; Krutz, L.J.; Golden, B.; Gao, W.; Reddy, K.R. Developing functional relationships between temperature and soybean yield and seed quality. Agron. J. 2020, 112, 194–204. [Google Scholar] [CrossRef]
- Kurasiak-Popowska, D.; Graczyk, M.; Przybylska-Balcerek, A.; Stuper-Szablewska, K. Influence of variety and weather conditions on fatty acid composition of winter and spring Camelina sativa varieties in Poland. Eur. Food Res. Technol. 2020, 247, 465–473. [Google Scholar] [CrossRef]
- Niu, Y.; Xiang, Y. An overview of biomembrane functions in plant responses to high-temperature Stress. Front. Plant Sci. 2018, 9, 915. [Google Scholar] [CrossRef]
- Zhao, X.; Wei, J.; He, L.; Zhang, Y.; Zhao, Y.; Xu, X.; Wei, Y.; Ge, S.; Ding, D.; Liu, M.; et al. Identification of fatty acid desaturases in maize and their differential responses to low and high temperature. Genes 2019, 10, 445. [Google Scholar] [CrossRef]
- Zheng, G.; Tian, B.; Zhang, F.; Tao, F.; Li, W. Plant adaptation to frequent alterations between high and low temperatures: Remodelling of membrane lipids and maintenance of unsaturation levels. Plant Cell Environ. 2011, 34, 1431–1442. [Google Scholar] [CrossRef]
- Sharma, P.; Lakra, N.; Goyal, A.; Ahlawat, Y.K.; Zaid, A.; Siddique, K.H.M. Drought and heat stress mediated activation of lipid signaling in plants: A critical review. Front. Plant Sci. 2023, 14, 1216835. [Google Scholar] [CrossRef]
- Falcone, D.L.; Ogas, J.P.; Somerville, C.R. Regulation of membrane fatty acid composition by temperature in mutants of Arabidopsis with alterations in membrane lipid composition. BMC Plant Biol. 2004, 4, 17. [Google Scholar] [CrossRef]
- He, M.; Qin, C.-X.; Wang, X.; Ding, N.-Z. Plant Unsaturated Fatty Acids: Biosynthesis and Regulation. Front. Plant Sci. 2020, 11, 390. [Google Scholar] [CrossRef]
- Xia, J.; Wishart, D.S. MetPA: A web-based metabolomics tool for pathway analysis and visualization. Bioinformatics 2010, 26, 2342–2344. [Google Scholar] [CrossRef]
- Mageney, V.; Neugart, S.; Albach, D.C. A guide to the variability of flavonoids in Brassica oleracea. Molecules 2017, 22, 252. [Google Scholar] [CrossRef] [PubMed]
- Bang, J.-H.; Jo, I.-H.; Sebastin, R.; Jeong, W.T.; Oh, S.; Heo, T.-Y.; Sung, J.; Hyun, T.K.; So, Y.-S.; Yu, J.-K.; et al. Comparative Analysis of Polyphenolic Compounds in Different Amaranthus Species: Influence of Genotypes and Harvesting Year. Antioxidants 2024, 13, 501. [Google Scholar] [CrossRef] [PubMed]
- Li, P.; Xia, E.; Fu, J.; Xu, Y.; Zhao, X.; Tong, W.; Tang, Q.; Tadege, M.; Fernie, A.R.; Zhao, J. Diverse roles of MYB transcription factors in regulating secondary metabolite biosynthesis, shoot development, and stress responses in tea plants (Camellia sinensis). Plant J. 2022, 110, 1144–1165. [Google Scholar] [CrossRef]
- Moreira, X.; Abdala-Roberts, L.; Hidalgo-Galvez, M.D.; Vázquez-González, C.; Pérez-Ramos, I.M. Micro-climatic effects on plant phenolics at the community level in a Mediterranean savanna. Sci. Rep. 2020, 10, 14757. [Google Scholar] [CrossRef]
- Mpofu, A.; Sapirstein, H.D.; Beta, T. Genotype and environmental variation in phenolic content, phenolic acid composition, and antioxidant activity of hard spring wheat. J. Agric. Food Chem. 2006, 54, 1265–1270. [Google Scholar] [CrossRef]
- Wang, S.Y.; Zheng, W. Effect of plant growth temperature on antioxidant capacity in strawberry. J. Agric. Food Chem. 2001, 49, 4977–4982. [Google Scholar] [CrossRef]
- Shamloo, M.; Babawale, E.A.; Furtado, A.; Henry, R.J.; Eck, P.K.; Jones, P.J.H. Effects of genotype and temperature on accumulation of plant secondary metabolites in Canadian and Australian wheat grown under controlled environments. Sci. Rep. 2017, 7, 9133. [Google Scholar] [CrossRef] [PubMed]
- Zhao, X.; Huang, L.-J.; Sun, X.-F.; Zhao, L.-L.; Wang, P.-C. Differential Physiological, Transcriptomic, and Metabolomic Responses of Paspalum wettsteinii Under High-Temperature Stress. Front. Plant Sci. 2022, 13, 865608. [Google Scholar] [CrossRef] [PubMed]
- Li, Y.; Kong, D.; Fu, Y.; Sussman, M.R.; Wu, H. The effect of developmental and environmental factors on secondary metabolites in medicinal plants. Plant Physiol. Biochem. 2020, 148, 80–89. [Google Scholar] [CrossRef] [PubMed]
- Rusalepp, L. The Impact of Environmental Drivers and Competition on Phenolic Metabolite Profiles in Hybrid Aspen and Silver Birch [Internet]. 2023. Available online: https://www.researchgate.net/publication/376414803 (accessed on 13 September 2025).
- Selinga, T.I.; Maseko, S.T.; Gabier, H.; Rafudeen, M.S.; Muasya, A.M.; Crespo, O.; Ogola, J.B.O.; Valentine, A.J.; Ottosen, C.-O.; Rosenqvist, E.; et al. Regulation and physiological function of proteins for heat tolerance in cowpea (Vigna unguiculata) genotypes under controlled and field conditions. Front. Plant Sci. 2022, 13, 954527. [Google Scholar] [CrossRef]
- Erb, M.; Kliebenstein, D.J. Plant Secondary Metabolites as Defenses, Regulators, and Primary Metabolites: The Blurred Functional Trichotomy. Plant Physiol. 2020, 184, 39–52. [Google Scholar] [CrossRef]
- Mayer, R.R.; Cherry, J.H.; Rhodes, D. Effects of Heat Shock on Amino Acid Metabolism of Cowpea Cells. Plant Physiol. 1990, 94, 796–810. [Google Scholar] [CrossRef]
- Fraire-Velázquez, S.; Emmanuel, V. Abiotic Stress in Plants and Metabolic Responses. In Abiotic Stress-Plant Responses and Applications in Agriculture; InTech: London, UK, 2013. [Google Scholar]
- Perkowski, M.C.; Warpeha, K.M. Phenylalanine roles in the seed-to-seedling stage: Not just an amino acid. Plant Sci. 2019, 289, 110223. [Google Scholar] [CrossRef] [PubMed]
- Yoo, H.; Widhalm, J.R.; Qian, Y.; Maeda, H.; Cooper, B.R.; Jannasch, A.S.; Gonda, I.; Lewinsohn, E.; Rhodes, D.; Dudareva, N. An alternative pathway contributes to phenylalanine biosynthesis in plants via a cytosolic tyrosine:phenylpyruvate aminotransferase. Nat. Commun. 2013, 4, 2833. [Google Scholar] [CrossRef] [PubMed]
- Timoneda, A.; Sheehan, H.; Feng, T.; Lopez-Nieves, S.; Maeda, H.A.; Brockington, S. Redirecting Primary Metabolism to Boost Production of Tyrosine-Derived Specialised Metabolites in Planta. Sci. Rep. 2018, 8, 17256. [Google Scholar] [CrossRef] [PubMed]
- Collakova, E.; DellaPenna, D. The Role of Homogentisate Phytyltransferase and Other Tocopherol Pathway Enzymes in the Regulation of Tocopherol Synthesis during Abiotic Stress. Plant Physiol. 2003, 133, 930–940. [Google Scholar] [CrossRef]
- Martinez, V.; Mestre, T.C.; Rubio, F.; Girones-Vilaplana, A.; Moreno, D.A.; Mittler, R.; Rivero, R.M. Accumulation of flavonols over hydroxycinnamic acids favors oxidative damage protection under abiotic stress. Front. Plant Sci. 2016, 7, 838. [Google Scholar] [CrossRef]
- Wahid, A.; Gelani, S.; Ashraf, M.; Foolad, M.R. Heat tolerance in plants: An overview. Environ. Exp. Bot. 2007, 61, 199–223. [Google Scholar] [CrossRef]
- Patil, J.R.; Mhatre, K.J.; Yadav, K.; Yadav, L.S.; Srivastava, S.; Nikalje, G.C. Flavonoids in plant-environment interactions and stress responses. Discov. Plants 2024, 1, 68. [Google Scholar] [CrossRef]
- Jan, R.; Kim, N.; Lee, S.-H.; Khan, M.A.; Asaf, S.; Lubna; Park, J.-R.; Asif, S.; Lee, I.-J.; Kim, K.-M. Enhanced Flavonoid Accumulation Reduces Combined Salt and Heat Stress Through Regulation of Transcriptional and Hormonal Mechanisms. Front. Plant Sci. 2021, 12, 796956. [Google Scholar] [CrossRef]
- Larkindale, J.; Knight, M.R. Protection against heat stress-induced oxidative damage in Arabidopsis involves calcium, abscisic acid, ethylene, and salicylic acid. Plant Physiol. 2002, 128, 682–695. [Google Scholar] [CrossRef]
- Chen, A.; Liu, T.; Wang, Z.; Chen, X. Plant root suberin: A layer of defence against biotic and abiotic stresses. Front. Plant Sci. 2022, 13, 1056008. [Google Scholar] [CrossRef]
- Upchurch, R.G. Fatty acid unsaturation, mobilization, and regulation in the response of plants to stress. Biotechnol. Lett. 2008, 30, 967–977. [Google Scholar] [CrossRef]
- Abugri, D.A.; Pritchett, G. Determination of chlorophylls, carotenoids, and fatty acid profiles of tetrapleura tetraptera seeds and their health implication. J. Herbs Spices Med. Plants 2013, 19, 391–400. [Google Scholar] [CrossRef]
- Abugri, D.; Tiimob, B.; Apalangya, V.; Pritchett, G.; McElhenney, W. Bioactive and nutritive compounds in Sorghum bicolor (Guinea corn) red leaves and their health implication. Food Chem. 2013, 138, 718–723. [Google Scholar] [CrossRef]
Disclaimer/Publisher’s Note: The statements, opinions and data contained in all publications are solely those of the individual author(s) and contributor(s) and not of MDPI and/or the editor(s). MDPI and/or the editor(s) disclaim responsibility for any injury to people or property resulting from any ideas, methods, instructions or products referred to in the content. |
© 2025 by the authors. Licensee MDPI, Basel, Switzerland. This article is an open access article distributed under the terms and conditions of the Creative Commons Attribution (CC BY) license (https://creativecommons.org/licenses/by/4.0/).