Abstract
Environmental factors, such as the duration of daylight, can significantly influence the predation ability of arthropod predators. This study aimed to examine the influence of photoperiods of 8:16 h, 12:12 h, and 16:8 h (L:D) on the predation rate of Phytoseiulus persimilis preying on Tetranychus urticae eggs under constant temperature. The daily predation rate (Dj) and the total number of prey eggs consumed (Pj) per predator increased with longer photophases, reaching their peak in the 16L:8D photoperiod. The highest net predation rate (C0) was observed under 16L:8D conditions (173.22 prey eggs/predator), while it was 170.28 and 89.77 prey eggs/predator under the 12L:12D and 8L:16D photoperiods, respectively. The finite predation rate (ω) also increased with longer photophases. The transformation rate (Qp) was highest under the 16L:8D photoperiod. Significant differences were noted in the stable predation rate (ψ), with the highest value being 5.84 prey eggs/predator under 16L:8D conditions. The number of T. urticae eggs predated by P. persimilis was higher under longer photoperiods, and the 16L:8D photoperiod can thus be recommended as optimal for the biocontrol of spider mites in controlled environments. We suggest that future research explores other effects of the light cycle on plant–herbivore–predator interactions to optimize the lighting conditions for effective spider mite control.
1. Introduction
Phytoseiulus persimilis Athias-Henriot (Acari: Phytoseiidae) is an important biocontrol agent as a specialist predator of spider mites, particularly Tetranychus urticae Koch (Acari: Tetranychidae) [1,2]. This natural enemy is employed globally in various crops to manage mite pest populations [1,3]. Although phytoseiid mites are not as voracious as insect predators, their short life cycle, high reproduction rate, and ease of mass-rearing make them a crucial species for the biocontrol of mite and insect pests in integrated pest management (IPM) programs [2,4,5]. Phytoseiulus persimilis, which is present throughout the year, easy to rear and maintain, and suitable for mass production, has been widely used for biological pest control since 1968 and currently is one of the most important arthropod biocontrol agents [6]. The successful application of P. persimilis as a biocontrol agent against T. urticae has been documented for greenhouse [7,8,9] and field crops [10,11,12,13].
Five developmental stages have been identified in P. persimilis: egg, larva, protonymph, deutonymph, and adult. The longevity of mites is influenced by prey stages and abiotic conditions such as temperature and photoperiod [14,15,16]. Several studies have examined the ecology and behavior of P. persimilis, including its life table parameters, functional responses, predation rate, and the effects of temperature on its development and reproduction, e.g., [2,15,17,18]. The predation capacity of P. persimilis was studied under constant conditions by Moghadasi et al., who reported that this mite species can kill about 700 T. urticae eggs during its life cycle [2].
Various factors can influence the activity of predators, including environmental conditions [19], the moon cycle [20,21,22], host plants [23], diet quality [24], the availability of supplementary food [25], prey age [26], and predator body size [27]. Abiotic conditions, such as the length of daylight, are known to affect the predation rate of various biocontrol agents including phytoseiid mites [19,28,29,30,31,32,33]. Assessing the biological performance of these natural enemies under various conditions is essential for evaluating their biological and behavioral attributes [34]. This is particularly important for developing effective IPM programs for crops grown in protected environments, e.g., greenhouses, where light durations can be controlled. While typical greenhouse settings range from 12 to 16 h of light per day, depending on the species being cultivated, some crops may benefit from extended light periods (up to 18–24 h) during specific growth stages, such as vegetative growth, to enhance photosynthesis and biomass accumulation. Hence, understanding the relationship between light duration and plant–herbivore–predator interactions can help in the optimization of biological control strategies.
The photoperiod is a predictable variable throughout the year. It serves as a fundamental signal of seasonal changes, triggering synchronization in the development and reproduction of arthropod species during optimal periods [35]. Various developmental stages of mites and insects are known to respond to changes in photoperiod. Additionally, the photoperiod is a crucial regulatory factor for diapause [36]. Although phytoseiid mites are blind, they can respond to light, which suggests that they have some non-visual mechanisms by which to detect light and darkness. Different photoperiods can affect their life history traits such as their development, reproduction, and survival [16]. This implies that the photophase–scotophase ratio plays an important role in regulating the biological cycles of phytoseiid mites. For example, shorter days may signal changes in season, leading to different behaviors or reproductive strategies. Numerous studies have shown the impact of the photoperiod on various biological aspects of predatory insects and mites, such as fecundity and demographic parameters [16,35,37]. The photoperiod also influences the predation rates of mites. Some species of phytoseiid mites, e.g., Galendromus occidentalis (Nesbitt), prefer predation in light [31]. Similarly, Amblyseius womersleyi (Schicha) consumed more T. urticae eggs in the light than in the dark [38]. This behavior might be related to the specific prey they target, their habitat, or their evolutionary adaptations. However, to our knowledge, information on the effects of photoperiods on P. persimilis predation behavior is currently unavailable.
The present study aimed to examine the influence of photoperiods on the predation parameters of P. persimilis. While life table parameters providing comprehensive information on the biological traits of this species have been reported recently [16], understanding their connection with predation rates is crucial for estimating the potential of this biocontrol agent used in IPM programs [39,40]. We tested the hypothesis that the length of the photophase significantly affects P. persimilis predation parameters. The obtained results are intended to determine the optimal photoperiod for maximizing the predation rate of this predatory mite for release as a biological control in vegetable greenhouses.
2. Results
The daily predation rate (Dj) of P. persimilis increased with the photoperiod (Table 1), with the maximum values of the Dj observed under 16L:8D conditions for each developmental stage. The total number of prey consumed (Pj) during the preadult stage was 15.65, 18.83, and 22.00 per predator under the 8L:16D, 12L:12D, and 16L:8D photoperiods, respectively (Table 2). The maximum Pj value in adult females was found under the 16L:8D condition (282.22 prey/predator), followed by the 12L:12D (261.29 prey/predator) and 8L:16D photoperiods (145.16 prey/predator).
Table 1.
Daily predation rate (Dj) of Phytoseiulus persimilis reared on Tetranychus urticae eggs under different photoperiods.
Table 2.
Predation rate of the different life stages (Pj) of Phytoseiulus persimilis reared on Tetranychus urticae eggs under different photoperiods.
Table 3 shows the predation parameters of P. persimilis under different photoperiods. The maximum value of the net predation rate (C0) was observed under the 16L:8D (173.22 prey/predator) and 12L:12D (170.28 prey/predator) regimes. The finite predation rate (ω) increased with the length of the photophase. The highest transformation rate (Qp) was found under 16L:8D conditions, where P. persimilis needed to consume 14.37 prey to produce one egg. As for the stable predation rate (ψ), significant differences were also observed, with the highest value (5.84 prey/predator) occurring under long-day conditions.
Table 3.
Predation parameters of Phytoseiulus persimilis adult females reared on Tetranychus urticae eggs under different photoperiods.
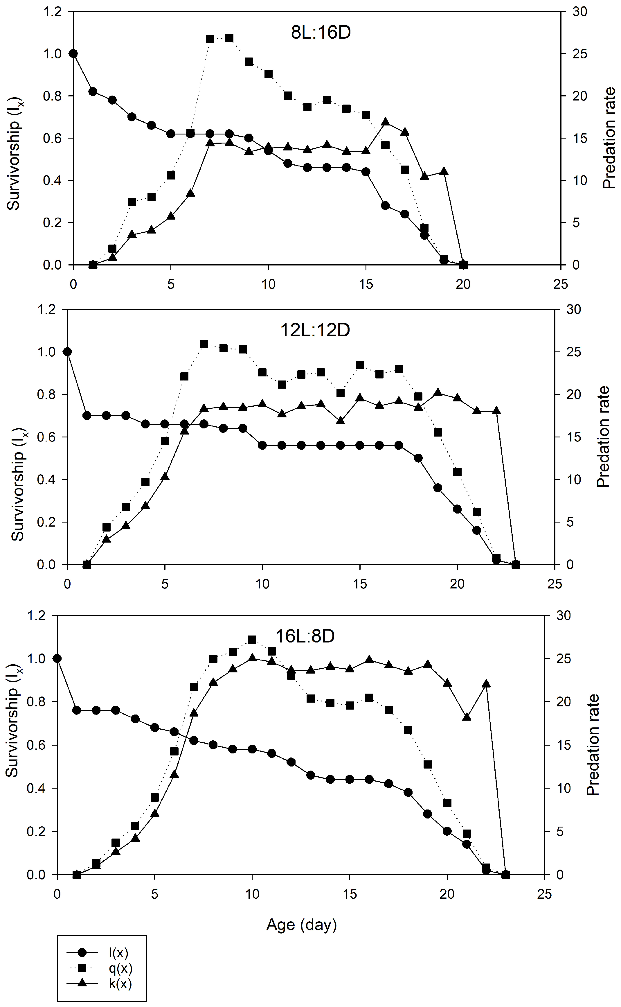
Figure 1 illustrates the effect of the photoperiod on the age-specific predation rate (kx) and age-specific net predation rate (qx) of P. persimilis fed on T. urticae eggs. Due to the influences of lx, the values calculated for the qx differed from those estimated for the kx under the same photoperiod (Figure 1). The kx values increased with the age of P. persimilis, peaking at ages 17, 19, and 16 days, with values of 17.15, 20.17, and 24.82 prey, respectively, under the 8L:16D, 12L:12D, and 16L:8D photoperiods (Figure 1). Figure 2 shows the age–stage-specific predation rate (Cxj) for different life stages of P. persimilis fed on the eggs of T. urticae under different photoperiods. This parameter represents the average number of prey consumed by P. persimilis at age x and stage j. Because the eggs exhibited no predation activity and the larvae had minimal feeding activity, the predation rates during immature development were primarily attributed to the two nymphal stages. Adult male predators exhibited relatively lower predation rates compared to females in all treatments. The maximum number of prey consumed by female P. persimilis was 18.90, 22.05, and 27.06 at ages 16, 15, and 16 days under the 8L:16D, 12L:12D, and 16L:8D photoperiods, respectively (Figure 2).
Figure 1.
Age-specific survival rate (lx), age-specific predation rate (kx), and age-specific net predation rate (qx) of Phytoseiulus persimilis reared on eggs of Tetranychus urticae under different L:D photoperiods.
Figure 2.
Age-stage-specific predation rate (cxj) of Phytoseiulus persimilis reared on eggs of Tetranychus urticae under different photoperiods.
3. Discussion
In general, P. persimilis consumed more T. urticae eggs under longer photoperiods. Our previous study demonstrated that extended photoperiods significantly improved the development and fecundity of P. persimilis, as well as its population growth rate and finite rate of increase [16]. Enhanced growth under longer photoperiods likely contributed to its predation ability, resulting in higher predation rates. The photoperiod has been widely reported to influence the predation capacity of predatory insects and mites. For instance, Wang et al. [19] demonstrated that prey consumption by fourth-instar larvae and adults of Cheilomenes sexmaculata (F.) (Coleoptera: Coccinellidae) increased significantly with longer photoperiods. Tan et al. [28] found that the prey consumption rate of Hippodamia variegata (Goeze) (Coleoptera: Coccinellidae) also increased with extended day lengths. Additionally, Kumar and Omkar [29] showed that the highest prey consumption rates for two other coccinellid predators, Coccinella septempunctata L. and Coccinella transversalis Fab., occurred under a 16L:8D photoperiod. These findings underscore the significant impact of the photoperiod on the feeding behavior and efficiency of predatory insects. Yu et al. [30] demonstrated that Harmonia axyridis Palles (Coleoptera: Coccinellidae) predates higher numbers of Myzus persicae Sulzer (Hemiptera: Aphididae) under long photoperiods compared to short photoperiods. Currently, limited information is available regarding the influence of the photoperiod on the predation parameters of predatory mites. For instance, Kazak et al. [31] reported that the highest total average number of T. urticae eggs consumed by G. occidentalis was observed in the 14L:10D photoperiod, but the authors concluded that changing the length of the light–dark periods had no consistent effect on total egg consumption. On the other hand, Neoseiulus fallacis (Garman) females were significantly more efficient predators under a 10L:14D photoperiod than mites held at photoperiods of 0L:24D, 14L:10D, and 24L:0D [32], while the predation capacity of Amblyseius swirskii Athias-Henriot was higher under complete darkness [33]. However, to our knowledge, no comparable data are currently available for P. persimilis.
A light environment with long periods of bright light may aid predators in finding and capturing their prey, indicating that increased light supplementation does not impair their predation ability. Perez-Sayas et al. [41] showed that predation behavior in P. persimilis varied daily and seasonally, with peak activity occurring during the daytime. Similarly, the results of the present study showed that both the mean daily predation rates (Dj) and total prey consumed (Pj) by nymph and adult P. persimilis feeding on T. urticae eggs increased with longer photoperiods (Table 1 and Table 2). Female P. persimilis exhibited higher predation rates compared to males, likely due to their greater energy demands during reproduction. Egg production requires substantial nutrition, which may explain the higher predation rates in females. In contrast, males likely require fewer resources to meet their metabolic needs, resulting in lower predation rates. Additionally, males may allocate more energy and time to reproductive activities, such as mate searching, rather than predation [42]. Elucidating the mechanism behind the effect of long days on the feeding behavior of P. persimilis will, however, require further experiments. Unlike the ladybirds mentioned above, in which visual cues are likely responsible for their increased predation in response to longer periods of light, the causes of increased predation in phytoseiid mites under longer light periods are less clear. The plant-mediated effect of light may be one of the mechanisms, as indicated by Maeda et al. [38], who found that A. womersleyi’s behavior coincided with the production pattern of T. urticae-induced plant volatiles, which are mainly produced in the light. The finite predation rate (ω) incorporates parameters such as the finite rate of increase (λ), age–stage-specific structure (axj), and age–stage predation rate (kx), making it a reliable metric for evaluating and comparing the potential of predators as biocontrol agents [43]. This parameter effectively assesses the predation capabilities of natural enemies [39]. This parameter revealed an increase with longer photoperiods in the present study, consistent with findings from previous studies [19,28,29,30]. Such studies establish standard parameters for effectively determining growth and development, stage differentiation, reproduction, and predatory rates in relation to age, stage, and sex [44,45]. However, population parameters alone cannot fully describe the biological performance of predators [40]. Predation parameters are also valuable indicators of the predation capacity of natural enemies under specific conditions. In the current study, the transformation rate (Qp), representing the conversion of the prey population into P. persimilis offspring, ranged from 7.99 under a 12L:12D photoperiod to 14.37 under a 16L:8D photoperiod. This parameter provides a demographic measure of the relationship between the reproduction rate (R0) and predation rate (C0) of the predator, indicating the efficiency of the prey population’s conversion into predator offspring [23]. The higher transformation rate observed under the 16L:8D photoperiod suggests that individuals achieve maximum fitness under these conditions. This finding is thus important for optimizing conditions for the commercial mass rearing of P. persimilis.
Analyzing how the predation rate of natural enemies responds to the photoperiod can significantly enhance the effectiveness of biological control strategies when releasing natural enemies for pest management. This study provides a comprehensive assessment of the predation rate of P. persimilis in response to different photoperiods. The results obtained indicate that the number of T. urticae eggs consumed by P. persimilis is higher under longer photoperiods compared to shorter ones. A long-day (16L:8D) photoperiod was identified as optimal for the release of this biocontrol agent against two-spotted spider mites in greenhouse conditions, where managing the duration of light is possible. This photoperiod not only enhances the predation rate of P. persimilis but is also disadvantageous for T. urticae development [46] and can thus be recommended as an effective IPM strategy for the management of T. urticae. On the other hand, short-day conditions inducing diapause in spider mites [47,48,49,50] represent another strategy. A short-day photoperiod (12L:12D) was also reported to lead to the highest population growth of P. persimilis [16], which could thus be recommended for the mass rearing of this predator in particular. Besides the photoperiod, light wavelength is known to affect both T. urticae [49] and P. persimilis [51], opening up other possibilities for spider mite control. A recent study by Savi et al. [52] demonstrated how timed regimes of red, blue, or far-red light-emitting diodes (LEDs) during the day or at night may affect plant traits and the performance of T. urticae and P. persimilis and concluded that timed LED regimes could be crucial in designing IPM strategies that promote both plant growth and effective biological control in controlled environments.
Future research is certainly needed to explore other effects of the light cycle on plant–prey–predator interactions to optimize lighting conditions for effective spider mite control. This research should focus on, for example, investigating the indirect, plant-mediated effects of photoperiods on T. urticae, such as those resulting from plant feeding or volatile cues. Additionally, it would be valuable to examine how the performance (i.e., life table parameters and population dynamics) of natural enemies is influenced by the indirect effects of the photoperiod, particularly those mediated through herbivores.
4. Materials and Methods
4.1. Rearing of Prey and Predators
The mite cultures were established from P. persimilis and T. urticae adults collected from bean and cucumber plants grown in commercial greenhouses (Pakdasht County in Tehran Province). The mites were maintained on detached bean leaves, placed with their abaxial side up on a moist sponge in a plastic container (dimensions: 15 × 10 × 5 cm). The sponge was moistened with tap water (approximately 80 mL). Strips of damp tissue paper surrounded the edges of the sponge to provide higher humidity and prevent the mites from escaping. A hole (diameter: 2 cm) was drilled into the container lid and covered with fine mesh cloth (pore size 0.053 μm) to ensure ventilation of cage while preventing mites from escaping. The containers were kept in a climatized chamber under constant conditions (temperature 25 ± 0.5 °C, 75 ± 5% RH, and a 16L:8D photoperiod). The leaf populated with P. persimilis was transferred to a new container every second day, and the colony of these mites that prey on T. urticae was maintained for at least three months before being used in bioassays.
4.2. Experimental Arena
Phaseolus vulgaris L. cv. Sunray seedlings were grown in plastic pots (15 cm in diameter) in a climatized chamber (temperature 25 ± 0.5 °C, 75 ± 5% RH, and a 16L:8D photoperiod) until they reached their fourth or fifth leaf stage. A leaf disk (3 cm in diameter) cut from bean leaves was placed abaxial side up on a layer of sponge moistened with 10 mL of tap water in a Petri dish (6 cm in diameter, 1 cm in height). The edges of the sponge were covered with moist tissue paper, which served as a barrier to prevent mites from escaping and maintained high humidity. To ensure ventilation of the area, a hole (2 cm in diameter) was cut in the center of the lid and covered with a fine mesh (pore size 0.053 μm), which prevented the mites from escaping.
4.3. Experimental Design
Laboratory experiments were conducted under three constant photoperiods, 8:16 h, 12:12 h, and 16:8 h (L:D), in environmental chambers (Binder KBWS 240, Tuttlingen, Germany) with 75 ± 5% relative humidity and a temperature of 25 ± 0.5 °C. To assess how the photoperiod affects the predation rate, P. persimilis eggs (<24 h old) were individually transferred into the experimental arenas. Eggs were laid by twenty pairs of 2-day-old female predators maintained under the conditions specified above. For each photoperiod treatment, the experiments started with 60 P. persimilis eggs. Hatched predatory mites were reared individually in the test arenas and fed 30 T. urticae eggs, collected from the stock culture with a fine camel hair brush, each day. The predation rate and survival of P. persimilis were checked daily, and any uneaten T. urticae eggs were removed and replaced with 30 new eggs, together with a fresh bean leaf. Upon reaching adulthood, males and females were paired for three days to allow mating. Each pair of P. persimilis was supplied with 75 T. urticae eggs daily. The predation rate and survival of the adults were recorded every 24 h until the death of the last predatory mite.
4.4. Statistical Analysis
The predation rate of P. persimilis under different photoperiods was estimated following the methodology outlined by Chi and Yang [44]. CONSUM-MSChart software (Version 26 Jun 2024) [53] and the age–stage, two-sex life table theory [54] were used for the analysis. Standard errors and variances of the calculated parameters were estimated using the bootstrap resampling method, with 100,000 iterations conducted [55]. Statistical differences between experimental groups were assessed using the paired bootstrap test. Differences with values of p < 0.05 were considered to be statistically significant. Table 4 presents the computed predation parameters and their respective equations and definitions.
Table 4.
Population parameters and their respective definitions and equations used in the estimation of predation rates.
Author Contributions
Conceptualization, H.P.; methodology, H.P.; validation, H.P.; formal analysis, H.P.; investigation, H.P.; resources, H.P.; data curation, H.P.; writing—original draft preparation, H.P. and R.Z.; writing—review and editing, H.P. and R.Z.; visualization, H.P.; funding acquisition, H.P. All authors have read and agreed to the published version of the manuscript.
Funding
This research received no external funding.
Data Availability Statement
The data that support the findings of this study are openly available on FIGSHARE at https://doi.org/10.6084/m9.figshare.28030478.v1 (accessed on 16 December 2024).
Acknowledgments
The authors express their gratitude to the Islamic Azad University, Takestan Branch, Iran, for their support in facilitating this research.
Conflicts of Interest
The authors declare no conflicts of interest.
Abbreviations
The following abbreviations are used in this manuscript:
| IPM | Integrated Pest Management |
| L:D | Light–Dark |
| RH | Relative Humidity |
References
- Mcmurtry, J.A.; Moraes, G.J.D.; Sourassou, N.F. Revision of the Lifestyles of Phytoseiid Mites (Acari: Phytoseiidae) and Implications for Biological Control Strategies. Syst. Appl. Acarol. 2013, 18, 297. [Google Scholar] [CrossRef]
- Moghadasi, M.; Allahyari, H.; Saboori, A.; Zahedi Golpayegani, A. Life Table and Predation Capacity of Phytoseiulus persimilis Athias-Henriot (Acari: Phytoseiidae) Feeding on Tetranychus urticae Koch (Acari: Tetranychidae) on Rose. JAST 2016, 18, 1279–1288. [Google Scholar]
- Broufas, G.D.; Pappas, M.L.; Koveos, D.S. Effect of Cold Exposure and Photoperiod on Diapause Termination of the Predatory Mite Euseius finlandicus (Acari: Phytoseiidae). Environ. Entomol. 2006, 35, 1216–1221. [Google Scholar] [CrossRef]
- McMurtry, J.A.; Sourassou, N.F.; Demite, P.R. The Phytoseiidae (Acari: Mesostigmata) as Biological Control Agents. In Prospects for Biological Control of Plant Feeding Mites and Other Harmful Organisms; Carrillo, D., De Moraes, G.J., Peña, J.E., Eds.; Springer International Publishing: Cham, Switzerland, 2015; pp. 133–149. ISBN 978-3-319-15041-3. [Google Scholar]
- Barbar, Z.; Skinner, M.; Parker, B.L.; Kreiter, S. Species of Phytoseiidae (Acari: Mesostigmata) Predators of Thrips and Whiteflies: A Review. Acarologia 2024, 64, 745–767. [Google Scholar] [CrossRef]
- Knapp, M.; Van Houten, Y.; Van Baal, E.; Groot, T. Use of Predatory Mites in Commercial Biocontrol: Current Status and Future Prospects. Acarologia 2018, 58, 72–82. [Google Scholar] [CrossRef]
- Zhang, Z.-Q. Mites of Greenhouses: Identification, Biology and Control; CABI Books; CABI: Wallingford, UK, 2003; ISBN 978-0-85199-590-8. [Google Scholar]
- Abou-Haidar, A.; Tawidian, P.; Sobh, H.; Skinner, M.; Parker, B.; Abou-Jawdah, Y. Efficacy of Phytoseiulus persimilis and Amblyseius swirskii for Integrated Pest Management for Greenhouse Cucumbers under Mediterranean Environmental Conditions. Can. Entomol. 2021, 153, 598–615. [Google Scholar] [CrossRef]
- Gerson, U.; Weintraub, P.G. Mites for the Control of Pests in Protected Cultivation. Pest Manag. Sci. 2007, 63, 658–676. [Google Scholar] [CrossRef] [PubMed]
- Sekine, T. Biological Control and IPM in Strawberry Fields—Current Status and Future of IPM in Miyagi Prefecture, Japan. Jpn. J. Appl. Entomol. Zool. 2019, 63, 79–95. [Google Scholar] [CrossRef]
- Tiftikçi, P.; Kök, Ş.; Kasap, İ. Biological Control of Twospotted Spider Mites [Tetranychus urticae Koch (Acari: Tetranychidae)] Using Phytoseiulus persimilis Athias-Henriot (Acari: Phytoseidae) at Different Ratios of Release on Field-Grown Tomatos. Biol. Control 2020, 151, 104404. [Google Scholar] [CrossRef]
- Tiftikçi, P.; Kök, Ş.; Kasap, İ. The Effect of Host Plant on the Biological Control Efficacy of the Predatory Mite, Phytoseiulus persimilis Athias-Henriot against Two-Spotted Spidermites, Tetranychus urticae Koch on Field-Grown Vegetables. Crop Prot. 2022, 158, 106012. [Google Scholar] [CrossRef]
- Abad-Moyano, R.; Pina, T.; Pérez-Panadés, J.; Carbonell, E.A.; Urbaneja, A. Efficacy of Neoseiulus californicus and Phytoseiulus persimilis in Suppression of Tetranychus urticae in Young Clementine Plants. Exp. Appl. Acarol. 2010, 50, 317–328. [Google Scholar] [CrossRef] [PubMed]
- Awad, S.; Mostafa, E.; Mahrous, M.; Salem, A. Prey Consumption and Fecundity of Phytoseiulus persimilis Athias-Henriot Fed on Different Stages and Densities of Tetranychus urticae Koch. (Acari: Phytoseiidae: Tetranychidae) under Laboratory Conditions. Zagazig J. Agric. Res. 2019, 46, 43–50. [Google Scholar] [CrossRef]
- Guadalupe Rojas, M.; Morales-Ramos, J.A.; Riddick, E.W. Determining an Optimal Temperature Range for Reproduction of Phytoseiulus persimilis, a Predator of the Two-Spotted Spider Mite Tetranychus urticae. Biopest. Int. 2013, 9, 101–112. [Google Scholar]
- Pakyari, H.; Arbab, A.; Sedaratian-Jahromi, A. The Influence of Photoperiod on Development and Population Growth Performance of the Phytoseiulus persimilis Fed on Tetranychus urticae. Int. J. Acarol. 2024, 50, 362–369. [Google Scholar] [CrossRef]
- Amano, H.; Chant, D.A. Life History and Reproduction of Two Species of Predacious Mites, Phytoseiulus persimilis Athias-Henriot and Amblyseius andersoni (Chant) (Acarina: Phytoseiidae). Can. J. Zool. 1977, 55, 1978–1983. [Google Scholar] [CrossRef]
- Abad-Moyano, R.; Pina, T.; Ferragut, F.; Urbaneja, A. Comparative Life-History Traits of Three Phytoseiid Mites Associated with Tetranychus urticae (Acari: Tetranychidae) Colonies in Clementine Orchards in Eastern Spain: Implications for Biological Control. Exp. Appl. Acarol. 2009, 47, 121–132. [Google Scholar] [CrossRef] [PubMed]
- Wang, S.; Tan, X.-L.; Guo, X.-J.; Zhang, F. Effect of Temperature and Photoperiod on the Development, Reproduction, and Predation of the Predatory Ladybird Cheilomenes sexmaculata (Coleoptera: Coccinellidae). J. Econ. Entomol. 2013, 106, 2621–2629. [Google Scholar] [CrossRef] [PubMed]
- Mikulecky, M.; Zemek, R. Does the Moon Influence the Predatory Activity of Mites? Experientia 1992, 48, 530–532. [Google Scholar] [CrossRef] [PubMed]
- Bissattini, A.M.; Buono, V.; Vignoli, L. Moonlight Rather than Moon Phase Influences Activity and Habitat Use in an Invasive Amphibian Predator and Its Native Amphibian Prey. Acta Oecol. 2020, 103, 103529. [Google Scholar] [CrossRef]
- Pratas-Santiago, L.P.; Gonçalves, A.L.S.; Da Maia Soares, A.M.V.; Spironello, W.R. The Moon Cycle Effect on the Activity Patterns of Ocelots and Their Prey. J. Zool. 2016, 299, 275–283. [Google Scholar] [CrossRef]
- Azadi-Qoort, A.; Sedaratian-Jahromi, A. Assessing Predation Parameters of Predatory Mite Typhlodromus bagdasarjani (Acari: Phytoseiidae) on Different Host Plants. Persian J. Acarol. 2024, 13, 131–145. [Google Scholar] [CrossRef]
- Solano, Y.; Delgado, N.; Morales, J.; Vasquez, C. Biological Studies and Life Table of Cycloneda sanguinea (L.) (Coleoptera: Coccinellidae) on Aphis craccivora Koch (Hemiptera: Aphididae). Entomotropica 2016, 31, 267–275. [Google Scholar]
- Khanamani, M.; Fathipour, Y.; Hajiqanbar, H.; Sedaratian, A. Two-Spotted Spider Mite Reared on Resistant Eggplant Affects Consumption Rate and Life Table Parameters of Its Predator, Typhlodromus bagdasarjani (Acari: Phytoseiidae). Exp. Appl. Acarol. 2014, 63, 241–252. [Google Scholar] [CrossRef]
- Fathipour, Y.; Karimi, M.; Farazmand, A.; Talebi, A.A. Age-Specific Functional Response and Predation Capacity of Phytoseiulus persimilis (Phytoseiidae) on the Two-Spotted Spider Mite. Acarologia 2018, 58, 31–40. [Google Scholar] [CrossRef]
- Vangansbeke, D.; Gobin, B.; Tirry, L.; De Clercq, P. Are Larger Phytoseiids Better Biocontrol Agents? In Proceedings of the Fifth Meeting of the IOBC Working Group “Integrated Control of Mite Pests”, Castello de la Plana, Spain, 12–15 September 2015; Broufas, G., Knapp, M., De Clercq, P., Walzer, A., Zemek, R., Palevsky, E., Eds.; International Organization for Biological and Integrated Control of Noxious Animals and Plants (OIBC/OILB), West Palaearctic Regional Section (WPRS/SROP): Dijon, France, 2016; Volume 120, pp. 73–78. [Google Scholar]
- Tan, X.; Zhao, J.; Zhang, F.; Wang, S. Light Dependency of Life Trails, Reproduction, Locomotion, and Predation in the Polyphagous Ladybird Hippodamia variegata. Entomol. Exp. Appl. 2014, 152, 200–208. [Google Scholar] [CrossRef]
- Kumar, B.; Omkar, O. Temperature and Photoperiod Influence Prey Consumption and Utilization by Two Sympatric Coccinella Species (Coleoptera: Coccinellidae) in Conspecific and Heterospecific Combinations. Acta Entomol. Sin. 2015, 58, 297–307. [Google Scholar]
- Yu, H.; Yuan, X.; Xie, Z.; Zhang, Q.; Zheng, C.; Sun, L. A Long Photoperiod Promoted the Development, Reproduction, and Predation of Harmonia axyridis Pallas (Coleoptera: Coccinellidae) at an Average Greenhouse Temperature during the Winter. Insects 2024, 15, 214. [Google Scholar] [CrossRef] [PubMed]
- Kazak, C.; Cone, W.W.; Wright, L.C. Influence of Variable Photoperiods on the Feeding Activity and Fecundity of Galendromus occidentalis (Nesbitt) (Acari: Phytoseiidae) under Laboratory Conditions. J. Pest Sci. 2004, 77, 131–135. [Google Scholar] [CrossRef]
- Smith, J.C.; Newsom, L.D. Laboratory Evaluation of Amblyseius fallacis as a Predator of Tetranychid Mites. J. Econ. Entomol. 1970, 63, 1876–1878. [Google Scholar] [CrossRef]
- Yousef, A.E.-T.A.; El-keifl, A.H.; Metwally, A.M. Zur Wirkung von Temperatur und Photoperiode auf die Entwicklung, Ernährung und Eiablage der Raubmilbe Amblyseius swirskii Ath.-Henr. (Acari, Gamasida, Phytoseiidae). Anz. Schadlingskde Pflanzenschutz Umweltschutz 1982, 55, 107–109. [Google Scholar] [CrossRef]
- Fathipour, Y.; Maleknia, B. Mite Predators. In Ecofriendly Pest Management for Food Security; Elsevier: Amsterdam, The Netherlands, 2016; pp. 329–366. ISBN 978-0-12-803265-7. [Google Scholar]
- Pakyari, H.; McNeill, M.R. Effects of Photoperiod on Development and Demographic Parameters of the Predatory Thrips Scolothrips longicornis Fed on Tetranychus urticae. Bull. Entomol. Res. 2020, 110, 620–629. [Google Scholar] [CrossRef] [PubMed]
- Omkar; Pathak, S. Effects of Different Photoperiods and Wavelengths of Light on the Life-history Traits of an Aphidophagous Ladybird, Coelophora saucia (Mulsant). J. Appl. Entomol. 2006, 130, 45–50. [Google Scholar] [CrossRef]
- Whittaker, M.S.; Kirk, W.D.J. The Effect of Photoperiod on Walking, Feeding, and Oviposition in the Western Flower Thrips. Entomol. Exp. Appl. 2004, 111, 209–214. [Google Scholar] [CrossRef]
- Maeda, T.; Takabayashi, J.; Yano, S.; Takafuji, A. Effects of Light on the Tritrophic Interaction between Kidney Bean Plants, Two-Spotted Spider Mites and Predatory Mites, Amblyseius womersleyi (Acari: Phytoseiidae). Exp. Appl. Acarol. 2000, 24, 415–425. [Google Scholar] [CrossRef]
- Farhadi, R.; Gholizadeh, M.; Chi, H.; Mou, D.-F.; Allahyari, H.; Yu, J.-Z.; Huang, Y.-B.; Yang, T.-C. Finite Predation Rate: A Novel Parameter for the Quantitative Measurement of Predation Potential of Predator at Population Level. Nat. Preced. 2011. [Google Scholar] [CrossRef]
- Tuan, S.-J.; Yeh, C.-C.; Atlihan, R.; Chi, H. Linking Life Table and Predation Rate for Biological Control: A Comparative Study of Eocanthecona furcellata (Hemiptera: Pentatomidae) Fed on Spodoptera litura (Lepidoptera: Noctuidae) and Plutella xylostella (Lepidoptera: Plutellidae). J. Econ. Entomol. 2016, 109, 13–24. [Google Scholar] [CrossRef]
- Pérez-Sayas, C.; Aguilar-Fenollosa, E.; Hurtado, M.A.; Jaques, J.A.; Pina, T. When Do Predatory Mites (Phytoseiidae) Attack? Understanding Their Diel and Seasonal Predation Patterns. Insect Sci. 2018, 25, 1056–1064. [Google Scholar] [CrossRef]
- Sabelis, M.W. Predation on Spider Mites. In Spider Mites: Their Biology, Natural Enemies, and Control; Helle, W., Sabelis, M.W., Eds.; World crop pests; Elsevier: Amsterdam, The Netherlands, 1985; pp. 103–129. ISBN 978-0-444-42372-6. [Google Scholar]
- Riahi, E.; Fathipour, Y.; Talebi, A.A.; Mehrabadi, M. Linking Life Table and Consumption Rate of Amblyseius swirskii (Acari: Phytoseiidae) in Presence and Absence of Different Pollens. Ann. Entomol. Soc. Am. 2016, 110, saw091. [Google Scholar] [CrossRef]
- Chi, H.; Yang, T.-C. Two-Sex Life Table and Predation Rate of Propylaea japonica Thunberg (Coleoptera: Coccinellidae) Fed on Myzus persicae (Sulzer) (Homoptera: Aphididae). Environ. Entomol. 2003, 32, 327–333. [Google Scholar] [CrossRef]
- Yu, J.-Z.; Chi, H.; Chen, B.-H. Comparison of the Life Tables and Predation Rates of Harmonia dimidiata (F.) (Coleoptera: Coccinellidae) Fed on Aphis gossypii Glover (Hemiptera: Aphididae) at Different Temperatures. Biol. Control 2013, 64, 1–9. [Google Scholar] [CrossRef]
- Yang, Z.; Shen, X.; Ni, J.; Xie, D.; Da, A.; Luo, Y. Effect of Photoperiods on Development and Acaricide Susceptibility in the Two-Spotted Spider Mite, Tetranychus urticae. Exp. Appl. Acarol. 2020, 80, 17–27. [Google Scholar] [CrossRef] [PubMed]
- Suzuki, T.; Fukunaga, Y.; Amano, H.; Takeda, M.; Goto, E. Effects of Light Quality and Intensity on Diapause Induction in the Two-Spotted Spider Mite, Tetranychus urticae. Appl. Entomol. Zool. 2008, 43, 213–218. [Google Scholar] [CrossRef]
- Shah, M.; Suzuki, T.; Ghazy, N.A.; Amano, H.; Ohyama, K. Effect of Photoperiod on Immature Development and Diapause Induction in the Kanzawa Spider Mite, Tetranychus kanzawai (Acari: Tetranychidae). Exp. Appl. Acarol. 2011, 55, 183–190. [Google Scholar] [CrossRef] [PubMed]
- Suzuki, T.; Takeda, M. Utilizing LED Technology for Arthropod Pest Control. In Handbook of Light Emitting and Schottky Diode Research; Chen, N., Ed.; Nova Science Pub Inc.: Hauppauge, NY, USA, 2009; p. 359. ISBN 978-1-60692-462-4. [Google Scholar]
- Goto, S.G. Physiological and Molecular Mechanisms Underlying Photoperiodism in the Spider Mite: Comparisons with Insects. J. Comp. Physiol. B 2016, 186, 969–984. [Google Scholar] [CrossRef] [PubMed]
- Pakyari, H.; Zemek, R. Effects of Visible Light Wavelength on Development and Demographic Parameters of Phytoseiulus persimilis (Acari: Phytoseiidae). Syst. Appl. Acarol. 2023, 28, 1843–1854. [Google Scholar] [CrossRef]
- Savi, P.; Hall, S.; Hernandez, M.; Mantri, A.; Kliebenstein, D.; Nansen, C. Effects of Timed LED Regimes on Tomato Plant Traits, Performance of Two-spotted Spider Mites, and Predatory Mites (Phytoseiulus persimilis). Pest Manag. Sci. 2025. Early View. [Google Scholar] [CrossRef]
- Chi, H. CONSUME-MSChart: A Computer Program for Consumption Rate Based on the Age Stage, Two-Sex Life Table Analysis. Available online: https://lifetablechi.com/software/ (accessed on 18 February 2025).
- Chi, H.; Liu, H. Two New Methods for the Study of Insect Population Ecology. Bull. Inst. Zool. Acad. Sin. 1985, 24, 225–240. [Google Scholar]
- Huang, Y.; Chi, H. Age-stage, Two-sex Life Tables of Bactrocera cucurbitae (Coquillett) (Diptera: Tephritidae) with a Discussion on the Problem of Applying Female Age-specific Life Tables to Insect Populations. Insect Sci. 2012, 19, 263–273. [Google Scholar] [CrossRef]
Disclaimer/Publisher’s Note: The statements, opinions and data contained in all publications are solely those of the individual author(s) and contributor(s) and not of MDPI and/or the editor(s). MDPI and/or the editor(s) disclaim responsibility for any injury to people or property resulting from any ideas, methods, instructions or products referred to in the content. |
© 2025 by the authors. Licensee MDPI, Basel, Switzerland. This article is an open access article distributed under the terms and conditions of the Creative Commons Attribution (CC BY) license (https://creativecommons.org/licenses/by/4.0/).

