Solitary Wave Interactions with an External Periodic Force: The Extended Korteweg-de Vries Framework
Abstract
1. Introduction
2. The Forced Extended Korteweg-de Vries Equation
3. Results
3.1. Asymptotic Theory
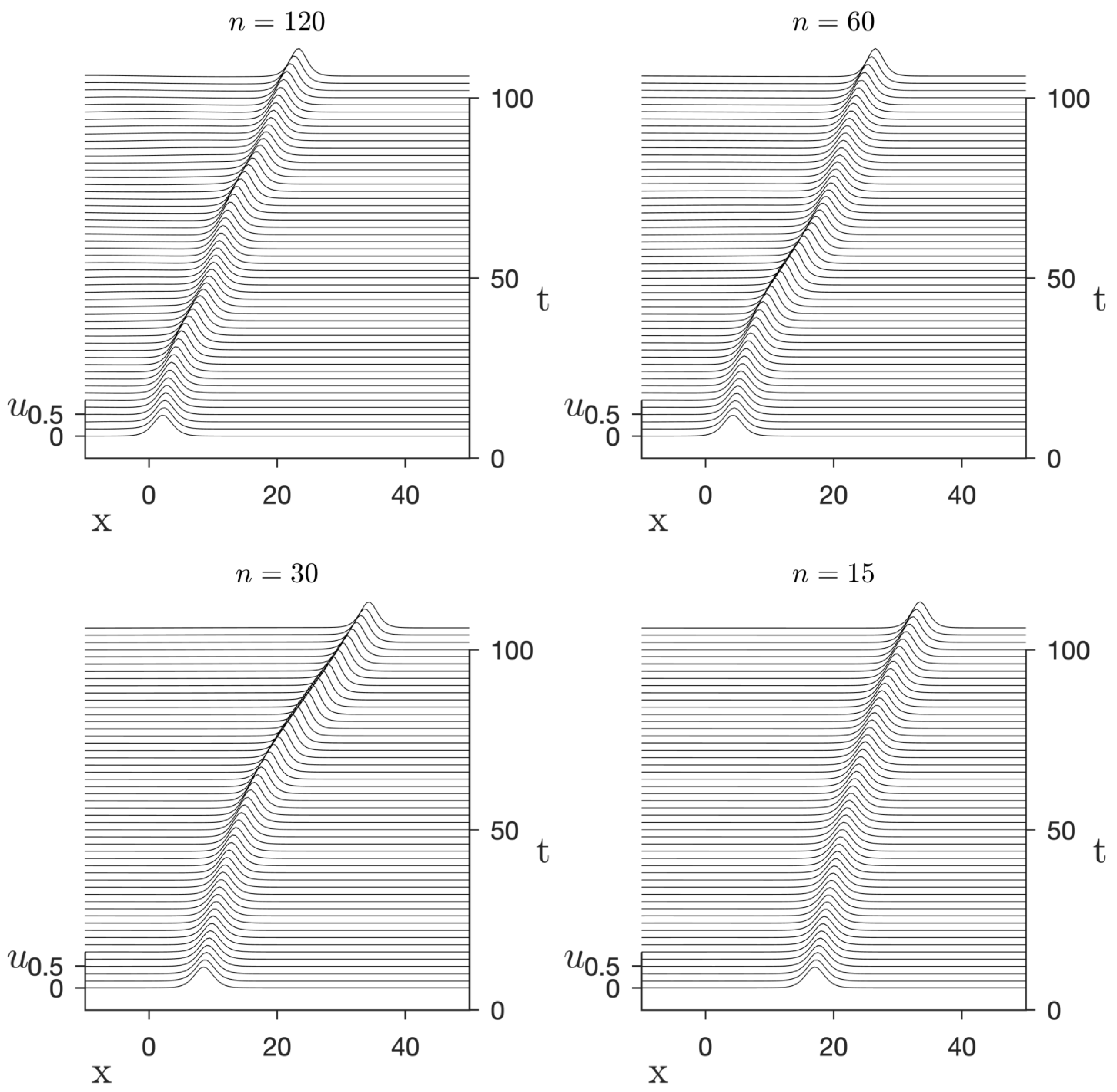
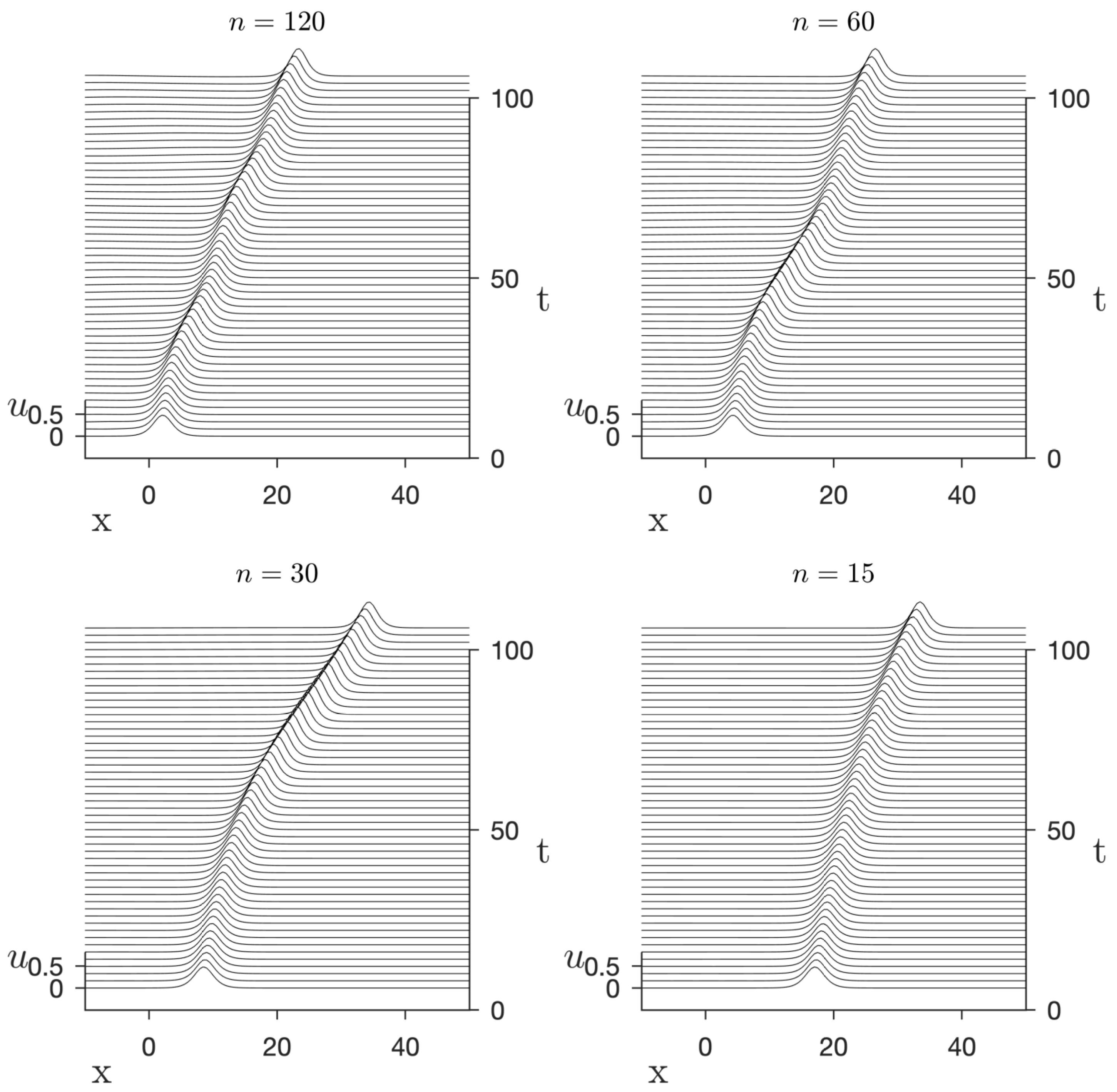
3.2. Numerical Results
4. Discussion
5. Conclusions
Author Contributions
Funding
Informed Consent Statement
Data Availability Statement
Conflicts of Interest
References
- Baines, S. Topographic Effects in Stratified Flows; Cambridge University Press: Cambridge, UK, 1995. [Google Scholar]
- Lee, S.; Whang, S. Trapped supercritical waves for the forced KdV equation with two bumps. Appl. Math. Model. 2015, 39, 2649–2660. [Google Scholar] [CrossRef]
- Lee, S. Dynamics of trapped solitary waves for the forced KdV equation. Symmetry 2018, 10, 129. [Google Scholar] [CrossRef]
- Kim, H.; Choi, H. A study of wave trapping between two obstacles in the forced Korteweg-de Vries equation. J. Eng. Math. 2018, 108, 197–208. [Google Scholar] [CrossRef]
- Ermakov, A.; Stepanyants, Y. Soliton interaction with external forcing within the Korteweg-de Vries equation. Chaos 2019, 29, 013117. [Google Scholar] [CrossRef] [PubMed]
- Flamarion, M.V.; Ribeiro, R., Jr. Solitary water wave interactions for the Forced Korteweg-de Vries equation. Comp. Appl. Math. 2021, 40, 312. [Google Scholar] [CrossRef]
- Flamarion, M.V.; Ribeiro, R., Jr. Gravity-capillary flows over obstacles for the fifth-order forced Korteweg-de Vries equation. J. Eng. Math. 2021, 129, 1–17. [Google Scholar] [CrossRef]
- Flamarion, M.V. Generation of trapped depression solitary waves in gravity-capillary flows over an obstacle. Comp. Appl. Math. 2022, 41, 31. [Google Scholar] [CrossRef]
- Flamarion, M.V.; Ribeiro, R., Jr. Trapped solitary-wave interaction for Euler equations with low-pressure region. Comp. Appl. Math. 2021, 40, 20. [Google Scholar] [CrossRef]
- Flamarion, M.V.; Pelinovsky, E. Soliton interactions with an external forcing: The modified Korteweg-de Vries framework. Chaos Solitons Fractals 2022, 165, 112889. [Google Scholar] [CrossRef]
- Flamarion, M.V. Waves generated by a submerged topography for the Whitham equation. Int. J. Appl. Comput. Math. 2022, 8, 257. [Google Scholar] [CrossRef]
- Flamarion, M.V. Trapped waves generated by an accelerated moving disturbance for the Whitham equation. Partial. Differ. Equ. Appl. Math. 2022, 5, 100356. [Google Scholar] [CrossRef]
- Grimshaw, R.; Pelinovsky, E.; Tian, X. Interaction of a solitary wave with an external force. Phys. D 1994, 77, 405–433. [Google Scholar] [CrossRef]
- Grimshaw, R.; Pelinovsky, E.; Pavel, S. Interaction of a solitary wave with an external force moving with variable speed. Stud. Appl. Math. 1996, 142, 433–464. [Google Scholar]
- Malomed, B.A. Emission of radiation by a KdV soliton in a periodic forcing. Phys. Lett. A 1993, 172, 373–377. [Google Scholar] [CrossRef]
- Grimshaw, R.; Malomed, B.A.; Tian, X. Dynamics of a KdV soliton due to periodic forcing. Phys. Lett. A 1993, 179, 291–298. [Google Scholar] [CrossRef]
- Grimshaw, R.; Pelinovsky, E. Interaction of a solitary wave with an external force in the extended Korteweg-de Vries equation. Int. J. Bifurcat. Chaos 2002, 12, 2409–2419. [Google Scholar] [CrossRef]
- Grimshaw, R.; Pelinovsky, E.; Talipova, T.; Kurkina, O. Internal solitary waves: Propagation, deformation and disintegration. Nonlinear Process. Geophys. 2010, 17, 633–649. [Google Scholar] [CrossRef]
- Frassu, S.; Viglialoro, G. Boundedness criteria for a class of indirect (and direct) chemotaxis- consumption models in high dimensions. Appl. Math. Lett. 2022, 132, 108108. [Google Scholar] [CrossRef]
- Frassu, S.; Galván, R.R.; Viglialoro, G. Uniform in time L∞-estimates for an attraction-repulsion chemotaxis model with double saturation. Discret. Contin. Dyn. Syst.-B 2023, 28, 1886–1904. [Google Scholar] [CrossRef]
- Trefethen, L.N. Spectral Methods in MATLAB; SIAM: Philadelphia, PA, USA, 2001. [Google Scholar]








Publisher’s Note: MDPI stays neutral with regard to jurisdictional claims in published maps and institutional affiliations. |
© 2022 by the authors. Licensee MDPI, Basel, Switzerland. This article is an open access article distributed under the terms and conditions of the Creative Commons Attribution (CC BY) license (https://creativecommons.org/licenses/by/4.0/).
Share and Cite
Flamarion, M.V.; Pelinovsky, E. Solitary Wave Interactions with an External Periodic Force: The Extended Korteweg-de Vries Framework. Mathematics 2022, 10, 4538. https://doi.org/10.3390/math10234538
Flamarion MV, Pelinovsky E. Solitary Wave Interactions with an External Periodic Force: The Extended Korteweg-de Vries Framework. Mathematics. 2022; 10(23):4538. https://doi.org/10.3390/math10234538
Chicago/Turabian StyleFlamarion, Marcelo V., and Efim Pelinovsky. 2022. "Solitary Wave Interactions with an External Periodic Force: The Extended Korteweg-de Vries Framework" Mathematics 10, no. 23: 4538. https://doi.org/10.3390/math10234538
APA StyleFlamarion, M. V., & Pelinovsky, E. (2022). Solitary Wave Interactions with an External Periodic Force: The Extended Korteweg-de Vries Framework. Mathematics, 10(23), 4538. https://doi.org/10.3390/math10234538

