Financial Integration and International Dynamics: The Role of Volatility Shocks
Abstract
:1. Introduction
2. Model
2.1. Households
2.2. Firms
2.3. Commercial Banks
2.4. Equilibrium
2.5. Calibration and Solution Method
3. Quantitative Results
3.1. Impulse Response Analysis
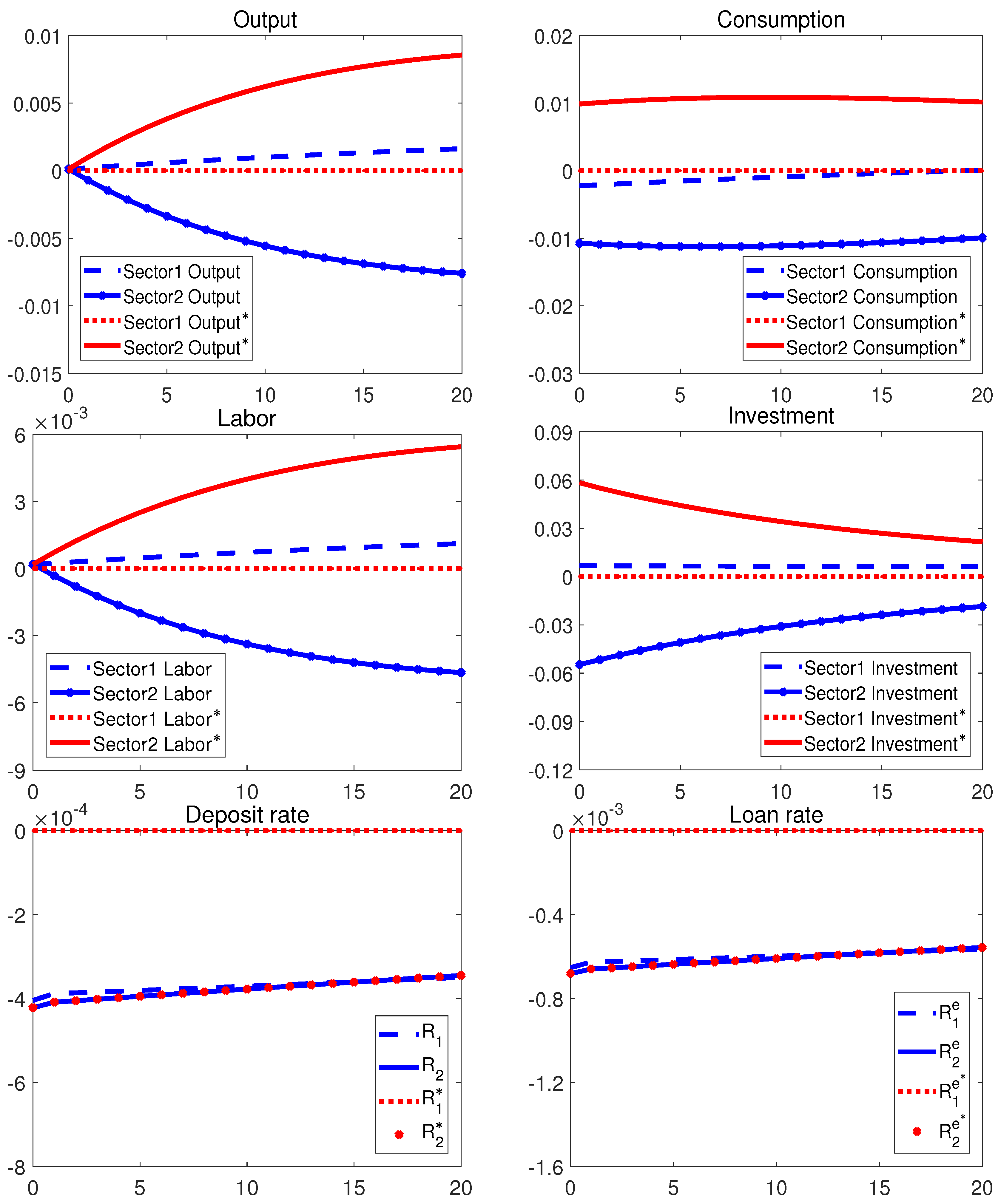
3.1.1. Responses to Productivity Volatility Shocks
3.1.2. Responses to Financial Volatility Shocks
3.1.3. Discussion on the Effect of Financial Integration
3.2. Regressions Analysis of Simulated Data
3.3. Simulated Moments
| Data | Prod. Shock | Prod. + Financial | Prod.+ Prod. Vol. | Prod.+ Financial Financial Vol. | All | |
|---|---|---|---|---|---|---|
| (1) | (2) | (3) | (4) | (5) | (6) | |
| Percentage Standard Deviation | ||||||
| Output | 1.32 | 1.32 | 1.32 | 1.47 | 1.34 | 1.47 |
| Standard Deviation Relative to Output | ||||||
| Consumption | 0.62 | 0.64 | 0.86 | 0.64 | 0.89 | 0.88 |
| Investment | 2.85 | 2.19 | 2.27 | 2.22 | 2.29 | 2.31 |
| Labor | 0.66 | 0.62 | 0.82 | 0.62 | 0.84 | 0.84 |
| Net Export | 0.40 | 0.29 | 0.41 | 0.32 | 0.41 | 0.44 |
| Cross-Correlation with Output | ||||||
| Consumption | 0.78 | 0.99 | 0.90 | 0.99 | 0.90 | 0.91 |
| Investment | 0.94 | 0.94 | 0.91 | 0.93 | 0.91 | 0.90 |
| Labor | 0.84 | 1.00 | 0.91 | 1.00 | 0.91 | 0.92 |
| Net Export | −0.44 | −0.25 | −0.12 | −0.26 | −0.12 | −0.14 |
| Cross-Country Correlations | ||||||
| Consumption | 0.49 | 0.25 | 0.51 | 0.22 | 0.52 | 0.48 |
| Output | 0.20 | 0.29 | 0.35 | 0.27 | 0.36 | 0.33 |
| Investment | 0.35 | −0.08 | 0.09 | −0.13 | 0.11 | 0.05 |
| Labor | 0.38 | 0.28 | 0.52 | 0.26 | 0.53 | 0.50 |
4. Sensitivity Analysis
4.1. Autocorrelation Coefficient of Volatility Shocks
4.2. Risk Aversion Coefficient
4.3. Intertemporal Elasticity of Substitution
4.4. Welfare Analysis of Financial Integration
5. Conclusions
Funding
Institutional Review Board Statement
Informed Consent Statement
Data Availability Statement
Conflicts of Interest
Appendix A


References
- Fernández-Villaverde, J.; Guerrón-Quintana, P.; Rubio-Ramírez, J.F.; Uribe, M. Risk matters: The real effects of volatility shocks. Am. Econ. Rev. 2011, 101, 2530–2561. [Google Scholar] [CrossRef]
- Christiano, L.J.; Motto, R.; Rostagno, M. Risk shocks. Am. Econ. Rev. 2014, 104, 27–65. [Google Scholar] [CrossRef]
- Fogli, A.; Perri, F. Macroeconomic volatility and external imbalances. J. Monet. Econ. 2015, 69, 1–15. [Google Scholar] [CrossRef]
- Kollmann, R. International business cycles and risk sharing with uncertainty shocks and recursive preferences. J. Econ. Dyn. Control. 2016, 72, 115–124. [Google Scholar] [CrossRef]
- Colacito, R.; Croce, M.M.; Liu, Y.; Shaliastovich, I. Volatility Risk Pass-Through; Technical Report; National Bureau of Economic Research: Cambridge, MA, USA, 2018. [Google Scholar]
- Arellano, C.; Bai, Y.; Kehoe, P.J. Financial frictions and fluctuations in volatility. J. Polit. Econ. 2019, 127, 2049–2103. [Google Scholar] [CrossRef]
- Backus, D.K.; Kehoe, P.J.; Kydland, F.E. International real business cycles. J. Polit. Econ. 1992, 100, 745–775. [Google Scholar] [CrossRef]
- Baxter, M.; Crucini, M. Business cycles and the asset structure of foreign trade. Int. Econ. Rev. 1995, 36, 821–854. [Google Scholar] [CrossRef]
- Heathcote, J.; Perri, F. Financial globalization and real regionalization. J. Econ. Theory. 2004, 119, 207–243. [Google Scholar] [CrossRef]
- Kose, M.A.; Yi, K.M. Can the standard international business cycle model explain the relation between trade and comovement? J. Int. Econ. 2006, 68, 267–295. [Google Scholar] [CrossRef]
- Devereux, M.B.; Yetman, J. Leverage constraints and the international transmission of shocks. J. Money Credit Bank. 2010, 42, 71–105. [Google Scholar] [CrossRef]
- Devereux, M.B.; Sutherland, A. Country portfolios in open economy macro-models. J. Eur. Econ. Assoc. 2011, 9, 337–369. [Google Scholar] [CrossRef]
- Kollmann, R.; Enders, Z.; Müller, G.J. Global banking and international business cycles. Eur. Econ. Rev. 2011, 55, 407–426. [Google Scholar] [CrossRef]
- Kalemli-Ozcan, S.; Papaioannou, E.; Perri, F. Global banks and crisis transmission. J. Int. Econ. 2013, 89, 495–510. [Google Scholar] [CrossRef]
- Perri, F.; Quadrini, V. International recessions. Am. Econ. Rev. 2018, 108, 935–984. [Google Scholar] [CrossRef]
- Yao, W. International business cycles and financial frictions. J. Int. Econ. 2019, 118, 283–291. [Google Scholar] [CrossRef]
- Devereux, M.B.; Yu, C. International financial integration and crisis contagion. Rev. Econ. Stud. 2020, 87, 1174–1212. [Google Scholar] [CrossRef]
- Tang, A.; Yao, W. The effects of financial integration during crises. J. Int. Money Financ. 2022, 124, 102613. [Google Scholar] [CrossRef]
- Fernández-Villaverde, J.; Rubio-Ramírez, J. Macroeconomics and Volatility: Data, Models, and Estimation; Technical Report; National Bureau of Economic Research: Cambridge, MA, USA, 2010. [Google Scholar]
- Backus, D.; Coleman, C.; Ferriere, A.; Lyon, S. Pareto weights as wedges in two-country models. J. Econ. Dyn. Control. 2016, 72, 98–110. [Google Scholar] [CrossRef]
- Hoffmann, M.; Krause, M.U.; Tillmann, P. International capital flows, external assets and output volatility. J. Int. Econ. 2019, 117, 242–255. [Google Scholar] [CrossRef]
- Silva-Yanez, L.E. Essays on Macroeconomic Uncertainty and Capital Flows; City University of New York: New York, NY, USA, 2020. [Google Scholar]
- Benigno, G.; Benigno, P.; Nisticò, S. Risk, monetary policy, and the exchange rate. NBER Macroecon. Annu. 2012, 26, 247–309. [Google Scholar] [CrossRef]
- Mumtaz, H.; Theodoridis, K. The international transmission of volatility shocks: An empirical analysis. J. Eur. Econ. Assoc. 2015, 13, 512–533. [Google Scholar] [CrossRef]
- Popescu, A.; Rafael Smets, F. Uncertainty, risk-taking, and the business cycle in Germany. CESifo Econ. Stud. 2010, 56, 596–626. [Google Scholar] [CrossRef]
- Carrière-Swallow, Y.; Céspedes, L.F. The impact of uncertainty shocks in emerging economies. J. Int. Econ. 2013, 90, 316–325. [Google Scholar] [CrossRef]
- Gilchrist, S.; Sim, J.W.; Zakrajšek, E. Uncertainty, Financial Frictions, and Investment Dynamics; Technical Report; National Bureau of Economic Research: Cambridge, MA, USA, 2014. [Google Scholar]
- Caldara, D.; Fuentes-Albero, C.; Gilchrist, S.; Zakrajšek, E. The macroeconomic impact of financial and uncertainty shocks. Eur. Econ. Rev. 2016, 88, 185–207. [Google Scholar] [CrossRef]
- Lhuissier, S.; Tripier, F. Do Uncertainty Shocks Always Matter for Business Cycles; Centre d’Etudes Prospectives et d’Informations Internationales Research Center: Paris, France, 2016. [Google Scholar]
- Alessandri, P.; Mumtaz, H. Financial regimes and uncertainty shocks. J. Monet. Econ. 2019, 101, 31–46. [Google Scholar] [CrossRef]
- Gete, P.; Melkadze, G. Aggregate volatility and international dynamics. The role of credit supply. J. Int. Econ. 2018, 111, 143–158. [Google Scholar] [CrossRef]
- Obstfeld, M. International Capital Mobility in the 1990s; Technical Report; National Bureau of Economic Research: Cambridge, MA, USA, 1993. [Google Scholar]
- Van Wincoop, E. Welfare gains from international risksharing. J. Monet. Econ. 1994, 34, 175–200. [Google Scholar] [CrossRef]
- Asdrubali, P.; Sørensen, B.E.; Yosha, O. Channels of interstate risk sharing: United States 1963–1990. Q. J. Econ. 1996, 111, 1081–1110. [Google Scholar] [CrossRef]
- Van Wincoop, E. How big are potential welfare gains from international risksharing? J. Int. Econ. 1999, 47, 109–135. [Google Scholar] [CrossRef]
- Kalemli-Ozcan, S.; Sørensen, B.E.; Yosha, O. Economic integration, industrial specialization, and the asymmetry of macroeconomic fluctuations. J. Int. Econ. 2001, 55, 107–137. [Google Scholar] [CrossRef]
- Kose, M.A.; Prasad, E.S.; Terrones, M.E. How does globalization affect the synchronization of business cycles? Am. Econ. Rev. 2003, 93, 57–62. [Google Scholar] [CrossRef]
- Asdrubali, P.; Kim, S. Dynamic risksharing in the United States and Europe. J. Monet. Econ. 2004, 51, 809–836. [Google Scholar] [CrossRef]
- Rangvid, J.; Santa-Clara, P.; Schmeling, M. Capital market integration and consumption risk sharing over the long run. J. Int. Econ. 2016, 103, 27–43. [Google Scholar] [CrossRef]
- Bai, Y.; Zhang, J. Financial integration and international risk sharing. J. Int. Econ. 2012, 86, 17–32. [Google Scholar] [CrossRef]
- Kim, S.; Kim, S.H.; Wang, Y. Financial integration and consumption risk sharing in East Asia. Jpn. World Econ. 2006, 18, 143–157. [Google Scholar] [CrossRef]
- Shin, K.; Sohn, C.H. Trade and financial integration in East Asia: Effects on co-movements. World Econ. 2006, 29, 1649–1669. [Google Scholar] [CrossRef]
- Sørensen, B.E.; Wu, Y.T.; Yosha, O.; Zhu, Y. Home bias and international risk sharing: Twin puzzles separated at birth. J. Int. Money Financ. 2007, 26, 587–605. [Google Scholar] [CrossRef]
- Kim, S.; Lee, J.W.; Shin, K. Regional and Global Financial Integration in East Asia; Oxford University Press: Oxford, UK, 2008; pp. 168–200. [Google Scholar]
- Calvi, R. Assessing Financial Integration: A Comparison between Europe and East Asia; Technical Report; Directorate General Economic and Financial Affairs (DG ECFIN), European: Brussels, Belgium, 2010. [Google Scholar]
- Yu, I.W.; Fung, K.P.; Tam, C.S. Assessing financial market integration in Asia–equity markets. J. Bank. Financ. 2010, 34, 2874–2885. [Google Scholar] [CrossRef]
- Park, C.Y.; Lee, J.W. Financial integration in emerging Asia: Challenges and prospects. Asian Econ. Policy Rev. 2011, 6, 176–198. [Google Scholar] [CrossRef]
- Fernandez-Arias, E.; Montiel, P.J. The surge in capital inflows to developing countries: An analytical overview. World Bank Econ. Rev. 1996, 10, 51–77. [Google Scholar] [CrossRef]
- Bhattacharya, A.; Montiel, P.; Sharma, S. Private capital flows to sub-Saharan Africa: An overview of trends and determinants. In External Finance for Low-Income Countries; International Monetary Fund: Washington, DC, USA, 1997; pp. 207–232. [Google Scholar]
- Basu, A.; Srinivasan, K. Foreign Direct Investment in Africa-Some Case Studies; IMF Working Paper, No. 02/61; International Monetary Fund: Washington, DC, USA, 2002. [Google Scholar]
- Chang, R.; Velasco, A. Financial fragility and the exchange rate regime. J. Econ. Theory. 2000, 92, 1–34. [Google Scholar] [CrossRef]
- Agénor, P.R. Benefits and costs of international financial integration: Theory and facts. World Econ. 2003, 26, 1089–1118. [Google Scholar] [CrossRef]
- Stiglitz, J.E. Capital market liberalization, economic growth, and instability. World Dev. 2000, 28, 1075–1086. [Google Scholar] [CrossRef]
- Pancaro, C. Macroeconomic Volatility after Trade and Capital Account Liberalization; World Bank Policy Research Working Paper, No. 5441; Elsevier: Amsterdam, The Netherlands, 2010. [Google Scholar]
- Cavoli, T.; Gopalan, S.; Rajan, R.S. Does financial inclusion amplify output volatility in emerging and developing economies? Open Econ. Rev. 2020, 31, 901–930. [Google Scholar] [CrossRef]
- Christiano, L.J.; Eichenbaum, M. Current real-business-cycle theories and aggregate labor-market fluctuations. Am. Econ. Rev. 1992, 82, 430–450. [Google Scholar]
- Neumeyer, P.A.; Perri, F. Business cycles in emerging economies: The role of interest rates. J. Monet. Econ. 2005, 52, 345–380. [Google Scholar] [CrossRef]
- Jermann, U.J. Asset pricing in production economies. J. Monet. Econ. 1998, 41, 257–275. [Google Scholar] [CrossRef]
- Caldara, D.; Fernandez-Villaverde, J.; Rubio-Ramirez, J.F.; Yao, W. Computing DSGE models with recursive preferences and stochastic volatility. Rev. Econ. Dyn. 2012, 15, 188–206. [Google Scholar] [CrossRef]
- Mencia, J.; Sentana, E. Valuation of VIX derivatives. J. Financ. Econ. 2013, 108, 367–391. [Google Scholar] [CrossRef]
- Skintzi, V.D.; Refenes, A.N. Volatility spillovers and dynamic correlation in European bond markets. J. Int. Financ. Mark. Inst. Money 2006, 16, 23–40. [Google Scholar] [CrossRef]
- Ederington, L.H.; Guan, W. How asymmetric is US stock market volatility? J. Financ. Mark. 2010, 13, 225–248. [Google Scholar] [CrossRef]
- Mendoza, E.G. Sudden stops, financial crises, and leverage. Am. Econ. Rev. 2010, 100, 1941–1966. [Google Scholar] [CrossRef]
- Bekhtiar, K.; Fessler, P.; Lindner, P. Risky Assets in Europe and the US: Risk Vulnerability, Risk Aversion and Economic Environment; ECB Working Paper No. 2270; Elsevier: Amsterdam, The Netherlands, 2019. [Google Scholar]
- Greenwood, J.; Hercowitz, Z.; Huffman, G.W. Investment, capacity utilization, and the real business cycle. Am. Econ. Rev. 1988, 78, 402–417. [Google Scholar]
- Andreasen, M.M.; Fernández-Villaverde, J.; Rubio-Ramírez, J.F. The pruned state-space system for non-linear dsge models: Theory and empirical applications. Rev. Econ. Stud. 2016, 85, 1–49. [Google Scholar] [CrossRef]
- Oi, W.Y. The desirability of price instability under perfect competition. Econom. J. Econom. Soc. 1961, 58–64. [Google Scholar] [CrossRef]
- Hartman, R. The effects of price and cost uncertainty on investment. J. Econ. Theory. 1972, 5, 258–266. [Google Scholar] [CrossRef]
- Abel, A.B. Optimal investment under uncertainty. Am. Econ. Rev. 1983, 73, 228–233. [Google Scholar]
- Heathcote, J.; Perri, F. The international diversification puzzle is not as bad as you think. J. Polit. Econ. 2013, 121, 1108–1159. [Google Scholar] [CrossRef]
- Bansal, R.; Yaron, A. Risks for the long run: A potential resolution of asset pricing puzzles. J. Financ. 2004, 59, 1481–1509. [Google Scholar] [CrossRef]
- Ai, H. Information quality and long-run risk: Asset pricing implications. J. Financ. 2010, 65, 1333–1367. [Google Scholar] [CrossRef]
- Van Wincoop, E. How Big are Potential Welfare Gains from International Sharing? FRB of New York Staff Report, No. 37; Elsevier: Amsterdam, The Netherlands, 1998. [Google Scholar]
- Gourinchas, P.O.; Jeanne, O. The elusive gains from international financial integration. Rev. Econ. Stud. 2006, 73, 715–741. [Google Scholar] [CrossRef]
- Coeurdacier, N.; Rey, H.; Winant, P. Financial integration and growth in a risky world. J. Monet. Econ. 2020, 112, 1–21. [Google Scholar] [CrossRef]












| Parameter | Definition | Value | Source/Target |
|---|---|---|---|
| Preference and technology | |||
| Discount factor | 0.99 | The average yearly return to capital of 4% | |
| Capital share | 0.36 | Labor’s share of GDP equals 64% | |
| Depreciation rate | 0.025 | The annual depreciation rate of 10% | |
| Elasticity of labor supply | 0.6 | Greenwood et al. [65] | |
| Labor supply level | 4.561 | Labor supply in steady state equals 1/3 | |
| Risk aversion Intertemporal elasticity of substitution | Kollmann [4], Colacito et al. [5] | ||
| Investment adjustment cost | 0.067 | Baxter and Crucini [8] | |
| Working capital ratio | 0.26 | Ratio of working capital to GDP [63] | |
| Size of sector II | 0.487 | Financial integration level in the U.S. is 0.15. | |
| Share of risky assets | 0.4 | Bekhtiar et al. [64] | |
| Intermediation cost | 0.04 | The spread between lending rate and deposit rate is 3%. | |
| Average return to risky asset | 0.06 | Kalemli-Ozcan et al. [14] | |
| Shock Process | |||
| Persistence of productivity shock Correl. of prod. innovations Persistence of financial shock Correl. of financial innovations | Kalemli-Ozcan et al. [14] | ||
| Std. dev. of prod. shock | 0.625%, 0.58% | The quarterly GDP growth rate in the US is 1.32% | |
| Std. dev. of financial shock | 4.0% | The increase in financial shock volatility during the | |
| 2008 financial crisis | |||
| Persistence of prod. volatility shock Std. dev. of prod. volatility shock | Mumtaz and Theodoridis [24] | ||
| Persistence of financial volatility shock | 0.98 | Mencia and Sentana [60], Skintzi and Refenes [61] | |
| Std. dev. of financial volatility shock | 0.064 | Std. dev. of VIX index [62] | |
| With Volatility Shocks | Without Volatility Shocks | |||||
|---|---|---|---|---|---|---|
| (1) | (2) | (3) | (4) | (5) | (6) | |
| −0.0075 *** | −0.0363 *** | −0.6860 *** | −0.0071 *** | −0.0115 *** | −0.6215 *** | |
| (0.0008) | (0.0022) | (0.0423) | (0.0004) | (0.0004) | (0.0173) | |
| 0.0269 *** | 0.0980 *** | 0.1596 *** | 0.0250 *** | 0.0804 *** | 0.1246 *** | |
| (0.0046) | (0.0128) | (0.0149) | (0.0040) | (0.0047) | (0.0130) | |
| Country-Pair FE | Yes | Yes | Yes | Yes | Yes | Yes |
| Time FE | Yes | Yes | Yes | Yes | Yes | Yes |
| Country Time Trends | Yes | Yes | Yes | Yes | Yes | Yes |
| Observation | 39,600 | 39,600 | 39,600 | 39,600 | 39,600 | 39,600 |
| Adj. | 0.168 | 0.156 | 0.212 | 0.080 | 0.094 | 0.138 |
| Financial Autarky | Financial Integration | Change of (%) | |||
|---|---|---|---|---|---|
| Social Welfare | Deterministic Equivalence of Cons. | Social Welfare | Deterministic Equivalence of Cons. | ||
| (1) | (2) | (3) | (4) | (5) | |
| Prod. Vol. Shock | 1.6763 | 0.01676 | 1.6796 | 0.01680 | 0.1990 |
| Financial Vol. Shock | 1.6784 | 0.01678 | 1.6817 | 0.01682 | 0.1986 |
Disclaimer/Publisher’s Note: The statements, opinions and data contained in all publications are solely those of the individual author(s) and contributor(s) and not of MDPI and/or the editor(s). MDPI and/or the editor(s) disclaim responsibility for any injury to people or property resulting from any ideas, methods, instructions or products referred to in the content. |
© 2023 by the author. Licensee MDPI, Basel, Switzerland. This article is an open access article distributed under the terms and conditions of the Creative Commons Attribution (CC BY) license (https://creativecommons.org/licenses/by/4.0/).
Share and Cite
Tang, A. Financial Integration and International Dynamics: The Role of Volatility Shocks. Mathematics 2023, 11, 4742. https://doi.org/10.3390/math11234742
Tang A. Financial Integration and International Dynamics: The Role of Volatility Shocks. Mathematics. 2023; 11(23):4742. https://doi.org/10.3390/math11234742
Chicago/Turabian StyleTang, Aidi. 2023. "Financial Integration and International Dynamics: The Role of Volatility Shocks" Mathematics 11, no. 23: 4742. https://doi.org/10.3390/math11234742
APA StyleTang, A. (2023). Financial Integration and International Dynamics: The Role of Volatility Shocks. Mathematics, 11(23), 4742. https://doi.org/10.3390/math11234742

