Abstract
A microscopic traffic flow model is developed that incorporates vehicle vibrations due to pavement condition. The Intelligent Driver (ID) model employs a fixed exponent so traffic behavior is the same regardless of the road condition. Thus, it ignores the underlying physics. To address this limitation, the proposed model employs the Pavement Condition Index (PCI) in describing traffic behavior. The performance of both models is evaluated on a m circular road using the Euler numerical discretization technique. The results show that the performance of the proposed model varies with the pavement condition (PCI), as expected. Furthermore, the traffic flow increases with vehicle speed. The oscillations in speed and density with the proposed model decrease as the PCI increases, and are larger when the speed is higher. Consequently, the results with the proposed model align more closely with reality as they are based on the PCI, and so are a more accurate representation of traffic behavior.
Keywords:
traffic exponent; Intelligent Driver model; microscopic traffic flow; Pavement Condition Index; vehicle vibration MSC:
37M05
1. Introduction
Pavement condition significantly impacts traffic behavior. Pavement deterioration causes traffic accidents, congestion, pollution, and time delays [1]. Moreover, poor roads impact the smooth flow of traffic, resulting in rider discomfort and increased vehicle operating costs [2]. Congestion lowers vehicle speeds so emissions are increased [1]. Further, vehicle speed is reduced by an average of % when the road condition is poor compared to when it is excellent, and average emissions increase by %. Road safety is a primary concern worldwide as road accidents cause million fatalities each year [3]. It is also dangerous as uneven pavement and potholes, damaged concrete, cracks, and exposed rebar can cause drivers to lose control, resulting in severe accidents [4]. Efficient traffic forecasting and control are essential to alleviate traffic problems such as congestion and improve road infrastructure [5]. This requires a practical model for traffic prediction.
Traffic models are typically microscopic or macroscopic, and mesoscopic. Macroscopic models focus on speed and density to describe traffic flow [6], while microscopic models focus on individual vehicles and drivers [7]. They incorporate speed, position, and distance and time headway [8,9].
Gazis, Herman, and Rothery proposed a microscopic model commonly known as the GHR model [10]. This model characterizes driver response considering the speed and distance of leading vehicles. However, driver behavior in changing conditions is ignored as speed adjustments are based on a constant and not traffic physics. Newell [11] characterized vehicle behavior in dense traffic and showed that velocity (speed) is impacted by the distance headway. An increase in this headway results in higher speeds and lower density. However, high speeds can produce large acceleration, which is neither safe nor realistic.
Wiedemann [12] and Fritzsche [13] developed similar models based on driver behavior under varying conditions. Their results are employed in the PTV VISSIM and PARAMICS simulators, respectively [14]. However, the traffic states have different equations so their models are complex. Wiedemann [15] created an improved model using simulation results for traffic on motorways. However, this model is not stable for a large number of vehicles [16].
An improvement to the Newell model was given in [17], but it neglects speed differences, resulting in acceleration which is very high. Moreover, driver behavior is based on a constant and so traffic physics is ignored. It was shown in [18] that speed differences can be used to accurately characterize speed and time headway in dense traffic. However, average and slow driver behavior are not considered so the results only pertain to aggressive drivers. The model in [19] is widely used because it produces realistic traffic behavior. As a consequence, it is employed in the AIMSUN simulator [14]. However, this model cannot differentiate between acceleration and deceleration and is limited to a small range of parameters [20].
The Intelligent Driver (ID) model was developed in [20] based on driver reaction. This model considers desired velocity (speed) and distance headway to characterize driver behavior [21,22,23]. Unlike the Gipps model, the ID model provides realistic acceleration and deceleration [14]. As a consequence, it is widely utilized in Adaptive Cruise Control (ACC) and cooperative ACC [24,25,26]. The ID model is also employed in Simulation of Urban MObility (SUMO) and PTV VISSIM [27]. However, it uses a fixed exponent to characterize traffic. This means that driver behavior is not based on traffic conditions. This is unrealistic as real-world traffic dynamics are influenced by various factors including pavement condition, and this affects driver behavior.
This study introduces a microscopic traffic model that incorporates the pavement condition to accurately represent traffic behavior. The pavement condition is evaluated using the Pavement Condition Index (PCI), which is an indicator of pavement condition and quality, and thus affects driver behavior and traffic flow. It ranges between and [2]. Incorporating the PCI results in a model that provides a more comprehensive and accurate representation of traffic behavior. A flowchart of the methodology employed in this research is given in Figure 1. First, field experiments to determine the impact of vehicle vibrations on the PCI were conducted on the Grand Trunk highway in Peshawar, located in the Khyber Pakhtunkhwa province of Pakistan. This road section spans 7 km and extends from the Chamkani Bus Rapid Transit (BRT) station to Pabbi. Then, the proposed and ID models are implemented using the Euler technique in MATLAB. The results obtained indicate that the proposed model is more suitable for evaluating traffic behavior.
Figure 1.
Flowchart of the methodology.
2. Traffic Models
The ID model is used for microscopic traffic characterization and incorporates factors such as the desired speed , distance to align with leading conditions , and the difference in speed with the leading vehicle [20]. Driver response is a function of the ratio of average speed to desired speed , and is expressed as [20]
where is the maximum acceleration and is a fixed acceleration exponent. is the desired distance headway during traffic alignment to leading conditions and is given by [20]
where is the deceleration or minimum acceleration, is the jam spacing as illustrated in Figure 2, and is the time required by a vehicle to adjust its speed to the speed of the leading vehicle [5]. indicates driver desire to maintain a safe distance from the leading vehicle. This is crucial for ensuring safety on the road and preventing collisions. The ID model employs (1) and (2) for traffic by incorporating driver response and distance headway for the alignment of traffic [5].
Figure 2.
Intelligent Driver (ID) model parameters.
The ID model characterizes driver response to traffic conditions based on a fixed value . Thus, driver behavior does not vary based on these conditions, so it is unrelated to traffic physics and results in inadequate and unrealistic traffic characterization.
An acceleration exponent based on the PCI is proposed for the realistic characterization of traffic. Then, is a function of vehicle vibrations which are mechanical oscillations. These vibrations are largely generated by the interaction between the road surface and tires, and thus are a major contributor to passenger fatigue and discomfort.
Field experiments were conducted by driving a test vehicle over the road segment in Peshawar, Pakistan, between 12 AM and 2 AM. One lane in each direction was traversed times with speeds of km/h ( m/s), 45 km/h ( m/s), and 55 km/h ( m/s). Thus, for a given speed, a lane was traversed four times. These speeds were selected to represent typical traffic observed on the road segment. Data were collected using an On-Board Diagnostic-II scanner connected to a smartphone with the BotlnckDectr [28] mobile app. This allowed for the recording of various parameters including GPS location, in-vehicle noise, vibration, and time [28]. During the experiments, the smartphone was positioned on the vehicle dashboard. The data were transmitted to the Amazon Web Services (AWS) cloud. It was then analyzed to obtain the PCI of the road segment. The relationships between PCI and vehicle vibrations obtained are
for speeds of approximately m/s, m/s, and m/s, respectively. The PCI ranges from to where corresponds to a poor road condition and to an excellent road condition. Thus, and PCI are linearly related. As the pavement condition degrades, the oscillations increase, which reduces passenger comfort, i.e., a higher PCI corresponds to lower vibrations. Substituting (3), (4) and (5) in (1) gives the proposed model for speeds of m/s, m/s, and m/s, respectively
An excellent road condition is required to avoid traffic congestion and accidents and efficiently align to forward vehicles. In this case, there is free flow traffic which corresponds to . A poor road condition can result in congestion due to the reduction in vehicle speed. In this case, and vehicle acceleration and deceleration are large so the emissions are high. With the proposed model, alignment is according to the PCI and is more realistic compared with fixed .
The traffic density can be expressed as [29] where is the distance headway at equilibrium. In this case, so substituting (2) in (1) gives for the ID model
and rearranging we obtain
Thus, the fixed in the ID model results in a constant distance headway between vehicles at equilibrium regardless of the traffic conditions. In contrast, in the proposed model the distance headway is based on the PCI. The distance headway at equilibrium is obtained by substituting (3), (4), and (5) in (10) which gives
The product of density and speed is traffic flow [8,30] so that
and substituting (10) in (14) gives the flow for the ID model as
This is unrealistic as it relies on a fixed exponent. The proposed model considers the PCI to determine traffic flow and so is more realistic. The traffic flow can be expressed as
The proposed model indicates that when the road condition is poor, the vehicle vibrations are large and the flow is small, whereas when the road condition is excellent, the vehicle vibrations are small and the flow is large. Further, the proposed model can predict traffic behavior in real-time to help ACC systems better anticipate and adapt to changes in traffic conditions. An ACC system guided by the proposed model can adjust the vehicle speed and following distance in response to the observed traffic density. When the density is high, the ACC can reduce the speed and maintain a safe distance to ensure safety and a smooth traffic flow. Conversely, when the density is low, the ACC can increase the speed while maintaining a safe distance to improve efficiency.
3. Stability Analysis
This section presents an analysis of the stability of traffic models considering an infinitely long road. Identical vehicles are assumed with a constant equilibrium distance headway [31]. Therefore, drivers adjust to forward conditions with minimal acceleration, so there are only small changes in the equilibrium velocity associated with . The corresponding change in distance headway, denoted by , is also small as is the change in velocity denoted by . The distance headway can then be expressed as
and
The temporal change in velocity during traffic alignment over the distance headway is [32]
where the subscripts and denote the following and leading vehicles, respectively. Given the minor variations in , the adjustments in headway are negligible. Consequently, during alignment can be expressed as [31]
where , , and denote the partial derivatives w.r.t. velocity, change in velocity, and distance headway, respectively, which are
Using Fourier–Ansatz to express (21) and (22) gives
so (23) and (24) can be written as
where corresponds to the traffic oscillations during alignment and . The real part corresponds to the amplitude change and is the oscillation frequency with oscillation period . The parameter denotes driver delay [31], while and are the changes in velocity and distance headway, respectively.
Substituting (25) in (21) and (22), gives
Model stability requires that the real components of the eigenvalues are negative. The eigenvalues are the solution of
The Jacobian matrix is
where and are the gradients of (26) and (27) w.r.t. and and are the gradients of (26) and (27) w.r.t. . We have
and substituting this in (28) gives
so that
Setting and , (24) becomes
Thus, the eigenvalues from (32) are
A model is string stable [31] if the real components of the eigenvalues are negative. Under this condition, traffic oscillations diminish over time and the flow becomes stable and smooth [33]. Conversely, a model is considered unstable if traffic oscillations increase and are large as in congestion. In this case, acceleration is high unlike when there is string stability [29]. As the model becomes unstable, , leading to minimal delay between flow changes (traffic waves) [31].
Approximating and using Taylor series for a small delay, i.e., , gives
From [31], at equilibrium
where is the equilibrium speed gradient relative to the distance headway. Then, (35) becomes
Let
where
Considering a Taylor series expansion, the square root in (33) can be approximated as
which gives
Using (38)
and then from (39), we obtain
The real part of (43) represents the rate at which the traffic oscillation amplitude changes, signifying growth or decay. When this real part is negative, the traffic flow is string-stable, since
Then, is the string stability criterion [27] which can be expressed as
From (44) and (45), the product of and indicates that has a negative real part. Further, at equilibrium
Using (46) and (47), the criterion for string stability from (44) is
Thus, the velocity with the ID model is determined by . A higher value improves stability but may lead to optimistic performance in congestion. Consequently, increasing for stability reasons ignores traffic physics and can produce unrealistic results [5]. Changes in velocity during traffic alignment are influenced by driver response and thus pavement condition. Hence, more realistic behavior is obtained using (3), (4), and (5) for according to the speed. The stability criteria for the proposed model with speeds m/s, m/s, and m/s are then
respectively. When the pavement is in good condition, vehicles can more easily adjust to changes in traffic ensuring string stability. Conversely, pavement in poor condition results in greater adjustments to changes in traffic which may not result in a smooth flow.
4. The Euler Technique
The Euler technique is used to evaluate the proposed and ID models. It is a simple but effective method to solve systems of differential equations and is widely used in traffic simulators such as SUMO [34] and AIMSUN [35]. This technique divides time into discrete steps and the vehicle position, speed, and acceleration are approximated using the model at each time step. The change in distance w.r.t. time results in a change in speed given by
and temporal changes in speed lead to changes in acceleration. Denote the right-hand side of (1), (6), (7), and (8) by , then
For the Euler technique, the position and speed for the ID and proposed models is
where is the current time step and is the next time step. , , and are the position, speed, and acceleration, respectively, of the following vehicle in the xth time interval where
and is the duration of a time step.
5. Performance Evaluation
In this section, the performance of the proposed model and ID models is evaluated on a circular road of length m. The Euler scheme is employed with time step s. The proposed model is simulated for s and the ID model for s. Based on (3), (4), and (5) the desired speed for the proposed model is set to m/s, m/s, and m/s. The desired speed for the ID model is m/s [22]. The jam spacing is set to m [31], the maximum acceleration is m/s², and the minimum acceleration is m/s² [20]. The acceleration exponent is typically or greater and is often set to 4 [20]. Thus, here and . The PCI values considered are and . The maximum normalized density is set to and the critical density is [36]. The maximum flow is obtained at the critical density with speed . Thus, the speed is normalized by and the flow is normalized by . The simulation parameters are summarized in Table 1.
Table 1.
Simulation Parameters.
Figure 3 gives the normalized flow for the proposed model with and and . When the flow at s is . It is at s, increasing to at s and at s. When , the flow at s is . It is at s, increasing to at s and at s. When , the flow at s is . It is at s, increasing to at s and at s.
Figure 3.
Normalized flow for the proposed model with m/s over a m circular road.
Figure 4 gives the normalized flow for the proposed model with m/s and and . When , the flow at s is . It is at s, increasing to at s and at s. When the flow at s is . It is at s, increasing to at s and at s. When , the flow at s is . It is at s, increasing to at s and at s.
Figure 4.
Normalized flow for the proposed model with m/s over a m circular road.
Figure 5 gives the normalized flow for the proposed model with m/s and and . When , the flow at s is . It is at s, increasing to at s and at s. When , the flow at s is . It is at s, increasing to at s and at s. When , the flow at s is , increasing to at s and at s.
Figure 5.
Normalized flow for the proposed model with m/s over a m circular road.
Figure 6 gives the normalized flow for the ID model with and and m/s. When , the flow at s is , increasing to at s and at s. When , the flow at s is . It is at s, increasing to at s and at s. When , at s the flow is . It is at s, increasing to at s and at s.
Figure 6.
Normalized flow for the ID model with and over a m circular road.
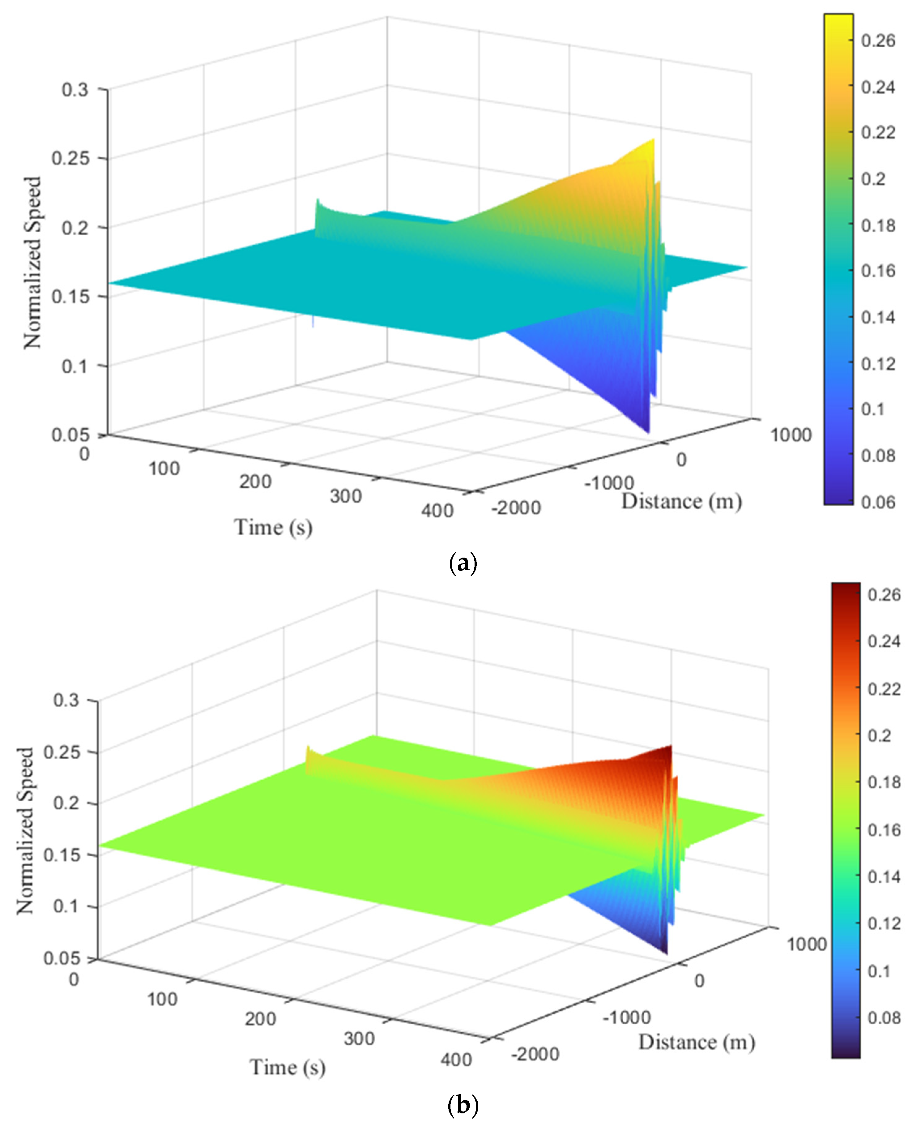
Figure 7 gives the normalized speed with m/s and and for the proposed model. When , the speed is from s to s, decreasing to at s, and then increasing to at s. The speed oscillates between and from s to s as indicated in Figure 7a. The speed when is similar to that when . It is from s to s, decreasing to at s, and then increasing to at s. The speed oscillates between and from s to s as indicated in Figure 7b. When , the speed is from s to s, decreasing to at s, and then increasing to at s. The speed oscillates between and from s to s as indicated in Figure 7c. For all PCI values, there are road segments where the speed is constant such as between m and m at s when , between m and m at s when , and between m and m at s when .
Figure 7.
Normalized speed for the proposed model with m/s over a m circular road: (a) ; (b) ; (c) .
Figure 8 gives the normalized speed with m/s and and for the proposed model. When , the speed from s to s is , decreasing to at s, and then increasing to at s. The speed oscillates between and from s to s as indicated in Figure 8a. Similarly, when the speed is from s to s, decreasing to at s, and then increasing to at s. The speed oscillates between and from s to s as indicated in Figure 8b. The speed is also similar when . It is from s to s, decreasing to at s and then increasing to 0.18 at s. The speed oscillates between and from s to s as indicated in Figure 8c. For all PCI values, there are road segments where the speed is constant such as between m and m at s when , between m and m at s when , and between m and m at s when .

Figure 8.
Normalized speed for the proposed model with m/s over a m circular road: (a) ; (b) ; (c) .
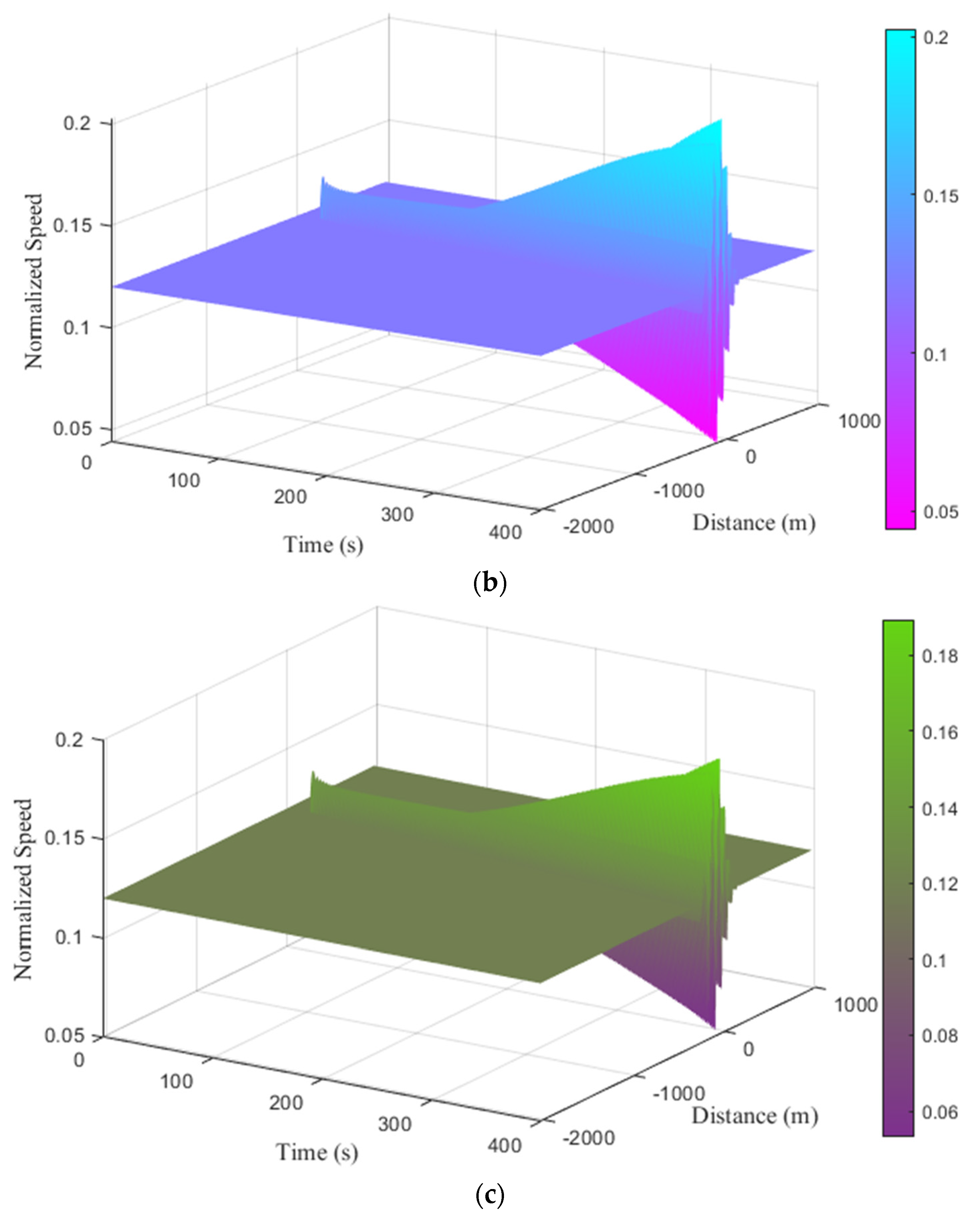
Figure 9 gives the normalized speed with m/s and and for the proposed model. When , the speed from s to s is , decreasing to at s, and then increasing to at s. The speed oscillates between and from s to s as indicated in Figure 9a. The speed behavior is similar when . It is from s to s, decreasing to at s, and then increasing to at s. The speed oscillates between and from s to s as indicated in Figure 9b. Similar speed behavior also occurs when . It is from s to s, decreasing to at s, and then increasing to at s. The speed oscillates between and from s to as indicated in Figure 9c. For all PCI values, there are road segments where the speed is constant such as between m and m at s when , between m and m at s when , and between m and m at s when .

Figure 9.
Normalized speed for the proposed model with m/s over a m circular road: (a) ; (b) ; (c) .
Figure 10 gives the normalized speed for the ID model with m/s and and . When , the speed is until s. It is at s and then increases to at s. The speed oscillates between and from s to s as indicated in Figure 10a. When , the speed is until s, decreasing to at s, and then increasing to at s. The speed oscillates between and from s to s as indicated in Figure 10b. When , the speed is until s, decreasing to at s, and then increasing to at s. The speed oscillates between and from s to s as indicated in Figure 10c. For all the values of , there are road segments where the speed is constant such as between m and m at s when , between m and m at s when , and between m and m at s when .
Figure 10.
Normalized speed for the ID model over a m circular road: (a) ; (b) ; (c) .
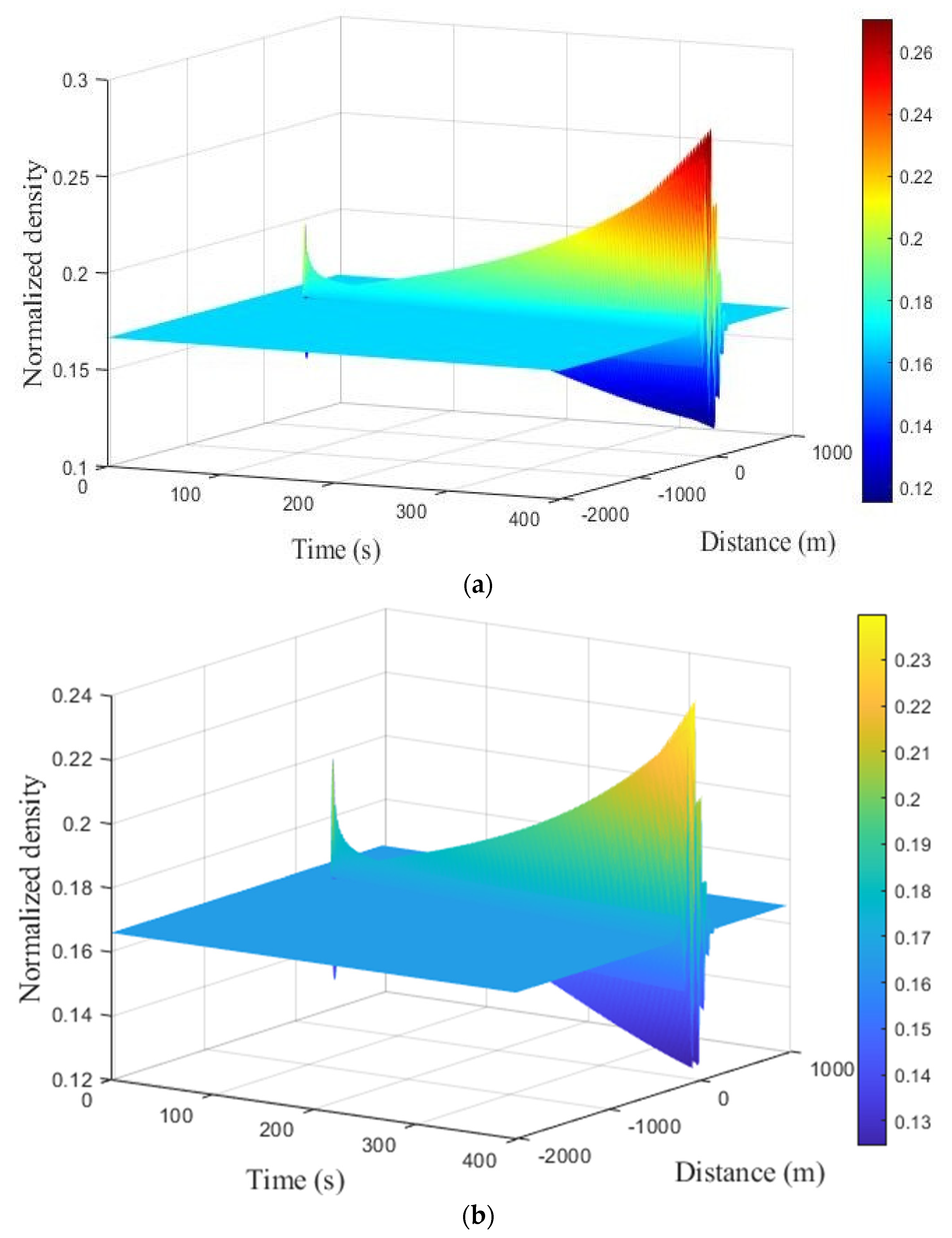
Figure 11 gives the normalized density for the proposed model with m/s and and . When , the density is until s. It is at s, decreasing to at s. The density oscillates between and from s to s as indicated in Figure 11a. When , the density is until s. It is at s, decreasing to at s. The density oscillates between and from s to s, and then it varies between and as indicated in Figure 11b. When , the density is until s. It is at s, decreasing to at s. It oscillates between and from s to s, and then varies between and as indicated in Figure 11c.

Figure 11.
Normalized density for the proposed model with m/s over a m circular road: (a) ; (b) ; (c) .
Figure 12 gives the normalized density for the proposed model with m/s and and . When , the density is until s, increasing to at s and then decreasing to at s. The density oscillates between and from s to s, and then it varies between and as indicated in Figure 12a. When , the density is until s, increasing to at s, and then decreasing to at s. The density oscillates between and from s to s, and then it varies between and as indicated in Figure 12b. When , the density is until s, increasing to at s, and then decreasing to at s. From s to s, the density oscillates between and , and then it varies between and as indicated in Figure 12c.

Figure 12.
Normalized density for the proposed model with m/s over a m circular road: (a) ; (b) ; (c) .
Figure 13 gives the normalized density for the proposed model with m/s and and . When , the density is until s, increasing to at s, and then decreasing to at s. The density oscillates between and from s to s, and then it varies between and as indicated in Figure 13a. When the density is at until s, increasing to at s, and then decreasing to at s. The density oscillates between and from s to s as indicated in Figure 13b. When , the density is until s, increasing to at s, and then decreasing to at s. The density oscillates between and from s to s as indicated in Figure 13c.
Figure 13.
Normalized density for the proposed model with m/s over a m circular road: (a) ; (b) ; (c) .
Figure 14 gives the normalized density for the ID model with m/s and and When , the density is until s, increasing to at s, and then decreasing to at s. The density oscillates between and from s to s, and then it varies between and as indicated in Figure 14a. When , the density is until s, increasing to at s, and then decreasing to at s. It oscillates between and from s to s as indicated in Figure 14b. When , the density is until s, increasing to at s, and then decreasing to at s. The density oscillates between and from s to s and then it varies between and as indicated in Figure 14c.

Figure 14.
Normalized density behavior for the ID model over a m circular road: (a) ; (b) ; (c) .
The results for the proposed model indicate that pavement condition influences traffic flow as expected. In particular, the flow increases with speed as shown in Figure 3, Figure 4 and Figure 5. The flow with the ID model increases with , which is not based on traffic physics. Furthermore, the oscillations in speed and density with the proposed model vary with the PCI and decrease over time as the PCI increases. These results are more realistic as they are based on real parameters such as the PCI. Conversely, the oscillations in speed and density with the ID model are the result of an arbitrary fixed parameter, and they increase over time as increases with no justification. This is an inadequate and unrealistic traffic characterization.
6. Conclusions
A microscopic traffic flow model was developed based on pavement condition. The Pavement Condition Index (PCI) was used to characterize traffic behavior. The performance of the proposed model was evaluated and compared with that of the Intelligent Driver (ID) model. The results obtained demonstrate that the proposed model provides realistic traffic flow dynamics. In particular, the traffic flow under excellent pavement conditions () is high while the flow under poor pavement conditions () is low, as expected. Conversely, the ID model has a fixed acceleration exponent which does not reflect the relationship between flow and road condition. Furthermore, the oscillations in speed and density with the proposed model vary according to the pavement condition. They are negligible when the PCI is high, which is expected traffic behavior. In contrast, the ID model produces unrealistic speed and density oscillations based on δ. The results given indicate that the proposed model can be used in traffic simulators for realistic and effective traffic prediction.
The proposed model is a deterministic rather than a probabilistic system. Future research can integrate random variables to provide a probabilistic framework. This will allow the model to deal with the uncertainties and variability in complex traffic environments. Furthermore, it can be implemented for road networks to examine challenging traffic situations and propose solutions. Future research can also consider additional parameters. While PCI is a key factor in traffic flow dynamics, it is important to include other factors such as road emergencies to increase the applicability and improve the accuracy and effectiveness in real-world scenarios. This will contribute to the development of more comprehensive and robust models for traffic flow analysis and management.
Author Contributions
Conceptualization, F.A. and Z.H.K.; methodology, F.A.; software, F.A.; validation, F.A., Z.H.K., K.S.K., A.B.A. and T.A.G.; formal analysis, F.A., Z.H.K., K.S.K. and T.A.G.; investigation, F.A., Z.H.K., K.S.K. and T.A.G.; writing—original draft, F.A.; writing—review and editing, F.A., Z.H.K., K.S.K., A.B.A. and T.A.G.; visualization, F.A., Z.H.K., K.S.K., A.B.A. and T.A.G.; funding acquisition, A.B.A., Z.H.K., K.S.K. and T.A.G. All authors have read and agreed to the published version of the manuscript.
Funding
This research was funded by the Scientific Research Deanship at the University of Ha’il, Ha’il, Saudi Arabia through project RG23-186.
Data Availability Statement
No data was generated in this article.
Conflicts of Interest
The authors declare no conflict of interest.
References
- Setyawan, A.; Kusdiantoro, I.; Syafi’i. The effect of pavement condition on vehicle speeds and motor vehicles emissions. Procedia Eng. 2015, 125, 424–430. [Google Scholar] [CrossRef]
- Kumar, R.; Suman, S.K.; Prakash, G. Evaluation of pavement condition index using artificial neural network approach. Transp. Dev. Econ. 2021, 7, 20. [Google Scholar] [CrossRef]
- Road Traffic Injuries, World Health Organization. Available online: https://www.who.int/news-room/fact-sheets/detail/road-traffic-injuries (accessed on 23 September 2022).
- Accidents Caused by Poor Road Quality and Conditions in DC, Gilman & Bedigian. Available online: https://www.gilmanbedigian.com/accidents-caused-by-poor-road-quality-and-conditions-in-dc/ (accessed on 23 September 2022).
- Ali, F.; Khan, Z.H.; Khan, F.A.; Khattak, K.S.; Gulliver, T.A. A new driver model based on driver response. Appl. Sci. 2022, 12, 5390. [Google Scholar] [CrossRef]
- Khan, Z.H. Traffic Modelling for Intelligent Transportation Systems. Ph.D. Dissertation, University of Victoria, Victoria, BC, Canada, 2016. [Google Scholar]
- Henein, C.M.; White, T. Microscopic information processing and communication in crowd dynamics. Phys. A Stat. Mech. Appl. 2010, 389, 4636–4653. [Google Scholar] [CrossRef]
- Ali, F.; Khan, Z.H.; Khattak, K.S.; Gulliver, T.A.; Khan, A.N. A microscopic heterogeneous traffic flow model considering distance headway. Mathematics 2023, 11, 184. [Google Scholar] [CrossRef]
- Khan, Z.H.; Gulliver, T.A. A macroscopic traffic model based on anticipation. Arab. J. Sci. Eng. 2019, 44, 5151–5163. [Google Scholar] [CrossRef]
- Gazis, D.C.; Herman, R.; Rothery, R.W. Nonlinear follow-the-leader models of traffic flow. Oper. Res. 1961, 9, 545–567. [Google Scholar] [CrossRef]
- Newell, G.F. Nonlinear effects in the dynamics of car following. Oper. Res. 1961, 9, 209–229. [Google Scholar] [CrossRef]
- Wiedemann, R. Simulation des Straßenverkehrsflusses. Ph.D. Dissertation, Instituts für Verkehrswesen, Universität Karlsruhe, Karlsruhe, Germany, 1974. [Google Scholar]
- Fritzsche, H.T.; Ag, D. A model for traffic simulation. Traffic Eng. Control 1994, 35, 317–321. [Google Scholar]
- Askari, A.; Farias, D.A.; Kurzhanskiy, A.A.; Varaiya, P. Measuring impact of adaptive and cooperative adaptive cruise control on throughput of signalized intersections. arXiv 2017, arXiv:1611.08973. [Google Scholar]
- Wiedemann, R. Modelling of RTI-Elements on multi-lane roads. In Proceedings of the DRIVE Conference, Brussels, Belgium, 4–6 February 1991. [Google Scholar]
- Kovács, T.; Bolla, K.; Gil, R.A.; Fábián, C.; Kovács, L. Parameters of the intelligent driver model in signalized intersections. Teh. Vjesn. 2016, 23, 1469–1474. [Google Scholar]
- Bando, M.; Hasebe, K.; Nakayama, A.; Shibata, A.; Sugiyama, Y. Dynamical model of traffic congestion and numerical simulation. Phys. Rev. E 1995, 51, 1035–1042. [Google Scholar] [CrossRef] [PubMed]
- Helbing, D.; Tilch, B. Generalized force model of traffic dynamics. Phys. Rev. E 1998, 58, 133–138. [Google Scholar] [CrossRef]
- Gipps, P.G. A behavioural car-following model for computer simulation. Transp. Res. Part B 1981, 15, 105–111. [Google Scholar] [CrossRef]
- Treiber, M.; Hennecke, A.; Helbing, D. Congested traffic states in empirical observations and microscopic simulations. Phys. Rev. E 2000, 62, 1805–1824. [Google Scholar] [CrossRef]
- Cao, Z.; Lu, L.; Chen, C.; Chen, X.U. Modeling and simulating urban traffic flow mixed with regular and connected vehicles. IEEE Access 2021, 9, 10392–10399. [Google Scholar] [CrossRef]
- Dahui, W.; Ziqiang, W.; Ying, F. Hysteresis phenomena of the intelligent driver model for traffic flow. Phys. Rev. E 2007, 76, 2–8. [Google Scholar] [CrossRef] [PubMed]
- Kesting, A.; Treiber, M.; Helbing, D. Enhanced intelligent driver model to access the impact of driving strategies on traffic capacity. Philos. Trans. R. Soc. Math. Phys. Eng. Sci. 2010, 368, 4585–4605. [Google Scholar] [CrossRef]
- Schakel, W.J.; Van Arem, B.; Netten, B.D. Effects of cooperative adaptive cruise control on traffic flow stability. In Proceedings of the International IEEE Conference on Intelligent Transportation Systems, Funchal, Portugal, 19–22 September 2010; pp. 759–764. [Google Scholar]
- Milanés, V.; Shladover, S.E.; Spring, J.; Nowakowski, C.; Kawazoe, H.; Nakamura, M. Cooperative adaptive cruise control in real traffic situations. IEEE Trans. Intell. Transp. Syst. 2013, 15, 296–305. [Google Scholar] [CrossRef]
- Wang, M.; Treiber, M.; Daamen, W.; Hoogendoorn, S.P.; van Arem, B. Modelling supported driving as an optimal control cycle: Framework and model characteristics. Procedia-Soc. Behav. Sci. 2013, 80, 491–511. [Google Scholar] [CrossRef]
- Derbel, O.; Peter, T.; Zebiri, H.; Mourllion, B.; Basset, M. Modified intelligent driver model for driver safety and traffic stability improvement. IFAC Proc. 2013, 46, 744–749. [Google Scholar] [CrossRef]
- Sohail, A.M.; Khattak, K.S.; Iqbal, A.; Khan, Z.H.; Ahmad, A. Cloud-based detection of road bottlenecks using OBD-II telematics. In Proceedings of the International Multitopic Conference, Islamabad, Pakistan, 29–30 November 2019. [Google Scholar]
- Kessels, F. Traffic Flow Modelling: Introduction to Traffic Flow Theory through a Genealogy of Models; Springer: Cham, Switzerland, 2019. [Google Scholar]
- Ali, F.; Khan, Z.H.; Khattak, K.S.; Gulliver, T.A. A microscopic traffic flow model characterization for weather conditions. Appl. Sci. 2022, 12, 12981. [Google Scholar] [CrossRef]
- Treiber, M.; Kesting, A. Traffic Flow Dynamics: Data, Models and Simulation; Springer: Berlin/Heidelberg, Germany, 2013. [Google Scholar]
- Hallerbach, S.; Xia, Y. Simulation-based identification of critical scenarios for cooperative and automated vehicles. SAE Int. J. Connect. Autom. Veh. 2018, 1, 93–106. [Google Scholar] [CrossRef]
- Feng, S.; Zhang, Y.; Li, S.E.; Cao, Z.; Liu, H.X.; Li, L. String stability for vehicular platoon control: Definitions and analysis methods. Ann. Rev. Control 2019, 47, 81–97. [Google Scholar] [CrossRef]
- Krajzewicz, D.; Erdmann, J.; Behrisch, M.; Bieker, L. Recent development and applications of SUMO-simulation of urban mobility. Int. J. Adv. Syst. Meas. 2012, 5, 128–243. [Google Scholar]
- Casas, J.; Ferrer, J.L.; Garcia, D.; Perarnau, J.; Torday, A. Traffic simulation with Aimsun. In Fundamentals of Traffic Simulation; International Series in Operations Research & Management Science, 145; Springer: New York, NY, USA, 2010; pp. 173–232. [Google Scholar]
- Ahmed, A.; Ngoduy, D.; Adnan, M.; Baig, M.A.U. On the fundamental diagram and driving behavior modeling of heterogeneous traffic flow using UAV-based data. Transp. Res. Part A Policy Pract. 2021, 148, 100–115. [Google Scholar] [CrossRef]
Disclaimer/Publisher’s Note: The statements, opinions and data contained in all publications are solely those of the individual author(s) and contributor(s) and not of MDPI and/or the editor(s). MDPI and/or the editor(s) disclaim responsibility for any injury to people or property resulting from any ideas, methods, instructions or products referred to in the content. |
© 2023 by the authors. Licensee MDPI, Basel, Switzerland. This article is an open access article distributed under the terms and conditions of the Creative Commons Attribution (CC BY) license (https://creativecommons.org/licenses/by/4.0/).


















