Abstract
The aim of the present study is to investigate magnetohydrodynamic (MHD) time-dependent flow past a vertical slanted plate enclosing heat and mass transmission (HMT), induced magnetic field (IMF), thermal radiation (TR), and viscous and magnetic dissipation characteristics on a chemical reaction fluid flow. A boundary layer estimate is taken to develop a movement that exactly captures the time-dependent equations for continuity, momentum, magnetic induction, energy, concentration, generalized Ohm’s law, and Maxwell’s model. Partial differential equations designate the path occupied by the magnetized fluid as it passes through the porous matrix. In addition, a heat source is included in the model in order to monitor the flow nature in the current study. Because of the nonlinearity in the governing equations, the mathematical models are computed numerically by RK4 method. Further, tables and graphs are depicted to elucidate the physical influence of important factors on the flow characteristics. The novelty of the present work is investigating the irregular heat source and chemical reaction over the porous rotating channel. It is perceived that high thermal radiation occurs with increases in temperature and concentration. It is witnessed that the IMF effect is diminished for large values of magnetic Prandtl number (MPN). It is also analyzed that with increasing the heat source factor, the velocity of the fluid enhances. For stability analysis, the existing effort is compared with the published work and good agreement is found. Moreover, the residue error estimation confirms our solution.
Keywords:
RK4 method; magnetic Prandtl number; permeable vertical plate; viscous and magnetic dissipation; chemical reaction; error estimation MSC:
76D05; 76-10
1. Introduction
The relevance of usual convection with TR has improved significantly through the last decade owing to its prominence in countless real-world applications. Radioactive implications on the movement become important when spontaneous convection flows happen at high temperatures. For space technology and engineering activities that take place at high temperatures, the impact of radiation on the free convection movement is significant. Olanrewaju et al. [1] conducted an investigation into the boundary layer movement of nanofluids (NF) through a moving plate in the vicinity of radiation. The mutual influence of thermal energy and magnetic fields on the movement of NF that transport heat and mass through a nonlinear stretched surface was inspected by Poornima et al. [2]. The consequences of heat radiation on the movement of mono phase nanofluid across an infinitely vertically plate was lately examined by Turkyilmazoglu and Pop [3]. Thermal radiation is produced by an object with a temperature ranging from 0.1 to 100 m. The electromagnetic waves emitted by this heat radiation may have a significant impact on the fluid movement. Many scanners in the medical industry emit thermal radiation into the human body in order to detect abnormalities in the body based on temperature changes. Gireesha et al. [4] explored the Jeffrey NF movement under the inspiration of magnetohydrodynamics over a stretched sheet. Sohail et al. [5] focused on the effects of radiation and Joule heating on non-Newtonian fluid flow and its applications. Kejela et al. [6] found analytical solutions for the flow under Eckert number, thermal radiation, and slip near the boundary. Over a vertical plate, an approximate explanation for the boundary layer flow was obtained with the effect of heat radiation and buoyance force by Kejela and Firdi [7]. Song et al. [8] employed the shooting technique for investigation of nanofluids with non-linear RD. Under the influence of gyrotactic microorganisms and magnetic dipole, Ijaz et al. [9] compared their results with prior work on ferromagnetic Jeffrey fluid. Muhammad et al. [10] compared the bvp4c and shooting approaches for obtaining the solution for flow on nanofluids under nonlinearity of thermal radiation. To evaluate the properties of surface roughness and TR on hybrid nanofluids, Wakif et al. [11] used the numerical model. Through a computational approach, Kumar et al. [12] focused on the radiation effect on nanofluid, combining a magnetic field and viscous dissipation.
In cooling processes, research on heat production or absorption implications is crucial. However, it might be challenging to precisely predict inner heat generation or absorption, certain straightforward mathematical approaches can explain its typical performance in the majority of physical conditions [13,14]. Ahmed et al. [15] studied the impact of heat generation and absorption on BLF using single-phase nanofluid movement through a stretched tube. The impacts of heat generation and absorption on the mix convection movement of a nanofluid across an angle plate were quantitatively examined most recently by Akilu and Narahari [16]. Kumar et al. [17] examined the effects of heat generation and absorption source/sink and hall currents using magnetohydrodynamic flow in a vertical network. Nagaraju et al. [18] used an analytical approach to uniformly investigate the flow in a vertically slanted cylinder under the influence of heat source/sink factors. Implication of heat generation on unsteady mix convective movement across a coaxial cylinder full of porous matrix using the HAM approach was examined by Yusuf and Gambo [19]. Dawar et al. [20] inspected the magnetohydrodynamic NF with chemically reactions. Shaheen et al. [21] examined the influence of non-uniform heat effect and Joule degeneracy on three-dimensional Eyring–Powell fluid movements on a stretched surface. Thumma et al. [22] deliberated the Jeffrey flow model over vertical channel with stimulus of TR and heat source/sink.
The research on magnetohydrodynamics has significant implications for astronomy, geology, the pharmaceutical industry, and mechanical engineering. Some significant applications of the Lorentz force include magnetohydrodynamic generators, boundary layer control, bearings, and pumps [23]. Many researchers are motivated to the practical uses of fluid motion and heat transmission via a porous media in multiple technical and mechanical domains, in addition to MHD flows. Some of its widely used applications include gas turbines, thermal and cooling occurrences, heat separator design, catalysis-related reactors, and the automotive industry. Additionally, the fluid movement patterns in permeable media are helpful for a variety of processes, including fermentation, water motion in reservoirs, hydrological systems, aquifer contamination, and much more. The primary research on flow in permeable media is split into two fronts. The first is practical research, which covers topics such as physics, engineering, hydrology, etc. The latter is a theoretical investigation in which many intricate and practical flows and their mathematical representations are suggested and debated. Numerous scientists and academics have made important observations and provided some quantitative answers to these mathematical connections. The issue becomes more practical and realistic when the impact of MHD on flow via porous material is taken into account. Magnetized boundary layer movement of a stretched surface immersed in a permeable matrix was studied by Ibrahim and Shankar [24]. Priyadharshini et al. [25] investigated the gradient descent machine learning regression for MHD flow by metallurgy process. Hasen and Abdulhadi [26] used analytical techniques to solve the magnetized Rabinowitch fluid flow in a porous cilia channel. Under the impact of mass and heat transmission, the MHD NF movement on a stretching surface was numerically scrutinized by Elazem [27]. Salahuddin et al. [28] used the shooting approach to analyze MHD Williamson fluid having changing viscosity characteristics. By using blood as base fluid in a rectangular domain, copper and copper oxide hybrid NF was explored by Alghamdi et al. [29]. Taiwo et al. [30] investigated the isothermal and isoflux unsteady flow through a tube using the Laplace transformation. With non-linear thermal radiation, Gupta et al. [31] investigated Williamson NF. The flow phenomena are solved using applicable similarity transformations.
In the fields of technology and applied science, including filtration, environmental mechanics, and chemical science, the porosity idea is used. There are differences between intercrystalline and intergranular porosity in the cavern and molecular interstices. As a result, both academic study and processing technologies have given porous media a lot of attention. The rigid matrix, porous structure, and matrix permeability are the primary determinants of the properties of the medium, including permeability, thermal conductivity, and thermal capacitance. In the study and design of heat transmission and heat exchanging devices, porous media and transfer are becoming increasingly appealing. When a fluid moves through a porous medium, it originates into touch with its sizable surface area and the fluid’s rate of heat exchange is accelerated due to the medium’s convoluted structure. Additionally, porous media are used to increase fluid thermal resistivity and to calm or heat liquids. Ahmad and Pop [32] investigated how suction affected the buoyancy phenomena caused by NF implanted in a permeable medium on a flat vertical plate, and established double solutions. Sheikholeslami et al. [33] examined the effects of the electromagnetic field on the liquid flow containing NF implanted in a source of porous medium. They investigated NF in porous media via the cavity using the KKL method and Darcy models. A study reported by Bakar et al. [34] examined mixed convection radiation flow across a tube comprising NF generated in a porous medium. Applying the Brinkman–Darcy model to study the entropy and slip characteristics of heat transport in a closed form was developed by Turkyilmazoglu [35]. More information on the studies of nanofluids are provided in [36,37].
It is witnessed that chemical processes have significant influence in heat transfer in various branches of science and nanotechnology, such as solar collectors, nuclear reactor safety, metallurgy, and chemical engineering [38,39,40]. Hayat et al. [41] scrutinized the chemical processes for Maxwell fluid. Using the BLF, Kameswaran et al. [42] inspected the chemical processes over a stretchable sheet filled with nanofluid. Uddin et al. [43] numerically investigated the magnetized convective BLF with slip effect over a stretching porous plate with chemical processes. The analytical solution was obtained for free convective flow (FCF) over a horizontal surface filled with nanofluid [44]. Most recently, Srinivas et al. [45] considered the viscoelastic fluid over a stretching pipe with chemical processes. Similarly, the MHD FCBLF with chemical reaction of NF through a normal sheet was explored by Uddin et al. [46]. Wijayanta and Agung [47] investigated the conjugate heat transmission for a heat exchanger using radial basis function. Makarim [48] analysed the Marangoni convection using the thermosolute and absorptive aqueous LiBr solution. Some recent investigations about the present study are given in [49,50,51,52]. Similarly, Sodeifian et al. [53] investigated the molecular dynamics analysis of epoxy/clay nanomaterials. The study about the non-linear rheology of polymer melts, governing equations, polymer blends, shear movement, and sliding plate rheometers can be found in the book [54].
Therefore, motivated by the aforementioned research, the current study examines the free convective BLF over a porous surface enclosing heat and mass transportation, thermal conductivity, heat source/sink, magnetic Prandtl number, and viscous and magnetic dissipation properties. The theoretical model is designed for the proposed investigation, and after utilizing the similarity transformations, it is numerically solved by the ND-Solve method. The effect of emerging factors on the flow characteristics is depicted graphically and elaborated. Temperature reveals a growth in performance by increasing the Brownian motion (BM), thermophoresis factor (TF), thermal conductivity factor (TCF), and radiation factor (RF). Lastly, the present work is validated with previous work [55] and good correlations are found. The stability analysis is confirmed by comparing with the published work and the residue error.
2. Mathematical Modeling
The current research examines the influences of MHD and thermal diffusion on the heat and mass transportation implications of an electrically conducting time-dependent viscous fluid. The fluid travels across a perpendicular plate that is electrically non-conductive under the assumption that the fluid density is constant. The fluid movement is taken towards the x-axis across the plate, whereas the y-axis is normal to it. A magnetic field is disseminated consistently along the y-axis. Flow fluid model is given in Figure 1.
Figure 1.
Geometry of the mathematical problem.
The model equations, such as continuity, momentum, magnetic induction, energy, concentration, generalized Ohm, and Maxwell law, are given by [48,52,55]
At the temperature and concentration are enhanced to and respectively as shown in Figure 1.
The succeeding suppositions are made in the recommended work:
- From the accustomed Boussinesq’s approximation, the physical proper ties of the liquid cosidered are constants and body force terms include density variation with temperature.
- If the liquid flow is at high speed, the energy equation contains terms of viscous dissipation and Joule heating.
- Between foreign mass and fluid there is no chemical reaction reflected. To notice the Soret number’s effect on the liquid flow, the concentration of foreign mass is believed to be very high.
Incorporating the above theories, the equations of the flow phenomenon result in being nonlinear and coupled, and are represented below:
The continuity equation
The momentum equation [55]
The magnetic induction equation [52,55]
The energy equation [55]
The concentration equation [55]
Radiation term is taken from Rosseland’s approximation [30] as , where is the Stefan–Boltzmann constant and is the mean absorption coefficient. Temperature is assumed to have variations in the interior of the flow, so that can be developed with the help of Taylor series. is expanded in terms of temperature and ignoring higher order terms provided that so that Equation (11) becomes [55]
with the associated boundary conditions being
3. Mathematical Formulation
For solving numerically, the governing Equations (8)–(10), (12) and (13) along with Equation (14) are required to be non-dimensional. In this regard, the following non-dimensional variables are presented [55]:
The dimensionless form of the above equations become
and the corresponding non-dimensional from of (14) is
3.1. Local Shear Stress and Average Shear Stress
The influence of numerous factors on shear stress has been determined using the velocity field. The subsequent equations correspond to the local and average shear stress is alike to .
3.2. Local Current Density and Average Current Density
With the application of induced electric field, the effects of numerous factors upon the current density have been perceived. The resultant equations indicate that the local and average current density across the surface are which are the same as .
3.3. Local and Average Nusselt Number
With the assistance of heat flux, the inspiration of numerous factors on the Nusselt number has been examined. The succeeding equations resemble the local and average Nusselt numbers, i.e., which are the same as .
3.4. Local and Average Sherwood Number
Additionally, for the concentration profile, the effects of several factors on the Sherwood number have been investigated. The succeeding equations signify that the local and average Sherwood numbers are which are the same as , respectively.
4. Numerical Solution and Confirmation of the Code
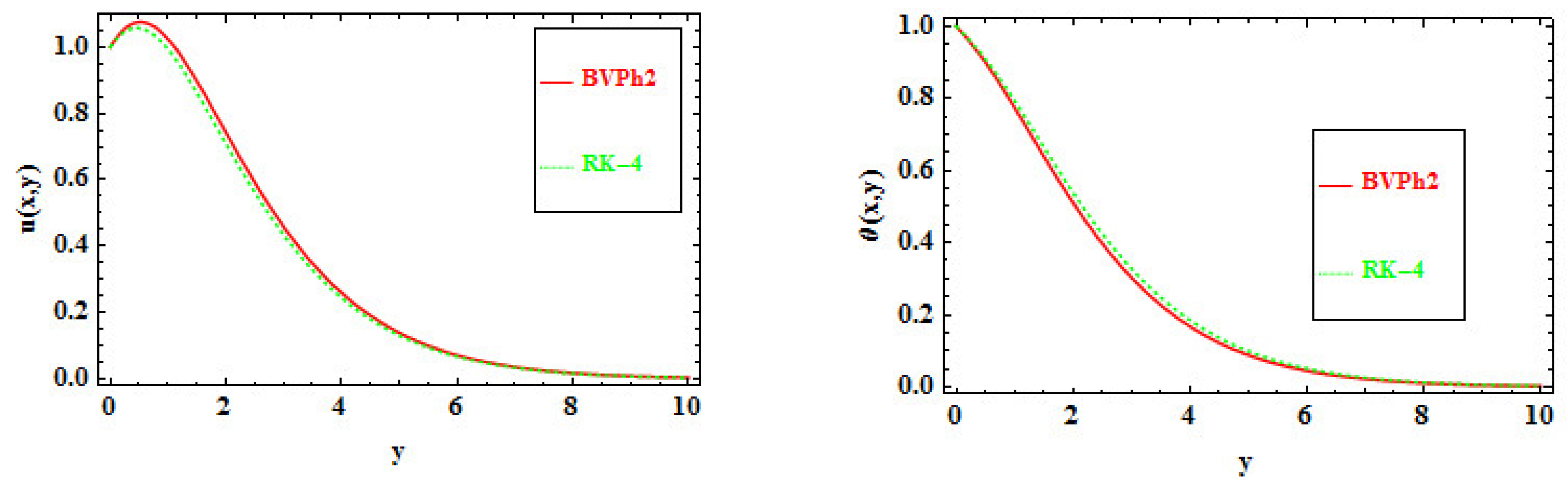
The systems of nonlinear Equations (17), (20) and (21) were solved computationally by using the RK4 method. First, the PDEs were converted to ODEs by introducing the similarity transformation. In the next step, the nonlinear ODEs were altered to first-order ODEs by introducing new variables, and lastly, the RK4 code was developed in MATLAB and numerical results were obtained through graphs and tables. The procedure of the RK4 is given in Figure 2. For the RK4 method, firstly a specific value for was estimated. Two different estimations were created and assessed at each phase. The assumption was accepted if the solution was satisfied. For the existing work, the step size was = 0.01 and accuracy 10−4. For validation of the numerical code, Mathematica package BVPh2 was also used and excellent correlation was found as illustrated in Figure 3.
Figure 2.
The flow diagram of RK4.
Figure 3.
Validation of RK4 and BVPh2.
5. Stability Analysis
To ensure the correctness of the numerical results, test calculations for several values of A were performed and then contrasted with the relevant published findings of Ramakrishna [55], which is shown in Table 1 with great agreement.
Table 1.
Comparison of present work and published work reported by Ramakrishna [55] using for different values of .
6. Error Explanation
The results provided by the RK4 technique for the majority of differential equations are generally reliable. However, due its results being based on computational sampling and error estimations, substantial inaccuracies are very unlikely. It is often useful to examine outcomes by linking a solution that was calculated with working precision greater than the default Machine Precision (MP). The problem’s result is computed using the RK4 technique with the default work precision, and the error solution is computed using the same approach with working precision-22. Errors are thus usually relatively minor; hence it is advantageous to analyze them on a logarithmic scale. We calculated the error solutions for numerous physical factors used in the model and plotted them in the accompanying graphs. Tyurenkova [49] and Smirnova examined the oxidant flows using self-similar solutions. Smirnov et al. [50] investigated the heat and mass transportation in chemically reactive gas over a liquid fuel layer. Numerical and error solutions for chemical reaction flow were investigated by Smirnov et al. [51]. Similarly, Smirnov et al. [52] used the LOGOS simulation for the hydrogen fuel rocket engines.
Before making any physical predictions, we first performed an error analysis to ensure that the procedure was legitimate. Figure 4, Figure 5, Figure 6 and Figure 7 are designed with this end in mind. During the solution, the RK4 package’s minimal error 10−30 was fixed. We used Mathematica module ND-Solve to minimize the total average squared residual error (ASRE). We initially modified the thermal radiation factor and fixed and to observe error for numerous orders of approximation. The greatest ASRE at various interpolation orders is shown in Figure 2 and Figure 4. In Figure 1, it is seen that for , the total ASRE and ASRE decrease as the order of approximation increases. Additionally, for , the error is streakily decreasing as compared to the cases for as shown in Figure 5. By changing the magnetic parameter and setting similarly distinct plots are given in Figure 3 and Figure 4, respectively. Averaged squared residual errors and total averaged squared residual errors both decrease for and as the order of approximation increases. It is also observed that for , the error is streakily reducing in relation to the cases for and as shown in Figure 6 and Figure 7.
Figure 4.
Temperature error analysis for physical parameters (a) and (b) .
Figure 5.
Concentration error analysis for physical parameters (a) and (b) .
Figure 6.
Residue error for temperature for physical parameters (a) and (b) .
Figure 7.
Residue error for concentration for physical parameters (a) and (b) .
7. Results and Discussion
In the occurrence of first-order chemical reactions and heat generation, a numerical study of thermal fluid movement as a result of an induced magnetic field (IMF) in a Darcian permeable regime on a vertical plate was conducted. By numerical calculations, the default values of physical parameters are , unless otherwise specified. For different physical parameter variations, graphical observations were made on velocity, concentration, temperature, and IMF.
For various values of magnetic Prandtl number (MPN), the influence of TR parameters (TRP) on the temperature distribution is depicted in Figure 8. The temperature profile of the viscous liquid appears to grow as the TRP increases. An elevation in electromagnetic waves in the channel is due to higher radiation values. The presence of magnetic field electromagnetic waves will produce more heat in the fluid. Additionally, larger MPN corresponds to higher temperatures as shown in Figure 8. Figure 9 depicts the dependence of temperature on the magnetic field parameter. This analysis was performed for different times, i.e., for and . Due to the existence of a radiation influence on the fluid flow, an increment in magnetic field will enhance temperature distribution. The graphical representation acknowledges that as time passes, additional electromagnetic waves are released and the temperature rises.
Figure 8.
effect on temperature with respect to .
Figure 9.
effect on temperature with respect to time.
The impact of magnetic parameters on the concentration profile for different times is revealed in Figure 10. Form the mathematical expression of the problem it is witnessed that the concentration profile is proportional to the magnetic factor. With the presence of a magnetic field in the channel, the developing magnetic effect causes a rapid movement in the electric charge produced by the magnetic parameter, leading to a high concentration in the fluid. It is witnessed that if the magnetic effect is enhanced for a prolonged period, an electric charge is released, which improves the concentration in the fluid. For various values of thermal radiation, the fluctuation in concentration throughout the channel is described in Figure 11 for dissimilar values of MPN. In the presence of a high MPN, an increase in thermal radiation causes an escalation in the concentration, indicating that the fluid is a good observer but a poor emitter.
Figure 10.
effect on concentration with respect to time.
Figure 11.
effect on concentration with respect to .
For two dissimilar values of MPN, i.e., and , Figure 12 illustrates velocity variation for different values of TRP. The increase in MPN and heat radiation decreases the velocity of a chemical reaction’s survival. It is observed that the flow rate is greater near the surface and consciously decreases with the growing values of It is also witnessed that for higher values of MPN the velocity variation is smaller compared to the small value of MPN. The dual performance is detected for the heat source factor on the velocity for different values of thermal radiation as portrayed in Figure 12. The point of interest is that the liquid flow velocity increases as the heat source factor increases, relative to the magnetic field. However, at the start of the channel, velocity is higher for higher quantities of heat radiation, but as the channel progresses, velocity decreases owing to the applied magnetic field.
Figure 12.
effect on concentration with respect to .
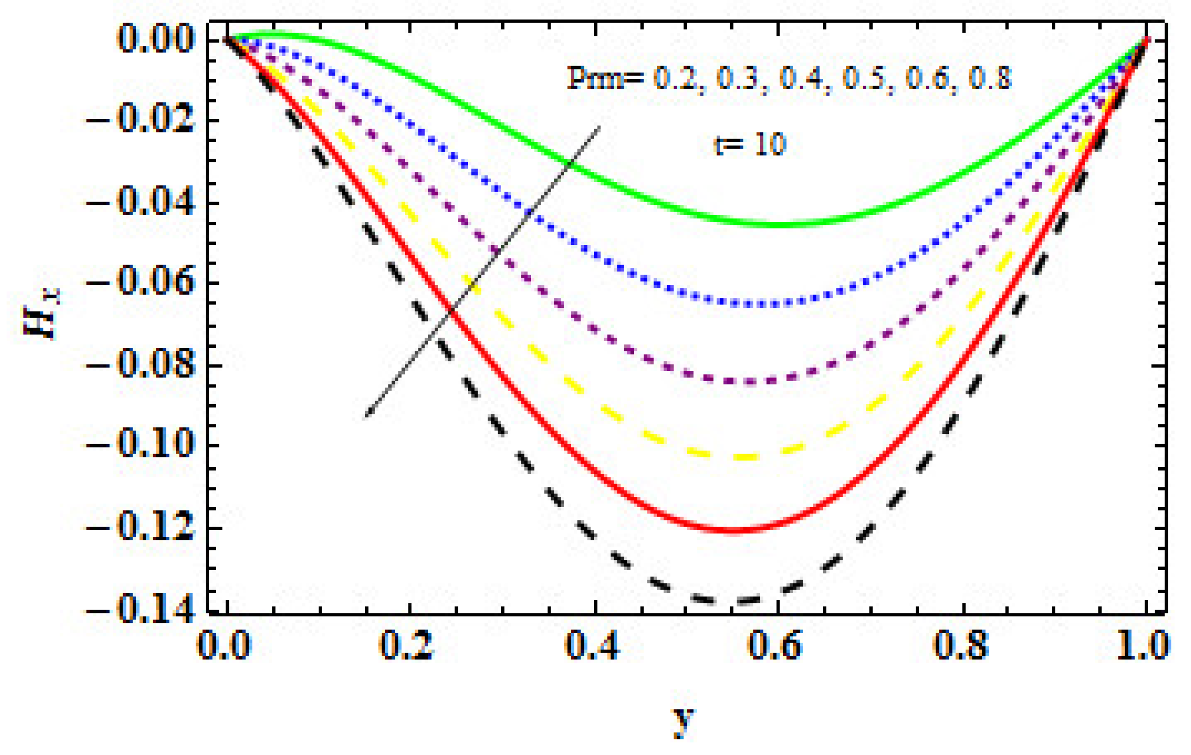
The consequence of a magnetic factor over the applied magnetic field at a given time is shown in Figure 13. Since they oppose each other, the resultant magnetic field effect declines as the magnetic factor is enhanced. Figure 14 shows the consequence of MPN on the induced magnetic field for the given time. It is observed that the influence of MPN on the IMF is the same as shown in Figure 13.
Figure 13.
effect on concentration with respect to .
Figure 14.
effect on the IMF with respect to time.
The influence of the physical parameters skin friction (SF), local density current (LDC), and Nusselt number (NN) on the physical quantity of interest are shown in Figure 15, Figure 16, Figure 17, Figure 18, Figure 19, Figure 20 and Figure 21. Figure 15 and Figure 16 display the impact of , and on SF. It is observed that the SF declines as is increased and the opposite behavior is detected for the growing values of . Similarly, the impact of , and on the LDC and NN is presented in Figure 17 and Figure 18, respectively. It is observed that with increasing , and , the LDC and NN enhance with the growing values of these physical parameters. The impact of and on the NN and Sherwood numbers is depicted in Figure 19 and Figure 21, respectively. In both cases, the enhancement effect is observed as the physical parameters and are increased.
Figure 15.
effect on the IMF with respect to time.
Figure 16.
Impact of and on SF.
Figure 17.
Impact of and on SF.
Figure 18.
Impact of and on LDC.
Figure 19.
Impact of and on NN.
Figure 20.
Impact of on NN.
Figure 21.
Impact of and on SN.
8. Conclusions
In the current study an analysis has been carried out for MHD time-dependent fluid flow past a porous vertical plate with heat mass transportation, IMF, MPN, TR, and viscous and magnetic dissipation characteristics. In addition, a heat source is included in the model in order to monitor the flow nature in the current study. Because of the nonlinearity in the governing equations, a numerical solution was obtained by using the RK4 method along with the shooting technique. For stability analysis, the existing work was compared with published work. The error analysis was also computed for the physical factors influencing the fluid flow [51,52,53]. The following are the points of interest.
- The temperature profile of the viscous liquid appears to be enhancing as the thermal radiation factor is increased in the presence of MPN. Additionally, larger MPN corresponds to higher temperatures.
- Due to the existence of a radiation influence in the fluid flow, an upsurge in magnetic field enhances temperature distribution. It is also observed that as time passes, additional electromagnetic waves are released and the temperature rises.
- The occurrence of magnetic field in the channel and the developing magnetic effect cause a rapid movement in the electric charge produced by the magnetic parameter, leading to a high concentration in the fluid.
- The point of interest is that the liquid flow velocity rises as the heat source parameter increases. However, as the channel progresses, velocity decreases owing to the applied magnetic field.
- It is witnessed that if the magnetic effect is enhanced for a prolonged period, an electric charge is released, which improves the concentration in the fluid.
- In the existence of a high MPN, an increment in TR causes an increase in the concentration, indicating that the fluid is a good observer but a poor emitter.
- It is observed that the SF declines with the increasing values of , and the opposite behavior is perceived for the growing values of .
Author Contributions
Conceptualization, Z. and N.A.S.; methodology, N.A.A.; software, M.S.K.; validation, J.D.C.; formal analysis, Z. and M.S.K.; investigation, N.A.S.; writing—original draft preparation, Z. and N.A.S.; writing—review and editing, J.D.C.; funding acquisition, J.D.C. All authors have read and agreed to the published version of the manuscript.
Funding
This research received no funding.
Data Availability Statement
The data presented in this study are available upon request from the corresponding authors.
Acknowledgments
This research was supported by Basic Science Research Program through the National Research Foundation of Republic of Korea (NRF) funded by the Ministry of Education (No. 2017R1D1A1B05030422).
Conflicts of Interest
The authors declare no conflict of interest.
Nomenclature
| uniform magnetic field vector | |
| concentration variable of species | |
| specific heat | |
| concentration near the wall | |
| concentration away from the plate | |
| coefficient of mass diffusivity | |
| electric field intensity | |
| charge of the electron | |
| body force per unit mass | |
| induced magnetic field vector | |
| induced magnetic field vector | |
| induced magnetic field component | |
| induced magnetic field at the wall | |
| dimensionless induced magnetic field | |
| current density vector | |
| fluid pressure | |
| velocity vector | |
| fluid temperature | |
| mean fluid temperature | |
| temperature near the wall | |
| temperature away from the plate | |
| dimensionless time | |
| dimensionless velocity components | |
| thermal expansion coefficient | |
| thermal conductivity | |
| coefficient of viscosity | |
| dissipation function | |
| dimensionless concentration |
References
- Olanrewaju, P.O.; Adesanya, A.O.; Olanrewaju, M.A. Boundary layer flow of nanofluids over a moving surface in a flowing fluid in the presence of radiation. Int. J. Appl. Sci. Technol. 2012, 2, 274–285. [Google Scholar]
- Poornima, T.; Reddy, N.B. Radiation effects on MHD free convective boundary layer flow of nanofluids over a nonlinear stretching sheet. Adv. Appl. Sci. Res. 2013, 4, 190–202. [Google Scholar]
- Turkyilmazoglu, M.; Pop, I. Heat and mass transfer of unsteady natural convection flow of some nanofluids pasta vertical infinite flat plate with radiation effect. Int. J. Therm. Sci. 2013, 59, 167–171. [Google Scholar]
- Gireesha, B.J.; Umeshaiah, M.; Prasannakumara, B.C.; Shashikumar, N.S.; Archana, M. Impact of nonlinear thermal radiation on magnetohydrodynamic three-dimensional boundary layer flow of Jeffrey nanofluid over a nonlinearly permeable stretching sheet. Phys. A Stat. Mech. Its Appl. 2020, 549, 124051. [Google Scholar]
- Sohail, M.; Ali, U.; Zohra, F.T.; Al-Kouz, W.; Chu, Y. Thounthong, Utilization of updated version of heat flux model for the radiative flow of a non-Newtonian material under Joule heating: OHAM application. Open Phys. 2021, 19, 100–110. [Google Scholar] [CrossRef]
- Kejela, S.B.; Daba, M.; Girum, A. Investigation of effects of thermal radiation, magnetic field, Eckert number and thermal slip on MHD Hiemenz flow by optimal homotopy asymptotic method. J. Math. 2021, 2021, 5590657. [Google Scholar] [CrossRef]
- Koriko, O.K.; Adegbie, K.S.; Animasaun, I.L.; Olotu, M.A. Numerical solutions of the partial differential equations for investigating the significance of partial slip due to lateral velocity and viscous dissipation: The case of blood-gold Carreau nanofluid and dusty fluid. Numer. Methods Part. Differ. Equ. 2021, 7, 1–15. [Google Scholar] [CrossRef]
- Song, Y.; Khan, S.A.; Imran, M.; Waqas, H.; Khan, S.U.; Khan, M.I.; Qayyum, S.; Chu, Y. Applications of modified Darcy law and nonlinear thermal radiation in bioconvection flow of micropolar nanofluid over an off centered rotating disk. Alex. Eng. J. 2021, 60, 4607–4618. [Google Scholar] [CrossRef]
- Ijaz, M.; Nadeem, S.; Ayub, M.; Mansoor, S. Simulation of magnetic dipole on gyrotactic ferromagnetic fluid flow with nonlinear thermal radiation. J. Therm. Anal. Calorim. 2021, 143, 2053–2067. [Google Scholar] [CrossRef]
- Muhammad, T.; Waqas, H.; Khan, S.A.; Ellahi, R.; Sait, S.M. Significance of nonlinear thermal radiation in 3D Eyring-Powell nanofluid flow with Arrhenius activation energy. J. Therm. Anal. Calorim. 2021, 143, 929–944. [Google Scholar] [CrossRef]
- Wakif, A.; Chamkha, A.; Thumma, T.; Animasaun, I.L.; Sehaqui, R. Thermal radiation and surface roughness effects on the thermo-magneto-hydrodynamic stability of alumina–Copper oxide hybrid nanofluids utilizing the generalized Buongiorno’s nanofluid model. J. Therm. Anal. Calorim. 2021, 143, 1201–1220. [Google Scholar] [CrossRef]
- Kumar, M.A.; Reddy, Y.D.; Rao, V.S.; Goud, B.S. Thermal radiation impact on MHD heat transfer natural convective nano fluid flow over an impulsively started vertical plate. Case Stud. Therm. Eng. 2021, 24, 100826. [Google Scholar] [CrossRef]
- Pouzesh, A.; Hajmohammadi, M.R.; Poozesh, S. Investigations on the internal shape of constructal cavities intruding a heat generating body. Therm. Sci. 2015, 19, 609–618. [Google Scholar] [CrossRef]
- Gul, R.; Khan, Z.H.; Khan, W.A. Heat transfer from solids with variable thermal conductivity and uniform internal heat generation using homotopy perturbation method. In Proceedings of the ASME 2008 Heat Transfer Summer Conference, Jacksonville, FL, USA, 10–14 August 2008; pp. 311–319. [Google Scholar]
- Ahmed, S.E.; Hussein, A.K.; Mohammed, H.A.; Sivasankaran, S. Boundary layer flow and heat transfer due to permeable stretching tube in the presence of heat source/sink utilizing nanofluids. Appl. Math. Comput. 2014, 238, 149–162. [Google Scholar] [CrossRef]
- Akilu, S.; Narahari, M. Effects of heat generation or Absorption on free convection flow of a nanofluid past an isothermal inclined plate. Adv. Mater. Res. 2014, 970, 267–271. [Google Scholar] [CrossRef]
- Kumar, D.; Singh, A.K.; Kumar, D. Influence of heat source/sink on MHD flow between vertical alternate conducting walls with Hall effect. Phys. A Stat. Mech. Its Appl. 2020, 544, 123562. [Google Scholar] [CrossRef]
- Nagaraju, G.; Garvandha, M.; Murthy, J.V.R. MHD flow in a circular horizontal pipe under heat source/sink with suction/injection on wall. Front. Heat Mass Transf. 2019, 13, 1–8. [Google Scholar] [CrossRef]
- Yusuf, T.S.; Gambo, D. Role of heat source/sink on time dependent free convective flow in a coaxial cylinder filled with porous material: A semi analytical approach. Int. J. Appl. Power Eng. 2020, 8, 67–77. [Google Scholar] [CrossRef]
- Dawar, A.; Shah, Z.; Kuman, P.; Alrabaiah, H.; Khan, W.; Islam, S.; Shaheen, N. Chemically reactive MHD micropolar nanofluid flow with velocity slips and variable heat source/sink. Sci. Rep. 2020, 10, 20926. [Google Scholar] [CrossRef]
- Shaheen, S.; Bég, O.A.; Gul, F.; Maqbool, K. Electro-Osmotic propulsion of Jeffrey fluid in a ciliated channel under the effect of nonlinear radiation and heat source/sink. J. Biomech. Eng. 2021, 143, 051008. [Google Scholar] [CrossRef]
- Thumma, T.; Mishra, S.R. Effect of nonuniform heat source/sink, and viscous and Joule dissipation on 3D Eyring–Powell nanofluid flow over a stretching sheet. J. Comput. Des. Eng. 2020, 7, 412–426. [Google Scholar] [CrossRef]
- Harada, N. Applications of magnetohydrodynamics (MHD) and recent research trends. IEEJ Trans. Power Energy 2007, 127, 447–450. [Google Scholar] [CrossRef]
- Ibrahim, W.; Shankar, B. The effects of thermal radiation and non-uniform heat source/sink on MHD boundary layer flow and heat transfer past a stretching sheet embedded in non-Darcian porous medium. Front. Heat Mass Transf. 2016, 7, 37. [Google Scholar] [CrossRef]
- Priyadharshini, P.; Archana, M.V.; Ahammad, N.A.; Raju, C.S.K.; Yook, S.J.; Shah, N.A. Gradient descent machine learning regression for MHD flow: Metallurgy process. Int. Commun. Heat Mass Transf. 2022, 138, 106307. [Google Scholar] [CrossRef]
- Hasen, S.S.; Abdulhadi, A.M. MHD effect on peristaltic transport for Rabinowitsch fluid through a porous medium in cilia channel. Iraqi J. Sci. 2020, 61, 1461–1472. [Google Scholar] [CrossRef]
- Elazem, N.Y.A. Numerical results for influence the flow of MHD nanofluids on heat and mass transfer past a stretched surface. Nonlinear Eng. 2021, 10, 28–38. [Google Scholar] [CrossRef]
- Salahuddin, T.; Khan, M.; Saeed, T.; Ibrahim, M.; Chu, Y. Induced MHD impact on exponentially varying viscosity of Williamson fluid flow with variable conductivity and diffusivity. Case Stud. Therm. Eng. 2021, 25, 100895. [Google Scholar] [CrossRef]
- Alghamdi, W.; Alsubie, A.; Kumam, P.; Saeed, A.; Gul, T. MHD hybrid nanofluid flow comprising the medication through a blood artery. Sci. Rep. 2021, 11, 11621. [Google Scholar] [CrossRef] [PubMed]
- Taiwo, Y.S.; Gambo, D.; Olaife, A.H. Effect of heat source/sink on MHD start-up natural convective flow in an annulus with isothermal and isoflux boundaries. Arab J. Basic Appl. Sci. 2020, 27, 365–374. [Google Scholar] [CrossRef]
- Gupta, S.; Kumar, D.; Singh, J. Analytical study for MHD flow of Williamson nanofluid with the effects of variable thickness, nonlinear thermal radiation and improved Fourier’s and Fick’s Laws. SN Appl. Sci. 2020, 2, 438. [Google Scholar] [CrossRef]
- Ahmad, S.; Pop, I. Mixed convection boundary layer flow from a vertical flat plate embedded in a porous medium filled with nanofluids. Int. Commun. Heat Mass Transf. 2010, 37, 987–991. [Google Scholar] [CrossRef]
- Sheikholeslami, M.; Ziabakhsh, Z.; Ganji, D.D. Transport of magnetohydrodynamic nanofluid in a porous media. Coll. Surf. A Phys. Eng. Asp. 2017, 520, 201–212. [Google Scholar] [CrossRef]
- Bakar, S.A.; Arifin, N.; Ali, F.M.; Bachok, N.; Nazar, R.; Pop, I. A stability analysis on mixed convection boundary layer flow along a permeable vertical cylinder in a porous medium filled with a nanofluid and thermal radiation. Appl. Sci. 2018, 8, 483. [Google Scholar] [CrossRef]
- Turkyilmazoglu, M. Velocity slip and entropy generation phenomena in thermal transport through metallic porous channel. J. Non-Equil Thermodyn. 2020, 45, 247–256. [Google Scholar] [CrossRef]
- Abderrahmane, A.; Qasem, N.A.A.; Younis, O.; Marzouki, R.; Mourad, A.; Shah, N.A.; Chung, J.D. MHD Hybrid Nanofluid Mixed Convection Heat Transfer and Entropy Generation in a 3-D Triangular Porous Cavity with Zigzag Wall and Rotating Cylinder. Mathematics 2022, 10, 769. [Google Scholar] [CrossRef]
- Kumar, M.D.; Raju, C.S.K.; Sajjan, K.; El-Zahar, E.R.; Shah, N.A. Linear and quadratic convection on 3D flow with transpiration and hybrid nanoparticles. Int. Commun. Heat Mass 2022, 134, 105995. [Google Scholar] [CrossRef]
- Fetecau, C.; Shah, N.A.; Vieru, D. General Solutions for Hydromagnetic Free Convection Flow over an Infinite Plate with Newtonian Heating, Mass Diffusion and Chemical Reaction. Commun. Theor. Phys. 2017, 68, 768–782. [Google Scholar] [CrossRef]
- Shah, N.A.; Zafar, A.A.; Akhtar, S. General solution for MHD-free convection flow over a vertical plate with ramped wall temperature and chemical reaction. Arab. J. Math. 2018, 7, 49–60. [Google Scholar] [CrossRef]
- Nadeem, S.; Akbar, N.S. Influence of heat and chemical reactions on Walter’s B fluid model for blood flow through a tapered artery. J. Taiwan Inst. Chem. Eng. 2011, 42, 67–75. [Google Scholar] [CrossRef]
- Hayat, T.; Abbas, Z. Channel flow of a Maxwell fluid with chemical reaction. Z. Angew. Math. Phys. 2008, 59, 124–144. [Google Scholar] [CrossRef]
- Kameswaran, P.K.; Shaw, S.; Sibanda, P.; Murthy, P.V.S.N. Homogeneous–heterogeneous reactions in a nanofluid due to a porous stretching sheet. Int. J. Heat Mass Transf. 2013, 57, 465–472. [Google Scholar] [CrossRef]
- Uddin, M.J.; Khan, W.A.; Ismail, A.I. Lie group analysis and numerical solutions for magneto convective slip flow along a moving chemically reacting radiating plate in porous media with variable mass diffusivity. Heat Transf. Asian Res. 2015, 93, 1501–1509. [Google Scholar] [CrossRef]
- Rashidi, M.M.; Momoniat, E.; Ferdows, M.; Basiriparsa, A. Lie group solution for free convective flow of a nanofluid past a chemically reacting horizontal plate in porous media. Math. Probl. Eng. 2014, 2014, 239082. [Google Scholar] [CrossRef]
- Srinivas, S.; Reddy, A.S.; Ramamohan, T. Mass transfer effects on viscous flow in an expanding or contracting porous pipe with chemical reaction. Heat Transf. Asian Res. 2015, 44, 552–567. [Google Scholar] [CrossRef]
- Uddin, M.J.; Beg, O.A.; Aziz, A.; Ismail, A.I.M. Group analysis of free convection flow of a magnetic nanofluid with chemical reaction. Math. Probl. Eng. 2015, 2015, 621503. [Google Scholar] [CrossRef]
- Wijayanta, A.T. A localized meshless approach using radial basis functions for conjugate heat transfer problems in a heat exchanger. Int. J. Refrig. 2020, 110, 38–46. [Google Scholar] [CrossRef]
- Makarim, D.A.; Suami, A.; Wijayanta, A.T.; Kobayashi, N.; Itaya, Y. Marangoni convection within thermosolute and absorptive aqueous LiBr solution. Int. J. Heat Mass Transf. 2022, 188, 122621. [Google Scholar]
- Tyurenkova, V.V.; Smirnova, M.N. Material combustion in oxidant flows: Self-similar solutions. Acta Astronaut. 2016, 120, 129–137. [Google Scholar] [CrossRef]
- Smirnov, N.N. Heat and mass transfer in a multi-component chemically reactive gas above a liquid fuel layer. Int. J. Heat Mass Transf. 1985, 28, 929–938. [Google Scholar] [CrossRef]
- Smirnov, N.N.; Betelin, V.B.; Nikitin, V.F.; Stamov, L.I.; Altoukhov, D.I. Accumulation of errors in numerical simulations of chemically reacting gas dynamics. Acta Astronaut. 2015, 117, 338–355. [Google Scholar] [CrossRef]
- Smirnov, N.N.; Betelin, V.B.; Shagaliev, R.M.; Nikitin, V.F.; Belyakov, I.M.; Deryuguin, Y.N.; Aksenov, S.V.; Korchazhkin, D.A. Hydrogen fuel rocket engines simulation using LOGOS code. Int. J. Hydrog. Energy 2014, 39, 10748–10756. [Google Scholar] [CrossRef]
- Sodeifian, G.; Nikooamal, H.R.; Yousefi, A.A. Molecular dynamics study of epoxy/clay nanocomposites: Rheology and molecular confinement. J. Polym. Res. 2012, 19, 9897. [Google Scholar] [CrossRef]
- Sodeifian, G. Non-Linear Rheology of Polymer Melts: Constitutive Equations, Rheological Properties of Polymer Blends, Shear Flow, Sliding Plate Rheometers; Lambert Academic Publishing: Saarbruecken, Germany, 2021. [Google Scholar]
- Ramakrishna, S.B.; Thavada, S.K.; Venkatachala, G.M.; Bandaru, M. Impacts of chemical reaction, diffusion-thermo and radiation on unsteady natural convective flow past an inclined vertical plate under aligned magnetic field. Biointerface Res. Appl. Chem. 2021, 11, 13252–13267. [Google Scholar]
Disclaimer/Publisher’s Note: The statements, opinions and data contained in all publications are solely those of the individual author(s) and contributor(s) and not of MDPI and/or the editor(s). MDPI and/or the editor(s) disclaim responsibility for any injury to people or property resulting from any ideas, methods, instructions or products referred to in the content. |
© 2023 by the authors. Licensee MDPI, Basel, Switzerland. This article is an open access article distributed under the terms and conditions of the Creative Commons Attribution (CC BY) license (https://creativecommons.org/licenses/by/4.0/).




















