Abstract
This paper investigates the problem of distributed interval estimation for multiple Euler–Lagrange systems. An interconnection topology is supposed to be strongly connected. To design distributed interval observers, the coordinate transformation method is employed. The construction of the distributed interval observer is given by the monotone system theory, and the stability is analyzed by the Lyapunov stability theory. Unlike the current works, each sub-interval observer has its own gain; in addition to this, additional observer gains are used to reduce the conservatism of design. The gains of all sub-interval observers are determined by both the monotone system theory and the Lyapunov stability theory. Finally, a simulation example verifies the feasibility of the presented distributed interval observers.
Keywords:
distributed interval observers; multiple Euler–Lagrange systems; monotone system theory; Lyapunov stability theory MSC:
37M25
1. Introduction
Euler–Lagrange systems (ELSs) have been studied by a wide range of scholars as a common class of systems for describing many real mechanical models. In fact, some of the variables in a specific mechanical system are not directly available. Therefore, a number of scholars have addressed the observer design problem for ELSs. A speed observer design method for general ELSs was presented in [1]. The authors in [2] designed a nonlinear disturbance observer for ELSs and realized the estimation of unknown disturbances. Ref. [3] used a sliding-mode disturbance observer for ELSs to design a semi-global exponential controller. With the deepening of research and the development of multi-agent systems, scholars investigated the problem of the state estimation of multiple ELSs (MELSs) in recent years. In [4], the authors designed distributed observers (DOs) for a class of MELSs without external disturbances. Ref. [5] studied the output-based tracking control problem for MELSs, in which the authors designed a novel nonlinear DO. In [6], a DO-based fault-detection method for MELSs was introduced, and a DO-based controller was also designed. In addition to this, the investigation on MELSs with uncertainties had received considerable attention. Ref. [7] addressed the problem of leader-following consensus of uncertain MELSs under switching network topology and proposed a DO design method to recover the states. Moreover, the distributed adaptive observers were designed for MELSs with uncertainties in [8]. There are also other interesting works on MELSs [9,10,11,12] herein.
As an effective estimation method, interval observers (IOs) can recover the upper and lower boundaries of uncertain systems. The concept of IOs was introduced in [13]. The IOs are further divided into centralized IOs (CIOs) and distributed IOs (DIOs). There are many studies on CIOs [14,15,16,17,18,19,20,21]. For continuous systems, an IO design method was introduced for linear time-invariant systems with disturbances in [14]. The authors in [15] gave an effective design method of IO for time-varying systems. For discrete-time systems, [16] formulated a design framework of IO, and [17] investigated the IO design problem for time-varying discrete-time systems. In [18], the IO design method for discrete-time switched systems was studied. Over the past decade, the research of functional IO has also attracted the attention of some researchers [19,20,21]. On the other hand, the investigation on DIOs has also been reported by some works recently such as [22,23,24]. The authors of [22] presented an method to design DIOs, which was applied to fault detection for multi-agent systems. The authors of [23] considered the design method of DIOs for a class of linear time-invariant systems with uncertainties. Finally, The authors of [24] extended the DIOs design method to a class of fractional-order systems. The problem of estimation of MELSs is always complicated due to the uncertainty contained in the system itself. Most of the existing works add constraints to achieve state estimation; however, this problem can be avoided if an interval estimation approach is used and state estimation can also be achieved. Therefore, it is necessary to design DIOs for MELSs. To the authors’ best knowledge, there are few reports on DIOs for MELSs.
Based on the above discussion, this paper studies the DIOs design problem of MELSs. First of all, the coordinate transformation method must necessarily be introduced. Then, the framework of DIOs is constructed based on the monotone system theory. Additionally, the stability of DIO is guaranteed by Lyapunov stability theory. The rest of the paper is structured as follows. Section 2 gives the preliminaries, which include the graph theory and system model. Section 3 provides the DIO design method based on monotone system theory. In Section 4, a numerical example is used to show the validity of the presented design method of DIO. Finally, Section 5 is the conclusion of the paper.
Notaion: For a matrix E, denotes , = . For a real symmetric matrix indicates that O is positive (negative) definite, . ⊗ represents the Kronecker product, and the diag{·} denotes a block diagonal matrix.
2. Preliminaries
2.1. Graph Theory
For a digraph G with N vertices, the adjacency matrix is given by , if S, where S is the set of edges, and , otherwise. The length path from a vertex i to a vertex j is a sequence of distinct vertices starting at i and ending at j, and consecutive vertices are adjacent to each other. A graph G is said to be connected if there is a path between any two vertices of the graph G. The Laplacian matrix of graph is defined as . is called the degree matrix of . For a connected graph, the Laplacian matrix has a single zero eigenvalue and the corresponding eigenvector is . Additionally, if G is connected then , where is the eigenvalue of .
Lemma 1
([25]). Assume that is a strongly connected graph. Denote as the left eigenvector with eigenvalue 0, and ; then, holds.
Lemma 2
([26]). If graph is strongly connected, the generalized algebraic connectivity of could be represented as . If the topology is balanced, the matrix . Then, holds.
2.2. System Model
In general, an ELS with second-order dynamics can be written as
where is the vector of generalized coordinates, represents the inertia matrix, denotes the vector of Coriolis and centripetal forces, is the gravity vector, and stands for the vector of generalized control input forces. Next, we take the following transformations for system (1):
where , , , . The joint displacements are measurable; under the above state reconstruction, we can obtain the following equation:
where , , , and .
Lemma 3
([27]). If is a Lipschitz function that is globally differentiable, then there are two increasing Lipschitz functions and such that
Lemma 4
([27]). For the function in Lemma 3, a global Lipschitz function exists such that:
- ⋆
- ,
- ⋆
- , and .
The above lemmas can help us obtain the boundaries of nonlinear function :
Lemma 5
([24]). For , and defined in Lemma 4, matrices exist such that
where and .
Lemma 6
([14]). Given a constant matrix and a vector , if holds, then
In order to obtain the main results, we need the following assumptions.
Assumption 1.
The nonlinear function is considered as a global Lipschitz function.
Assumption 2.
For every sub-system, the initial state of system (3) satisfies the following inequality:
Assumption 3.
The topology graph is considered to be balanced and strongly connected.
Assumption 4.
Matrices L, M, , and exist such that Π is Metzler with
where .
Remark 1.
The above assumptions have been commonly used and widely accepted in previous studies. Similar to [22], the topology graph is supposed to be balanced and strongly connected in this paper; based on this, we provide the following results.
3. Main Results
To design DIO for system (3), some preliminary preparations are needed. First, the equivalence transformation is performed for system matrix . Using the linear transformation , the system (3) becomes
where , , and .
Remark 2.
In order to estimate the bounds of the nonlinear function , we define that
where and represent the estimated values of , and .
Under Lemma 6, the following inequality can be obtained:
Remark 3.
After the transformation of the coordinates, the conclusion of Lemma 5 takes the following form:
where are constant matrices.
To achieve , the following DIOs for each sub-system are constructed:
Then, the error system for i-th sub-system is obtained
Under Assumption 3, the dynamics of the global system are expressed as
where , , , , , , .
The dynamics of the global observer system are given by
where , , , , .
Theorem 1.
If Assumptions 1–4 hold, the and given in (15) satisfy .
Proof.
The dynamics of the global error system are given by
Define , then we can obtain the derivative of
where
The proof of the validity of (12) and (15) is equivalent to the proof of the non-negativity of the error system. From Lemma 4 and Remark 2, we have and . It is obvious that and from Assumption 2. By Assumption 4, we have is Metzler. Above all, considering the monotone system theory, holds, which implies for all Hence, the proof of Theorem 1 is completed.
After proving the boundedness of DIO, we proceed to design the observer gain , and to guarantee the stability of the DIO (15).
Theorem 2.
Proof.
A Lyapunov function candidate can be defined as ; then, the derivative of can be written as □
It follows from Lemma 2 that
Then, and are equal, which shows that and . The stability of DIO can be guaranteed.
Remark 4.
To satisfy the LMI toolbox, are applied to Ω, which results in
4. Simulation
In this section, a team of 2-DOF manipulator models with an directed graph is applied to validate the feasibility of the presented DIOs for ELSs. The example runs on a CPU Inter Core i7-10750H CPU with 2.59 GHZ and 8 GB of RAM; the main software used is MATLAB 2018a.
The parameters of the model can be referred to [12], and the description of the parameters is shown in Table 1. First of all, the matrix is
Table 1.
The descriptions of the parameters.
From Lemma 2, it follows that . Then, we chose the coordinate transformation matrix as
Noting Remark 4, we can obtain
The initial value is defined as . The initial values of DIO are chosen as and , and is given as .
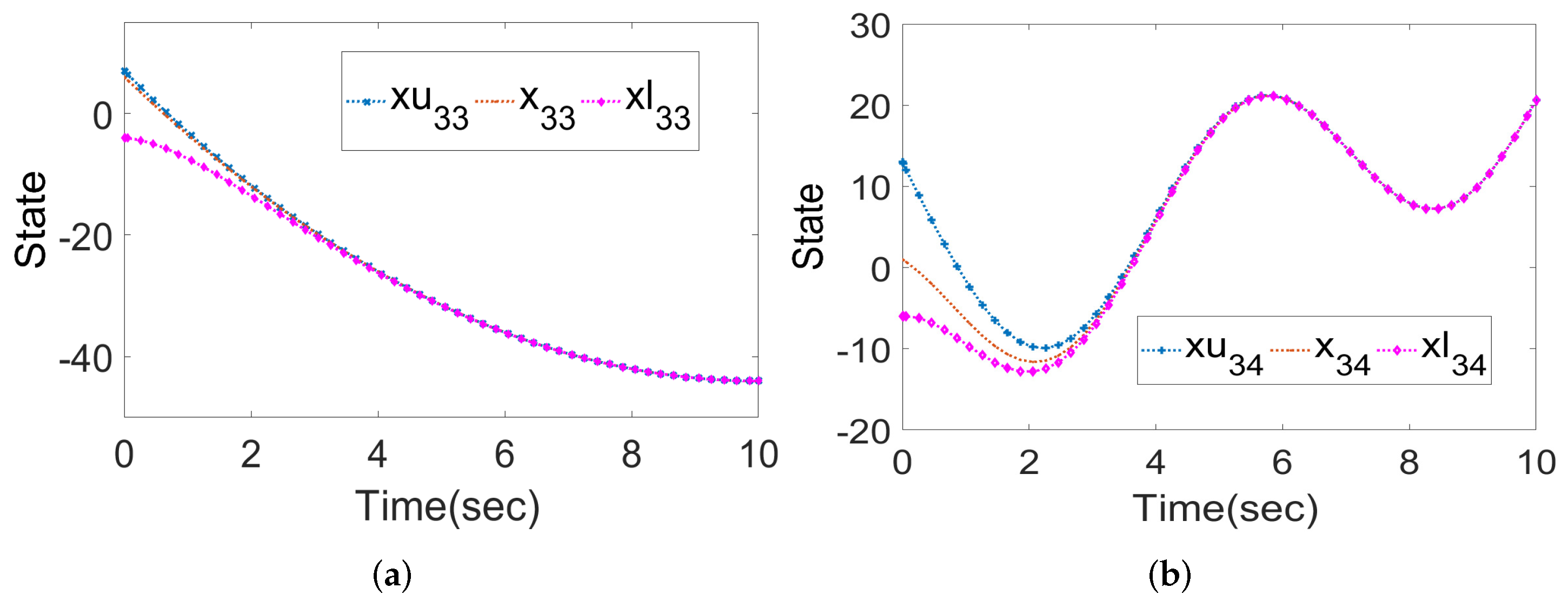
The simulation results are displayed in the figures below. It is worth noting that i in refers to the i-th manipulator and j represents the j-th state. Figure 1, Figure 2, Figure 3 and Figure 4 depict the original state trajectory of velocity and the state trajectory of DIO at the two joints of the four manipulators, respectively. It can be seen that the boundaries of the DIO recover the state of the original system. Figure 5, Figure 6, Figure 7 and Figure 8 show the errors in the DIO and the original system velocity for the four manipulators at the two joints, respectively. From the figures, we can see that the error between the original system and observer converge to a small bound, which means that the DIO is valid.
Figure 1.
Evolutions of velocity of original system and DIO at the first joint (a) and second joint (b) of first manipulator.
Figure 2.
Evolutions of velocity of original system and DIO at the first joint (a) and second joint (b) of second manipulator.
Figure 3.
Evolutions of velocity of original system and DIO at the first joint (a) and second joint (b) of third manipulator.
Figure 4.
Evolutions of velocity of original system and DIO at the first joint (a) and second joint (b) of fouth manipulator.
Figure 5.
The error between the observer and the original system of the first manipulator.
Figure 6.
The error between the observer and the original system of the second manipulator.
Figure 7.
The error between the observer and the original system of the third manipulator.
Figure 8.
The error between the observer and the original system of the fouth manipulator.
Remark 5.
In the simulation, we first need to design a coordinate transformation matrix and then solve (25) by using the LMI toolbox, and the feasible solution is applied to the simulation model we have built. The complexity of the computation is reflected in solving the LMI, and the details are shown in Table 2.
Table 2.
Complexity of the calculation.
It is worth noting that the parameters in Table 2 all need to be recalculated if the topology or the coordinate transformation matrix changes.
Remark 6.
Compared with [22], MELSs contain nonlinearities, which makes it more complicated to design the IO. That is, the design method proposed in the paper can also be applied to more general systems. Unlike [24], two observer gains and are considered to make the the sufficient condition less conservative while ensuring the existence of the interval observer. As shown in Table 3, the conditions obtained using the method in this article are solvable. However, using the method in [24], there is no solution.
Table 3.
The solution under different [24].
5. Conslusions
In this paper, a DIO design method for MELSs is studied. The design conditions are relaxed by using the coordinate transformation method. Two methods of designing observer gains are formulated under monotone system theory and Lyapunov stability theory. Meanwhile, the additional observer gains and are introduced in DIO, which also provide more feasibility for the existence of the observer. Finally, an example is given to verify the effectiveness of the presented DIO design method. In the future, we will try to relax the requirements of the topology graph and study the design of DIO-based controller algorithms.
Author Contributions
Conceptualization, Z.Y. and J.H.; Methodology, Z.Y., J.H. and T.N.D.; Validation, Z.Y., J.H. and T.N.D.; Writing—original draft, Z.Y.; Writing—review & editing, J.H. and T.N.D.; Supervision, J.H. All authors have read and agreed to the published version of the manuscript.
Funding
This research received no external funding.
Data Availability Statement
Not applicable.
Conflicts of Interest
The authors declare no conflict of interest.
References
- Stamnes, Ø.N.; Aamo, O.M.; Kaasa, G.O. A constructive speed observer design for general Euler–Lagrange systems. Automatica 2011, 47, 2233–2238. [Google Scholar] [CrossRef]
- Mohammadi, A.; Marquez, H.J.; Tavakoli, M. Nonlinear disturbance observers: Design and applications to Euler–Lagrange systems. IEEE Control Syst. Mag. 2017, 37, 50–72. [Google Scholar]
- Sun, T.; Cheng, L.; Wang, W.; Pan, Y. Semiglobal exponential control of Euler–Lagrange systems using a sliding-mode disturbance observer. Automatica 2020, 112, 108677. [Google Scholar] [CrossRef]
- Stamnes, Ø.N.; Aamo, O.M.; Kaasa, G.O. Global output feedback tracking control of Euler–Lagrange systems. IFAC Proc. Vol. 2011, 44, 215–220. [Google Scholar] [CrossRef]
- Yang, Q.; Fang, H.; Mao, Y.; Huang, J. Distributed tracking for networked Euler–Lagrange systems without velocity measurements. J. Syst. Eng. Electron. 2014, 25, 671–680. [Google Scholar] [CrossRef]
- Liu, L.; Shan, J. Distributed formation control of networked Euler–Lagrange systems with fault diagnosis. J. Frankl. Inst. 2015, 352, 952–973. [Google Scholar] [CrossRef]
- Cai, H.; Huang, J. Leader-following consensus of multiple uncertain Euler–Lagrange systems under switching network topology. Int. J. Gen. Syst. 2014, 43, 294–304. [Google Scholar] [CrossRef]
- Cai, H.; Huang, J. The leader-following consensus for multiple uncertain Euler–Lagrange systems with a distributed adaptive observer. In Proceedings of the 2015 IEEE 7th International Conference on Cybernetics and Intelligent Systems (CIS) and IEEE Conference on Robotics, Automation and Mechatronics (RAM), Siem Reap, Cambodia, 15–17 July 2015; pp. 218–223. [Google Scholar]
- Cai, H.; Huang, J. The leader-following consensus for multiple uncertain Euler–Lagrange systems with an adaptive distributed observer. IEEE Trans. Autom. Control 2015, 61, 3152–3157. [Google Scholar] [CrossRef]
- Wang, S.; Huang, J. Adaptive leader-following consensus for multiple Euler–Lagrange systems with an uncertain leader system. IEEE Trans. Neural Netw. Learn. Syst. 2018, 30, 2188–2196. [Google Scholar] [CrossRef]
- Guo, X.; Wei, G.; Yao, M.; Zhang, P. Consensus Control for Multiple Euler–Lagrange Systems Based on High-Order Disturbance Observer: An Event-Triggered Approach. IEEE/CAA J. Autom. Sin. 2022, 9, 945–948. [Google Scholar] [CrossRef]
- Sun, Y.; Dong, D.; Qin, H.; Wang, W. Distributed tracking control for multiple Euler–Lagrange systems with communication delays and input saturation. ISA Trans. 2020, 96, 245–254. [Google Scholar] [CrossRef] [PubMed]
- Gouzé, J.L.; Rapaport, A.; Hadj-Sadok, M.Z. Interval observers for uncertain biological systems. Ecol. Model. 2000, 133, 45–56. [Google Scholar] [CrossRef]
- Mazenc, F.; Bernard, O. Interval observers for linear time-invariant systems with disturbances. Automatica 2011, 47, 140–147. [Google Scholar] [CrossRef]
- Thabet, R.E.H.; Raissi, T.; Combastel, C.; Efimov, D.; Zolghadri, A. An effective method to interval observer design for time-varying systems. Automatica 2014, 50, 2677–2684. [Google Scholar] [CrossRef]
- Mazenc, F.; Dinh, T.N.; Niculescu, S.I. Interval observers for discrete-time systems. Int. J. Robust Nonlinear Control 2014, 24, 2867–2890. [Google Scholar] [CrossRef]
- Efimov, D.; Perruquetti, W.; Raïssi, T.; Zolghadri, A. Interval observers for time-varying discrete-time systems. IEEE Trans. Autom. Control 2013, 58, 3218–3224. [Google Scholar] [CrossRef]
- Guo, S.; Zhu, F. Interval observer design for discrete-time switched system. IFAC-PapersOnLine 2017, 50, 5073–5078. [Google Scholar] [CrossRef]
- Gu, D.K.; Liu, L.W.; Duan, G.R. Functional interval observer for the linear systems with disturbances. IET Control Theory Appl. 2018, 12, 2562–2568. [Google Scholar] [CrossRef]
- Raïssi, T.; Videau, G.; Zolghadri, A. Interval observer design for consistency checks of nonlinear continuous-time systems. Automatica 2010, 46, 518–527. [Google Scholar] [CrossRef]
- Huong, D.C. Design of functional interval observers for non-linear fractional-order systems. Asian J. Control 2020, 22, 1127–1137. [Google Scholar] [CrossRef]
- Zhang, Z.H.; Yang, G.H. Distributed fault detection and isolation for multiagent systems: An interval observer approach. IEEE Trans. Syst. Man Cybern. Syst. 2018, 50, 2220–2230. [Google Scholar] [CrossRef]
- Li, D.; Chang, J.; Chen, W.; Raïssi, T. IPR-based distributed interval observers design for uncertain LTI systems. ISA Trans. 2022, 121, 147–155. [Google Scholar] [CrossRef] [PubMed]
- Zhang, H.; Huang, J.; He, S. Fractional-Order Interval Observer for Multiagent Nonlinear Systems. Fractal Fract. 2022, 6, 355. [Google Scholar] [CrossRef]
- Yu, W.; Chen, G.; Cao, M.; Kurths, J. Second-order consensus for multiagent systems with directed topologies and nonlinear dynamics. IEEE Trans. Syst. Man Cybern. Part B (Cybern.) 2009, 40, 881–891. [Google Scholar]
- Li, Z.; Liu, X.; Fu, M.; Xie, L. Global H∞ consensus of multi-agent systems with Lipschitz non-linear dynamics. IET Control Theory Appl. 2012, 6, 2041–2048. [Google Scholar] [CrossRef]
- Moisan, M.; Bernard, O. Robust interval observers for global Lipschitz uncertain chaotic systems. Syst. Control Lett. 2010, 59, 687–694. [Google Scholar] [CrossRef]
Disclaimer/Publisher’s Note: The statements, opinions and data contained in all publications are solely those of the individual author(s) and contributor(s) and not of MDPI and/or the editor(s). MDPI and/or the editor(s) disclaim responsibility for any injury to people or property resulting from any ideas, methods, instructions or products referred to in the content. |
© 2023 by the authors. Licensee MDPI, Basel, Switzerland. This article is an open access article distributed under the terms and conditions of the Creative Commons Attribution (CC BY) license (https://creativecommons.org/licenses/by/4.0/).







