Abstract
With the rapid development of e-commerce, the online channels encroaching on the offline sales market are becoming more serious, which will definitely harm the offline market. Moreover, there exists a certain percentage of consumers (mostly elderly people) who are not able to purchase online because they lack digital skills. Therefore, understanding the impact of the purchase channel preference and service level on pricing decisions is vital for the dual-channel supply chain management. Focusing on the channel preference and service level, we first develop an optimal pricing model containing centralized and decentralized decision-making for an online and offline retailer by deploying the Stackelberg game. We first develop a Stackleberg game to capture such a dual-channel supply chain with the offline channel preference and service level. Secondly, under centralized decision-making, we derive the optimal retail prices and obtain the optimal total profit. Thirdly, under decentralized decision-making, we obtain the optimal retail prices and optimal total profit as well. Moreover, extensive monotonicity properties when system parameters change are obtained. Relying on the theoretical results, firstly, we show that the improvement of the offline service level would lead to higher pricing of the commodities for both online and offline channels. From our numerical results, when the service level is improved, the offline and online optimal pricing increases by 47.5% and 31.1%, respectively, which may contradict the conventional belief that the improvement of one channel would harm another one. Secondly, we demonstrate that the benefit of improving the offline service level has a diminishing marginal effect. The numerical results show that when the current service level is low, the effectives of improving the service level is roughly five times that when the service level is high. This indicates that the investment in improving the offline service level should not be unlimited. Thirdly, we show that the pricing decision under centralized decision-making should be adopted with the existence of both the offline channel preference and offline service.
MSC:
90B06
1. Introduction
Nowadays, most enterprises are used to selling commodities both online and offline. As the Internet provides a transparent environment through which consumers can obtain product information and compare prices, more consumers turn to buying commodities online [1]. Between 2020 and 2022, China’s internet sales showed a growth trend, and the yearly online shopping increased by 4% in 2020. In 2023, China’s yearly e-commerce transactions increased by 11% and reached 15.42 trillion RMB. The rapid development of e-commerce has greatly changed the sales model of enterprises [2]. This selling mode does not only provide the consumers more possibilities to purchase commodities based on their preference but also helps to identify the potential market demand for the enterprises. However, the blooming of online sales encroaches the offline sales, which leads to the massive closure of offline stores. Meanwhile, the strong preference of certain groups, mostly elderly people, who are not able to accomplish purchases online, exists. Due to corporate social responsibility, enterprises should not shut down all offline purchase possibilities. Moreover, for certain commodities, for instance, clothes, shoes, etc., a large portion of consumers prefer to try them directly in the offline store, and hence, the service level in offline stores becomes vital to increase the profit. In such circumstances, certain consumers are even willing to pay extra compared with the online price to obtain the direct experience from the commodities. Therefore, managers must consider the channel preference of customers when making decisions [3]. We see that if the enterprise chooses to constantly expand online sales and ignore consumers’ offline channel preferences, it may also lead to a loss in the enterprise’s total profit. Therefore, we strive to understand the impact of the channel preference and offline service level on the optimal pricing strategy in dual-channel supply chains. This optimal pricing policy could guide the enterprise to maximize its profit by considering the channel preference and service level.
Existing literature rarely considers the impact of the consumer channel preference and offline service level simultaneously on the optimal pricing for dual-channel supply chains. Therefore, we aim to answer the following research questions.
(1) Does the improvement of the offline service level always harm the online channel?
(2) What is the optimal investment for the offline service level? Should this improvement be unlimited?
(3) While considering the offline channel preference and service level, which decision-making mode, centralized or decentralized, will generate higher profit?
To answer the above questions, we develop a Stackelberg game incorporating the channel preference and service level for the pricing of a two-channel supply chain under centralized and decentralized decision models [4]. Our main contributions are as follows. Firstly, we obtain explicitly the equilibrium of the proposed Stackelberg game, which captures the pricing decisions in dual-channel supply chains considering the channel preference and service level. This equilibrium provides the optimal number of commodities that should be stored for online and offline sales. Secondly, we also derive optimal pricing in such a dual-channel supply chain. We show that the improvement of the offline service level is able to promote both offline and online pricing, which contradicts the conventional belief that the improvement of offline sales would always harm online sales. Thirdly, while incorporating the service level and channel preference in the Stackelberg game, the enterprise should use centralized decision-making, instead of decentralized decision-making, to achieve the optimal profit in such a dual-channel supply chain.
The rest of the paper is organized as follows. Section 2 reviews the relevant literature. In Section 3, we develop the Stackleberg game model. In Section 4, we derive the equilibrium solutions for centralized and decentralized decision making and obtain the monotonicity properties for the optimal retail prices and profits. In Section 5, numerical results are illustrated to identify the influence of the offline channel preference and service level on the optimal pricing and profit. Finally, we conclude our findings and discuss the management insights in Section 6.
2. Literature Review
There are mainly three literature streams for this research: e-commerce supply chain, dual-channel supply chain considering consumer preferences, and dual-channel supply chain considering the service level.
2.1. Research on E-Commerce Sales in the Supply Chain
With the development of science and technology, e-commerce is becoming more and more prevailing. Zong et al. probed whether the manufacturer should adopt the online dual-channel strategy under the background of the existence of an e-commerce platform [5]. Currently, most enterprises provide both online and offline sales channels. The emergence of online channels will greatly influence the conventional sales mode, which only contains the offline channel. In particular, this may result in a conflict of sales channels; the expanding of online sales is likely to deteriorate offline sales. For example, because of the difference between online and offline pricing, which tends to lead to competition between channels, Pan et al., in their study, argue that the main cause of online and offline conflict is pricing [6]. Cattani et al. also point out that with the introduction of the online channel, the price will become the focus of competition, thus worsening the competition environment between channels [7]. In fact, there are many reasons for the competition between the online and offline sales channels, Huang et al. analyze four kinds of pricing strategies after the introduction of the online channel and explore the channel pricing in the competitive environment [8]. Abhishek et al. study the pricing decisions of e-retailers in the context of competition with traditional retail channels and compare the different impacts of agency and resale models [9]. Wang et al. explore the impact of equity on profits after manufacturers introduce online sales channels [10]. Siqin et al. find that the channel operation mode of the e-retailer will create “obstacles” or “strengthen links” between the two channels; that is, the expected profit of the e-retailer will be weakened or strengthened by the difference in the cross-channel mode [11]. Zhou et al. study the risk factors of the cross-border e-commerce supply chain and put forward the circumvention strategy [12]. We see that, currently, most enterprises have adopted a dual-channel supply chain; therefore, our investigation should focus on the supply chain incorporating both offline and online channels.
2.2. The Impact of Consumer’s Preference on the Pricing of a Dual-Channel Supply Chain
The emergence of online sales adds more diversity to consumer’s preferences. Moreover, consumer preference will certainly influence the pricing in a dual-channel supply chain. For instance, in low-carbon consumer preferences, Ji et al. discuss the chain enterprise’s emission-reduction behavior under the condition of a retail channel and dual-channel [13]. Xin et al. combine reducing carbon emissions with consumers’ channel preferences to establish a linear demand function that reflects consumers’ channel preference and low-carbon sensitivities [14]. Zhang et al. ensure online shopping and in-store pick-up in a dual-channel low-carbon supply chain, taking into account consumers’ low-carbon preference [15]. Some consumers also have a channel preference; Khouja et al. point out that a consumer’s preference varies from channel to channel and that the degree of preference depends on the price expectation and price difference between channels [16]. Xu et al. study the effects of channel preferences and free-rider behavior on the optimal pricing, sales effort, and profits of dual-channel members under decentralized and centralized decision-making [17]. Xu et al. construct a two-channel supply chain dominated by manufacturers, considering consumer’s green quality and channel preferences, and compared the effects of the manufacturer’s subsidy strategy and the retailer’s strategic subsidy [18]. Based on the channel preference of consumers, Wang et al. divide consumers into three types and uses the Stackelberg game to study the price decision-making problem in a two-channel supply chain [19]. Besides the channel preference, channel aversion also exists; Liu et al. establish a consumer aversion behavior model, determine the optimal pricing strategy, and discuss the impact of consumer aversion decision-making [20]. The existing literature considers consumer’s channel preferences, such as green preference, price preference, consumer aversion, etc. However, the investigation of the combination of the service level and channel preference is absent; see Table 1. Therefore, we focus on pricing decisions in dual-channel supply chains considering the channel preference and service level.
2.3. The Impact of Service Level on the Pricing of a Two-Channel Supply Chain
Although online sales are still booming, the service level is still vital in attracting consumers, especially in the e-commerce booming era of the Internet. For the service level in dual channels, Tsay and Agrawal first consider the retail service in the supply chain and establish the supply chain model of price and service competition [21]. Some researchers also investigated how the service level affects dual-channel pricing and profits. For instance, Zhang et al. established a two-channel supply chain model, including pricing and service, by studying the service level of a single manufacturer and multiple retailers and obtained a Nash equilibrium solution [1]. Based on game theory, Cao et al. consider the effects of product quality, promotion intensity, and mixed channels on supply chain performance in four kinds of dual-channel structures and find that retailers are generally more willing to offer promotion activities regardless of product quality [22]. Chen et al. use optimization theory to study the service spillover effect in the Stackelberg game and the influence of different channel structures on the optimal decision-making of supply chain members and find that under the dual-channel structure, higher service spillover is beneficial to the retailer to obtain more returns [23]. In a downturn, an appropriate level of service provision is not only good for economic recovery but also good for business profits [24]. In addition, He et al. consider the problem of insufficient service in two-channel sales and study the influence of the service expectation and service sensitivity coefficient on the optimal decision; there is a linkage mechanism between the optimal retail price and the optimal service level [25].
The above research shows that service level has an inevitable effect on a dual-channel supply chain. Existing literature rarely considers the impact of the service level on dual-channel pricing; see Table 1. Therefore, together with the channel preference, we incorporate the service level to determine the optimal pricing in a dual-channel supply chain.
Table 1.
Comparison of existing research and our work.
Table 1.
Comparison of existing research and our work.
| Author(s) | Supply Chain Structure | Pricing Policies | Service Level | Channel Preference | Green Preference | Service Preference | Price Preference |
|---|---|---|---|---|---|---|---|
| Zhang et al. [1] | One manufacturer, two retailers | √ | √ | √ | |||
| Ke & Liu [3] | Multiple manufacturers, two retailers | √ | √ | √ | |||
| Zong et al. [5] | One manufacturer, two retailers | √ | √ | ||||
| Ji et al. [12] | One manufacturer, two retailers | √ | √ | ||||
| Ali et al. [26] | One manufacturer, two retailers | √ | √ | √ | √ | ||
| Ma & Hong [26] | One manufacturer, two retailers | √ | √ | √ | |||
| This study | One manufacturer, two retailers | √ | √ | √ | √ |
3. The Stackleberg Game Model
3.1. Notations
We adopt a dual-channel supply chain model consisting of a single online retailer and a single offline retailer (see Figure 1) according to Ma and Hong [26]. The commodities are supplied directly from the manufacturer, and the selling of the commodities is handled by the retailer in both channels. The costs of commodities from the manufacturer to both the online and offline retailer are the same; we denote this cost by . The selling prices for the online retailer and offline retailer are denoted by and respectively, in Figure 1. The subscripts N and R in and denote the online and offline circumstances, respectively [27,28].
Figure 1.
Dual-channel supply chain model.
According to [29,30,31], we assume that consumers’ willingness to purchase offline , where . Then the willingness to purchase online is (1). We see that indicates that no consumer is willing to buy offline and indicates that all consumers are willing to buy offline. The extra cost from the offline channel (such as rent, hiring sellers etc.) compared with the online channel is denoted by [32]. According to [32], we assume that the relationship between the service cost and service level is, where is the service level and is the service cost coefficient.
The incremental of consumer’s willingness to purchase offline as we improve the service level does not remain the same for every consumer. Therefore, following [9], we use to characterize this variation, where 0 < < 1, i.e., when consumer’s purchase willingness is not affected by the offline service level, and when consumer’s purchase willingness is fully affected by the offline service level.
Similar to [33,34], we use to denote the total demand for this commodity in the market. The number of commodities sold offline is, of which, where is the sensitivity coefficient of consumers to the price of channel demand and denotes the coefficient of elasticity of the effect of price changes in other channels on the consumer demand. Moreover, the product is the extra quantity of commodities that consumers choose to buy offline when offline service exists. Similarly, we have the quantity of commodities sold online as. Similar to [10], we assume that because the impact of price changes in its own channel is usually greater than the impact of price changes in other channels. The notations for parameters and variables are displayed in Table 2.
Table 2.
Notations for parameters and variables.
3.2. Model Formulation
Similar to [10], we assume that the information of the market is transparent, and hence, the demand of the market can be calculated and there is no shortage or overproduction of the commodity. Recall that the demand of commodities from the offline retailer is, then the demand of the online retailer, and following the description in the last section, we have
We know that the online and offline retailers always make their own decisions to maximize their own profit. In the dual-channel supply chain, we denote the online profit by and offline profit by . In particular, the online profit is the product of and where is the profit for each commodity sold online, and is the online demand. For the offline profit, the extra service level cost is deducted.
4. Model Analysis
In this section, we first consider centralized decision-making, we derive the Nash equilibrium to obtain the optimal retail prices and the corresponding profits. Then, under decentralized decision-making, we find the optimal pricing and profits. Moreover, extensive monotonicity properties for the equilibriums are investigated. Finally, the impact of the offline channel preference and service level on pricing and profits under centralized and decentralized decision-making are compared.
4.1. Centralized Decision-Making
In centralized decision-making, we have the objective of maximizing the overall profit of the dual-channel supply chain. In such a setting, we obtain the total profit of the dual-channel supply chain, which is denoted by , as follows:
Under centralized decision-making, we denote the optimal online retail price by and the optimal offline retail price by . Moreover, we denote the optimal quantity of online sales by and the optimal quantity of offline sales by . The corresponding optimal total profit is denoted by .
Theorem 1.
Under centralized decision-making, we have
We defer all the proofs to Appendix A.
Corollary 1.
Under centralized decision-making, when , decreases as increases. When , increases as increases.
From the proof of Corollary 1, we see that when is changing from 0 to 1, the total profit has a reversed bell shape. This result indicates that if the consumer’s channel preference is not extreme, the price-adjustment strategy is not very useful in improving the total profit.
Corollary 2.
Under the centralized decision, when , increases in service level , and when decreases in service level .
From the proof of Corollary 2, we see that when the service level increases, the total profit has a bell shape. When the enterprise starts to improve its service level, more consumers will be attracted and both online and offline optimal selling prices will increase; hence, the total profit will increase. However, when the offline service level , the total profit will decrease as we continue to improve the service level; this is true because the cost of a higher service level is harmful to the total profit. Moreover, when the price is too high, more consumers will give up purchases, which decreases the total profit as well. Therefore, the enterprise should certainly maintain a proper service level.
4.2. Decentralized Decision-Making with the Online Retailer Dominant
In this case, the online retailer is dominant and has priority in decision-making. Using the Stackelberg game, the online retailer is treated as the leader and the offline retailer as the follower. In a game with full information, the online retailer first determines the optimal selling price that maximizes its profits, which is denoted by, and the offline retailer observes the decisions of the online channel and determines the optimal pricing that maximizes its profit, which is denoted by . In such a setting, we obtain the online and offline channel profit, which is denoted by and .
Theorem 2.
Under decentralized decision-making with online retailer dominant, we have
4.3. Decentralized Decision-Making with the Offline Retailer Dominant
Under decentralized decision-making, when the offline retailer is dominant, the offline retailer is the leader and the online retailer is the follower. The offline retailer first determines the optimal offline selling price, which is denoted by, and then, the online retailer observes the offline retailer’s decisions and decides its optimal retail pricing, which is denoted by . The optimal online profit is denoted by , and the optimal offline profit is denoted by .
Theorem 3.
Under decentralized decision-making with the offline retailer dominant
The results in Theorem 3 can be readily verified, and thus, we omit the proof. From the analysis in Section 4.2 and Section 4.3, we see that under decentralized decision-making, the optimal quantity and optimal profit for both online and offline channels are influenced by channel preference and service level. On the contrary, in centralized decision-making, the optimal quantity of the online channel is only related to the offline channel preference Next, we investigate the optimal pricing of the dual-channel supply chain under the decentralized decision further.
Corollary 3.
Under decentralized decision-making, when the channel preference increases, both the online and offline retailer’s profits decrease first and then increase.
- When , we have . Moreover, when , we have . When , we have .
- When , we have . Moreover, when , we have . When , we have .
- When, we have . Moreover, when , we have . When , we have .
- When , we have . Moreover, when , we have . When , we have .
From the proof of Corollary 3, we see that either the online retailer or the offline retailer is dominant, and under the decentralized decision-making, both online and offline retailer profits are the concave functions of the channel preference . Therefore, under the decentralized decision-making, if consumers have an offline channel preference, both the online and offline retailer can make their profits by adjusting their pricing according to the offline channel preference.
Corollary 4.
Under decentralized decision-making, when service level increases, the online channel profit increases, and the offline channel profit increases first and then decreases.
- When , we have . Moreover, when , we have . When , we have .
- When , we have . Moreover, when , we have . When , we have .
- When, we have . Moreover, when , we have . When , we have .
- When , we have . Moreover, when , we have . When , we have .
From the proof of Corollary 4, we find that under decentralized decision-making, whether the online retailer is dominant or the offline retailer is dominant, the online retailer’s profit will always increase as the offline service level increases, the offline retailer’s profit will first increase and then decrease because of the service cost . Therefore, the offline retailers need to maintain a proper offline service level to achieve the maximum profit.
By comparing the results under centralized and decentralized decision-making, we obtain Corollaries 5 and 6.
Corollary 5.
In both centralized and decentralized decision-making, when the offline channel increases, the online channel decreases, but the offline channel price increases when increases from 0 to 1. In particular, regarding the online channel price, we have , , and . Regarding the offline channel price, we have , and .
From the proof of Corollary 5, we see that in both cases, when the consumer’s channel preference is strong, i.e., is close to 1, the offline selling price will be high and the offline demand will be large. Consequently, the offline profit will be high as well. In this case, the online retailer will decrease the price to attract more consumers to achieve higher profit. Therefore, when the channel preference is obvious, the manufacturer can realize the maximum profit by adjusting the online and offline pricing properly.
Corollary 6.
In both centralized and decentralized decision-making, when the service level of the offline channel increases, both online and offline equilibrium pricing also increases. In particular, regarding the online channel price, we have , . Regarding the offline channel price, we have , .
Since the cost of offline service increases as we improve the service level, the offline retailer would naturally increase their prices to maintain the profit. When the consumer’s preference remains unchanged, the portion of online and offline consumers would keep the same. Therefore, the online retailer will also increase their selling prices to increase their profits. However, we see from the proof of Corollary 6 that the magnitude of the incremental of the online selling price never exceeds that of the offline selling price.
5. Numerical Experiments
In this section, numerical results are demonstrated to enhance the previous theoretical findings.
According to [30,31], we assume that the total potential demand for commodities in the market, the cost of the commodities [29] is , the sensitivity coefficient of consumers to the price of channel demand, and the elasticity of the impact of price changes in other channels on consumer demand is . We assume that the coefficient of elasticity of demand for offline service levels impact and the service level efficiency, similar to that in [29].
5.1. Centralized Decision-Making
(1) The impact of the offline channel preference on total profit and retailer pricing.
According to [32], we assume that the service level, let vary within [0.1, 0.9], the total profit under centralized decision-making, and the optimal pricing of the online and offline commodities are demonstrated in Figure 2a and Figure 2b respectively.
Figure 2.
(a) on ; (b) on .
We see from Figure 2a that when the offline channel preference increases from 0.1 to 0.9, the total profit decreases first, which illustrates the result in Corollary 1. We see from this example that when = 0.5, the total profit will decrease by 10.9%; therefore, the managers should be cautious when the preference is weak. When is between 0 and 0.5, the extra profit gained from offline retailers does not compensate for the loss from the online retailers, and hence, the total profit continues to decrease. When is between 0.5 and 1, the extra profit gained by the offline retailers exceeds the loss from the online retailers, and hence, the total profit continues to increase. Then, = 0.9, the total profit is, which is higher than that when = 0.1; therefore, we see that higher total profit will be achieved when the consumer’s offline channel preference is strong.
In Figure 2b, when increases, the offline retailers would increase the selling price to gain more profit. In particular, this trend is linear, which aligns with the result in Corollary 5. When changes from 0.1 to 0.9, we see from the example that the offline selling price has increased 36%. On the contrary, as increases, the online selling price decreases.
(2) The impact of the offline service level on total profit and retailer pricings.
In order to observe the subtle changes, we take, similar to the choice in [30,31], which is the case in which the offline channel preference is not obvious. When the offline service level is varying from 0 to 200, we demonstrate the total profit and retail pricings in Figure 3a and Figure 3b, respectively.
Figure 3.
(a) on ; (b) on .
From Figure 3a, we see that when service level increases, the total profit under centralized decision-making first increases and then decreases, which verifies Corollary 2. The maximum total profit can be achieved when . Compared with the total profit when no service is provided (), the maximum total profit is increased by 26.5%. Therefore, we see that it is worth it to invest in improving the service level if the current service level is low. However, when the service level exceeds , the total profit starts to decrease. This is true because the increasing service level involves higher costs. Moreover, when both online and offline pricing continues to increase, more consumers will give up the purchase, which will decrease the total profit.
We see from Figure 3b that when increases from 0 to 200, the online and offline retail prices both increase linearly. In particular, the offline retail price increases faster. We see from the above numerical illustrations that the enterprise should maintain a proper service level to achieve the optimal total profit.
5.2. Decentralized Decision-Making
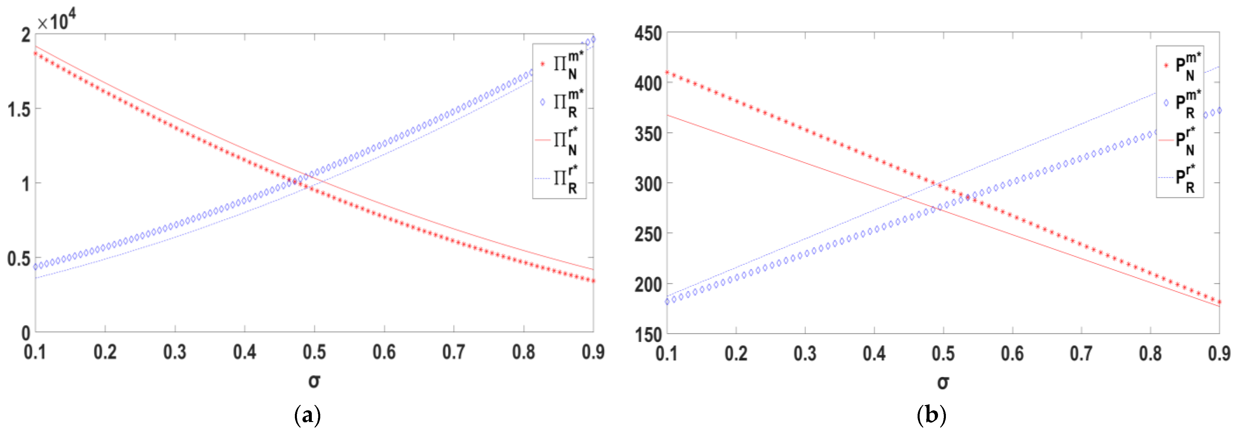
(3) The impact of the offline channel preference on the retailer’s profit and pricing.
According to [18], we take, and when is varying from 0.1 and 0.9, we demonstrate the retailer’s profit and pricing in Figure 4a and Figure 4b, respectively.
Figure 4.
(a) ; (b) .
From Figure 4a, it can be seen that consumer’s offline channel preference increases, the profit of online channel retailers gradually decreases, and the profit of offline channel retailers gradually increases. From Figure 4b, it can be seen that consumer’s offline channel preference gradually increases when online pricing decreases linearly and offline pricing increases linearly. The offline channel pricing increases faster when the offline channel is dominant compared with the case when the online channel is dominant. This is because offline retailers make decisions first when the offline channel is dominant, and as consumer’s preference for the offline channel increases, offline retailers will raise prices to maximize the profits. This is consistent with Corollaries 3 and 5.
(4) The impact of the service level on the retailer’s profit and pricing.
Let vary from 0 to 200, similar to [30,31], we take, and we show the impact of offline service level on the online and offline profits and pricing in Figure 5a,b.
Figure 5.
(a) ; (b) .
From Figure 5a,b, we see that when the offline service level increases, for both channels, the optimal pricing and profits increase. From the proof of Corollaries 4 and 6, from Figure 5a, we see that when increases, both online retail prices keep increasing. However, the cost for improving the service level is increasing, and the consumers may give up purchasing due to soaring prices. Therefore, when offline service level varies within [0, 200], the optimal service level maximizes the offline profit. In our numerical example, we see that when s = 72.5, the offline profit achieves its maximum, which is and ; therefore, the offline service level should be maintained at a proper level.
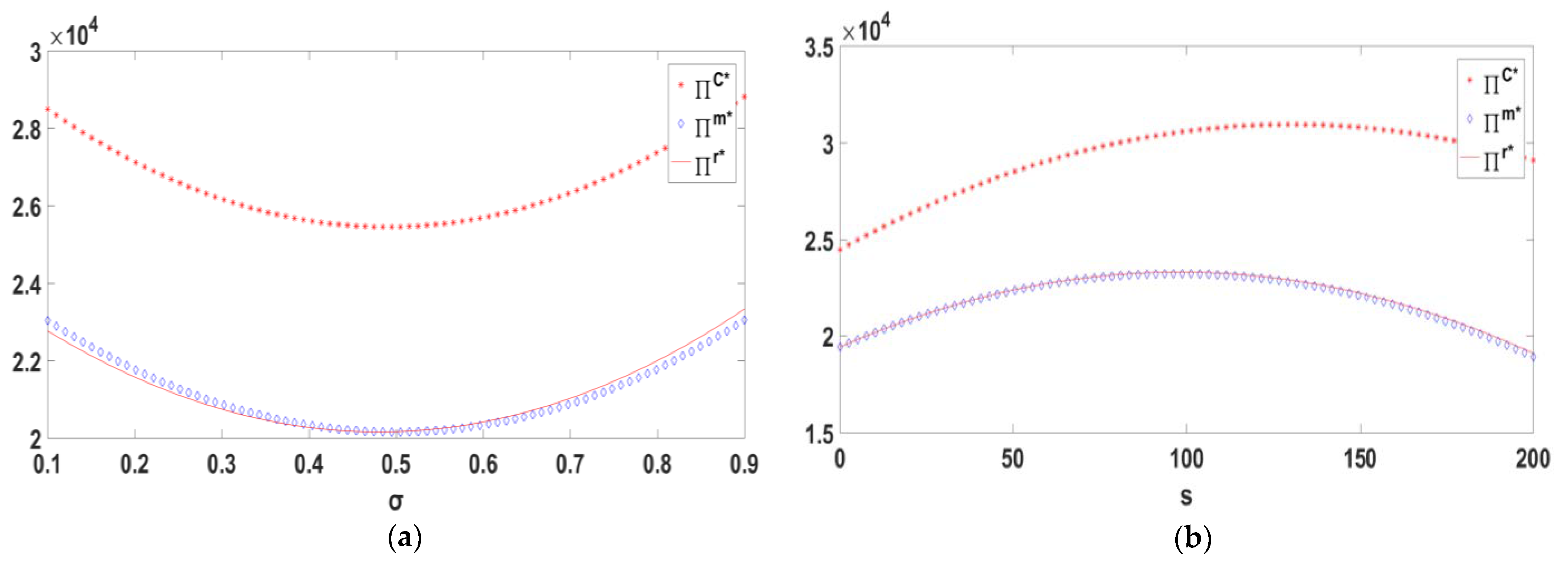
(5) The impact of the offline channel preference and the service level on centralized decision-making and decentralized decision-making.
The total sales of commodities under decentralized decision-making are higher than under centralized decision-making, whereas the total profit under centralized decision-making is higher than total profit under decentralized decision-making.
In Figure 6a, according to [32], we also take that changes in total supply chain profit under centralized and decentralized decision-making when varying in the interval [0.1, 0.9], and in Figure 6b, similar to [30,31], we take, changes from 0 to 200. From these two figures, we see that the total profit under centralized decision-making is always better than that under decentralized decision-making, regardless of either the channel preference or offline service level changing.
Figure 6.
(a) ; (b) .
Therefore, we conclude that while considering the offline channel preference and service level, the centralized decision-making yields higher profit in the dual-channel supply chain.
6. Conclusions
In this paper, we investigate a dual-channel supply chain while considering the offline channel preference and service level. We first develop a Stackleberg game to capture such a dual-channel supply chain with the offline channel preference and service level. Secondly, under centralized decision-making, we derive the optimal retail prices and obtain the optimal total profit. Thirdly, under decentralized decision-making, we obtain the optimal retail prices and optimal total profit as well. Moreover, extensive monotonicity properties when system parameters change are obtained. Based on these theoretical results, we are able to conclude that, firstly, the improvement of the offline service level can improve both online and offline retail prices, which contradicts the conventional belief that the improvement of one channel will always harm another channel. Secondly, there exists an optimal offline service level such that the maximum total profit can be achieved; this indicates that the managers should maintain a proper level of the offline service level. Although the benefits of improving service level are obvious when the current service level is low, this improvement should not be unlimited. By comparing the total profits under centralized and decentralized decision-making, we conclude that centralized decision-making yields higher profit for a dual-channel supply chain with the channel preference and service level. This provides the enterprise a theoretical support for decision-making while considering the channel preference and service level.
In future research, we may also consider more diverse costs, including rent, costs for water and electricity, online advisement costs, etc. Moreover, if more empirical data are available, possible extra managerial insights can be obtained. In practical situations, more providers for the commodities with competition can also be investigated.
Author Contributions
Conceptualization, Y.C. and M.W.; methodology, Y.C. and M.W.; formal analysis, Y.C. and M.W.; data curation, Y.C. and M.W.; writing—original draft preparation, Y.C. and M.W.; writing—review and editing, Y.C. and M.W.; funding acquisition, Y.C. All authors have read and agreed to the published version of the manuscript.
Funding
This research was funded by the USST Business School 2021 Starting Grant KYQD202101.
Data Availability Statement
The original contributions presented in the study are included in the article, further inquiries can be directed to the corresponding author.
Acknowledgments
The authors thank the editors and reviewers for their thoughtful comments and suggestions, which have greatly improved the presentation of this paper.
Conflicts of Interest
The authors declare no conflict of interest.
Appendix A
Appendix A.1. Proof of Theorem 1
It can be readily verified that . The hessian matrix of with respect to and is
Since we have , we assert that is a joint concave function of . Therefore, there exists a unique optimal retail price and such that the total profit achieves the maximum value. We denote the optimal offline and online prices by and , respectively, under centralized decision-making.
Solving Equations (A1) and (A2), we obtain the optimal online and offline retail price
Substituting and into Equations (1) and (2), we can obtain
Consequently, under centralized decision-making, we are able to compute the optimal total profit as
Which completes the proof.
Appendix A.2. Proof of Corollary 1
In centralized decision-making, we now investigate the monotonicity of total profit when changes from 0 to 1. Using Equation (10), we obtain the first-order derivative for the function of total profit regarding channel preference ,
Solving, gives . It can be readily verified that when < < 1, the total profit function is monotonically increasing in. Similarly, by verifying the sign of the first derivative, we show that when 0 < , the total profit function is monotonically decreasing in .
Appendix A.3. Proof of Corollary 2
In centralized decision-making, we now investigate the monotonicity of total profit when the service level increases from 0. Using Equation (10), we obtain the first-order derivative for the function of total profit regarding service level ,
Solving gives . It can be readily verified that for 0 <, the total profit function is monotonically increasing in . Similarly, by verifying the sign of the first derivative, we show that when , the total profit function is monotonically decreasing in , which completes the proof.
Appendix A.4. Proof of Theorem 2
Under decentralized recall Equation (4), letting
We obtain the optimal offline selling price as a function of the online selling price
Substituting into Equation (4), then, we have
We obtain the first order derivative of regarding as
Solving gives the optimal offline retail price. The solution for the optimal price of retailers on both sides of the channel when the online retailer is dominant is obtained as
Then, we substitute into Equation (A11), we obtain
Substituting and into Equations (A7) and (A8), we can obtain the optimal online and offline commodities quantity
Subsequently, we obtain the online profit as
The offline profit is
Which completes the proof.
Appendix A.5. Proof of Corollary 3
Under decentralized decision-making with online retailer dominant, we now investigate the monotonicity of online and offline profits when changes from 0 to 1, respectively. Using Equation (13), we obtain the first-order derivative of the online profit regarding , solving, we have
Moreover, using Equation (14), we obtain the first-order derivative of the offline profit regarding , solving gives
It can be readily verified that when , we have . When < < 1, we have . Similarly, for the offline profit, we find that when , we have . When < < 1, we have .
Under decentralized decision-making with offline retailers dominant, we now investigate the monotonicity of online and offline profits when changes from 0 to 1, respectively. Using Equation (17), we obtain the first-order derivative of the online profit regarding ; solving, we have
Moreover, using Equation (18), we obtain the first-order derivative of the offline profit regarding ; solving gives
It can be readily verified that when , we have . When < < 1, we have . Similarly, for the offline profit, we find that when , we have . When < < 1, we have , which completes the proof.
Appendix A.6. Proof of Corollary 4
Under decentralized decision-making with the online retailer dominant, we now investigate the monotonicity of online and offline profits when the service level s changes, respectively. Using Equation (13), we obtain the first-order derivative of the online profit regarding ; solving , we have
Moreover, using Equation (14), we obtain the first-order derivative of the offline profit regarding ; solving gives
It can be readily verified that when , we have . When < , we have . Similarly, for the offline profit, we find that when , we have . When <, we have .
Under decentralized decision-making with offline retailers dominant, we now investigate the monotonicity of online and offline profits when changes, respectively. Using Equation (17), we obtain the first-order derivative of the online profit regarding to , solving , we have
Moreover, using Equation (18), we obtain the first-order derivative of the offline profit regarding ; solving gives
It can be readily verified that when , we have . When < , we have . Similarly, for the offline profit, we find that when , we have . When < , we have , which completes the proof.
Appendix A.7. Proof of Corollary 5
Under centralized decision-making, we now investigate the impact of the offline channel preference and service level on online and offline prices. Using Equation (6), we obtain the first-order derivative of the online retail price function regarding , which is . Using Equation (7), we obtain the first-order derivative of the offline retail price function regarding , which is.
Under decentralized decision-making with online retailers dominant, we now investigate the impact of the offline channel preference and service level on offline and online prices. Using Equations (11) and (12), we obtain the first-order derivative of the online retail price function regarding , which are and . Using Equations (15) and (16), we obtain the first-order derivative of the offline retail price function regarding , which are and , which completes the proof.
Appendix A.8. Proof of Corollary 6
Under centralized decision-making, we investigate the impact of the offline channel preference and service level on online and offline prices. Using Equation (6), we obtain the first-order derivative of the online retail price function regarding , which is . Using Equation (7), we obtain the first-order derivative of the offline retail price function regarding , which is.
Under decentralized decision-making with online retailers dominant, we now investigate the impact of the offline channel preference and service level on offline and online prices. Using Equations (11) and (12), we obtain the first-order derivative of the online retail price function regarding , which are and . Using Equations (15) and (16), we obtain the first-order derivative of the offline retail price function regarding , which are and , which completes the proof.
References
- Zhang, G.; Dai, G.; Sun, H.; Zhang, G.; Yang, Z. Equilibrium in supply chain network with competition and service level between channels considering consumers’ channel preference. J. Retail. Consum. Serv. 2020, 57, 102199. [Google Scholar] [CrossRef]
- Sharma, A.; Sharma, A.; Kaur, H. Comparative analysis between online and offline shopping approach and behavior of consumers. J. Comput. Theor. Nanosci. 2020, 17, 4965–4970. [Google Scholar] [CrossRef]
- Wang, Z.; Kim, Y. How marketing factors influence online browsing and sales: Evidence from China’s e-commerce market. J. Appl. Bus. Res. 2018, 34, 253–264. [Google Scholar] [CrossRef]
- Ke, H.; Liu, J. Dual-channel supply chain competition with channel preference and sales effort under uncertain environment. Ambient. Intell Hum. Comput. 2017, 8, 781–795. [Google Scholar] [CrossRef]
- Zong, S.; Shen, C. Decision-making and coordination in an e-commerce supply chain under channel selection. OPSEARCH 2022, 60, 326–369. [Google Scholar] [CrossRef]
- Pan, X.; Shankar, B.; Ratchford, B. Price competition between pure play versus bricks and clicks e-tailers: Analytical model and empirical analysis. Adv. Appl. Microecon. 2002, 52, 29–61. [Google Scholar]
- Cattani, W.; Gilland Heese, S. Boiling frogs: Pricing strategies for a manufacturer adding an internet channel. Prod. Oper. Manag. 2006, 15, 40–56. [Google Scholar] [CrossRef]
- Huang, W.; Swaminathan, J.M. Introduction of a second channel: Implications for pricing and profits. Eur. J. Oper. Res. 2009, 19, 258–279. [Google Scholar] [CrossRef]
- Abhishek, V.; Jerath, K.; Zhang, Z.J. Agency selling or reselling? Channel structures in electronic retailing. Manag. Sci. 2016, 62, 2259–2280. [Google Scholar] [CrossRef]
- Wang, Y.; Wang, D.; Cheng, T.; Zhou, R. Decision and coordination of E-commerce closed-loop supply chains with fairness concern. Transp. Res. Part E Logist. Transp. Rev. 2023, 173, 103092. [Google Scholar] [CrossRef]
- Siqin, T.; Yang, L.; Chung, S.; Wen, X. Cross-channel influences in mobile-app-website e-commerce supply chains: When to weaken the influence? Transp. Res. Part E Logist. Transp. Rev. 2023, 182, 103408. [Google Scholar] [CrossRef]
- Zhou, L.; Wang, J.; Li, F.; Xu, Y.; Zhao, J.; Su, J. Risk aversion of B2C cross-border e-commerce supply chain. Sustainability 2022, 14, 8088. [Google Scholar] [CrossRef]
- Ji, J.; Zhang, Z.; Yang, L. Carbon emission reduction decisions in the retail-/dual-channel supply chain with consumers’ preference. J. Clean. Prod. 2017, 141, 852–867. [Google Scholar] [CrossRef]
- Xin, C.; Zhou, Y.; Zhu, X.; Li, L.; Chen, X. Optimal decisions for carbon emission reduction through technological innovation in a hybrid-channel supply chain with consumers’ channel preference. Discret. Dyn. Nat. Soc. 2019, 1–24. [Google Scholar] [CrossRef]
- Zhang, Y.; Li, J.; Xu, B. Designing buy-online-and-pick-up-in-store (bops) contract of dual-channel low-carbon supply chain considering consumers’ low-carbon preference. Math. Probl. Eng. 2020, 1–15. [Google Scholar] [CrossRef]
- Moutaz, K.; Sungjune, P.; George, C. Channel selection and pricing in the presence of retail-captive consumers. Int. J. Prod. Econ. 2010, 125, 84–95. [Google Scholar]
- Xu, S.; Tang, H.; Lin, Z.; Lu, J. Pricing and sales-effort analysis of dual-channel supply chain with channel preference, cross-channel return and free-riding behavior based on revenue-sharing contract. Int. J. Prod. Econ. 2022, 249, 108506. [Google Scholar] [CrossRef]
- Xu, Y.; Tian, Y.; Pang, C.; Tang, H. Manufacturer vs. Retailer: A comparative analysis of different government subsidy strategies in a dual-channel supply chain considering green quality and channel preferences. Mathematics 2024, 12, 1433. [Google Scholar] [CrossRef]
- Wang, R.; Wang, S.; Yan, S. Pricing and coordination strategies of dual channels considering consumers’ channel preferences. Sustainability 2021, 13, 11191. [Google Scholar] [CrossRef]
- Liu, C.; Lee, C.; Linda, L. Pricing strategy in a dual-channel supply chain with overconfident consumers. Comput. Ind. Eng. 2022, 172, 108515. [Google Scholar] [CrossRef]
- Tsay, A.; Agrawal, N. Channel dynamics under price and service competition. Manuf. Serv. Oper. Manag. 2000, 2, 372–391. [Google Scholar] [CrossRef]
- Cao, B.; Zhang, Q.; Cao, M. Optimizing hybrid-channel supply chains with promotional effort and differential product quality: A game-theoretic analysis. Mathematics 2022, 10, 1798. [Google Scholar] [CrossRef]
- Chen, X.; Wang, J.; Xu, P.; Walker, T.; Yang, G. Emission reduction and channel decisions in a two-echelon supply chain considering service spillovers. Mathematics 2023, 11, 4423. [Google Scholar] [CrossRef]
- Dan, B.; Xu, G.; Liu, C. Pricing policies in a dual-channel supply chain with retail services. Int. J. Prod. Econ. 2012, 139, 312–320. [Google Scholar] [CrossRef]
- He, Q.; Shi, T.; Wang, P. Mathematical modeling of pricing and service in the dual channel supply chain considering underservice. Mathematics 2022, 10, 1002. [Google Scholar] [CrossRef]
- Ma, J.; Hong, Y. Dynamic game analysis on pricing and service strategy in a retailer-led supply chain with risk attitudes and free-ride effect. Kybernetes 2022, 51, 1199–1230. [Google Scholar] [CrossRef]
- Ali, S.M.; Rahman, M.H.; Tumpa, T.J. Examining price and service competition among retailer in a supply chain under potential demand disruption. J. Retail. Consum. Serv. 2018, 40, 40–47. [Google Scholar] [CrossRef]
- Wang, S.; Liu, L.; Wen, J.; Wang, G. Product pricing and green decision-making considering consumers’ multiple preference under chain-to-chain competition. Kybernetes 2024, 53, 152–187. [Google Scholar] [CrossRef]
- Meng, Q.; Li, M.; Liu, W.; Li, Z.; Zhang, J. Pricing policies of dual-channel green supply chain: Considering government subsidies and consumers’ dual preferences. Sustain. Prod. Consum. 2021, 26, 1021–1030. [Google Scholar] [CrossRef]
- Wen, X.; Cheng, H.; Cai, J.; Lu, C. Government subside policies and effect analysis in green supply chain. Chin. J. Manag. 2018, 15, 625–632. [Google Scholar]
- Ghosh, D.; Shah, J. A comparative analysis of greening policies across supply chain structures. Int. J. Prod. Econ. 2012, 135, 568–583. [Google Scholar] [CrossRef]
- Xin, B.; Zhang, L.; Xie, L. Pricing decision of a dual-channel supply chain with different payment, corporate social responsibility and service level. RAIRO Oper. Res. 2021, 56, 49–75. [Google Scholar] [CrossRef]
- Kevin, W.; Chhajed, D.; James, D. Direct marketing, indirect profits: A strategic analysis of dual-channel supply-chain design. Manag. Sci. 2003, 49, 1–20. [Google Scholar]
- Peng, H.; Pang, T.; Cong, J. Coordination contracts for a supply chain with yield uncertainty and low-carbon preference. J. Clean. Prod. 2018, 205, 291–302. [Google Scholar] [CrossRef]
Disclaimer/Publisher’s Note: The statements, opinions and data contained in all publications are solely those of the individual author(s) and contributor(s) and not of MDPI and/or the editor(s). MDPI and/or the editor(s) disclaim responsibility for any injury to people or property resulting from any ideas, methods, instructions or products referred to in the content. |
© 2024 by the authors. Licensee MDPI, Basel, Switzerland. This article is an open access article distributed under the terms and conditions of the Creative Commons Attribution (CC BY) license (https://creativecommons.org/licenses/by/4.0/).





