Abstract
The Troesch problem is a well-known and important problem; the ability to solve it is important due to the practical applications of this problem. In this paper, we propose a method to solve this problem using a combination of two useful algorithms: Different Transform Method (DTM) and Adomian Decomposition Method (ADM). The combination of these two methods resulted in a continuous approximate solution to this problem and eliminated the problems that occur when trying to use each of these methods separately. The great advantages of the DTM method are the continuous form of the solution and the fact that it easy to implement error control. However, in too-complex tasks, this method becomes difficult to use. By using a hybrid of ADM and DTM, we obtain a relatively simple-to-implement method that retains the advantages of the DTM approach.
    MSC:
                65L10; 34B15
            1. Introduction
Troesch’s problem appears, among others, in the description of phenomena related to the study of confinement of a plasma column by radiation pressure or in the theory related to gas porous electrodes. This problem describes an ordinary second-order differential equation of the form
      
      
        
      
      
      
      
    
      where  is a parameter for  with conditions
      
      
        
      
      
      
      
    
The problem in question is difficult to solve, which is why it is so important to find an approximate solution. One of the first researchers of this problem was Troesch (hence the name of the task), who used the so-called shooting method in his research []. There are many other methods for finding an approximate solution to this problem. Examples include the homotopy perturbation method [,,], the B-spline collocation method [], the variational iteration method [], using Bessel polynomials [], the Galerkin method [,], using Chebychev polynomials [], using the Laplace transform [], and many others [,,].
In the following article, we will use a combination of two analytical methods for solving operator equations (also nonlinear): the DTM (see Section 2) and the ADM (see Section 3). This combination aims to eliminate the difficulties associated with using each of these methods separately. In the works [,], this method is used individually, and in the work [], we can read about the problems related to this approach.
2. Different Transform Method
The DTM was developed and its application to certain electronic problems was demonstrated by Zhou []. This method quickly became quite popular and was successfully used to solve many different types of problems described by ordinary differential equations and their systems [,,], partial differential equations [,], fractional differential equations [,], fuzzy differential equations [], integral equations and their systems [,], systems of differential–integral equations, including equations with a shifted argument [,,], and many others [,,,].
In this work, we will be interested in functions that are originals.
Definition 1. 
The function f expanded in a Taylor series about a fixed point  is called the original.
The Taylor series mentioned in the above definition is used here in a broader context. Most often, the point  is 0, and then we encounter a Maclaurin series.
If we assume that the function f is the original, then for this function, we can write
      
      
        
      
      
      
      
    
      and based on the uniqueness of this expansion, each original f can be uniquely assigned a function (transformation) :
      
        
      
      
      
      
    
Thanks to this, we can write the original f as
      
      
        
      
      
      
      
    
The fact that we will be dealing with a special case of Taylor series (Maclaurin series) is not a problem. An easy substitution reduces Taylor series to Maclaurin series, and in addition, we have a theorem connecting Taylor transformations of the function f expanded around the point  and around the point .
Theorem 1. 
If function  is a Taylor transformation of function f in the neighborhood of point , and function F is a Taylor transformation of function f in the neighborhood of point 0, then the following relations hold between these transformations:
      
        
      
      
      
      
    
In the process of solving a given task, we will be able to use known expansions of basic functions f and properties of the transformation, thanks to which the problem under consideration will be reduced to various types of algebraic problems. In the cited literature, one can find many properties of the DTM transformation; we will limit ourselves to giving only those that will help us solve the title problem (in the properties below, we will assume that x is an element of the domain of the considered function f).
Theorem 2. 
The Taylor transformation of the function  is
      
        
      
      
      
      
    
Theorem 3. 
The Taylor transformation of the function ,  is
      
        
      
      
      
      
    
Theorem 4. 
The Taylor transformation of the function , , is
      
        
      
      
      
      
    
The situation becomes more complicated if composite functions appear in the problem under consideration. Then, there are no simple descriptions of the form of the transformation  for the original . One such approach is Faà di Bruno’s formula [,], but this approach complicates the task from the programming side. An effective countermeasure to this problem will be the combination of the DTM transformation and the Adomian decomposition method (see Section 4).
3. Adomian Decomposition Method
The creator of the ADM method is Adomian, who described this method and applied it in the 1980s [,]. Many scientists have noticed the great potential of this method and have applied it to many problems described by nonlinear operator equations. These problems include, among others, the heat conduction equation [,,,,], the wave equation [,], inverse problems [,], and many others [,,,].
The details of the method can be read in the presented literature, and in our case, the ADM will be applied to equations of the form
      
      
        
      
      
      
      
    
      where u is the searched function, f is known as a function, and g is some nonlinear transformation.
We present the function u as a function series, but we can also expand the nonlinear transformation g into a function series
      
      
        
      
      
      
      
    
      where , , denotes the polynomials introduced by Adomian (Adomian polynomials).
These polynomials are defined as follows:
      
        
      
      
      
      
    
      where  is a parameter.
For several initial values of j, these polynomials have the form
      
      
        
      
      
      
      
    
This formula may seem complex, but the generation of successive Adomian polynomials can be described by a fairly simple algorithm.
There is an important connection between Adomian polynomials and Taylor transforms that connects these objects [,]: if the function f is a composite function of the form , then the Taylor transform F of this function is of the form
      
      
        
      
      
      
      
    
      where  denotes a polynomial created from the Adomian polynomial , where in place of , we put the k-th value of the Taylor transform of the function u, i.e., .
Combining the above two properties, we can write
      
      
        
      
      
      
      
    
4. Solution Method
Now, let us consider the initial Equation (1). For the purposes of using the Formula (6), we can also write (1) in the form
      
      
        
      
      
      
      
    
      where . Now, suppose that the function y is the original and its Taylor transform is . Let us also suppose that the Taylor transform of f is . From the first condition (2), we know that , and from the Formula (6) and the property (3)–(5), we can, for , write Equation (1) in the transformed form:
      
        
      
      
      
      
    
Putting  into the Equation (7), we obtain
      
      
        
      
      
      
      
    For , we obtain
      
      
        
      
      
      
      
    
      where , which we are not able to determine at this stage. Therefore, the subsequent values of  for  will depend on this unknown parameter s. By inserting subsequent values of  into the Equation (7), we will be able to determine subsequent values of the transforms . And so, for , we have , and for subsequent values of k,
      
      
        
      
      
      
      
    
On this basis, we can construct an approximate solution of  of the form
      
      
        
      
      
      
      
    
      which will depend on the unknown parameter s. The value of this parameter can be determined using the second condition (2), i.e., the condition , which in our case will take the form of the equation
      
      
        
      
      
      
      
    
5. Numerical Results
Let us take an example . Then, the approximate solutions (8) for  will take the form
      
      
        
      
      
      
      
    
For each of these equations, we can solve the Equation (9) in the set of real numbers, obtaining
      
      
        
      
      
      
      
    
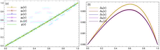
We now have the final form of the approximate solutions (8) for . In Figure 1, we present these solutions and the exact solution, which is the solution obtained on the basis of the formula representing the solutions of the task (1) using elliptic functions (see, for example, Formula (3) in the work [] or Formula (3) in the work []). In this figure, we also present the absolute errors  of these solutions determined from the formula
      
      
        
      
      
      
      
    
      where y is the exact solution and  is the approximate solution (8).
 
      
    
    Figure 1.
      Approximate solutions , , exact solution  (plot (a)), and errors  (plot (b)) for .
  
Table 1 presents the discrete values of the exact solution y (the results in the table are rounded to the fifth decimal place) and the approximate solutions , , for  and for  (points , ).
 
       
    
    Table 1.
    Comparison of exact values of y and approximate values of , , for  and for  (points , ).
  
The obtained results show the usefulness of the method and are better than the corresponding results obtained with the Laplace decomposition method (see []).
Figure 2 shows approximate solutions of  for several different values of . In Table 2 and Table 3, we present exact results (for , these results can be found, e.g., in []) obtained by the presented method for , ,  and .
 
      
    
    Figure 2.
      Approximate solutions  for .
  
 
       
    
    Table 2.
    Comparison of exact values y and approximate values  for ,  and for  (points , ).
  
 
       
    
    Table 3.
    Comparison of exact values y and approximate values  for ,  and for  (points , ).
  
In this case, the obtained results also show the usefulness of the method and are better than the corresponding results obtained with the above-mentioned method (for ). For , they are comparable to other results or better compared to, e.g., the homotopy perturbation method (see []).
6. Conclusions
This paper presents a hybrid method for solving Troesch’s problem. The proposed approach turned out to be effective, also in comparison to other methods, as shown by the presented numerical comparison. An additional advantage of the presented method is, apart from its simplicity, the possibility of its algorithmization. Using a tool that can perform symbolic transformations (the author used the Wolfram Mathematica program in version 14.0; see [,]), one can construct a universal procedure dependent on the parameters occurring in the problem and in the method ( and n), thanks to which one can solve Troesch’s problem together with generating results and creating a graphical illustration of the solution. Additionally, as many cited sources in the literature indicate, many methods are sensitive to the value of the parameter  occurring in the problem—for the value , many methods generate results that leave much to be desired. For the discussed method, we obtained good results even for  (see Table 3), and even larger (see Figure 2).
Author Contributions
Conceptualization, M.P.; methodology, M.P., K.K. and D.S.; software, M.P.; validation, M.P. and D.S.; investigation, M.P.; writing—original draft preparation, M.P.; writing—review and editing, K.K. and D.S.; funding acquisition, D.S. All authors have read and agreed to the published version of the manuscript.
Funding
This research received no external funding.
Data Availability Statement
No new data were created or analyzed in this study.
Conflicts of Interest
The author declares no conflicts of interest.
References
- Troesch, B.A. A simple approach to a sensitive two-point boundary value problem. J. Comput. Phys. 1976, 21, 279–290. [Google Scholar] [CrossRef]
- Feng, X.; Mei, L.; He, G. An efficient algorithm for solving Troesch’s problem. Appl. Math. Comput. 2007, 189, 500–507. [Google Scholar] [CrossRef]
- Mirmoradi, S.H.; Hosseinpour, I.; Ghanbarpour, S.; Barari, A. Application of an approximate analytical method to nonlinear Troesch’s problem. Appl. Math. Sci. 2009, 3, 1579–1585. [Google Scholar]
- Vazquez-Leal, H.; Khan, Y.; Fernandez-Anaya, G.; Herrera-May, A.; Sarmiento-Reyes, A.d.; Filobello-Nino, U.; Jimenez-Fernandez, V.-M.; Pereyra-Diaz, D. A general solution for Troesch’s problem. Math. Probl. Eng. 2012, 1, 208375. [Google Scholar] [CrossRef]
- Khuri, S.A.; Sayfy, A. Troesch’s problem: A B-spline collocation approach. Math. Comput. Model. 2011, 54, 9–10. [Google Scholar] [CrossRef]
- Chang, S.-H. A variational iteration method for solving Troesch’s problem. J. Comput. Appl. Math. 2010, 234, 3043–3047. [Google Scholar] [CrossRef]
- Izadi, M.; Yüzbaşi, Ş.; Noeiaghdam, S. Approximating solutions of non-linear Troesch’s problem via an efficient quasi-linearization Bessel approach. Mathematics 2021, 9, 1841. [Google Scholar] [CrossRef]
- Deeba, E.; Khuri, S.A.; Xie, S. An algorithm for solving boundary value problems. J. Comput. Phys. 2000, 159, 125–138. [Google Scholar] [CrossRef]
- Temimi, H. A discontinuous Galerkin finite element method for solving the Troesch’s problem. Appl. Math. Comput. 2012, 219, 521–529. [Google Scholar] [CrossRef]
- El-Gamel, M.; Sameeh, M. A Chebychev collocation method for solving Troesch’s problem. Int. J. Math. Comput. Appl. Res. 2013, 3, 23–32. [Google Scholar]
- Khuri, S.A. A numerical algorithm for solving Troesch’s problem. Int. J. Comput. Math. 2003, 80, 493–498. [Google Scholar] [CrossRef]
- Filali, D.; Ali, F.; Akram, M.; Dilshad, M. A Novel Fixed-Point Iteration Approach for Solving Troesch’s Problem. Symmetry 2024, 16, 856. [Google Scholar] [CrossRef]
- Kafri, H.Q.; Khuri, S.A.; Sayfy, A. A new approach based on embedding Green’s functions into fixed-point iterations for highly accurate solution to Troesch’s problem. Int. J. Comput. Methods Eng. Sci. Mech. 2016, 17, 93–105. [Google Scholar] [CrossRef]
- Mohyud-Din, S.T. Solution of Troesch’s problem using He’s polynomials. Rev. Un. Mat. Argentina 2011, 52, 143–148. [Google Scholar]
- Zhou, J.K. Differential Transformation and Its Applications for Electrical Circuits; Huazhong University Press: Wuhan, China, 1986. [Google Scholar]
- Ahmad, M.Z.; Alsarayreh, D.; Alsarayreh, A.; Qaralleh, I. Differential transformation method (DTM) for solving SIS and SI epidemic models. Sains Malays. 2017, 46, 2007–2017. [Google Scholar] [CrossRef]
- Hetmaniok, E.; Pleszczyński, M. Comparison of the selected methods used for solving the ordinary differential equations and their systems. Mathematics 2022, 10, 306. [Google Scholar] [CrossRef]
- Mohanty, M.; Jena, S.R. Differential transformation method (DTM) for approximate solution of ordinary differential equation (ODE). Adv. Model. Anal. B 2018, 61, 3. [Google Scholar] [CrossRef]
- Domairry, G.; Hatami, M. Squeezing Cu–water nanofluid flow analysis between parallel plates by DTM-Padé Method. J. Mol. Liq. 2014, 193, 37–44. [Google Scholar] [CrossRef]
- Sepasgozar, S.; Faraji, M.; Valipour, P. Application of differential transformation method (DTM) for heat and mass transfer in a porous channel. Propuls. Power Res. 2017, 6, 41–48. [Google Scholar] [CrossRef]
- Momani, S.; Odibat, Z. A novel method for nonlinear fractional partial differential equations: Combination of DTM and generalized Taylor’s formula. J. Comput. Appl. Math. 2008, 220, 85–95. [Google Scholar] [CrossRef]
- Merdan, M.; Gökdoğan, A.; Yıldırım, A.; Mohyud-Din, S.T. Numerical Simulation of Fractional Fornberg-Whitham Equation by Differential Transformation Method. Abstr. Appl. Anal. 2012, 2012, 965367. [Google Scholar] [CrossRef]
- Allahviranloo, T.; Kiani, N.A.; Motamedi, N. Solving fuzzy differential equations by differential transformation method. Inf. Sci. 2009, 179, 956–966. [Google Scholar] [CrossRef]
- Odibat, Z.M. Differential transform method for solving Volterra integral equation with separable kernels. Math. Comput. Model. 2008, 48, 1144–1149. [Google Scholar] [CrossRef]
- Hadizadeh, M.; Moatamedi, N. A new differential transformation approach for two-dimensional Volterra integral equations. Int. J. Comput. Math. 2007, 84, 515–526. [Google Scholar] [CrossRef]
- Brociek, R.; Pleszczyński, M. Comparison of Selected Numerical Methods for Solving Integro-Differential Equations with the Cauchy Kernel. Symmetry 2024, 16, 233. [Google Scholar] [CrossRef]
- Hetmaniok, E.; Pleszczyński, M.; Khan, Y. Solving the integral differential equations with delayed argument by using the DTM method. Sensors 2022, 22, 4124. [Google Scholar] [CrossRef]
- Yüzbaşı, Ş.; Ismailov, N. Solving systems of Volterra integral and integrodifferential equations with proportional delays by differential transformation method. J. Math. 2014, 2014, 725648. [Google Scholar] [CrossRef][Green Version]
- Brociek, R.; Pleszczyński, M. Differential Transform Method and Neural Network for Solving Variational Calculus Problems. Mathematics 2024, 12, 2182. [Google Scholar] [CrossRef]
- Nejatbakhsh, Y.; Allahviranloo, T.; Kiani, N.A. Solving Fuzzy Integral equations by Differential Transformation Method, First Joint Congress on Fuzzy and Intelligent Systems; Ferdowsi University of Mashhad: Mashhad, Iran, 2007. [Google Scholar]
- Liu, H.; Song, Y. Differential transform method applied to high index differential–algebraic equations. Appl. Math. Comput. 2007, 184, 748–753. [Google Scholar] [CrossRef]
- Ibis, B.; Bayram, M.; Agargun, A.G. Applications of fractional differential transform method to fractional differential-algebraic equations. Eur. J. Pure Appl. Math. 2011, 4, 129–141. [Google Scholar]
- Cockett, J.R.B.; Seely, R.A.G. The Faa di Bruno construction. Theory Appl. Categ. 2011, 25, 394–425. [Google Scholar]
- Mishkov, R.L. Generalization of the formula of Faa di Bruno for a composite function with a vector argument. Int. J. Math. Math. Sci. 2000, 24, 481–491. [Google Scholar] [CrossRef]
- Adomian, G. Nonlinear Stochastic Systems Theory and Applications to Physics; Springer Science and Business Media: Berlin/Heidelberg, Germany, 1988. [Google Scholar]
- Adomian, G. A review of the decomposition method in applied mathematics. J. Math. Anal. Appl. 1988, 135, 501–544. [Google Scholar] [CrossRef]
- Chang, M.-H. A decomposition solution for fins with temperature dependent surface heat flux. Int. J. Heat Mass Transf. 2005, 48, 1819–1824. [Google Scholar] [CrossRef]
- Grzymkowski, R.; Pleszczyński, M.; Słota, D. Comparing the Adomian decomposition method and the Runge–Kutta method for solutions of the Stefan problem. Int. J. Comput. Math. 2006, 83, 409–417. [Google Scholar] [CrossRef]
- Grzymkowski, R.; Pleszczyński, M.; Słota, D. The two-phase Stefan problem solved by the Adomian decomposition method. In Proceedings of the 15th IASTED International Conference on Applied Simulation and Modelling, Rhodes, Greece, 26–28 June 2006; pp. 511–516. [Google Scholar]
- Lesnic, D.; Elliott, L. The decomposition approach to inverse heat conduction. J. Math. Anal. Appl. 1999, 232, 82–98. [Google Scholar] [CrossRef]
- Pamuk, S. An application for linear and nonlinear heat equations by Adomian’s decomposition method. Appl. Math. Comput. 2005, 163, 89–96. [Google Scholar] [CrossRef]
- Jafari, H.; Daftardar-Gejji, V. Solving linear and nonlinear fractional diffusion and wave equations by Adomian decomposition. Appl. Math. Comput. 2006, 180, 488–497. [Google Scholar] [CrossRef]
- Lesnic, D. The Cauchy problem for the wave equation using the decomposition method. Appl. Math. Lett. 2002, 15, 697–701. [Google Scholar] [CrossRef]
- Singla, R.K.; Das, R. Application of Adomian decomposition method and inverse solution for a fin with variable thermal conductivity and heat generation. Int. J. Heat Mass Transf. 2013, 66, 496–506. [Google Scholar] [CrossRef]
- Shahrezaee, A.M.; Hoseininia, M. Solution of some parabolic inverse problems by Adomian decomposition method. Appl. Math. Sci. 2011, 5, 3949–3958. [Google Scholar]
- Duan, J.-S.; Rach, R.; Baleanu, D.; Wazwaz, A.-M. A review of the Adomian decomposition method and its applications to fractional differential equations. Commun. Fract. Calc. 2012, 3, 73–99. [Google Scholar]
- Tatari, M.; Dehghan, M.; Razzaghi, M. Application of the Adomian decomposition method for the Fokker–Planck equation. Math. Comput. Model. 2007, 45, 639–650. [Google Scholar] [CrossRef]
- Wang, Q. Numerical solutions for fractional KdV–Burgers equation by Adomian decomposition method. Appl. Math. Comput. 2006, 182, 1048–1055. [Google Scholar] [CrossRef]
- Wazwaz, A.-M. A reliable modification of Adomian decomposition method. Appl. Math. Comput. 1999, 102, 77–86. [Google Scholar] [CrossRef]
- Behiry, S.H. Differential transform method for nonlinear initial-value problems by Adomian polynomials. J. Appl. Comput. Math. 2012, 1, 109–114. [Google Scholar] [CrossRef]
- Moon, S.D.; Bhosale, A.B.; Gajbhiye, P.P.; Lonare, G.G. Solution of non-linear Differential equations by using differential Transform Method. Int. J. Math. Stat. Invent. 2014, 2, 78–82. [Google Scholar] [CrossRef]
- Hastings, C.; Mischo, K.; Morrison, M. Hands-on Start to Wolfram Mathematica: And Programming with the Wolfram Language; Wolfram Media: Champaign, IL, USA, 2015. [Google Scholar]
- Wolfram, S. The Mathematica Book; Wolfram Research, Inc.: Champaign, IL, USA, 2003. [Google Scholar]
| Disclaimer/Publisher’s Note: The statements, opinions and data contained in all publications are solely those of the individual author(s) and contributor(s) and not of MDPI and/or the editor(s). MDPI and/or the editor(s) disclaim responsibility for any injury to people or property resulting from any ideas, methods, instructions or products referred to in the content. | 
© 2024 by the authors. Licensee MDPI, Basel, Switzerland. This article is an open access article distributed under the terms and conditions of the Creative Commons Attribution (CC BY) license (https://creativecommons.org/licenses/by/4.0/).
