MSI-HHO: Multi-Strategy Improved HHO Algorithm for Global Optimization
Abstract
1. Introduction
2. Harris Hawks Optimization
2.1. Exploration Phase
2.2. Exploitation Phase
2.2.1. Soft Besiege
2.2.2. Hard Besiege
2.2.3. Soft Besiege with Progressive Rapid Dives
2.2.4. Hard Besiege with Progressive Rapid Dives
3. The Proposed Algorithm
3.1. Inverted S-Shaped Escape Energy
3.2. Stochastic Learning Mechanism Based on Gaussian Mutation
3.3. Refracted Opposition-Based Learning
3.4. The Proposed Algorithm Combining Three Improved Strategies
| Algorithm 1. The multi-strategy improved HHO algorithm (MSI-HHO) | |
| Input: | Population size Maximum iterations Mutation probability Number of researchings Standard deviation and mean of Gauss distribution Refractive index |
| Output: | Global best hawk Global best fitness value |
![]() | |
4. Experimental Results and Discussion
4.1. Benchmark Functions
4.2. Comprehensive Comparison
4.3. Statistical Test
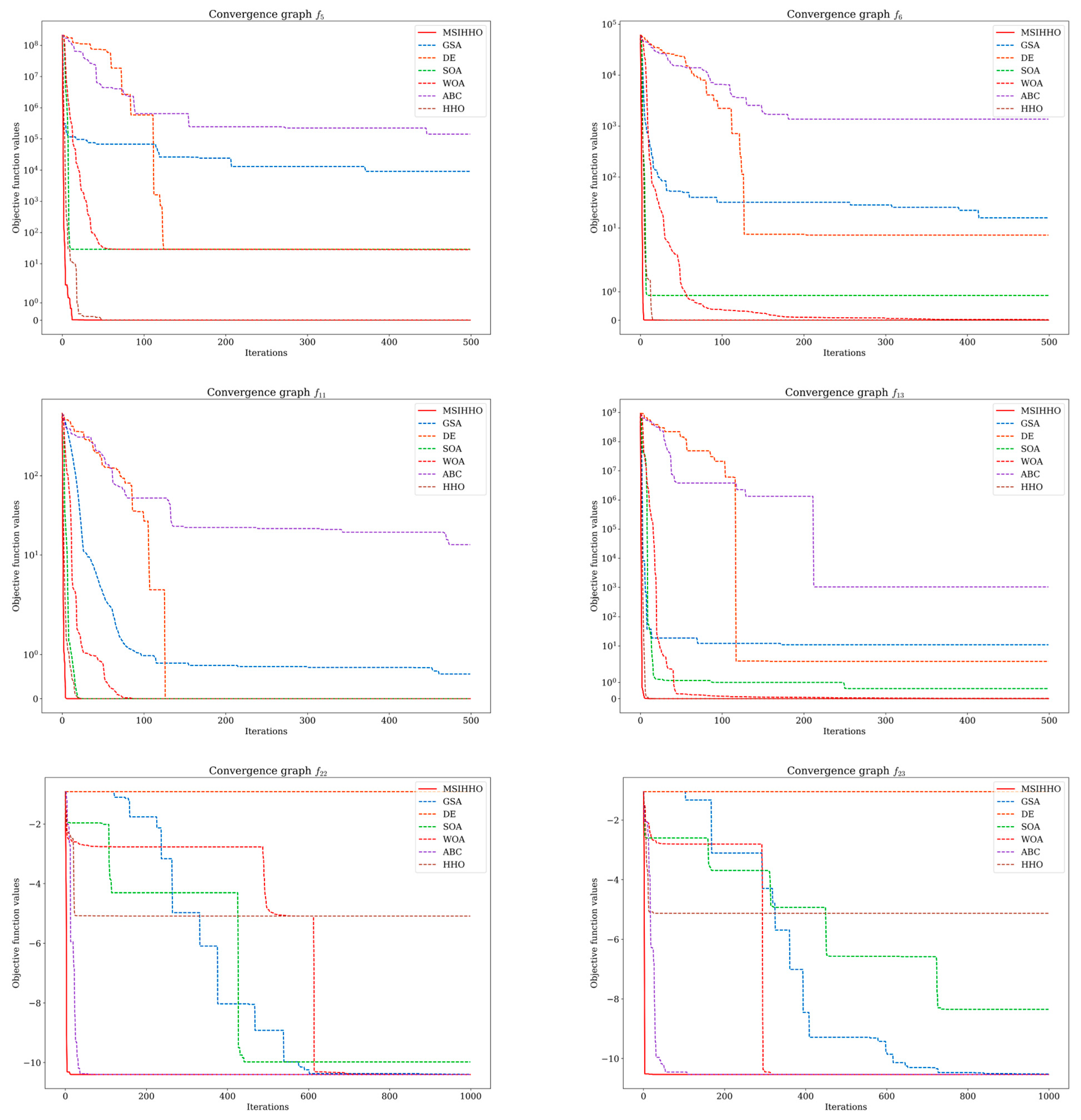
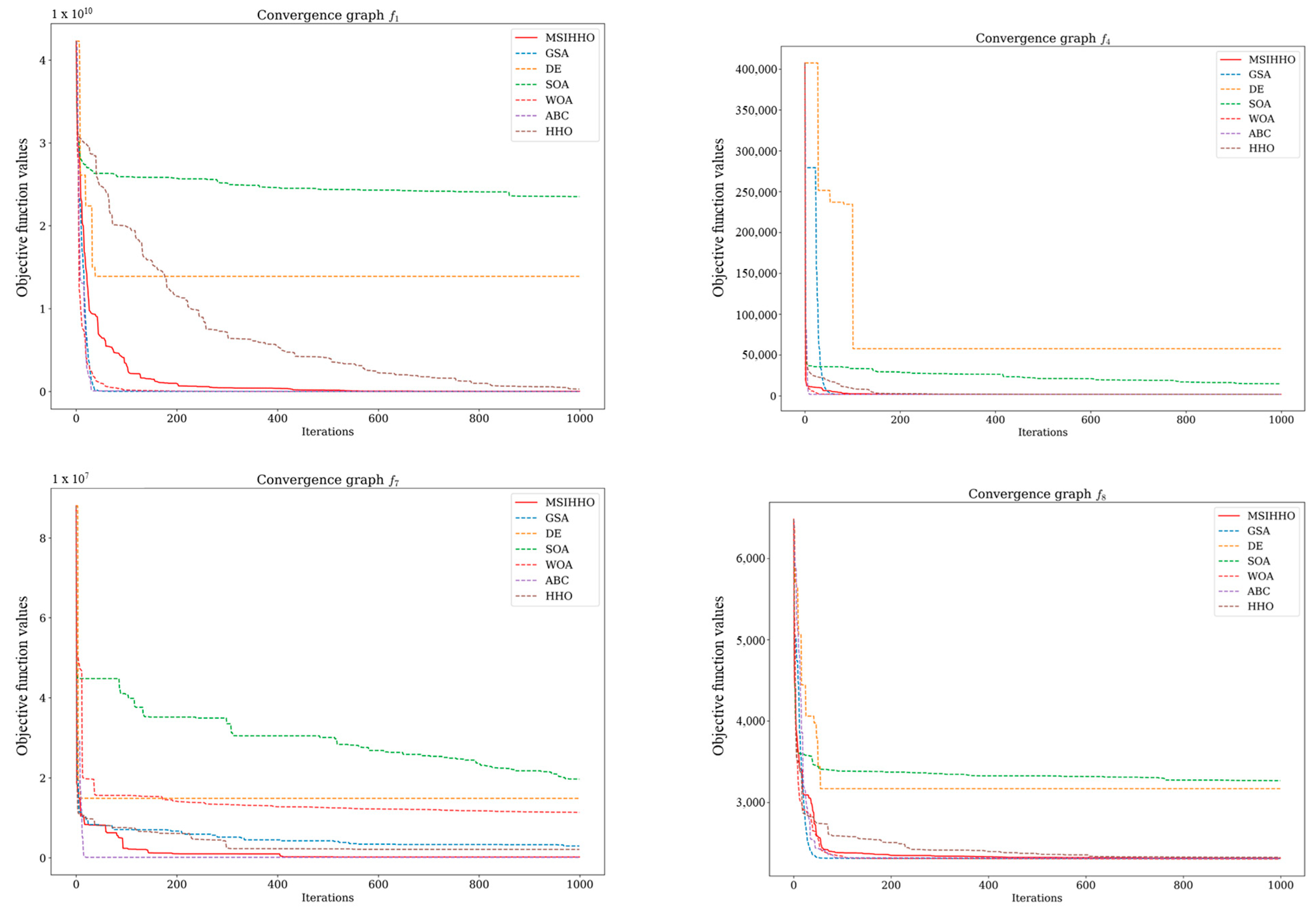
4.4. Iterative Curve
5. Conclusions
Author Contributions
Funding
Data Availability Statement
Conflicts of Interest
References
- Yaşa, E.; Aksu, D.T.; Özdamar, L. Metaheuristics for the Stochastic Post-Disaster Debris Clearance Problem. IISE Trans. 2022, 54, 1004–1017. [Google Scholar] [CrossRef]
- Simpson, A.R.; Dandy, G.C.; Murphy, L.J. Genetic Algorithms Compared to Other Techniques for Pipe Optimization. J. Water Resour. Plann. Manag. 1994, 120, 423–443. [Google Scholar] [CrossRef]
- Tang, J.; Liu, G.; Pan, Q. A Review on Representative Swarm Intelligence Algorithms for Solving Optimization Problems: Applications and Trends. IEEE/CAA J. Autom. Sin. 2021, 8, 1627–1643. [Google Scholar] [CrossRef]
- Ezugwu, A.E.; Shukla, A.K.; Nath, R.; Akinyelu, A.A.; Agushaka, J.O.; Chiroma, H.; Muhuri, P.K. Metaheuristics: A Comprehensive Overview and Classification along with Bibliometric Analysis. Artif. Intell. Rev. 2021, 54, 4237–4316. [Google Scholar] [CrossRef]
- Kirkpatrick, S.; Gelatt, C.D.; Vecchi, M.P. Optimization by Simulated Annealing. Science 1983, 220, 671–680. [Google Scholar] [CrossRef] [PubMed]
- Kennedy, J.; Eberhart, R. Particle Swarm Optimization. In Proceedings of the ICNN’95-International Conference on Neural Networks, Perth, WA, Australia, 27 November–1 December 1995; IEEE: Piscataway, NJ, USA, 1995; Volume 4, pp. 1942–1948. [Google Scholar]
- Holland, J.H. Adaptation in Natural and Artificial Systems: An Introductory Analysis with Applications to Biology, Control, and Artificial Intelligence, 1st ed.; Complex adaptive systems; MIT Press: Cambridge, MA, USA, 1992; ISBN 978-0-262-08213-6. [Google Scholar]
- Mirjalili, S.; Mirjalili, S.M.; Lewis, A. Grey Wolf Optimizer. Adv. Eng. Softw. 2014, 69, 46–61. [Google Scholar] [CrossRef]
- Storn, R.; Price, K. Differential Evolution—A Simple and Efficient Heuristic for Global Optimization over Continuous Spaces. J. Glob. Optim. 1997, 11, 341–359. [Google Scholar] [CrossRef]
- Beyer, H.-G.; Schwefel, H.-P. Evolution Strategies—A Comprehensive Introduction. Nat. Comput. 2002, 1, 3–52. [Google Scholar] [CrossRef]
- Artificial Intelligence through Simulated Evolution. In Evolutionary Computation; IEEE: Piscataway, NJ, USA, 2009; ISBN 978-0-470-54460-0.
- Rashedi, E.; Nezamabadi-pour, H.; Saryazdi, S. GSA: A Gravitational Search Algorithm. Inf. Sci. 2009, 179, 2232–2248. [Google Scholar] [CrossRef]
- Yadav, A. AEFA: Artificial Electric Field Algorithm for Global Optimization. Swarm Evol. Comput. 2019, 48, 93–108. [Google Scholar] [CrossRef]
- Geem, Z.W.; Kim, J.H.; Loganathan, G.V. A New Heuristic Optimization Algorithm: Harmony Search. Simulation 2001, 76, 60–68. [Google Scholar] [CrossRef]
- Rao, R.V.; Savsani, V.J.; Vakharia, D.P. Teaching–Learning-Based Optimization: A Novel Method for Constrained Mechanical Design Optimization Problems. Comput.-Aided Des. 2011, 43, 303–315. [Google Scholar] [CrossRef]
- Das, B.; Mukherjee, V.; Das, D. Student Psychology Based Optimization Algorithm: A New Population Based Optimization Algorithm for Solving Optimization Problems. Adv. Eng. Softw. 2020, 146, 102804. [Google Scholar] [CrossRef]
- Dhiman, G.; Kumar, V. Seagull Optimization Algorithm: Theory and Its Applications for Large-Scale Industrial Engineering Problems. Knowl.-Based Syst. 2019, 165, 169–196. [Google Scholar] [CrossRef]
- Mirjalili, S.; Lewis, A. The Whale Optimization Algorithm. Adv. Eng. Softw. 2016, 95, 51–67. [Google Scholar] [CrossRef]
- Karaboga, D.; Basturk, B. A Powerful and Efficient Algorithm for Numerical Function Optimization: Artificial Bee Colony (ABC) Algorithm. J. Glob. Optim. 2007, 39, 459–471. [Google Scholar] [CrossRef]
- Heidari, A.A.; Mirjalili, S.; Faris, H.; Aljarah, I.; Mafarja, M.; Chen, H. Harris Hawks Optimization: Algorithm and Applications. Future Gener. Comput. Syst. 2019, 97, 849–872. [Google Scholar] [CrossRef]
- Zou, T.; Wang, C. Adaptive Relative Reflection Harris Hawks Optimization for Global Optimization. Mathematics 2022, 10, 1145. [Google Scholar] [CrossRef]
- Shehabeldeen, T.A.; Elaziz, M.A.; Elsheikh, A.H.; Zhou, J. Modeling of Friction Stir Welding Process Using Adaptive Neuro-Fuzzy Inference System Integrated with Harris Hawks Optimizer. J. Mater. Res. Technol. 2019, 8, 5882–5892. [Google Scholar] [CrossRef]
- Rodríguez-Esparza, E.; Zanella-Calzada, L.A.; Oliva, D.; Heidari, A.A.; Zaldivar, D.; Pérez-Cisneros, M.; Foong, L.K. An Efficient Harris Hawks-Inspired Image Segmentation Method. Expert Syst. Appl. 2020, 155, 113428. [Google Scholar] [CrossRef]
- Chen, H.; Jiao, S.; Wang, M.; Heidari, A.A.; Zhao, X. Parameters Identification of Photovoltaic Cells and Modules Using Diversification-Enriched Harris Hawks Optimization with Chaotic Drifts. J. Clean. Prod. 2020, 244, 118778. [Google Scholar] [CrossRef]
- Amiri Golilarz, N.; Gao, H.; Demirel, H. Satellite Image De-Noising With Harris Hawks Meta Heuristic Optimization Algorithm and Improved Adaptive Generalized Gaussian Distribution Threshold Function. IEEE Access 2019, 7, 57459–57468. [Google Scholar] [CrossRef]
- Gezici, H.; Livatyalı, H. Chaotic Harris Hawks Optimization Algorithm. J. Comput. Des. Eng. 2022, 9, 216–245. [Google Scholar] [CrossRef]
- Tizhoosh, H.R. Opposition-Based Learning: A New Scheme for Machine Intelligence. In Proceedings of the International Conference on Computational Intelligence for Modelling, Control and Automation and International Conference on Intelligent Agents, Web Technologies and Internet Commerce (CIMCA-IAWTIC’06), Vienna, Austria, 28–30 November 2005; IEEE: Piscataway, NJ, USA, 2005; Volume 1, pp. 695–701. [Google Scholar]
- Sahoo, S.K.; Saha, A.K.; Nama, S.; Masdari, M. An Improved Moth Flame Optimization Algorithm Based on Modified Dynamic Opposite Learning Strategy. Artif. Intell. Rev. 2023, 56, 2811–2869. [Google Scholar] [CrossRef]
- Rahnamayan, S.; Tizhoosh, H.R.; Salama, M.M.A. Opposition-Based Differential Evolution. IEEE Trans. Evol. Computat. 2008, 12, 64–79. [Google Scholar] [CrossRef]
- Xu, Y.; Yang, Z.; Li, X.; Kang, H.; Yang, X. Dynamic Opposite Learning Enhanced Teaching–Learning-Based Optimization. Knowl.-Based Syst. 2020, 188, 104966. [Google Scholar] [CrossRef]
- Cao, D.; Xu, Y.; Yang, Z.; Dong, H.; Li, X. An Enhanced Whale Optimization Algorithm with Improved Dynamic Opposite Learning and Adaptive Inertia Weight Strategy. Complex Intell. Syst. 2023, 9, 767–795. [Google Scholar] [CrossRef]
- Wang, Y.; Jin, C.; Li, Q.; Hu, T.; Xu, Y.; Chen, C.; Zhang, Y.; Yang, Z. A Dynamic Opposite Learning-Assisted Grey Wolf Optimizer. Symmetry 2022, 14, 1871. [Google Scholar] [CrossRef]
- Wang, H.; Wu, Z.; Rahnamayan, S.; Liu, Y.; Ventresca, M. Enhancing Particle Swarm Optimization Using Generalized Opposition-Based Learning. Inf. Sci. 2011, 181, 4699–4714. [Google Scholar] [CrossRef]
- Long, W.; Wu, T.; Cai, S.; Liang, X.; Jiao, J.; Xu, M. A Novel Grey Wolf Optimizer Algorithm with Refraction Learning. IEEE Access 2019, 7, 57805–57819. [Google Scholar] [CrossRef]
- Long, W.; Wu, T.; Jiao, J.; Tang, M.; Xu, M. Refraction-Learning-Based Whale Optimization Algorithm for High-Dimensional Problems and Parameter Estimation of PV Model. Eng. Appl. Artif. Intell. 2020, 89, 103457. [Google Scholar] [CrossRef]
- Adegboye, O.R.; Deniz Ülker, E. Hybrid Artificial Electric Field Employing Cuckoo Search Algorithm with Refraction Learning for Engineering Optimization Problems. Sci. Rep. 2023, 13, 4098. [Google Scholar] [CrossRef] [PubMed]
- Pan, Q.; Tang, J.; Lao, S. EDOA: An Elastic Deformation Optimization Algorithm. Appl. Intell. 2022, 52, 17580–17599. [Google Scholar] [CrossRef]
- Derrac, J.; García, S.; Molina, D.; Herrera, F. A Practical Tutorial on the Use of Nonparametric Statistical Tests as a Methodology for Comparing Evolutionary and Swarm Intelligence Algorithms. Swarm Evol. Comput. 2011, 1, 3–18. [Google Scholar] [CrossRef]







| Type | Definition | |||
|---|---|---|---|---|
| Unimodal Test Functions | 30 | 0 | ||
| 30 | 0 | |||
| 30 | 0 | |||
| 30 | 0 | |||
| 30 | 0 | |||
| 30 | 0 | |||
| 30 | 0 | |||
| Multimodal Test Functions | 30 | |||
| 30 | 0 | |||
| 30 | 0 | |||
| 30 | 0 | |||
| 30 | 0 | |||
| 30 | 0 | |||
| Multimodal Test Functionswith Fixed Dimension | 2 | 1 | ||
| 4 | 0.0003 | |||
| 2 | 1.0316 | |||
| 2 | 0.398 | |||
| 2 | 3 | |||
| 3 | 3.86 | |||
| 6 | 3.32 | |||
| 4 | 10.1532 | |||
| 4 | 10.4028 | |||
| 4 | 10.5363 |
| Type | Symbol | Functions Name | ||
|---|---|---|---|---|
| Unimodal Functions | Shifted and Rotated Bent Cigar Function | 100 | ||
| Basic Functions | Shifted and Rotated Schwefel’s Function | 1100 | ||
| Shifted and Rotated Lunacek Bi_Rastrigin Function | 700 | |||
| Expanded Rosenbrock’s plus Griewangk’s Function | 1900 | |||
| Hybrid Functions | Hybrid Function 1 () | 1700 | ||
| Hybrid Function 2 () | 1600 | |||
| Hybrid Function 3 () | 2100 | |||
| Composition Functions | Composition Function 1 () | 2200 | ||
| Composition Function 2 () | 2400 | |||
| Composition Function 3 () | 2500 |
| Parameter Name | Parameter Symbol | 23 Classical Functions | IEEE CEC 2020 Functions |
|---|---|---|---|
| Mutation probability | 1 | 0.7 | |
| Number of researchings | 6 | 6 | |
| Mean of Gaussian distribution | 1 | 1 | |
| STD of Gaussian distribution | 0.5 | 0.4 | |
| Refractive index | 3.5 | 0.6 |
| Functions | Metric | GSA | DE | SOA | WOA | ABC | HHO | MSI-HHO |
|---|---|---|---|---|---|---|---|---|
| best | 2.1663 × 10−18 | 0 | 0 | 0 | 1.1545 × 102 | 0 | 0 * | |
| std | 8.0505 × 10−19 | 0 | 0 | 4.3530 × 103 | 3.8134 × 101 | 0 | 0 | |
| − | ≈ | ≈ | ≈ | − | ≈ | |||
| best | 7.2933 × 10−9 | 0 | 0 | 0 | 3.5110 × 100 | 0 | 0 | |
| std | 1.2135 × 10−9 | 0 | 0 | 1.2290 × 103 | 5.8342 × 10−1 | 0 | 0 | |
| best | 7.3487 × 10−18 | 5.6621 × 103 | 7.7878 × 10−21 | 3.6275 × 10−11 | 1.4743 × 104 | 0 | 0 | |
| std | 4.5585 × 10−18 | 6.7469 × 103 | 7.5259 × 10−4 | 3.7058 × 102 | 2.2542 × 103 | 0 | 0 | |
| best | 8.6309 × 10−10 | 0 | 0 | 3.9540 × 10−65 | 3.3299 × 101 | 0 | 0 | |
| std | 1.3420 × 10−10 | 0 | 0 | 8.3809 × 102 | 3.5879 × 100 | 0 | 0 | |
| best | 9.4979 × 10−14 | 2.8771 × 101 | 7.5078 × 10−4 | 2.1133 × 101 | 4.8574 × 103 | 7.1889 × 10−10 | 1.7910 × 10−9 | |
| std | 2.9191 × 10−14 | 7.7532 × 10−2 | 1.4440 × 101 | 2.2760 × 105 | 3.8975 × 103 | 3.7545 × 10−7 | 5.7432 × 10−8 | |
| best | 2.7785 × 10−18 | 6.7830 × 100 | 1.3141 × 10−2 | 1.6489 × 10−9 | 5.2036 × 101 | 2.4492 × 10−11 | 5.2957 × 10−14 | |
| std | 7.9649 × 10−19 | 1.2116 × 10−1 | 2.2525 × 10−1 | 8.3293 × 102 | 4.5092 × 101 | 7.8445 × 10−9 | 2.5557 × 10−12 | |
| best | 3.0408 × 10−3 | 2.8232 × 10−8 | 8.4267 × 10−8 | 1.4995 × 10−6 | 2.3710 × 10−1 | 2.8281 × 10−8 | 2.7201 × 10−8 | |
| std | 1.2968 × 10−3 | 4.6625 × 10−7 | 2.1441 × 10−6 | 2.3645 × 105 | 1.6949 × 10−1 | 9.7979 × 10−7 | 7.2272 × 10−7 | |
| best | 8.9181 × 103 | 7.7194 × 103 | 3.8183 × 10−4 | 4.0727 × 10−4 | 2.4841 × 103 | 3.8183 × 10−4 | 3.8183 × 10−4 | |
| std | 4.3870 × 102 | 3.7041 × 102 | 2.5048 × 10−7 | 6.6199 × 103 | 1.9027 × 102 | 4.8243 × 10−5 | 9.0892 × 10−11 | |
| best | 3.9798 × 100 | 0 | 0 | 0 | 3.4096 × 101 | 0 | 0 | |
| std | 2.6022 × 100 | 0 | 0 | 1.2443 × 103 | 7.2091 × 100 | 0 | 0 | |
| best | 1.2031 × 10−9 | 8.8818 × 10−16 | 8.8818 × 10−16 | 8.8818 × 10−16 | 5.0069 × 100 | 8.8818 × 10−16 | 8.8818 × 10−16 | |
| std | 1.4709 × 10−10 | 0 | 0 | 1.3490 × 103 | 5.7356 × 10−1 | 0 | 0 | |
| best | 0 | 0 | 0 | 0 | 1.6739 × 100 | 0 | 0 | |
| std | 3.3453 × 10−3 | 0 | 0 | 0 | 4.2819 × 10−1 | 0 | 0 | |
| best | 1.7715 × 10−20 | 9.5627 × 10−1 | 1.7949 × 10−4 | 4.4589 × 10−10 | 4.5812 × 10−1 | 2.6631 × 10−13 | 4.0182 × 10−14 | |
| std | 4.1967 × 10−21 | 1.9320 × 10−1 | 1.3598 × 10−2 | 5.3233 × 10−10 | 4.0680 × 10−1 | 9.4014 × 10−10 | 4.4993 × 10−13 | |
| best | 2.3447 × 10−19 | 2.8126 × 100 | 1.5226 × 10−3 | 1.0464 × 10−8 | 2.7463 × 100 | 1.9310 × 10−12 | 7.6478 × 10−13 | |
| std | 8.1704 × 10−20 | 2.7897 × 10−2 | 4.0115 × 10−2 | 7.2755 × 10−9 | 1.9305 × 100 | 4.5732 × 10−9 | 8.5172 × 10−12 | |
| best | 3.8742 × 10−6 | 9.9431 × 10−1 | 3.8378 × 10−6 | 3.8378 × 10−6 | 3.8378 × 10−6 | 3.8378 × 10−6 | 3.8378 × 10−6 | |
| std | 1.2126 × 100 | 3.2853 × 100 | 4.5517 × 100 | 2.0367 × 10−13 | 6.4073 × 10−16 | 4.7203 × 10−13 | 2.9458 × 10−16 | |
| best | 9.6812 × 10−4 | 1.8337 × 10−2 | 2.5106 × 10−5 | 9.6928 × 10−6 | 8.2069 × 10−5 | 7.4910 × 10−6 | 7.4862 × 10−6 | |
| std | 6.9165 × 10−4 | 3.3202 × 10−2 | 5.5961 × 10−4 | 8.2550 × 10−6 | 8.9288 × 10−5 | 1.9848 × 10−6 | 1.8259 × 10−7 | |
| best | 4.6510 × 10−8 | 3.1629 × 10−2 | 4.9261 × 10−8 | 4.6510 × 10−8 | 4.6510 × 10−8 | 4.6510 × 10−8 | 4.6510 × 10−8 | |
| std | 1.7104 × 10−16 | 7.1979 × 10−2 | 8.8371 × 10−8 | 1.8244 × 10−14 | 1.0265 × 10−15 | 8.9067 × 10−16 | 1.0571 × 10−16 | |
| best | 3.5773 × 10−7 | 3.5773 × 10−7 | 4.1391 × 10−7 | 3.5773 × 10−7 | 3.5773 × 10−7 | 3.5773 × 10−7 | 3.5773 × 10−7 | |
| std | 0 | 1.2796 × 10−14 | 8.6196 × 10−6 | 5.1759 × 10−9 | 3.4609 × 10−10 | 2.1514 × 10−10 | 3.3679 × 10−10 | |
| best | 1.3323 × 10−15 | 5.1215 × 10−3 | 1.1356 × 10−9 | 1.1954 × 10−9 | 1.2398 × 10−6 | 2.6645 × 10−15 | 1.3323 × 10−15 | |
| std | 1.2889 × 10−15 | 4.1432 × 101 | 1.1254 × 101 | 3.7920 × 10−7 | 3.1667 × 10−4 | 3.1841 × 10−11 | 2.0492 × 10−11 | |
| best | 1.7924 × 10−10 | 1.3910 × 10−2 | 1.5399 × 10−6 | 2.6202 × 10−7 | 1.7929 × 10−10 | 1.7926 × 10−10 | 1.7924 × 10−10 | |
| std | 2.8556 × 10−1 | 2.9142 × 10−1 | 9.2239 × 10−2 | 3.1764 × 10−3 | 1.7896 × 10−12 | 3.2756 × 10−6 | 4.4632 × 10−10 | |
| best | 3.8991 × 10−1 | 3.6173 × 10−1 | 4.0555 × 10−2 | 1.3331 × 10−8 | 1.2662 × 10−7 | 8.5138 × 10−6 | 1.5761 × 10−11 | |
| std | 5.7099 × 10−1 | 3.7214 × 10−1 | 1.1503 × 10−1 | 5.3179 × 10−2 | 1.3695 × 10−6 | 6.2794 × 10−2 | 5.8246 × 10−2 | |
| best | 5.0980 × 100 | 9.0550 × 100 | 1.1273 × 10−1 | 6.7876 × 10−7 | 1.8791 × 10−5 | 1.1224 × 10−5 | 3.2094 × 10−7 | |
| std | 9.0649 × 10−16 | 1.4581 × 10−1 | 3.1684 × 100 | 2.7660 × 10−6 | 7.3683 × 10−4 | 1.6907 × 100 | 7.9255 × 10−13 | |
| best | 1.3340 × 10−12 | 8.3837 × 100 | 1.4427 × 10−3 | 2.3814 × 10−7 | 2.5690 × 10−5 | 1.3601 × 10−5 | 1.3376 × 10−12 | |
| std | 2.6576 × 100 | 3.1831 × 10−1 | 2.7502 × 100 | 4.1971 × 10−6 | 3.6355 × 10−4 | 2.1699 × 100 | 2.6357 × 10−13 | |
| best | 3.0796 × 10−10 | 7.5041 × 100 | 8.3103 × 10−3 | 2.6009 × 10−7 | 1.4752 × 10−5 | 9.9230 × 10−6 | 3.0796 × 10−10 | |
| std | 8.8818 × 10−16 | 5.0624 × 10−1 | 3.4986 × 100 | 7.8253 × 10−7 | 5.2648 × 10−4 | 1.7936 × 100 | 1.9674 × 10−12 | |
| Mean time cost | 8.7509 × 102 | 5.6206 × 102 | 1.9537 × 102 | 4.3847 × 101 | 4.3891 × 102 | 3.8060 × 102 | 7.6101 × 102 | |
| 3 | 0 | 0 | 0 | 0 | 1 | |||
| 12 | 16 | 15 | 15 | 20 | 11 | |||
| 6 | 7 | 8 | 8 | 3 | 11 | |||
| Functions | Metric | GSA | DE | SOA | WOA | ABC | HHO | MSI-HHO |
|---|---|---|---|---|---|---|---|---|
| Best | 5.5988 × 101 | 7.3509 × 109 | 6.8047 × 108 | 1.0096 × 102 | 1.0033 × 106 | 5.7539 × 104 | 1.0575 × 101 | |
| Median | 3.0493 × 103 | 1.2064 × 1010 | 1.1507 × 1010 | 1.1338 × 103 | 5.4545 × 106 | 2.9392 × 105 | 4.7133 × 103 | |
| Mean | 3.5691 × 103 | 1.2413 × 1010 | 1.1295 × 1010 | 6.0608 × 103 | 5.3996 × 106 | 3.0048 × 105 | 7.8990 × 103 | |
| Worst | 8.1534 × 103 | 1.6424 × 1010 | 1.9877 × 1010 | 2.6579 × 104 | 9.1827 × 106 | 6.1484 × 105 | 2.6267 × 104 | |
| STD | 2.3956 × 103 | 2.0794 × 109 | 4.6156 × 109 | 8.5480 × 103 | 2.1790 × 106 | 1.5090 × 105 | 8.7253 × 103 | |
| Best | 6.6981 × 102 | 2.2479 × 103 | 1.4935 × 103 | 5.1135 × 102 | 3.5075 × 102 | 4.6776 × 102 | 2.7102 × 102 | |
| Median | 1.2823 × 103 | 3.0599 × 103 | 2.4841 × 103 | 1.5239 × 103 | 5.2103 × 102 | 7.6539 × 102 | 9.6634 × 102 | |
| Mean | 1.2065 × 103 | 3.0451 × 103 | 2.4324 × 103 | 1.5510 × 103 | 5.0268 × 102 | 7.9812 × 102 | 9.4318 × 102 | |
| Worst | 1.6942 × 103 | 3.4889 × 103 | 3.5122 × 103 | 2.5810 × 103 | 5.8770 × 102 | 1.4017 × 103 | 1.6516 × 103 | |
| STD | 2.7194 × 102 | 2.8658 × 102 | 5.3348 × 102 | 5.1268 × 102 | 7.3681 × 101 | 2.3444 × 102 | 3.2384 × 102 | |
| Best | 1.6157 × 101 | 2.2403 × 102 | 1.6647 × 102 | 7.0456 × 101 | 4.1040 × 101 | 6.8793 × 101 | 2.9487 × 101 | |
| Median | 1.8899 × 101 | 2.5489 × 102 | 2.3748 × 102 | 1.3547 × 102 | 5.2135 × 101 | 9.5479 × 101 | 5.5181 × 101 | |
| Mean | 1.9177 × 101 | 2.5229 × 102 | 2.4167 × 102 | 1.4528 × 102 | 5.1621 × 101 | 9.4575 × 101 | 5.5738 × 101 | |
| Worst | 2.3194 × 101 | 2.8456 × 102 | 3.3526 × 102 | 2.5283 × 102 | 6.2170 × 101 | 1.2609 × 102 | 9.1986 × 101 | |
| STD | 1.9613 × 100 | 1.6545 × 101 | 3.9385 × 101 | 4.3026 × 101 | 4.8802 × 100 | 1.6380 × 101 | 1.3143 × 101 | |
| Best | 1.3659 × 100 | 3.2797 × 103 | 2.8125 × 102 | 1.0779 × 101 | 4.9237 × 100 | 5.1484 × 100 | 1.1967 × 100 | |
| Median | 2.1800 × 100 | 1.1466 × 105 | 2.7657 × 104 | 2.0325 × 101 | 6.4668 × 100 | 1.0829 × 101 | 2.3761 × 100 | |
| Mean | 2.1238 × 100 | 1.6292 × 105 | 1.0169 × 105 | 2.2161 × 101 | 6.4713 × 100 | 1.1962 × 101 | 2.5347 × 100 | |
| Worst | 3.0916 × 100 | 4.6534 × 105 | 7.8701 × 105 | 4.8286 × 101 | 8.0445 × 100 | 2.1662 × 101 | 5.2632 × 100 | |
| STD | 4.5315 × 10−1 | 1.3511 × 105 | 1.6494 × 105 | 8.5941 × 100 | 7.8202 × 10−1 | 3.8459 × 100 | 8.9963 × 10−1 | |
| Best | 1.5303 × 104 | 8.6617 × 105 | 3.3272 × 104 | 1.2443 × 104 | 1.8117 × 104 | 4.3957 × 103 | 1.0891 × 103 | |
| Median | 2.8899 × 104 | 1.4678 × 107 | 3.7275 × 106 | 3.4682 × 105 | 1.2264 × 105 | 3.6159 × 104 | 8.8460 × 104 | |
| Mean | 3.8180 × 104 | 1.8857 × 107 | 6.7618 × 106 | 3.4007 × 105 | 1.2871 × 105 | 4.5072 × 104 | 1.0390 × 105 | |
| Worst | 8.2838 × 104 | 6.0133 × 107 | 3.2028 × 107 | 8.1066 × 105 | 2.9435 × 105 | 1.3118 × 105 | 3.1202 × 105 | |
| STD | 2.1075 × 104 | 1.5005 × 107 | 7.8370 × 106 | 2.2850 × 105 | 7.4350 × 104 | 3.3436 × 104 | 9.2549 × 104 | |
| Best | 2.2897 × 10−1 | 8.1139 × 10−1 | 3.1238 × 100 | 8.2728 × 10−1 | 7.2963 × 100 | 1.4182 × 100 | 2.3456 × 100 | |
| Median | 1.8768 × 102 | 1.1425 × 100 | 4.1412 × 102 | 2.8091 × 102 | 2.1242 × 102 | 3.0688 × 102 | 2.7791 × 102 | |
| Mean | 2.5674 × 102 | 1.6453 × 101 | 3.4454 × 102 | 3.1365 × 102 | 2.6529 × 102 | 2.8833 × 102 | 3.0586 × 102 | |
| Worst | 8.2812 × 102 | 3.6210 × 102 | 8.1601 × 102 | 8.3667 × 102 | 6.7793 × 102 | 7.1999 × 102 | 8.3753 × 102 | |
| STD | 2.1717 × 102 | 7.2105 × 101 | 2.0516 × 102 | 2.2834 × 102 | 2.2105 × 102 | 2.1721 × 102 | 2.5097 × 102 | |
| Best | 5.3783 × 103 | 2.2291 × 106 | 5.3934 × 104 | 1.2860 × 104 | 1.9904 × 104 | 1.0888 × 103 | 7.3490 × 102 | |
| Median | 1.1419 × 104 | 8.4098 × 106 | 5.1032 × 106 | 1.6106 × 105 | 5.7226 × 104 | 1.4781 × 104 | 2.3625 × 104 | |
| Mean | 1.2375 × 104 | 9.5788 × 106 | 7.6309 × 106 | 2.9009 × 105 | 5.5705 × 104 | 2.0908 × 104 | 4.0370 × 104 | |
| Worst | 2.3654 × 104 | 2.1848 × 107 | 1.7426 × 107 | 2.0167 × 106 | 9.5273 × 104 | 7.2776 × 104 | 2.2392 × 105 | |
| STD | 5.3778 × 103 | 5.2526 × 106 | 6.6471 × 106 | 4.1988 × 105 | 2.0233 × 104 | 1.8667 × 104 | 5.1839 × 104 | |
| Best | 1.0000 × 102 | 6.9290 × 102 | 8.6976 × 102 | 8.6908 × 101 | 4.7240 × 101 | 1.0453 × 102 | 2.8266 × 101 | |
| Median | 1.0000 × 102 | 1.1264 × 103 | 1.4628 × 103 | 1.0263 × 102 | 8.3694 × 101 | 1.0894 × 102 | 1.0110 × 102 | |
| Mean | 1.0000 × 102 | 1.2246 × 103 | 1.5876 × 103 | 3.6438 × 102 | 8.0989 × 101 | 1.3925 × 102 | 9.8460 × 101 | |
| Worst | 1.0000 × 102 | 1.8587 × 103 | 2.8844 × 103 | 2.5218 × 103 | 9.6042 × 101 | 8.7791 × 102 | 1.0391 × 102 | |
| STD | 7.0829 × 10−11 | 2.8082 × 102 | 5.1542 × 102 | 7.2974 × 102 | 1.1983 × 101 | 1.5390 × 102 | 1.4664 × 101 | |
| Best | 1.0000 × 102 | 6.2937 × 102 | 4.0308 × 102 | 1.0011 × 102 | 1.8625 × 102 | 1.0164 × 102 | 1.0063 × 102 | |
| Median | 3.0000 × 102 | 8.0849 × 102 | 6.1034 × 102 | 4.6517 × 102 | 2.0930 × 102 | 4.2768 × 102 | 4.1919 × 102 | |
| Mean | 2.8512 × 102 | 8.1348 × 102 | 6.3587 × 102 | 4.5668 × 102 | 2.0947 × 102 | 4.1660 × 102 | 4.0783 × 102 | |
| Worst | 4.3607 × 102 | 9.9991 × 102 | 9.9721 × 102 | 5.5090 × 102 | 2.3270 × 102 | 4.5792 × 102 | 4.4910 × 102 | |
| STD | 1.3774 × 102 | 9.8935 × 101 | 1.3481 × 102 | 7.9980 × 101 | 1.2814 × 101 | 6.7068 × 101 | 6.5395 × 101 | |
| Best | 4.0000 × 102 | 1.1409 × 103 | 8.4520 × 102 | 4.0030 × 102 | 4.6424 × 102 | 4.0162 × 102 | 4.0000 × 102 | |
| Median | 4.0000 × 102 | 1.5750 × 103 | 1.5890 × 103 | 6.2216 × 102 | 5.3277 × 102 | 4.0277 × 102 | 5.5217 × 102 | |
| Mean | 4.0000 × 102 | 1.6922 × 103 | 1.6215 × 103 | 5.9767 × 102 | 5.3221 × 102 | 4.6107 × 102 | 5.1171 × 102 | |
| Worst | 4.0000 × 102 | 2.6111 × 103 | 2.7046 × 103 | 6.8228 × 102 | 5.9776 × 102 | 6.2396 × 102 | 6.7400 × 102 | |
| STD | 4.5306 × 10−10 | 3.8039 × 102 | 4.1198 × 102 | 7.5617 × 101 | 2.8090 × 101 | 9.6270 × 101 | 1.0515 × 102 | |
| Mean time cost (s) | 2.2682 × 102 | 1.9170 × 102 | 5.9314 × 101 | 6.1687 × 101 | 1.8615 × 102 | 1.3610 × 102 | 2.0677 × 102 | |
| 4 | 1 | 0 | 2 | 0 | 1 | |||
| 6 | 9 | 10 | 8 | 10 | 9 | |||
| 0 | 0 | 0 | 0 | 0 | 0 | |||
| Comparison | -Value | ||
|---|---|---|---|
| MSI-HHO vs. GSA | 146 | −44 | 0.023907 |
| MSI-HHO vs. DE | 136 | 0 | 0.000321 |
| MSI-HHO vs. SOA | 150 | −3 | 0.000355 |
| MSI-HHO vs. WOA | 171 | 0 | 0.000143 |
| MSI-HHO vs. ABC | 276 | 0 | 0.000091 |
| MSI-HHO vs. HHO | 97 | −8 | 0.003445 |
| Functions | GSA | DE | SOA | WOA | ABC | HHO | MSI-HHO |
|---|---|---|---|---|---|---|---|
| 6 | 3 | 3 | 3 | 7 | 3 | 3 | |
| 6 | 3 | 3 | 3 | 7 | 3 | 3 | |
| 4 | 6 | 3 | 5 | 7 | 1.5 | 1.5 | |
| 6 | 2.5 | 2.5 | 5 | 7 | 2.5 | 2.5 | |
| 1 | 6 | 4 | 5 | 7 | 2 | 3 | |
| 1 | 6 | 5 | 4 | 7 | 3 | 2 | |
| 6 | 2 | 4 | 5 | 7 | 3 | 1 | |
| 7 | 6 | 1 | 4 | 5 | 3 | 2 | |
| 6 | 3 | 3 | 3 | 7 | 3 | 3 | |
| 6 | 3 | 3 | 3 | 7 | 3 | 3 | |
| 3.5 | 3.5 | 3.5 | 3.5 | 7 | 3.5 | 3.5 | |
| 1 | 7 | 5 | 4 | 6 | 3 | 2 | |
| 1 | 7 | 5 | 4 | 6 | 3 | 2 | |
| 6 | 7 | 5 | 4 | 3 | 2 | 1 | |
| 6 | 7 | 4 | 3 | 5 | 2 | 1 | |
| 2 | 7 | 6 | 4.5 | 4.5 | 2 | 2 | |
| 2.5 | 2.5 | 7 | 5 | 6 | 2.5 | 2.5 | |
| 1.5 | 7 | 4 | 5 | 6 | 3 | 1.5 | |
| 1 | 7 | 6 | 5 | 4 | 3 | 2 | |
| 7 | 6 | 5 | 2 | 3 | 4 | 1 | |
| 6 | 7 | 5 | 2 | 4 | 3 | 1 | |
| 1 | 7 | 6 | 3 | 5 | 4 | 2 | |
| 1 | 7 | 6 | 3 | 5 | 4 | 2 | |
| Rank sum | 88.5 | 122.5 | 99 | 88 | 132.5 | 66 | 47.5 |
| Friedman rank | 3.85 | 5.33 | 4.30 | 3.83 | 5.76 | 2.87 | 2.07 |
| General rank | 4 | 6 | 5 | 3 | 7 | 2 | 1 |
| Comparison | -Value | ||
|---|---|---|---|
| MSI-HHO vs. GSA | 42 | −13 | 0.465 |
| MSI-HHO vs. DE | 54 | −1 | 0.067 |
| MSI-HHO vs. SOA | 55 | 0 | 0.054 |
| MSI-HHO vs. WOA | 50 | −5 | 0.147 |
| MSI-HHO vs. ABC | 55 | 0 | 0.054 |
| MSI-HHO vs. HHO | 54 | −1 | 0.067 |
| Functions | GSA | DE | SOA | WOA | ABC | HHO | MSI-HHO |
|---|---|---|---|---|---|---|---|
| 2 | 7 | 6 | 3 | 5 | 4 | 1 | |
| 5 | 7 | 6 | 4 | 2 | 3 | 1 | |
| 1 | 7 | 6 | 5 | 3 | 4 | 2 | |
| 2 | 7 | 6 | 5 | 3 | 4 | 1 | |
| 4 | 7 | 6 | 3 | 5 | 2 | 1 | |
| 1 | 2 | 6 | 3 | 7 | 4 | 5 | |
| 3 | 7 | 6 | 4 | 5 | 2 | 1 | |
| 4 | 6 | 7 | 3 | 2 | 5 | 1 | |
| 1 | 7 | 6 | 2 | 5 | 4 | 3 | |
| 1 | 7 | 6 | 3 | 5 | 4 | 2 | |
| Rank sum | 24 | 64 | 61 | 35 | 42 | 36 | 18 |
| Friedman rank | 2.4 | 6.4 | 6.1 | 3.5 | 4.2 | 3.6 | 1.8 |
| General rank | 2 | 7 | 6 | 3 | 5 | 4 | 1 |
Disclaimer/Publisher’s Note: The statements, opinions and data contained in all publications are solely those of the individual author(s) and contributor(s) and not of MDPI and/or the editor(s). MDPI and/or the editor(s) disclaim responsibility for any injury to people or property resulting from any ideas, methods, instructions or products referred to in the content. |
© 2024 by the authors. Licensee MDPI, Basel, Switzerland. This article is an open access article distributed under the terms and conditions of the Creative Commons Attribution (CC BY) license (https://creativecommons.org/licenses/by/4.0/).
Share and Cite
Wang, H.; Tang, J.; Pan, Q. MSI-HHO: Multi-Strategy Improved HHO Algorithm for Global Optimization. Mathematics 2024, 12, 415. https://doi.org/10.3390/math12030415
Wang H, Tang J, Pan Q. MSI-HHO: Multi-Strategy Improved HHO Algorithm for Global Optimization. Mathematics. 2024; 12(3):415. https://doi.org/10.3390/math12030415
Chicago/Turabian StyleWang, Haosen, Jun Tang, and Qingtao Pan. 2024. "MSI-HHO: Multi-Strategy Improved HHO Algorithm for Global Optimization" Mathematics 12, no. 3: 415. https://doi.org/10.3390/math12030415
APA StyleWang, H., Tang, J., & Pan, Q. (2024). MSI-HHO: Multi-Strategy Improved HHO Algorithm for Global Optimization. Mathematics, 12(3), 415. https://doi.org/10.3390/math12030415


