Abstract
In this paper, we study the synchronization of a nonlinear fractional system, and analyze its time response and chaotic behaviors. We represent a solution for considered system by employing the Mittag-Leffler matrix function and Jacobian matrix. Thereafter, we prove synchronization of error system between drive-response systems using stability theory and linear feedback control methods. Finally, numerical simulations are presented to show the effectiveness of the theoretical results.
MSC:
34A08; 93C05
1. Introduction
Fractional calculus has over 300 years of history. Recently, it has attracted increasing interest due to its potential applications physics and engineering such as viscoelastic systems [1], dielectric polarization [2], electrode-electrolyte polarization [3], electromagnetic waves [4], quantitative finance [5], and quantum evolution of complex systems [6]. Synchronization of a chaotic system occurs when two or more chaotic systems are connected and it has attracted wide research because of its applications in science and engineering such as biology, economics, secure communication and signal generator design (see [7,8]). Sufficient conditions for synchronization of fractional-order chaotic systems via linear control were investigated in [9], synchronization of fractional chaotic systems with different orders was studied in [10] using stability concepts and synchronization of the Lotka-Volterra chaotic system was studied using the active control method in [11]. Robust synchronization for chaotic and hyperchaotic fractional order systems with model uncertainties and disturbances was investigated in [12].
Fractional chaotic system, global asymptotic synchronization and adaptive sliding mode synchronization have been studied in [13,14,15] and sufficient conditions were presented for exponential synchronization of fractional order chaotic systems in [16]. Finite time stability and synchronization of fractional order chaotic system with uncertainties and disturbance was studied in [17].
In this paper, we consider the following drive system of fractional order
and a corresponding response system of (1) is
where denotes the Caputo fractional derivative [18] with lower limit at is a state, A is a matrix of dimension is a -smooth and is a controller.
Set the error system by Define
for an matrix Then we get
where
is a Jacobian matrix.
From [18,19] the solution of the system (4) is given by
where , and are the well-known Mittag-Leffler functions in [18,20,21].
We present sufficient conditions for synchronization of nonlinear fractional order chaotic system by using asymptotic stability theory for Mittag-Leffler matrix function, Jacobian matrix and linear feedback controller. We introduce a Jacobian matrix for the nonlinear term and represent the solution for error system between drive-response systems. Note that the time response of drive system (1) makes the impact in response system (2) (see the nonlinear term of (2)). Moreover, we numerically check the time response for drive-response systems for different fractional orders and employ the linear feedback controller to synchronize the drive-response systems based on the chaotic behavior and state trajectories.
2. Main Results
We give the following explicit results for the norm of Mittag-Leffler matrix functions.
Lemma 1.
Assume
for . Then
Proof.
Since and are completely monotonous [21], we have
for any and . So considering any of the following standard norms on
one can derive the results. □
Definition 1.
System (4) is called stable if for any there exists a such that guarantees that
Definition 2.
We introduce the following conditions:
: .
: satisfies (7).
Theorem 1.
Proof.
From (6), , and Lemma 1, we derive
Set . Introducing a linear bounded operator as
Then, (8) can be rewritten as
Since is non-decreasing, we see that the sequence is non-decreasing having a limit which satisfies , i.e.,
and for any . But (9) means
which has the solution
Summarizing, we obtain
Remark 1.
In [9,10,11,12,14,15,16,17], robust and exponential synchronization of fractional order deterministic chaotic systems was investigated using an adaptive scheme, an active control method, linear control, Lyapunov stability theory, linear feedback controller, sliding mode control and tracking control respectively. In this paper, we investigated the asymptotic synchronization for fractional order system using asymptotic stability theory, a feedback controller and Jacobian matrix.
Remark 2.
(i) can be weakened in Theorem 1 to
for any .
(ii) The above synchronization is based on the stability of an equilibrium of a linear fractional equation . We know that this holds if and only if
for any eigenvalue λ of M. But then it is not so clear an estimate like (11). This is a reason, why we consider a diagonal M. For a general M satisfying (12), we must follow the way from section 3.1 of [23], so a cumbersome approach based on real-valued Jordan form of M. Of course, the order in (7) is not important, so we can consider
with and take .
Remark 3.
Here, we proposed a key problem to study the synchronization of a nonlinear fractional order system by employing the Mittag-Leffler matrix function, Jacobian matrix, asymptotic stability theory and linear feedback control methods. The main advantages of the consider model is the time response of drive system (1) makes the effect in response system (2) and combined the nonlinear terms by using Jacobian matrix to represent a solution for error system. This type of model is more applicable and reasonable to study the stability concepts via stable equilibrium, point, state, manifold and finite and infinite dimensional stochastic settings. Further, as an applications point of view we show the behaviors of the considered model for different fractional order through numerical simulations.
3. Examples
In this section, we present the numerical examples to verify the obtained theoretical results.
Example 1.
Consider the following fractional order drive system
where
and
The state trajectory of the drive system (13) for different fractional orders are given in Figure 1, Figure 2, Figure 3 and Figure 4. The trajectories of the system (13) is obviously stable for the fractional order From Figure 1, Figure 2, Figure 3 and Figure 4, one can conclude that the behavior of the state trajectories of the system (13) is unstable for the fractional order
Figure 1.
Time response of the states of the drive system (13) with fractional order .
Figure 2.
Time response of the states of the drive system (13) with fractional order .
Figure 3.
Time response of the states of the drive system (13) with fractional order .
Figure 4.
Time response of the states of the drive system (13) with fractional order .
Thus, it is necessary to introduce the control parameter to synchronize the error system (15), which is given in the following Example 2.
Example 2.
Consider the following fractional order response systems corresponding to the drive system (13)
where and ,
and A and are already defined in Example 1. Further, as per Remark 2 (i), we can weakened in Theorem 1 to
Here, and satisfies the statement of the Theorem 1 i.e.,
Set the suitable control , step size and
So
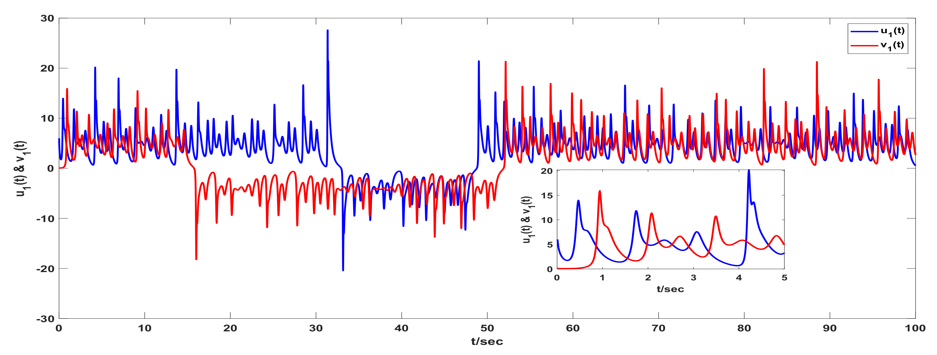
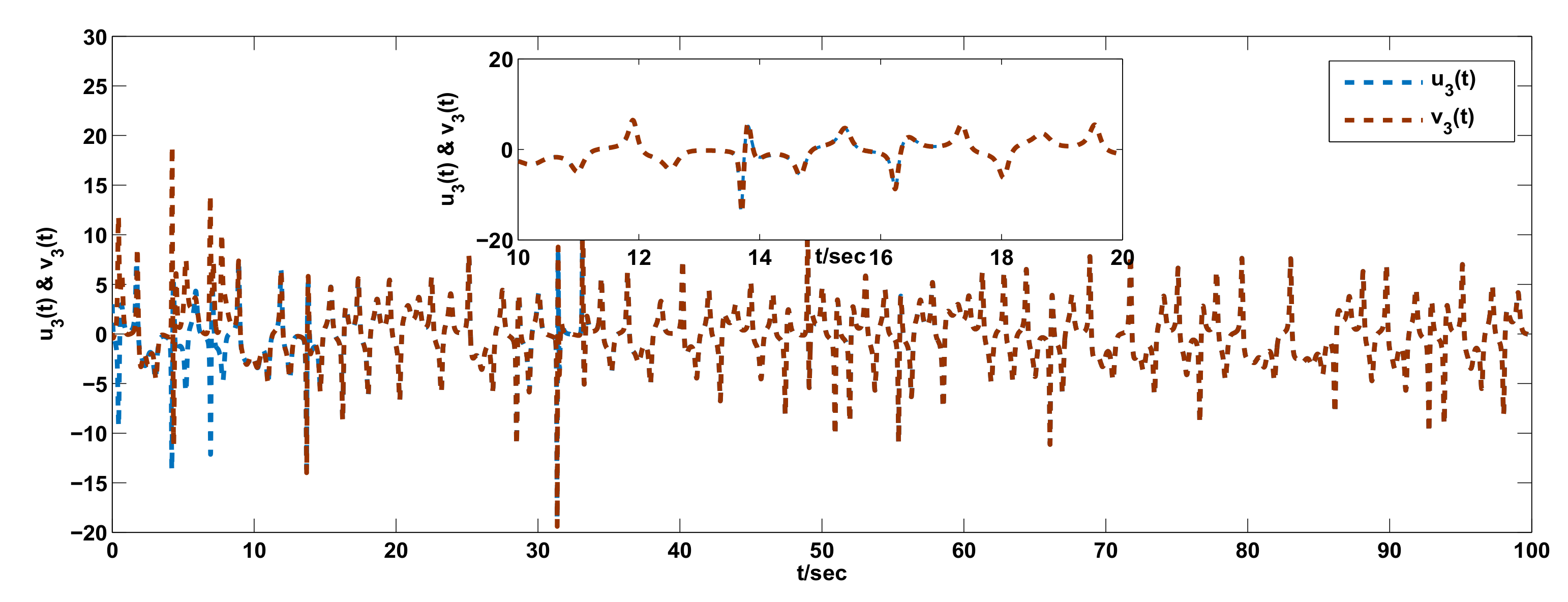
Next, from the matrices and we get Hence, is verified by using the Jacobian matrix (5). The chaotic behavior of the states and and and and of the drive-response systems (13) and (14) with fractional order are given in Figure 5, Figure 6 and Figure 7.
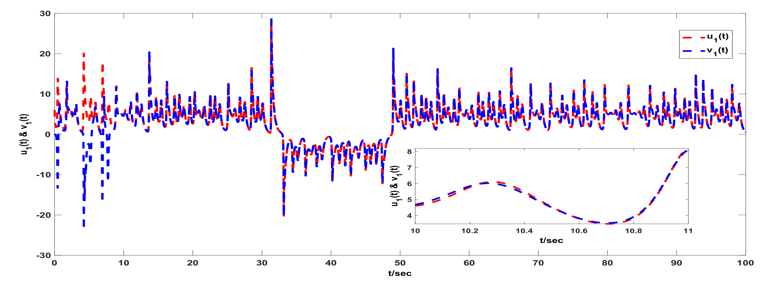
Moreover, three-dimensional phase diagram of the states of (13) with fractional order and the time response of the states and and and and of the drive-response systems (13) and (14) with fractional order are showed in Figure 8, Figure 9, Figure 10 and Figure 11. In Figure 12, Figure 13 and Figure 14, we have showed synchronized time response for the same states of the drive-response systems (13) and (14) with fractional order Finally, time response of the states for the error system (15) with fractional order is showed in Figure 15.
Figure 8.
Three-dimensional phase diagram of the states of the drive system (13) with fractional order .
Figure 15.
Time response of the states for the error system (15) with fractional order .
From Theorem 1, system (13) is synchronized with (14) under the control as shown in the Figure 12, Figure 13 and Figure 14. Time responses of the synchronization errors between (13) and (14) are shown in Figure 15, which provides the convergence of the synchronization errors to zero properly. Finally, all the hypothesis of Theorem 1 is verified numerically.
4. Conclusions
We presented synchronization criteria for nonlinear fractional order systems using Jacobian matrix and asymptotic stability estimation of the Mittag-Leffler matrix function, and a suitable linear feedback controller. The above arguments can be extended to fractional evolution equations of (1) and (2) with (3) on a Banach space X when A: is a generator of a -semigroup on X [24], is globally Lipschitz, is continuous and is linear and continuous. We intend to study this case in our next paper.
Author Contributions
M.F. and J.W. contributed to the supervision and project administration, M.F., T.S. and J.W. contributed to the conceptualization and methodology. All authors have read and agreed to the published version of the manuscript.
Funding
This work is partially supported by the National Natural Science Foundation of China (11661016), Training Object of High Level and Innovative Talents of Guizhou Province ((2016)4006), Major Research Project of Innovative Group in Guizhou Education Department ([2018]012), Guizhou Data Driven Modeling Learning and Optimization Innovation Team ([2020]5016), the Slovak Research and Development Agency under the contract No. APVV-18-0308, and the Slovak Grant Agency VEGA No. 1/0358/20 and No. 2/0127/20.
Acknowledgments
The authors thanks the referees for their careful reading of the article and insightful comments.
Conflicts of Interest
The authors declare no conflict of interest.
References
- Bagley, R.L.; Calico, R.A. Fractional order state equations for the control of viscoelastically damped structures. J. Guid. Control. Dyn. 1991, 14, 304–311. [Google Scholar] [CrossRef]
- Sun, H.H.; Abdelwahab, A.A.; Onaral, B. Linear approximation of transfer function with a pole of fractional power. IEEE Trans. Autom. Control 1984, 29, 441–444. [Google Scholar] [CrossRef]
- Ichise, M.; Nagayanagi, Y.; Kojima, T. An analog simulation of non-integer order transfer functions for analysis of electrode processes. J. Electroanal. Chem. Interfacial Electrochem. 1971, 33, 253–265. [Google Scholar] [CrossRef]
- Heaviside, O. Electromagnetic Theory; Chelsea: New York, NY, USA, 1971. [Google Scholar]
- Laskin, N. Fractional market dynamics. Physica A 2000, 287, 482–492. [Google Scholar] [CrossRef]
- Kusnezov, D.; Bulgac, A.; Dang, G.D. Quantum Lévy Processes and Fractional Kinetics. Phys. Rev. Lett. 1999, 82, 1136–1139. [Google Scholar] [CrossRef]
- Milanovic, V.; Zaghloul, M.E. Synchronization of chaotic neural networks and applications to communications. Int. J. Bifurc. Chaos 1996, 6, 2571–2585. [Google Scholar] [CrossRef]
- Pecora, L.M.; Carroll, T.L. Synchronization in chaotic systems. Phys. Rev. Lett. 1990, 64, 821–825. [Google Scholar] [CrossRef] [PubMed]
- Odibat, Z.M.; Corson, N.; Aziz-Alaoui, M.A.; Bertelle, C. Synchronization of chaotic fractional-order systems via linear control. Int. J. Bifurc. Chaos 2010, 20, 81–97. [Google Scholar] [CrossRef]
- Zhou, P.; Ding, R. Chaotic synchronization between different fractional-order chaotic systems. J. Frankl. Inst. 2011, 348, 2839–2848. [Google Scholar] [CrossRef]
- Agrawal, S.K.; Srivastava, M.; Das, S. Synchronization of fractional order chaotic systems using active control method. Chaos Solitons Fractals 2012, 45, 737–752. [Google Scholar] [CrossRef]
- Li, C.; Su, K.; Tong, Y.; Li, H. Robust synchronization for a class of fractional-order chaotic and hyperchaotic systems. Optik 2013, 124, 3242–3245. [Google Scholar] [CrossRef]
- Hu, T.; Zhang, X.; Zhong, S. Global asymptotic synchronization of nonidentical fractional-order neural networks. Neurocomputing 2018, 313, 39–46. [Google Scholar] [CrossRef]
- Shao, S.; Chen, M.; Yan, X. Adaptive sliding mode synchronization for a class of fractional-order chaotic systems with disturbance. Nonlinear Dyn. 2016, 83, 1855–1866. [Google Scholar] [CrossRef]
- Wang, Q.; Qi, D.L. Synchronization for fractional order chaotic systems with uncertain parameters. Int. J. Control. Autom. Syst. 2016, 14, 211–216. [Google Scholar] [CrossRef]
- Mathiyalagan, K.; Park, J.H.; Sakthivel, R. Exponential synchronization for fractional-order chaotic systems with mixed uncertainties. Complexity 2015, 21, 114–125. [Google Scholar] [CrossRef]
- Li, C.; Zhang, J. Synchronization of a fractional-order chaotic system using finite-time input-to-state stability. Int. J. Syst. Sci. 2016, 47, 2440–2448. [Google Scholar] [CrossRef]
- Kilbas, A.A.; Srivastava, H.M.; Trujillo, J.J. Theory and Applications of Fractional Differential Equations; Elsevier: Amsterdam, The Netherlands, 2006. [Google Scholar]
- Li, K.; Peng, J. Laplace transform and fractional differential equations. Appl. Math. Lett. 2011, 24, 2019–2023. [Google Scholar]
- Podlubny, I. Fractional Differential Equations, Mathematics in Science and Engineering; Academic Press: San Diego, CA, USA, 1999; Volume 198. [Google Scholar]
- Goreno, R.; Kilbas, A.A.; Mainardi, F.; Rogosin, S.V. Mittag-Leffler Functions, Related Topics and Applications; Springer: Berlin, Germany, 2014. [Google Scholar]
- Peng, S.; Wang, J. Existence and Ulam-Hyers stability of ODEs involving two Caputo fractional derivatives. Electron. J. Qual. Theory Differ. Equ. 2015, 52, 1–16. [Google Scholar] [CrossRef]
- Cong, N.D.; Doan, T.S.; Siegmund, S.; Tuan, H.T. On stable manifolds for fractional differential equations in high-dimensional spaces. Nonlinear Dyn. 2016, 86, 1885–1894. [Google Scholar] [CrossRef]
- Pazy, A. Semigroup of Linear Operators and Applications to Partial Differential Equations; Springer: New York, NY, USA, 1983. [Google Scholar]
© 2020 by the authors. Licensee MDPI, Basel, Switzerland. This article is an open access article distributed under the terms and conditions of the Creative Commons Attribution (CC BY) license (http://creativecommons.org/licenses/by/4.0/).














