Abstract
Individuals with type 2 diabetes mellitus are at greater risk of developing cancer and of dying from it. Both diseases are age-related, contributing to the impact of population aging on the long-term sustainability of health care systems in European Union countries. The purpose of this narrative review was to describe, from epidemiological, pathophysiological and preventive perspectives, the links between type 2 diabetes mellitus and the most prevalent cancers in these patients. Multiple metabolic abnormalities that may occur in type 2 diabetes mellitus, particularly obesity, could explain the increased cancer risk. In addition, the effectiveness of drugs commonly used to treat type 2 diabetes mellitus (e.g., metformin and thiazolidinediones) has been broadly evaluated in cancer prevention. Thus, a better understanding of the links between type 2 diabetes mellitus and cancer will help to identify the contributing factors and the pathophysiological pathways and to design personalized preventive strategies. The final goal is to facilitate healthy aging and the prevention of cancer and other diseases related with type 2 diabetes mellitus, which are among the main sources of disability and death in the European Union and worldwide.
1. Introduction
How long we live and what proportion of that life is spent in good health have important implications for individuals and societies. Currently, one-fifth of the 512.4 million inhabitants of the 28 European Union countries (EU-28) are at least 65 years old—an increase of 0.3 percentage points in one year and 2.6 percentage points over the past decade. Moreover, recent projections suggest an increase in this population to 29.1% by 2080, reflecting an additional 53.3 million older inhabitants in the EU-28 [1].
The aging process is the main risk factor for the incidence and progression of type 2 diabetes mellitus and cancer, two of the most common causes of death and disability in the EU-28 and worldwide [2]. Researchers and policy makers agree that population aging is due to decreased fertility, particularly in developed countries, and increased life expectancy with no apparent plateau [3,4]. While modern medical innovations have increased longevity over the past century, the shift toward an older population at increased risk of diabetes and cancer [5,6] has the potential to generate a healthcare crisis in the coming years.
There are several biologically plausible explanations for the association between type 2 diabetes mellitus and cancer development. In cancers, malignant transformation typically involves a process of initiation followed by promotion and progression, stimulating cell growth and development. Patients with both diabetes and cancer share multiple common risk factors associated with initiation, including age, male or female gender depending on cancer type and location, obesity, limited physical activity and poor dietary and lifestyle habits [7]. In addition, the chronic effects of endogenous or exogenous hyperinsulinemia may promote malignant transformation via direct or indirect mechanisms [8]. At this point, scientific evidence shows that the adoption of a healthy lifestyle could substantially reduce premature mortality due to type 2 diabetes mellitus and its complications (e.g., cancers, cardiovascular diseases), as the beneficial effect of prevention is prolonged beyond the 8th decade of life [9,10]. However, the classic model of the determinants of health shows that individual lifestyles are embedded in social norms and networks and in living and working conditions, which in turn are related to the wider socioeconomic and cultural environment [11]. Therefore, the challenge of prevention of chronic diseases, such as type 2 diabetes mellitus and its associated complications, requires a recognition that success depends not only on the individual, but also on social and community networks and general socioeconomic, cultural and environmental conditions [12,13,14].
The objective of this narrative review was to consider the links between type 2 diabetes mellitus and cancer from three distinct perspectives: (1) Epidemiological, to describe the burden of cancer attributable to type 2 diabetes mellitus; (2) pathophysiological, to describe subjacent pathological mechanisms that increase the risk of cancer in individuals with type 2 diabetes mellitus; and (3) preventive, to describe potential preventive strategies aimed to prevent both type 2 diabetes mellitus and cancer.
2. Diabetes and Cancer: Burden of Disease
Diabetes constitutes a worldwide public health problem that affected 463 million people in 2019, considering all different subtypes of the disease; this number is projected to reach 578 million by 2030 and 700 million by 2045 [15]. The life expectancy of a 50-year-old individual with diabetes is 6 years shorter than it would be without the disease [16]. Type 2 diabetes mellitus is estimated to account for 90–95% of all cases [17], double the patient’s risk of cardiovascular events and increase 1.5-fold the risk of developing cancer compared with the general population [18]. In recent decades, reports of a negative annual percentage change in cardiovascular diseases, leading to a diversification of forms of diabetes-related mortality, have suggested implications for prevention, monitoring and clinical management of diabetes. A decreasing trend was also observed for cancers, but the magnitude of change was lower, compared to cardiovascular diseases. As a result, cancer surpassed cardiovascular diseases as the leading cause of death in individuals with type 2 diabetes mellitus in the Hong Kong Diabetes Surveillance Database in 2011 [19] (Table 1).
Several cohort studies have assessed the magnitude of the association and the risk of cancer in different locations. In 2011, the Emerging Risk Factors Collaboration published data on 123,205 deaths reported in 97 prospective studies (820,900 patients, 6% with diabetes) [17] and in Spain, the pooled analysis of the FRESCO Project (Spanish Risk Function of Coronary Events and Others) included 55,292 individuals from 12 population cohorts followed up for 10 years (15.6% with diabetes) [18]. In 2013, the Asia Cohort Consortium performed a pooled analysis of more than 20 cohorts representative of East and South Asian populations, including 771,297 individuals (4.7% with diabetes) [20]. Most recently, the National Health Research Institute in Hong Kong studied 895,434 individuals with diabetes and the same number of individuals without (1,790,868 participants) [21]. In all four studies, the results on the risk of death from cancer in different locations were highly consistent and can be summarized in two main concepts: (1) The risk of death from digestive cancers, particularly involving the liver, colon-rectum and pancreas, was higher in individuals with diabetes compared to those without diabetes; and (2) in women, diabetes was significantly associated with the risk of death from breast and ovarian cancers (Figure 1). Nevertheless, it remains unclear whether type 2 diabetes mellitus is causally related to cancer or the observed association is confounded by other factors.
Figure 1.
Pathophysiological links between obesity/insulin resistance, type 2 diabetes mellitus, inflammation and cancer. Adapted from Cignarelli et al. [24].
Table 1.
Trends in cause-specific death in individuals with diabetes mellitus.
Table 1.
Trends in cause-specific death in individuals with diabetes mellitus.
| Study | Country | Time Period | Gender | Age | Annual Percent Change | |
|---|---|---|---|---|---|---|
| CVD | Cancer | |||||
| National Health Interview Survey [22] | USA | 1985–2015 | All | ≥20 | –3.32 | –1.57 |
| National Diabetes Service [23] | Australia | 2000–2011 | Female | 0–40 | −6.65 | −7.15 |
| 40–60 | −5.10 | −1.55 | ||||
| 60–85 | −6.35 | −4.21 | ||||
| Male | 0–40 | −1.24 | −2.39 | |||
| 40–60 | −3.94 | −1.40 | ||||
| 60–85 | −5.43 | −4.42 | ||||
| Hong Kong Diabetes Surveillance [19] | Hong-Kong | 2001–2016 | Female | 45–59 | −6.20 | −5.60 |
| 60–74 | −12.50 | −7.70 | ||||
| ≥75 | −9.00 | −5.30 | ||||
| Male | 45–59 | −6.40 | −7.40 | |||
| 60–74 | −9.90 | −6.90 | ||||
| ≥75 | −9.20 | −6.00 | ||||
CVD: Cardiovascular disease.
3. Pathophysiological Mechanisms That Explains the Link between Cancer and Diabetes
Metabolic abnormalities observed during the onset and progression of diabetes (Figure 1) may have a critical role in the initiation and progression of carcinogenesis [24]. The supraphysiological concentrations of both insulin and glycemia to which body tissues are exposed constitute a potent growth factor and energy source, respectively, that are essential for neoplastic transformation and cancer progression.
3.1. Hyperglycemia
Hyperglycemia is responsible for induction of oxidative stress and DNA damage, which may trigger the first phases of tumorigenesis [25,26]. In vitro studies conducted on tumor cell lines have shown that high glucose concentrations are able to modify the expression of genes related to proliferation, migration and cell adhesion [27]. Hyperglycemia may also contribute to the generation of advanced glycation end products (AGEs) that stimulate production of reactive oxygen species and inflammation. Chronic activation of the AGEs pathway has been shown to promote tumor transformation of epithelial cells and resistance of tumor cells to oxidative stress [28,29]. Moreover, during cancer progression, tumor cells are known to switch their energy source from mitochondrial oxidative phosphorylation to a less efficient glucose-dependent glycolytic pathway. This phenomenon, still not completely clarified, is known as the ‘‘Warburg effect” and has been recognized as a hallmark of virtually all types of cancer. Consequently, tumor cells require increased glucose uptake to provide energy and continue their proliferation [30,31].
3.2. Insulin
Endogenous hyperinsulinemia, mainly observed in type 2 diabetes mellitus patients in response to reduced insulin sensitivity of peripheral tissues, may also contribute to the relationship between diabetes and cancer by activating insulin receptors, IGF-1 receptors and hybrid insulin/IGF-1 receptors, all of which can stimulate cancer cell proliferation and survival and promote metastasis, thus favoring cancer progression [24]. Insulin stimulation from increased expression of insulin receptors may result in enhanced proliferation with loss of cell contact inhibition. Indeed, cancer cells frequently show augmented insulin receptor expression levels, mostly of the isoform A (lacking exon-11), whose activation is more responsible for mitogenic than metabolic effects and also shows high affinity for IGF-2 [32]. Moreover, high endogenous insulin concentrations observed in patients with type 2 diabetes mellitus are associated with reduced hepatic synthesis of IGFBP-1 (the main IGF-1 binding globulin), leading to increased bio-availability of IGF-1 and possible enhancement of its known mitogenic effects [8,24].
3.3. Inflammation
Chronic inflammation may establish a tumor-supporting micro-environment favoring the neoplastic process [33], characterized by high levels of oxidative stress and reactive oxygen species, abnormal adipokine production and activation of pro-inflammatory pathways. Increased circulating levels of specific adipose tissue-derived cytokines have been reported to promote tumor cell growth (tumor necrosis factor-a [TNF-a], interleukin [IL]-6), enhance metastasis (TNF-a, IL-6, transforming growth factor [TGF]-b), increase angiogenesis (TNF-a, IL-17, TGF-b) and impair the function of macrophages and NK cells [24,33].
Oxidative stress is another player tightly linked with inflammation and cancer risk in diabetes. Patients with diabetes usually have increased levels of all biomarkers of oxidative stress, which can mediate damage to cell structures, including lipids, membranes, proteins and especially DNA [34]. DNA mutation is a critical step in carcinogenesis, and elevated levels of oxidative DNA lesion markers, such as increased 8-hydroxy-guanosine (8-OH-G), have been noted in various tumors, strongly implicating this type of damage in the etiology of various cancers [35].
4. Obesity: A Common Risk Factor for Cancer and Diabetes
The scientific evidence points out excess weight as a common risk factor for both type 2 diabetes mellitus and cancer [36]. Obesity is a worldwide public health problem due to its high prevalence, the epidemic increase observed in recent decades and the associated diseases [37]. The World Health Organization (WHO) reports that more than 1.9 billion adults were overweight in 2016, of which 650 million were obese, doubling the worldwide prevalence of obesity since 1980 [38]. Recent projections are that global obesity prevalence will reach 18% in men and surpass 21% in women by 2025; severe obesity will exceed 6% in men and 9% in women [39]. Finally, overweight and obesity, as estimated with body mass index, have been associated with decreased functional ability and health status and increased risk of chronic conditions in classical observational studies [40]. Thus, obesity and type 2 diabetes mellitus are frequently associated with metabolic abnormalities that may contribute to cancer progression [8]. For instance, in the Asia-Pacific Cohort Studies Collaboration, the cancer locations with increased mortality risk in participants with obesity compared to those with normal weight were colon-rectum, breast (in women aged 60 years or older), ovary, cervix, prostate and blood (leukemia) [41]. Similar results were observed in a previous meta-analysis that analyzed data from 221 studies [42]. Considering that an estimated 90% of type 2 diabetes mellitus is attributable to excess weight [43], the most common cancer sites described in individuals with obesity are, not surprisingly, the same as in individuals with diabetes [17,18,20,21].
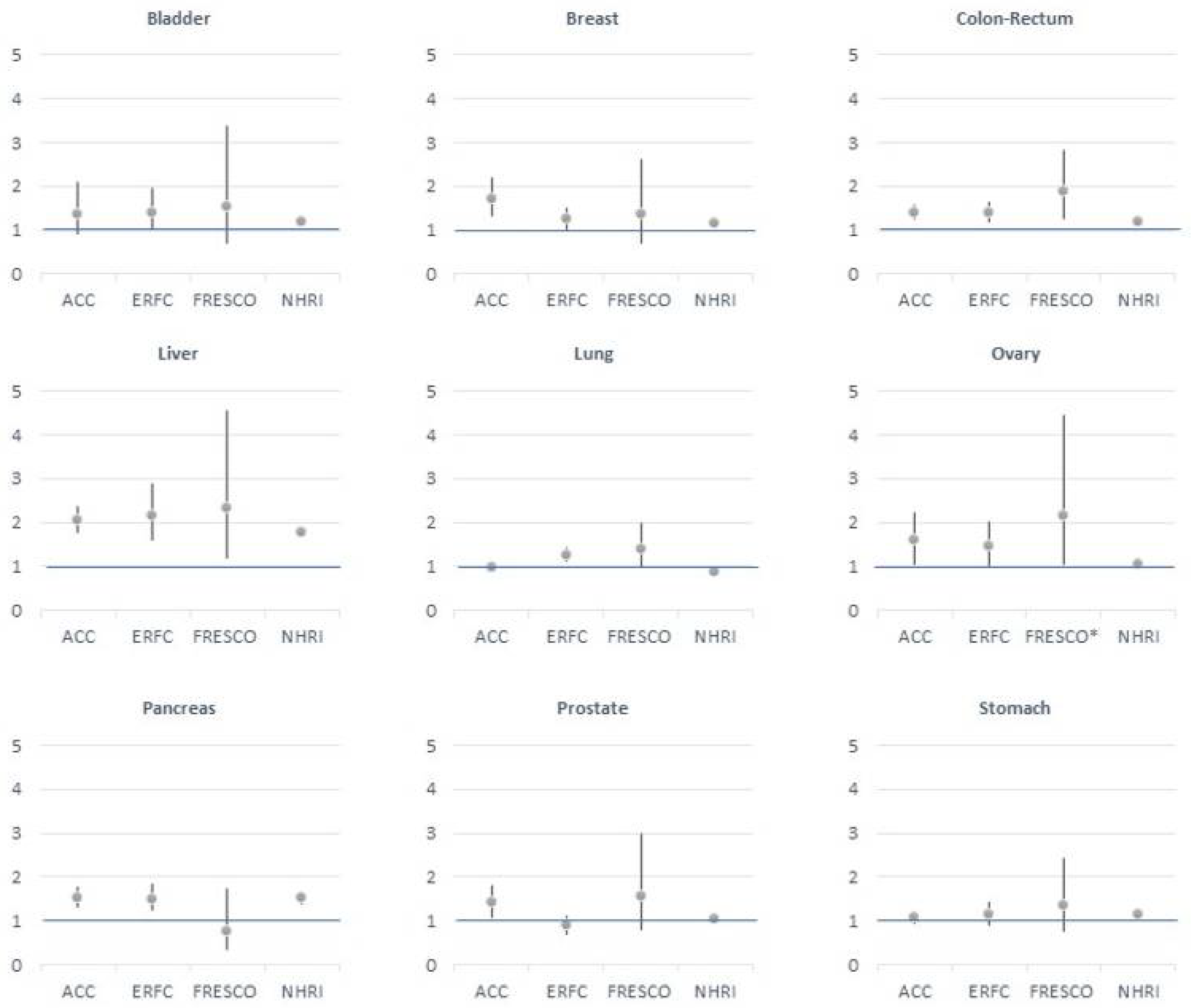
Multiple factors potentially contribute to the progression of cancer in obesity and type 2 diabetes mellitus, including hyperinsulinemia and insulin-like growth factor I, hyperglycemia, dyslipidemia, adipokines and cytokines and the gut microbiome. These metabolic changes may contribute directly or indirectly to cancer progression [8]. Thus, obesity, and specifically abdominal obesity, is associated with increases in adipose tissue inflammation from the production of cytokines and in the circulating concentrations of adipokines (produced by fat). These changes can contribute to insulin resistance in metabolic tissues (fat, liver and skeletal muscle), requiring increased production of insulin from the pancreatic beta cells to maintain normal glucose levels. This in turn leads to circulating hyperinsulinemia, which increases liver-derived insulin-like growth factor I (IGF-I) and alters circulating concentrations of IGF-binding proteins (IGF-BPs). Changes in IGFBPs in response to insulin may also occur in individual tissues, affecting the local concentration of bioavailable IGF-I [8,36,44,45,46]. This reaction could reduce apoptosis and increase cell proliferation in target cells, leading to tumor development [47,48,49]. Insulin itself is also known to have mitogenic properties [50]. Although the results of the FRESCO cohort did not show higher mortality from pancreatic cancer in individuals with diabetes [18], the liver and pancreas are among the tumor locations with the highest risk of cancer death in individuals with diabetes (Figure 2) in the other studies analyzed [17,20,21]. These two organs are likely to be exposed to a high level of endogenously produced insulin [36].
Figure 2.
Hazard ratios for death from cancer in high-risk locations in individuals with type 2 diabetes mellitus. Data extracted from the Asia Cohort Consortium (ACC) [20], Emerging Risk Factors Collaboration (ERFC) [17], Spanish Risk Function of Coronary Events and Others (FRESCO) [18] and National Health Research Institute (NHRI) [21]. * Includes all cancers located in female genital organs.
Insulin resistance is also associated with lipid abnormalities, characterized by elevated very low-density lipoproteins (VLDL) and triglycerides, decreased high-density lipoprotein (HDL) cholesterol and a decline in the hepatic production of sex hormone binding globulin (SHBG), which may lead to an increase in the levels of free hormones (including estrogen and testosterone). Furthermore, excess adiposity may lead to increased local aromatization of androgens to estrogens, which may affect tumor growth [8,36]. This pathway may also explain higher mortality risk from breast and ovarian cancers in women with diabetes compared to those without [17,18,20,21,51]. Indeed, a previous study underlined sex-related differences in the role of above-normal BMI, with obesity being particularly malignant in women. Thus, the hazard ratio of cancer death was 3.98 (95% confidence interval 1.53–10.37) for those with overweight and 11.61 (1.93–69.72) in those with obesity compared to those with normal weight—even higher than for cardiovascular disease (2.34 (1.19–4.61) and 5.65 (1.54–20.73) for overweight and obesity, respectively) [52].
Several epidemiological studies have explored the relationship between the clinical stages of hyperinsulinemia and the risk of cancer before diabetes onset [53,54,55]. Ontilio et al. found a 16% increase in the risk of breast cancer 10 years before the diagnosis of diabetes in the US population [54]. The same author described 28% higher risk of colon cancer in men in the pre-diabetes phase [55], in comparison with those who did not develop diabetes. On the other hand, a study conducted in Canadian population assessed the temporal relationship between diabetes and the risk of cancer in individuals with and without diabetes. This risk was evaluated at three time points: 10 years before diabetes was diagnosed and 3 months and 10 years after diagnosis [56]. Patients with diabetes were more likely (23%) to have cancer during the 10 years before diagnosis and the most common locations were the liver and the pancreas. An increased risk was also observed in the first 3 months after diagnosis, with no increased trend in the following 10 years. Other studies have corroborated these findings [57,58]. The increased risk of cancer after diabetes onset supports the potential role of hyperinsulinemia in this association, particularly in the prediabetes stage. Indeed, many years can elapse in the latent phase of cancer between the existence of diabetes risk factors and the development of overt cancer disease.
Finally, a review studied the relationship between the generation of lactic acid and the subsequent acidification of the surrounding environment. The findings could explain the negative prognosis of cancer in cases of extracellular lactic acidity. In diabetes, acidity affects insulin capacity to join the receptor, increasing the peripheric resistance and exacerbating symptoms. As a result, cancer progression acquires high invasive capacity and metastasis together with an inhibition of immune surveillance. Thus, acidity could be a relevant therapeutic objective [59].
5. Insulin Sensitizers and Cancer
With the introduction of metformin in the mid-1990s and the subsequent advent of thiazolidinediones, the treatment paradigm of type 2 diabetes mellitus changed. These drugs provided an opportunity to address and directly reverse, at least in part, the defects in insulin action seen in individuals with type 2 diabetes mellitus [60]. Biguanide metformin and the thiazolidinediones are effective antihyperglycemic agents with different modes of action. Metformin primarily reduces hepatic glucose, whereas thiazolidinediones primarily increases insulin sensitivity [61]. The effects of such drugs in cancer prevention have been broadly evaluated, together with those of sulfonylureas and statins.
5.1. Metformin
Metformin is the first-line type 2 diabetes mellitus treatment that works by reducing insulin resistance and fasting plasma insulin levels, leading to a reduction in blood glucose concentrations without causing overt hypoglycemia [12]. Several observational studies have shown that metformin may also reduce cancer risk and improve the prognosis and survival of cancer patients [62,63,64]. The plausible mechanisms that explain this association focus largely on inhibiting growth stimuli and metabolic processes within cancer cells and can be divided into insulin-dependent and -independent mechanisms that alter cancer cell growth [65].
The insulin-dependent mechanism is based on metformin’s effect on lowering serum levels of insulin and IGF-1, thus reducing the stimulus for growth. Given the potential importance of the Warburg effect in cancer metabolism, a glucose-rich environment could provide favorable conditions for aerobic glycolysis [30]. Treatment with metformin would therefore reduce hyperglycemia and any associated growth advantage in susceptible tumors [65].
Plausible insulin-independent mechanisms also exist. First, activation of LKB1/AMPK signaling by metformin could inhibit aerobic glycolysis in cells containing functional LKB1/AMPK pathways. In cells lacking functional LKB1/AMPK pathways, metformin could also induce tumor cell death by reducing ATP levels, which makes susceptible cells unable to respond to energy stress [66]. Thus, the anticancer effects of metformin have also been linked to decreasing hepatic gluconeogenesis by activating or phosphorylating AMP kinase (AMPK) in the liver [67,68]. Second, metformin may influence chronic inflammation, which can be an important factor in the initiation and promotion of carcinogenesis. Obese subjects characteristically develop a chronic proinflammatory environment with increased infiltration of immune cytokines such as leptin, adiponectin, interleukin 1 beta (IL-1β), IL-6, plasminogen activator inhibitor-1 (PAI-1) and tumor necrosis factor alpha (TNFα), all of which are associated with cancer proliferation and progression [69]. Thus, AMPK activation appears to inhibit the synthesis of proinflammatory cytokines in a variety of cell types, including macrophages and adipocytes. This suggests that metformin could potentially target proinflammatory cytokines within the tumor microenvironment, inhibiting growth in susceptible cancers [70]. Finally, metformin may have important effects in limiting tumor growth and metastasis by inhibiting endothelial cell migration and angiogenesis via AMPK-dependent reductions in growth factors, including vascular endothelial growth factor and PAI-1 [49,65,71].
A review of the most recent meta-analyses showed divergent results based on cancer locations. On the one hand, metformin treatment in patients with diabetes significantly reduced the risk of colorectal [72,73,74,75], hepatic [76,77], head and neck [78] and lung cancers [79,80]. Interestingly, recent experimental studies have shown that metformin may heighten the effectiveness of molecular-targeted agents for the treatment of non-small-cell lung cancer [81,82,83]. On the other hand, the effect of metformin on the risk of gynecological cancer was controversial. One meta-analysis found that this drug had potential anticarcinogenic effect [84], while Chu et al. did not find significant results in endometrial cancer [85]. Finally, metformin showed no effect on prostate [86,87,88] and bladder cancers [89] (Table 2).
Table 2.
Meta-analyses of the effect of metformin on the risk of cancer in the last 5 years.
New studies have shown the potential role of metformin in pathologies having common physiopathological pathways with cancer. For instance, AMPK pharmacological activation by metformin plays a key role in inhibiting inflammation and improving endothelial dysfunction [90]. Additionally, the anti-aging potential of metformin remains a highly debated topic, as it is unclear whether the ability of the drug to target multiple pathways of aging involves direct effects on multiple aging regulators or reflects downstream consequences of a primary action on a single mechanism [91].
5.2. Thiazolidinediones
Additionally, known as glitazones, thiazolidinediones are the most important intracellular agonists of peroxisome proliferator-activated receptors γ (PPARγ) and are used to reduce hyperglycemia in patients with type 2 diabetes [92]. PPARγ is a nuclear receptor and forms a heterodimer with retinoid X receptor, regulating the expression of genes involved in insulin action, adipocyte differentiation, inflammation and lipid metabolism. The activation of PPARγ due to the effect of thiazolidinediones leads to the differentiation of adipocytes, decreased release of free fatty acids from adipocytes and decreased production of prostaglandins, TNFα, IL-6, leptin and resistin by adipocytes. In addition, adiponectin production and glucose disposal by adipocytes increases, producing a rise in insulin sensitivity [93].
Shafiei-Irannejad et al. reviewed several studies showing that thiazolidinediones can be used alone as adjuvant therapy or in combination with other chemotherapeutics to sensitize tumor cells to the cytotoxic effects of anticancer agents [92]. Nevertheless, the results of the most recent meta-analyses show divergent results, particularly related to cancer locations. Thus, treatment with pioglitazone, one of the drugs from this group, was associated with mild risk of bladder cancer in most studies [94,95,96,97], whereas the risk of colorectal cancer decreased in those treated with thiazolidinediones [98]. No association was found between treatment with thiazolidinedione and the risk of breast cancer [99] (Table 3). Finally, Ciaramella et al., have highlighted the antitumoral effect of thiazolidinediones in individuals with non-small-cell lung cancer. This effect, explained by the inhibition of cancer cells’ growth and invasion through the modulation of bioenergetics and of cancer metabolism in both in vitro and ex vivo models, should be explored in future clinical studies [100].
Table 3.
Meta-analyses of the effect of thiazolidinediones on the risk of cancer in the last 5 years.
6. Association between Cancer Risk and Other Drugs Used in Type 2 Diabetes Mellitus
6.1. Sulfonylureas
There are no conclusive results about the risk of cancer associated with sulfonylureas, a group of drugs that act by increasing insulin release from the beta cells in the pancreas [101]. Although no direct tumorigenic properties have been described, two studies have pointed out high risk of cancer in individuals treated with sulfonylureas compared to those treated with glyburide [102] or insulin [103]. In contrast, other studies found no effect [104] or a protective effect [105]. This uncertainty highlights the search for appropriate comparison groups as the current challenge in evaluating the effectiveness of sulfonylureas.
6.2. Statins
The antitumoral capacity of statins has been highlighted; however, the results are not conclusive [106]. A Japanese cohort study showed that patients with type 2 diabetes mellitus who were treated with statins had lower cancer incidence and mortality in the multivariable analysis, 10.5 and 3.7 per 1000 person-years, respectively, compared to 16.8 and 6.3 person-years, respectively, in the group with no treatment (Hazard ratio for cancer incidence = 0.67; 95% confidence interval 0.49–0.90, p = 0.007 and Hazard ratio for cancer mortality = 0.60; 95% confidence interval 0.36–0.98, p = 0.04) [107].
7. Prevention with Healthy Lifestyles
The social and economic consequences of type 2 diabetes mellitus are felt by all countries in terms of decreasing productivity and increasing poverty [15]. Prevention carries the greatest potential to reduce the burden of type 2 diabetes mellitus and the associated comorbidities [13,18]. The goal at the population level is to lower the mean glycemic level and reduce other cardiometabolic risk factors (e.g., blood pressure, total cholesterol) and shift the distribution of exposure in a favorable direction [108]. Monitoring of cardiometabolic risk factors seems particularly appealing to improve lifestyle (i.e., physical activity, healthy nutrition and smoking cessation) and thus improve not only cardiometabolic health, but also the risk of chronic diseases such as cancer [13,109]. For instance, the burden of potentially modifiable risk factors has been positively correlated with the individual’s perceived need to improve his or her physical health [110].
The increasing adoption of personalized eHealth solutions (i.e., health services and information delivered or enhanced through Internet of Things technologies) encourages individual responsibility for health-related decisions and for appropriate self-care and self-management of health conditions [111]. Some initiatives that applied tailored recommendations have shown important achievements in the control of cardiometabolic risk factors together with the development of healthy lifestyles [112,113]. These results suggest that interventions with tailored dietary recommendations that tap into individual beliefs about health problems and self-management could contribute to a successful lifestyle change and lead to improvements in the individual’s quality of life.
8. Summary
Individuals with type 2 diabetes mellitus are at greater risk of developing cancer and of dying from it. Multiple metabolic abnormalities that can occur in type 2 diabetes mellitus may explain the increased risk. Understanding more about the links between these two diseases, particularly the role of obesity, could help to identify the contributing factors. In addition, this knowledge will help to design personalized preventive strategies. The final goal is to facilitate healthy aging and the prevention of cancer and other diseases related with type 2 diabetes mellitus, which are among the main sources of disability and death in the EU and worldwide.
Author Contributions
Conceptualization, M.G. and J.M.B.-D.; methodology, C.R.-R. and M.G.; investigation, C.R.-R., I.A.-P. and M.G.; writing—original draft preparation, C.R.-R. and M.G.; writing—review and editing, C.R.-R., J.M.B.-D., I.A.-P., C.M. and M.G. All authors have read and agreed to the published version of the manuscript.
Funding
This research received no external funding.
Institutional Review Board Statement
Not applicable.
Informed Consent Statement
Not applicable.
Data Availability Statement
Data sharing not applicable.
Conflicts of Interest
The authors declare no conflict of interest.
References
- Home-Eurostat. Available online: https://ec.europa.eu/eurostat/ (accessed on 16 August 2021).
- Hui, L. Assessment of the role of ageing and non-ageing factors in death from non-communicable diseases based on a cumulative frequency model. Sci. Rep. 2017, 7, 8159. [Google Scholar] [CrossRef]
- Vaupel, J.W. Biodemography of human ageing. Nature 2010, 464, 536–542. [Google Scholar] [CrossRef]
- UN. Report of the Second World Assembly on Ageing. Madrid, 8–12 April 2002. Available online: https://www.bmfsfj.de/blob/122586/3d7ad05f599ea9984107fe40057f50a7/second-world-assambly-on-ageing-data.pdf/ (accessed on 13 April 2021).
- Diaconeasa, Z.; Știrbu, I.; Xiao, J.; Leopold, N.; Ayvaz, Z.; Danciu, C.; Ayvaz, H.; Stǎnilǎ, A.; Nistor, M.; Socaciu, C. Anthocyanins, vibrant color pigments, and their role in skin cancer prevention. Biomedicines 2020, 8, 336. [Google Scholar] [CrossRef] [PubMed]
- Wang, H. MicroRNA, diabetes mellitus and colorectal cancer. Biomedicines 2020, 8, 530. [Google Scholar] [CrossRef] [PubMed]
- Giovannucci, E.L.; Harlan, D.M.; Archer, M.C.; Bergenstal, R.M.; Gapstur, S.M.; Habel, L.A.; Pollak, M.; Regensteiner, J.G.; Yee, D. Diabetes and cancer: A consensus report. Diabetes Care 2010, 33, 1674–1685. [Google Scholar] [CrossRef] [PubMed]
- Gallagher, E.J.; LeRoith, D. Obesity and diabetes: The increased risk of cancer and cancer-related mortality. Physiol. Rev. 2015, 95, 727–748. [Google Scholar] [CrossRef] [PubMed]
- WHO. Fact Sheet on Noncommunicable Diseases. Available online: http://www.who.int/en/news-room/fact-sheets/detail/noncommunicable-diseases (accessed on 13 April 2021).
- Li, Y.; Pan, A.; Wang, D.D.; Liu, X.; Dhana, K.; Franco, O.H.; Kaptoge, S.; Di Angelantonio, E.; Stampfer, M.; Willett, W.C.; et al. Impact of healthy lifestyle factors on life expectancies in the US population. Circulation 2018, 138, 345–355. [Google Scholar] [CrossRef]
- Dahlgren, G.; Whitehead, M. European Strategies for Tackling Social Inequities in Health: Levelling up Part 2. Available online: http://www.euro.who.int/__data/assets/pdf_file/0018/103824/E89384.pdf (accessed on 13 April 2021).
- Grant, P.J.; Cosentino, F. The 2019 ESC guidelines on diabetes, pre-diabetes, and cardiovascular diseases developed in collaboration with the EASD: New features and the ‘ten commandments’ of the 2019 guidelines are discussed by Professor Peter J. Grant and Professor Francesco Cosentino, the task force chairmen. Eur. Heart J. 2019, 40, 3215–3217. [Google Scholar]
- Beaglehole, R.; Bonita, R.; Horton, R.; Adams, C.; Alleyne, G.; Asaria, P.; Baugh, V.; Bekedam, H.; Billo, N.; Casswell, S.; et al. Priority actions for the non-communicable disease crisis. Lancet 2011, 377, 1438–1447. [Google Scholar] [CrossRef]
- Belza, B.; Altpeter, M.; Smith, M.L.; Ory, M.G. The healthy aging research network: Modeling collaboration for community impact. Am. J. Prev. Med. 2017, 52, S228–S232. [Google Scholar] [CrossRef]
- IDF Diabetes Atlas, 9th ed. 2019. Available online: https://www.diabetesatlas.org/en/ (accessed on 9 September 2021).
- Centers for Disease Control and Prevention. National Diabetes Statistics Report, 2020; Centers for Disease Control and Prevention, US Department of Health and Human Services: Atlanta, GA, USA, 2020. Available online: https://www.cdc.gov/diabetes/pdfs/data/statistics/national-diabetes-statistics-report.pdf (accessed on 9 September 2021).
- Seshasai, S.R.; Kaptoge, S.; Thompson, A.; Di Angelantonio, E.; Gao, P.; Sarwar, N.; Whincup, P.H.; Mukamal, K.J.; Gillum, R.F.; Holme, I.; et al. Emerging risk factors collaboration. Diabetes mellitus, fasting glucose, and risk of cause-specific death. N. Engl. J. Med. 2011, 364, 829–841. [Google Scholar]
- Baena-Díez, J.M.; Peñafiel, J.; Subirana, I.; Ramos, R.; Elosua, R.; Marín-Ibañez, A.; Guembe, M.J.; Rigo, F.; Tormo-Díaz, M.J.; Moreno-Iribas, C.; et al. Fresco Investigators. Risk of cause-specific death in individuals with diabetes: A competing risks analysis. Diabetes Care 2016, 39, 1987–1995. [Google Scholar] [CrossRef] [PubMed]
- Wu, H.; Lau, E.S.H.; Ma, R.C.W.; Kong, A.P.S.; Wild, S.H.; Goggins, W.; Chow, E.; So, W.-Y.; Chan, J.; Luk, A.O.Y. Secular trends in all-cause and cause-specific mortality rates in people with diabetes in Hong Kong, 2001–2016: A retrospective cohort study. Diabetologia 2020, 63, 757–766. [Google Scholar] [CrossRef] [PubMed]
- Chen, Y.; Wu, F.; Saito, E.; Lin, Y.; Song, M.; Luu, H.N.; Gupta, P.C.; Sawada, N.; Tamakoshi, A.; Shu, X.-O.; et al. Association between type 2 diabetes and risk of cancer mortality: A pooled analysis of over 771,000 individuals in the Asia cohort consortium. Diabetologia 2017, 60, 1022–1032. [Google Scholar] [CrossRef]
- Lo, S.-F.; Chang, S.-N.; Muo, C.-H.; Chen, S.-Y.; Liao, F.-Y.; Dee, S.-W.; Chen, P.-C.; Sung, F.-C. Modest increase in risk of specific types of cancer types in type 2 diabetes mellitus patients. Int. J. Cancer 2013, 132, 182–188. [Google Scholar] [CrossRef]
- Gregg, E.W.; Cheng, Y.J.; Srinivasan, M.; Lin, J.; Geiss, L.S.; Albright, A.L.; Imperatore, G. Trends in cause-specific mortality among adults with and without diagnosed diabetes in the USA: An epidemiological analysis of linked national survey and vital statistics data. Lancet 2018, 391, 2430–2440. [Google Scholar] [CrossRef]
- Harding, J.L.; Shaw, J.E.; Peeters, A.; Davidson, S.; Magliano, D. Age-specific trends from 2000–2011 in all-cause and cause-specific mortality in type 1 and type 2 diabetes: A cohort study of more than one million people. Diabetes Care 2016, 39, 1018–1026. [Google Scholar] [CrossRef]
- Cignarelli, A.; Genchi, V.A.; Caruso, I.; Natalicchio, A.; Perrini, S.; Laviola, L.; Giorgino, F. Diabetes and cancer: Pathophysiological fundamentals of a ‘dangerous affair’. Diabetes Res. Clin. Pract. 2018, 143, 378–388. [Google Scholar] [CrossRef]
- Calle, E.E.; Kaaks, R. Overweight, obesity and cancer: Epidemiological evidence and proposed mechanisms. Nat. Rev. Cancer 2004, 4, 579–591. [Google Scholar] [CrossRef]
- Ricart, W.; Fernández-Real, J.M. No decrease in free IGF-I with increasing insulin in obesity-related insulin resistance. Obes. Res. 2001, 9, 631–636. [Google Scholar] [CrossRef]
- Masur, K.; Vetter, C.; Hinz, A.; Tomas, N.; Henrich, H.; Niggemann, B.; Zänker, K.S. Diabetogenic glucose and insulin concentrations modulate transcriptom and protein levels involved in tumour cell migration, adhesion and proliferation. Br. J. Cancer 2010, 104, 345–352. [Google Scholar] [CrossRef] [PubMed]
- Rojas, A.; Anazco, C.; González, I.; Araya, P. Extracellular matrix glycation and receptor for advanced glycation end-products activation: A missing piece in the puzzle of the association between diabetes and cancer. Carcinogenesis 2018, 39, 515–521. [Google Scholar] [CrossRef] [PubMed]
- El-Far, A.H.; Sroga, G.; Al Jaouni, S.K.; Mousa, S.A. Role and mechanisms of RAGE-ligand complexes and RAGE-inhibitors in cancer progression. Int. J. Mol. Sci. 2020, 21, 3613. [Google Scholar] [CrossRef] [PubMed]
- Liberti, M.V.; Locasale, J.W. The warburg effect: How does it benefit cancer cells? Trends Biochem. Sci. 2016, 41, 211–218. [Google Scholar] [CrossRef]
- Devic, S. Warburg effect—A consequence or the cause of carcinogenesis? J. Cancer 2016, 7, 817–822. [Google Scholar] [CrossRef]
- Blyth, A.J.; Kirk, N.S.; Forbes, B.E. Understanding IGF-II action through insights into receptor binding and activation. Cells 2020, 9, 2276. [Google Scholar] [CrossRef]
- Candido, J.; Hagemann, T. Cancer-related inflammation. J. Clin. Immunol. 2013, 33, 79–84. [Google Scholar] [CrossRef]
- Bala, C.; Rusu, A.; Ciobanu, D.; Bucsa, C.; Roman, G. Amino acid signature of oxidative stress in patients with type 2 diabetes: Targeted exploratory metabolomic research. Antioxidants 2021, 10, 610. [Google Scholar] [CrossRef]
- Valko, M.; Leibfritz, D.; Moncol, J.; Cronin, M.T.D.; Mazur, M.; Telser, J. Free radicals and antioxidants in normal physiological functions and human disease. Int. J. Biochem. Cell Biol. 2007, 39, 44–84. [Google Scholar] [CrossRef]
- Garg, S.K.; Maurer, H.; Reed, K.; Selagamsetty, R. Diabetes and cancer: Two diseases with obesity as a common risk factor. Diabetes Obes. Metab. 2014, 16, 97–110. [Google Scholar] [CrossRef]
- GBD 2015 Obesity Collaborators. Health effects of overweight and obesity in 195 countries over 25 years. N. Engl. J. Med. 2017, 377, 13–27. [Google Scholar] [CrossRef] [PubMed]
- WHO. Obesity and Overweight. Available online: https://www.who.int/news-room/fact-sheets/detail/obesity-and-overweight (accessed on 11 August 2021).
- NCD Risk Factor Collaboration (NCD-RisC). Trends in adult body-mass index in 200 countries from 1975 to 2014: A pooled analysis of 1698 population-based measurement studies with 19·2 million participants. Lancet 2016, 387, 1377–1396. [Google Scholar] [CrossRef]
- Flegal, K.M.; Kit, B.K.; Orpana, H.; Graubard, B.I. Association of all-cause mortality with overweight and obesity using standard body mass index categories: A systematic review and meta-analysis. JAMA 2013, 309, 71–82. [Google Scholar] [CrossRef] [PubMed]
- Parr, C.L.; Batty, G.; Lam, T.H.; Barzi, F.; Fang, X.; Ho, S.C.; Jee, S.H.; Ansari-Moghaddam, A.; Jamrozik, K.; Ueshima, H.; et al. Body-mass index and cancer mortality in the Asia-Pacific cohort studies collaboration: Pooled analyses of 424,519 participants. Lancet Oncol. 2010, 11, 741–752. [Google Scholar] [CrossRef]
- Renehan, A.G.; Tyson, M.; Egger, M.; Heller, R.F.; Zwahlen, M. Body-mass index and incidence of cancer: A systematic review and meta-analysis of prospective observational studies. Lancet 2008, 371, 569–578. [Google Scholar] [CrossRef]
- Verma, S.; Hussain, M.E. Obesity and diabetes: An update. Diabetes Metab. Syndr. Clin. Res. Rev. 2017, 11, 73–79. [Google Scholar] [CrossRef]
- Atchison, E.; Gridley, G.; Carreon, J.D.; Leitzmann, M.F.; McGlynn, K.A. Risk of cancer in a large cohort of U.S. veterans with diabetes. Int. J. Cancer 2010, 128, 635–643. [Google Scholar] [CrossRef]
- Wang, C.; Wang, X.; Gong, G.; Ben, Q.; Qiu, W.; Chen, Y.; Li, G.; Wang, L. Increased risk of hepatocellular carcinoma in patients with diabetes mellitus: A systematic review and meta-analysis of cohort studies. Int. J. Cancer 2012, 130, 1639–1648. [Google Scholar] [CrossRef]
- Jiang, Y.; Ben, Q.; Shen, H.; Lu, W.; Zhang, Y.; Zhu, J. Diabetes mellitus and incidence and mortality of colorectal cancer: A systematic review and meta-analysis of cohort studies. Eur. J. Epidemiol. 2011, 26, 863–876. [Google Scholar] [CrossRef]
- Johnson, J.A.; Carstensen, B.; Witte, D.; Bowker, S.L.; Lipscombe, L.; Renehan, A.G. Diabetes and cancer (1): Evaluating the temporal relationship between type 2 diabetes and cancer incidence. Diabetologia 2012, 55, 1607–1618. [Google Scholar] [CrossRef]
- Perks, C.M.; Vernon, E.; Rosendahl, A.H.; Tonge, D.; Holly, J.M.P. IGF-II and IGFBP-2 differentially regulate PTEN in human breast cancer cells. Oncogene 2007, 26, 5966–5972. [Google Scholar] [CrossRef]
- Zhang, K.; Bai, P.; Dai, H.; Deng, Z. Metformin and risk of cancer among patients with type 2 diabetes mellitus: A systematic review and meta-analysis. Prim. Care Diabetes 2021, 15, 52–58. [Google Scholar] [CrossRef] [PubMed]
- Pollak, M. Insulin and insulin-like growth factor signalling in neoplasia. Nat. Rev. Cancer 2008, 8, 915–928. [Google Scholar] [CrossRef]
- Lega, I.C.; Austin, P.C.; Fischer, H.D.; Fung, K.; Krzyzanowska, M.K.; Amir, E.; Lipscombe, L.L. The impact of diabetes on breast cancer treatments and outcomes: A population-based study. Diabetes Care 2018, 41, 755–761. [Google Scholar] [CrossRef] [PubMed]
- Barroso, M.; Goday, A.; Ramos, R.; Marín-Ibañez, A.; Guembe, M.J.; Rigo, F.; Tormo-Díaz, M.J.; Moreno-Iribas, C.; Cabré, J.J.; Segura, A.; et al. Fresco Investigators interaction between cardiovascular risk factors and body mass index and 10-year incidence of cardiovascular disease, cancer death, and overall mortality. Prev Med. 2018, 107, 81–89. [Google Scholar] [CrossRef] [PubMed]
- Færch, K.; Witte, D.; Tabak, A.; Perreault, L.; Herder, C.; Brunner, E.J.; Kivimäki, M.; Vistisen, D. Trajectories of cardiometabolic risk factors before diagnosis of three subtypes of type 2 diabetes: A post-hoc analysis of the longitudinal Whitehall II cohort study. Lancet Diabetes Endocrinol. 2013, 1, 43–51. [Google Scholar] [CrossRef]
- Onitilo, A.A.; Stankowski, R.V.; Berg, R.L.; Engel, J.M.; Glurich, I.; Williams, G.M.; Doi, S.A. Breast cancer incidence before and after diagnosis of type 2 diabetes mellitus in women: Increased risk in the prediabetes phase. Eur. J. Cancer Prev. 2014, 23, 76–83. [Google Scholar] [CrossRef]
- Onitilo, A.A.; Berg, R.L.; Engel, J.M.; Glurich, I.; Stankowski, R.V.; Williams, G.; Doi, S.A. Increased risk of colon cancer in men in the pre-diabetes phase. PLoS ONE 2013, 8, e70426. [Google Scholar] [CrossRef]
- Lega, I.C.; Wilton, A.S.; Austin, P.C.; Fischer, H.D.; Johnson, J.A.; Lipscombe, L.L. The temporal relationship between diabetes and cancer: A population-based study. Cancer 2016, 122, 2731–2738. [Google Scholar] [CrossRef]
- Johnson, J.A.; Bowker, S.L.; Richardson, K.; Marra, C.A. Time-varying incidence of cancer after the onset of type 2 diabetes: Evidence of potential detection bias. Diabetologia 2011, 54, 2263–2271. [Google Scholar] [CrossRef]
- Carstensen, B.; Witte, D.; Friis, S. Cancer occurrence in Danish diabetic patients: Duration and insulin effects. Diabetologia 2012, 55, 948–958. [Google Scholar] [CrossRef] [PubMed]
- Gillies, R.J.; Pilot, C.; Marunaka, Y.; Fais, S. Targeting acidity in cancer and diabetes. Biochim. Biophys. Acta Bioenerg. 2019, 1871, 273–280. [Google Scholar] [CrossRef] [PubMed]
- Wellington, K. Rosiglitazone/metformin. Drugs 2005, 65, 1581–1594. [Google Scholar] [CrossRef] [PubMed]
- Zangeneh, F.; Kudva, Y.C.; Basu, A. Insulin sensitizers. Mayo Clin. Proc. 2003, 78, 471–479. [Google Scholar] [CrossRef]
- Lee, J.-W.; Choi, E.-A.; Kim, Y.-S.; Kim, Y.; You, H.-S.; Han, Y.-E.; Kim, H.-S.; Bae, Y.-J.; Kim, J.; Kang, H.-T. Metformin usage and the risk of colorectal cancer: A national cohort study. Int. J. Color. Dis. 2021, 36, 303–310. [Google Scholar] [CrossRef]
- Landman, G.W.D.; Kleefstra, N.; Van Hateren, K.J.J.; Groenier, K.H.; Gans, R.O.B.; Bilo, H.J.G. Metformin associated with lower cancer mortality in type 2 diabetes: Zodiac-16. Diabetes Care 2009, 33, 322–326. [Google Scholar] [CrossRef]
- Kim, Y.-S.; Choi, E.-A.; Lee, J.-W.; Kim, Y.; You, H.-S.; Han, Y.-E.; Kim, H.-S.; Bae, Y.-J.; Kang, H.-T.; Kim, J. Metformin use reduced the overall risk of cancer in diabetic patients: A study based on the Korean NHIS-HEALS cohort. Nutr. Metab. Cardiovasc. Dis. 2020, 30, 1714–1722. [Google Scholar] [CrossRef]
- Morales, D.R.; Morris, A.D. Metformin in cancer treatment and prevention. Annu. Rev. Med. 2015, 66, 17–29. [Google Scholar] [CrossRef]
- Shackelford, D.B.; Abt, E.; Gerken, L.; Vasquez, D.S.; Seki, A.; Leblanc, M.; Wei, L.; Fishbein, M.C.; Czernin, J.; Mischel, P.S.; et al. LKB1 inactivation dictates therapeutic response of non-small cell lung cancer to the metabolism drug phenformin. Cancer Cell 2013, 23, 143–158. [Google Scholar] [CrossRef]
- Zhou, G.; Myers, R.; Li, Y.; Chen, Y.; Shen, X.; Fenyk-Melody, J.; Wu, M.; Ventre, J.; Doebber, T.; Fujii, N.; et al. Role of AMP-activated protein kinase in mechanism of metformin action. J. Clin. Investig. 2001, 108, 1167–1174. [Google Scholar] [CrossRef]
- Liu, X.; Chhipa, R.R.; Pooya, S.; Wortman, M.; Yachyshin, S.; Chow, L.M.L.; Kumar, A.; Zhou, X.; Sun, Y.; Quinn, B.; et al. Discrete mechanisms of mTOR and cell cycle regulation by AMPK agonists independent of AMPK. Proc. Natl. Acad. Sci. USA 2014, 111, E435–E444. [Google Scholar] [CrossRef]
- Bijland, S.; Mancini, S.J.; Salt, I.P. Role of AMP-activated protein kinase in adipose tissue metabolism and inflammation. Clin. Sci. 2013, 124, 491–507. [Google Scholar] [CrossRef]
- Hirsch, H.A.; Iliopoulos, D.; Struhl, K. Metformin inhibits the inflammatory response associated with cellular transformation and cancer stem cell growth. Proc. Natl. Acad. Sci. USA 2013, 110, 972–977. [Google Scholar] [CrossRef]
- Ersoy, C.; Kiyici, S.; Budak, F.; Oral, B.; Guclu, M.; Duran, C.; Selimoglu, H.; Erturk, E.; Tuncel, E.; Imamoglu, S. The effect of metformin treatment on VEGF and PAI-1 levels in obese type 2 diabetic patients. Diabetes Res. Clin. Pract. 2008, 81, 56–60. [Google Scholar] [CrossRef] [PubMed]
- Yang, W.-T.; Yang, H.-J.; Zhou, J.-G.; Liu, J.-L. Relationship between metformin therapy and risk of colorectal cancer in patients with diabetes mellitus: A meta-analysis. Int. J. Color. Dis. 2020, 35, 2117–2131. [Google Scholar] [CrossRef] [PubMed]
- Jung, Y.S.; Park, C.H.; Eun, C.S.; Park, D.I.; Han, D.S. Metformin use and the risk of colorectal adenoma: A systematic review and meta-analysis. J. Gastroenterol. Hepatol. 2017, 32, 957–965. [Google Scholar] [CrossRef]
- Liu, F.; Yan, L.; Wang, Z.; Lu, Y.; Chu, Y.; Li, X.; Liu, Y.; Rui, D.; Nie, S.; Xiang, H. Metformin therapy and risk of colorectal adenomas and colorectal cancer in type 2 diabetes mellitus patients: A systematic review and meta-analysis. Oncotarget 2017, 8, 16017–16026. [Google Scholar] [CrossRef]
- Hou, Y.-C.; Hu, Q.; Huang, J.; Fang, J.-Y.; Xiong, H. Metformin therapy and the risk of colorectal adenoma in patients with type 2 diabetes: A meta-analysis. Oncotarget 2016, 8, 8843–8853. [Google Scholar] [CrossRef] [PubMed]
- Ma, S.; Zheng, Y.; Xiao, Y.; Zhou, P.; Tan, H. Meta-analysis of studies using metformin as a reducer for liver cancer risk in diabetic patients. Medicine 2017, 96, e6888. [Google Scholar] [CrossRef]
- Zhou, Y.-Y.; Zhu, G.-Q.; Liu, T.; Zheng, J.-N.; Cheng, Z.; Zou, T.-T.; Braddock, M.; Fu, S.-W.; Zheng, M.-H. Systematic review with network meta-analysis: Antidiabetic medication and risk of hepatocellular carcinoma. Sci. Rep. 2016, 6, 33743. [Google Scholar] [CrossRef]
- Saka Herrán, C.; Jané-Salas, E.; Estrugo Devesa, A.; López-López, J. Protective effects of metformin, statins and anti-inflammatory drugs on head and neck cancer: A systematic review. Oral Oncol. 2018, 85, 68–81. [Google Scholar] [CrossRef]
- Xiao, K.; Liu, F.; Liu, J.; Xu, J.; Wu, Q.; Li, X. The effect of metformin on lung cancer risk and survival in patients with type 2 diabetes mellitus: A meta-analysis. J. Clin. Pharm. Ther. 2020, 45, 783–792. [Google Scholar] [CrossRef]
- Yao, L.; Liu, M.; Huang, Y.; Wu, K.; Huang, X.; Zhao, Y.; He, W.; Zhang, R. Metformin use and lung cancer risk in diabetic patients: A systematic review and meta-analysis. Dis. Markers 2019, 2019, 6230162. [Google Scholar] [CrossRef]
- Della Corte, C.M.; Ciaramella, V.; Di Mauro, C.; Castellone, M.; Papaccio, F.; Fasano, M.; Sasso, F.C.; Martinelli, E.; Troiani, T.; De Vita, F.; et al. Metformin increases antitumor activity of MEK inhibitors through GLI1 downregulation in LKB1 positive human NSCLC cancer cells. Oncotarget 2016, 7, 4265–4278. [Google Scholar] [CrossRef]
- Morgillo, F.; Sasso, F.C.; Della Corte, C.M.; Festino, L.; Manzo, A.; Martinelli, E.; Troiani, T.; Capuano, A.; Ciardiello, F. Metformin in lung cancer: Rationale for a combination therapy. Expert Opin. Investig. Drugs 2013, 22, 1401–1409. [Google Scholar] [CrossRef]
- Morgillo, F.; Fasano, M.; Della Corte, C.M.; Sasso, F.C.; Papaccio, F.; Viscardi, G.; Esposito, G.; DI Liello, R.; Normanno, N.; Capuano, A.; et al. Results of the safety run-in part of the METAL (METformin in Advanced Lung cancer) study: A multicentre, open-label phase I–II study of metformin with erlotinib in second-line therapy of patients with stage IV non-small-cell lung cancer. ESMO Open 2017, 2, e000132. [Google Scholar] [CrossRef]
- Wen, Q.; Zhao, Z.; Wen, J.; Zhou, J.; Wu, J.; Lei, S.; Miao, Y. The association between metformin therapy and risk of gynecological cancer in patients: Two meta-analyses. Eur. J. Obstet. Gynecol. Reprod. Biol. 2019, 237, 33–41. [Google Scholar] [CrossRef] [PubMed]
- Chu, D.; Wu, J.; Wang, K.; Zhao, M.; Wang, C.; Li, L.; Guo, R. Effect of metformin use on the risk and prognosis of endometrial cancer: A systematic review and meta-analysis. BMC Cancer 2018, 18, 438. [Google Scholar] [CrossRef] [PubMed]
- Wang, Y.; Liu, X.; Yan, P.; Tang, J.; Chen, T.; Sun, Y.; Zhou, W.; Bi, Y.; Zhang, Z.-J. Effect of metformin on the risk of prostate cancer in patients with type 2 diabetes by considering different confounding factors: A meta-analysis of observational studies. Eur. J. Cancer Prev. 2020, 29, 42–52. [Google Scholar] [CrossRef] [PubMed]
- Feng, Z.; Zhou, X.; Liu, N.; Wang, J.; Chen, X.; Xu, X. Metformin use and prostate cancer risk: A meta-analysis of cohort studies. Medicine 2019, 98, e14955. [Google Scholar] [CrossRef]
- Chen, C.B.; Eskin, M.; Eurich, D.T.; Majumdar, S.R.; Johnson, J.A. Metformin, Asian ethnicity and risk of prostate cancer in type 2 diabetes: A systematic review and meta-analysis. BMC Cancer 2018, 18, 65. [Google Scholar] [CrossRef]
- Hu, J.; Chen, J.B.; Cui, Y.; Zhu, Y.W.; Ren, W.B.; Zhou, X.; Liu, L.F.; Chen, H.Q.; Zu, X.B. Association of metformin intake with bladder cancer risk and oncologic outcomes in type 2 diabetes mellitus patients: A systematic review and meta-analysis. Medicine 2018, 97, e11596. [Google Scholar] [CrossRef]
- Salvatore, T.; Pafundi, P.C.; Galiero, R.; Rinaldi, L.; Caturano, A.; Vetrano, E.; Aprea, C.; Albanese, G.; Di Martino, A.; Ricozzi, C.; et al. Can metformin exert as an active drug on endothelial dysfunction in diabetic subjects? Biomedicines 2020, 9, 3. [Google Scholar] [CrossRef]
- Salvatore, T.; Pafundi, P.C.; Morgillo, F.; Di Liello, R.; Galiero, R.; Nevola, R.; Marfella, R.; Monaco, L.; Rinaldi, L.; Adinolfi, L.E.; et al. Metformin: An old drug against old age and associated morbidities. Diabetes Res. Clin. Pract. 2020, 160, 108025. [Google Scholar] [CrossRef]
- Shafiei-Irannejad, V.; Samadi, N.; Salehi, R.; Yousefi, B.; Zarghami, N. New insights into antidiabetic drugs: Possible applications in cancer treatment. Chem. Biol. Drug Des. 2017, 90, 1056–1066. [Google Scholar] [CrossRef]
- Rangwala, S.M.; Lazar, M.A. Peroxisome proliferator-activated receptor $gamma; in diabetes and metabolism. Trends Pharmacol. Sci. 2004, 25, 331–336. [Google Scholar] [CrossRef] [PubMed]
- Tang, H.; Shi, W.; Fu, S.; Wang, T.; Zhai, S.; Song, Y.; Han, J. Pioglitazone and bladder cancer risk: A systematic review and meta-analysis. Cancer Med. 2018, 7, 1070–1080. [Google Scholar] [CrossRef] [PubMed]
- Yan, H.; Xie, H.; Ying, Y.; Li, J.; Wang, X.; Xu, X.; Zheng, X. Pioglitazone use in patients with diabetes and risk of bladder cancer: A systematic review and meta-analysis. Cancer Manag. Res. 2018, 10, 1627–1638. [Google Scholar] [CrossRef] [PubMed]
- Davidson, M.B.; Pan, D. An updated meta-analysis of pioglitazone exposure and bladder cancer and comparison to the drug’s effect on cardiovascular disease and non-alcoholic steatohepatitis. Diabetes Res. Clin. Pract. 2018, 135, 102–110. [Google Scholar] [CrossRef]
- Li, Z.; Shi, J.; Sun, M.; Wang, F.; Wang, K. Association between pioglitazone use and the risk of bladder cancer among subjects with diabetes mellitus: A dose-response meta-analysis. Int. J. Clin. Pharmacol. Ther. 2017, 55, 210–219. [Google Scholar] [CrossRef]
- Hu, T.-T.; Liu, Y.; Jin, P.; Sun, X.-C. Thiazolidinediones and risk of colorectal cancer in patients with diabetes mellitus: A meta-analysis. Saudi J. Gastroenterol. 2018, 24, 75–81. [Google Scholar] [CrossRef] [PubMed]
- Du, R.; Lin, L.; Cheng, D.; Xu, Y.; Xu, M.; Chen, Y.; Wang, W.; Bi, Y.; Li, N.; Lu, J. Thiazolidinedione therapy and breast cancer risk in diabetic women: A systematic review and meta-analysis. Diabetes Metab. Res. Rev. 2017, 34, e2961. [Google Scholar] [CrossRef] [PubMed]
- Ciaramella, V.; Sasso, F.C.; Di Liello, R.; Della Corte, C.M.; Barra, G.; Viscardi, G.; Esposito, G.; Sparano, F.; Troiani, T.; Martinelli, E.; et al. Activity and molecular targets of pioglitazone via blockade of proliferation, invasiveness and bioenergetics in human NSCLC. J. Exp. Clin. Cancer Res. 2019, 38, 178. [Google Scholar] [CrossRef] [PubMed]
- Seino, S. Cell signalling in insulin secretion: The molecular targets of ATP, cAMP and sulfonylurea. Diabetologia 2012, 55, 2096–2108. [Google Scholar] [CrossRef] [PubMed]
- Tuccori, M.; Wu, J.W.; Yin, H.; Majdan, A.; Azoulay, L. The use of glyburide compared with other sulfonylureas and the risk of cancer in patients with type 2 diabetes. Diabetes Care 2015, 38, 2083–2089. [Google Scholar] [CrossRef]
- Bowker, S.L.; Majumdar, S.R.; Veugelers, P.; Johnson, J.A. Increased cancer-related mortality for patients with type 2 diabetes who use sulfonylureas or insulin. Diabetes Care 2006, 29, 254–258. [Google Scholar] [CrossRef]
- Kowall, B.; Rathmann, W.; Kostev, K. Are sulfonylurea and insulin therapies associated with a larger risk of cancer than metformin therapy? A retrospective database analysis. Diabetes Care 2014, 38, 59–65. [Google Scholar] [CrossRef]
- Ye, J.-H.; Qian, M.-H.; Shi, L.-Z.; Ye, L. Association between metformin and sulfonylurea monotherapies and cancer incidence: A real-world cohort study in Shanghai, China. Diabetes Ther. 2019, 10, 245–258. [Google Scholar] [CrossRef]
- He, Y.; Li, X.; Gasevic, D.; Brunt, E.; McLachlan, F.; Millenson, M.; Timofeeva, M.; Ioannidis, J.; Campbell, H.; Theodoratou, E. Statins and multiple noncardiovascular outcomes: Umbrella review of meta-analyses of observational studies and randomized controlled trials. Ann. Intern. Med. 2018, 169, 543–553. [Google Scholar] [CrossRef]
- Okada, S.; Morimoto, T.; Ogawa, H.; Soejima, H.; Matsumoto, C.; Sakuma, M.; Nakayama, M.; Doi, N.; Jinnouchi, H.; Waki, M.; et al. Association between statins and cancer incidence in diabetes: A cohort study of Japanese patients with type 2 diabetes. J. Gen. Intern. Med. 2020, 36, 632–639. [Google Scholar] [CrossRef]
- Rose, G. Sick individuals and sick populations. Int. J. Epidemiol. 1985, 14, 32–38. [Google Scholar] [CrossRef] [PubMed]
- Katzke, V.A.; Kaaks, R.; Kühn, T. Lifestyle and cancer risk. Cancer J. 2015, 21, 104–110. [Google Scholar] [CrossRef] [PubMed]
- Ramirez, F.D.; Chen, Y.; Di Santo, P.; Simard, T.; Motazedian, P.; Hibbert, B. Association between self-reported potentially modifiable cardiac risk factors and perceived need to improve physical health: A population-based study. J. Am. Heart Assoc. 2017, 6, 005491. [Google Scholar] [CrossRef] [PubMed]
- Frederix, I.; Caiani, E.G.; Dendale, P.; Anker, S.; Bax, J.; Böhm, A.; Cowie, M.; Crawford, J.; de Groot, N.; Dilaveris, P.; et al. ESC e-cardiology working group position paper: Overcoming challenges in digital health implementation in cardiovascular medicine. Eur. J. Prev. Cardiol. 2019, 26, 1166–1177. [Google Scholar] [CrossRef] [PubMed]
- Barroso, M.; Zomeño, M.D.; Díaz, J.L.; Pérez-Fernández, S.; Martí-Lluch, R.; Cordón, F.; Ramos, R.; Cabezas, C.; Salvador, G.; Castell, C.; et al. Control of cardiovascular risk factors with tailored recommendations: A randomized controlled trial. Prev. Med. 2020, 141, 106302. [Google Scholar] [CrossRef]
- Barroso, M.; Zomeño, M.D.; Díaz, J.L.; Pérez, S.; Martí-Lluch, R.; Cordón, F.; Ramos, R.; Cabezas, C.; Salvador, G.; Castell, C.; et al. Efficacy of tailored recommendations to promote healthy lifestyles: A post hoc analysis of a randomized controlled trial. Transl. Behav. Med. 2021, 11, 1548–1557. [Google Scholar] [CrossRef]
Publisher’s Note: MDPI stays neutral with regard to jurisdictional claims in published maps and institutional affiliations. |
© 2021 by the authors. Licensee MDPI, Basel, Switzerland. This article is an open access article distributed under the terms and conditions of the Creative Commons Attribution (CC BY) license (https://creativecommons.org/licenses/by/4.0/).

