Abstract
This paper presents an optimal tuning of a proportional integral differential (PID) controller used to maintain glucose concentration at a desired set point. The PID controller synthesizes an appropriate feed rate profile for an E. coli fed-batch cultivation process. Mathematical models are developed based on dynamic mass balance equations for biomass, substrate, and product concentration of the E. coli BL21(DE3)pPhyt109 fed-batch cultivation for bacterial phytase extracellular production. For model parameter identification and PID tuning, a hybrid metaheuristic technique—chaotic electromagnetic field optimization (CEFO)—is proposed. In the hybridization, a chaotic map is used for the generation of a new electromagnetic particle instead of the electromagnetic field optimization (EFO) search strategy. The CEFO combines the exploitation capability of the EFO algorithm and the exploration power of ten different chaotic maps. The comparison of the results with classical EFO shows the superior behaviour of the designed CEFO. An improvement of 30% of the objective function is achieved by applying CEFO. Based on the obtained mathematical models, 10 PID controllers are tuned. The simulation experiments show that the designed controllers are robust, resulting in a good control system performance. The closed-loop transient responses for the corresponding controllers are similar to the estimated models. The settling time of the control system based on the third PID controller for all estimated models is approximately 9 min and the overshoot is approximately 15%. The proposed CEFO algorithm can be considered an effective methodology for mathematical modelling and achievement of high quality and better performance of the designed closed-loop system for cultivation processes.
1. Introduction
Nowadays, fed-batch (FB) cultivation processes are considered a benchmark for bioprocesses []. Applying the fed-batch mode, a variety of important products have been produced: antibiotics, vitamins, enzymes, amino acids, etc. []. Optimal microbial culture conditions are ensured through the application of an FB mode. During the cultivation process, additional substrate is added to the bioreactor to ensure a high cell density growth and to maintain sufficient mixing and optimal oxygenation and temperature. The FB mode can overcome some of the disadvantages of batch and continuous modes and thus become the most commonly used mode in the industry.
The bacteria E. coli is a well-studied and widespread representative of bacteria and is a model organism with a significant impact on biotechnology [,,]. Historically, the first “golden molecule” produced by E. coli was human insulin. The FB cultivations of E. coli are widely used for antibiotics production and biomolecule synthesis [,].
However, an optimal FB mode needs to define an efficient substrate feed rate during the process. The calculation of such feed rates can be a challenging task.
Even though many innovative control techniques have been developed, the traditional PID controller remains the most used one in the control of cultivation processes because of its simple setup, easy implementation, and vigorous PID tuning procedure [,]. A practical and generic PID optimization strategy was proposed and successfully implemented for fed-batch cultivation of E. coli BL21(DE3) maintaining relevant growth conditions []. An internal model control-based PID (IMC-PID) was employed, and a superior performance with minimum absolute error when compared to other methods was shown []. An IMC-PID controller with a better performance was designed for temperature control of ethanol production []. A PID controller for pH and DO control were presented in [] and in [], where desired setpoints were successfully maintained via the feedback control. In [], the dissolved oxygen concentration was maintained at 30% of saturation by a PID controller and a decision tree algorithm. Some feedback control loops have been applied for buffer preparation and have shown significant potential [,]. Traditionally, feedback controllers have an important controller-tuning feature []. They can have issues dealing with the parameter optimal tuning when a nonlinear system is considered. In such case, conventional tunning algorithms that require linear models cannot be used. Then, optimization procedures for controller parameter tuning are applied.
Optimal PID controller design requires determining the parameters to satisfy the defined objective function. Metaheuristics are among the most often applied algorithms for the optimal tuning of PID controllers [,,,,,]. In a review on metaheuristic algorithms for PID controller parameters tuning [], the authors defined some of the existing open research problems, including (i) the need for improvements in the fundamental deficiency of some metaheuristic algorithms; (ii) the development of hybrid metaheuristics to overcome individual weaknesses of the pure algorithm; (iii) the requirement of a neutral trade-off between algorithm exploitation and exploration; etc.
A possible approach that can contribute to the solution of the problems mentioned above is the use of chaotic maps. Chaotic maps are commonly used in problems for generating pseudo-random number signals []. Chaos randomness is different from statistical randomness. This property is especially significant in the context of the inherent ability to look for space for improving optimization. There are different types of chaotic maps, such as sinusoidal [], Chebyshev [], Singer [], tent [], sine [], circle [], piecewise [], Gauss [], logistic [], intermittency [,], iterative [], etc.
Recently, the incorporation of chaotic maps in metaheuristic algorithms for better performance in PID controller design has been widely exploited. To regulate angular tracking and vibration of the PID controller, a chaotic safe dynamics algorithm is proposed in []. The results show that the use of the chaotic function increased the exploration capability and improved the convergence accuracy. In [], a novel hybridized firefly-chaos algorithm is presented for designing multi-loop PID controllers. The proposed technology outperforms the conventional algorithm approaches in terms of accuracy, steady state error, overshoot, rising and settling time. Authors in [] propose the use of chaotic logistic maps for improving the yellow saddle goatfish algorithm. Again, it is proven that chaotic maps significantly accelerate the algorithm’s convergence. A hybrid approach called the chaotic flower pollination algorithm is applied for PID tuning in []. The discussed approach outperforms the firefly algorithm and whale optimization algorithm existing in the literature. Recently, to increase convergence and achieve global minima, chaotic maps have been applied in the particle swarm optimization [], marine predator’s algorithm [], weed optimization algorithm [], moth flame algorithm [], gravitational search algorithm [], Aquila optimizer [], sine cosine algorithm [], sparrow search algorithm [], etc.
Motivated by existing successful hybridizations of chaotic maps with recent and well-established metaheuristic algorithms, this work aims to propose a novel chaotic electromagnetic field optimization (CEFO) algorithm for mathematical modelling and PID controller design applied to an E. coli BL21(DE3)pPhyt109 FB cultivation for bacterial phytase extracellular production. No such results have been published in the available literature. The proposed algorithm is used for model parameter identification, based on real cultivation process data. The results obtained show the superiority of the suggested CEFO algorithm when compared to the results from the classical electromagnetic field optimization (EFO) algorithm []. Further, based on the identified/developed models, the CEFO algorithm is used for PID tuning for the development of a control system to optimize the process, i.e., increasing the amount of target product obtained.
The general contributions of the present research are as follows:
- (1)
- A hybrid-technique CEFO, which combines the exploitation capability of the EFO algorithm and the exploration power of ten different chaotic maps, is proposed for the first time for the modelling and control of FB cultivation processes.
- (2)
- For the first time, the CEFO is successfully applied to identify parameters of the mathematical model of the E. coli BL21(DE3)pPhyt109 FB cultivation process.
- (3)
- Mathematical models of the E. coli cultivation process that are obtained by the CEFO algorithm have a higher degree of accuracy and could be utilized for optimization and control to increase the productivity of the process.
- (4)
- The CEFO algorithm is applied to PID controller parameter tuning, resulting in an excellent performance of the control system. The substrate concentration reaches the desired value very quickly and is maintained throughout the process. An increase in the concentration of biomass and phytase is achieved. An efficient feed rate is designed.
- (5)
- The performance of the classical EFO algorithm is compared to the proposed CEFO algorithms. Simulation results show better CEFO performance, both in model parameter identification and PID control parameter tuning. The achieved improvement of the objective function value is at least 30%.
Further, Section 2 presents the proposed CEFO hybrid technique. Section 3 describes the investigated E. coli cultivation process and the mathematical model structure. The PID controller design is presented in Section 4. In Section 5, the obtained numerical and simulation results are shown and discussed. Concluding remarks are made in Section 6.
2. Theoretical Background of Chaotic Electromagnetic Field Algorithm
2.1. Chaotic Maps
Nonlinear chaotic maps play a significant role in various fields, including biology, engineering, economics, etc., because of their ergodicity, mixing property, and sensitivity to initial conditions []. To produce a chaotic function, chaotic maps use initial conditions and control parameters as input. Chaotic maps demonstrate “avalanche” behaviour, producing different results upon a minor change in the initial conditions or control parameters. Some examples of chaotic phenomena are sinusoidal, Gauss, logistic maps, etc.
In this research, 10 commonly used chaotic maps are investigated as a mechanism to generate initial and sequential solutions in the given parameter space during the EFO algorithm, resulting in a CEFO hybrid algorithm. The applied chaotic maps are presented in Table 1.
Table 1.
Chaotic maps.
Chaotic maps enable conducting a space search much faster than a stochastic search [,] as a result of chaos ergodicity and non-repetition []. This is a notable advantage, which motivates the use of chaotic maps in metaheuristic algorithms.
2.2. Electromagnetic Field Algorithm
EFO is an algorithm based on an evolving population of solutions, where each solution vector is represented by a group of electromagnets (electromagnetic particles) []. The optimization problem dimension determines the number of electromagnets of an electromagnetic particle. Thus, each electromagnet of the electromagnetic particle corresponds to a variable of the problem solved.
According to [], the EFO works as follows:
- Initially, the fitness of each electromagnetic particle in a randomly generated population is evaluated by a fitness function. According to the fitness value, the electromagnetic particles are sorted.
- Next, three groups of particles are defined—the positive field, the negative field, and the neutral field.
- Finally, a new electromagnetic particle is generated in each iteration. If this particle is fitter than the worst one, then the new particle will be inserted into the population, and the worst particle will be eliminated.
The EFO algorithm iterates until a prescribed criterion for stop operation is met (defined solution accuracy, achieving an apriori set value for a maximum number of iterations, etc.).
The algorithm performance depends significantly on the algorithm parameters setting. In EFO, the most important parameter is the number of electromagnetic particles in the population, Nemp. It is known that a population smaller than 50 will lead to a solution that is a local minimum, and a large population (greater than the dimension of the problem) will slow down algorithm convergence []. The percentage of the electromagnetic particle allocated to each of the three groups with different polarities is controlled by the parameters Pfield and Nfield. With the increase in the Pfield value, an increase in the global search is achieved, whereas, with the decrease in the Pfield value, the local search is increased. The probability of selecting electromagnets or changing one is defined by the parameters Psrate and Rrate, respectively.
The ranges of the parameters proposed in [] and mentioned above are as follows:
Pfield ∈ (0.05, 0.1); Nfield ∈ (0.4, 0.5); Psrate ∈ (0.1, 0.4); Rrate ∈ (0.1, 0.4).
Based on a set of numerical experiments, the EFO parameters are set to the following values: Nemp = 50; Pfield = 0.1; Psrate = 0.2; Rrate = 0.4; and Maxgen = 200 (maximum number of iterations, used as well as algorithm stop criteria) and Nfield = 0.45, calculated as follows:
2.3. Chaotic Electromagnetic Field Algorithm
The most important part of the algorithm is the search strategy. According to [], the new position is:
where the electromagnetic particle is denoted by EMP; the golden ratio = 1.6180339887498948; r is the random value, r ∈ (0, 1); j is the generated electromagnet’s index; K, P, and N are the random indexes from the neutral, positive, and negative fields, respectively.
In the hybridization proposed here, a chaotic map is used for the generation of a new electromagnetic particle, applying Equation (3), instead of Equation (2):
The chaos’ ergodicity and non-repetition are used to conduct a faster and more efficient search of the space.
The pseudocode of the designed algorithm is shown as Algorithm 1.
| Algorithm 1: CEFO |
|
Initialisation Objective function, J; Nvar; Nemp; Rrate; Psrate; Pfield; Nfield; Lb; Ub Begin for i = 1 to Nemp do for j = 1 to Nvar do empop[i, j] = min + rand(0, 1)*(Ub − Lb) newemp[j] = empop[i, j] end for fit[i] = f(newemp) end for sortPopulation(empop, fit) (main loop) RI = 1 (index of one electromagnet of the generated particle) while (stop criterion is not met) do force = chaotic map (Equations (1)–(10)) for i = 1 to Nvar do Ipos = rand(1, floor(Nemp*Pfield)) Ineg = rand(floor((1 − Nfield)*Nemp), Nemp) Ineu = rand(ceil(Nemp*Pfield), ceil((1 − Nfield)*Nemp)) if (rand(0, 1) < Psrate) then newemp[i] = empop[Ipos, i] else newemp[i] = empop[Ineu, i] + φ *force*(empop[Ipos, i] − empop[Ineu, i]) − force*(empop[Ineg, i] − empop[Ineu, i]) end if if (newemp[i] > Ub or newemp[i] < Lb) then newemp[i] = Lb*rand(0, 1)*(Ub − Lb) end if end for if (rand(0, 1) < Rrate) then newemp[RI] = Lb*rand(0, 1)*(Ub − Lb) RI = RI + 1 if (RI > Nvar) then RI = 1 end if end if Newfit = f(newemp) if (Newfit < worst(fit)) then insertInSortedPopulation(newemp) end if end while return empop [1, 1:Nvar] |
3. Mathematical Model
3.1. Escherichia coli BL21(DE3)pPhyt109 Cultivation Processes
The models are obtained based on the E. coli cultivation experiments published in []. The E. coli strain BL21(DE3)pPhyt109 is used for phytase production. The set point of the substrate concentration is 0.1 g·L−1. The initial parameters of process are as follows: t0 = 3.10 h; X(t0) = 3.2 g·L−1; S(t0) = 0.5 g·L−1; V(t0) = 2.7 L; Sin = 500 g·L−1. During the cultivation process, the following variables are measured: biomass, substrate, and phytase concentrations, as well as volume and feed rate profile []. These data are used for model estimation and validation. To keep substrate concentration at the set point, it is measured by the FIA system [], which indicates a significant measurement delay of approximately 1 min. This is taken into account in the control algorithm design procedure.
3.2. Fed-Batch Cultivation Model
According to the mass balance, the dynamics of cell growth, consumption of the substrate, and production of the phytase can be modelled as follows:
where X, S, and Ph denote biomass, substrate, and phytase concentrations, [g·L−1]; F denotes control signal (the feed rate, [h−1]); V denotes the bioreactor volume, [L]; denotes the concentration of glucose in the feeding solution, [g·L−1]; μ, qS, and qPh are the specific rates, [h−1]; denotes the maximum growth rate, [h−1]; denotes the saturation constant, [g·L−1]; and , are the yield coefficients, [g·g−1].
The vector of unknown parameters in the model (1)–(8) is . Based on literature data [,,,], the following parameter bonds are set during the model parameter identification procedures: Lb = [0.2 0.001 1 1] and Ub = [0.9 0.1 5 5].
The model parameters are obtained by minimization of the following objective function (cost function)
where , , . The subscript exp denotes experimental data, and the subscript mod denotes model states.
4. Control of Glucose Concentration
The diagram of the proposed closed-loop system is depicted in Figure 1.
Figure 1.
Diagram of the proposed closed-loop system.
To control the substrate concentration at the desired low level, the feedforward/feedback controller is designed. The nonlinear part of the controller is the feedforward component . It is evaluated as
Equation (10) is obtained from Equation (5), taking into account the requirement to keep the glucose concentration at a constant equilibrium point. The linear feedback part of the control signal is formed by the designed universal PID controller with an anti-wind-up mechanism. The feedback term regulates glucose concentration in the vicinity of the equilibrium point against disturbances, noises and unmodelled dynamics. The output signal of the PID controller (control action) is the feedback feeding rate () that is evaluated according to the equation (in operator form)
where s is the Laplace operator; , and denote the proportional gain and time constants of integral and differential terms, respectively; is the differential term filter’s time constant; b and c are weighing coefficients that are used for weighting the reference signal in proportional and differential terms; and is the reference signal (desired value of glucose concentration).
In a real application, the control algorithm (Equation (11)) is realized in a digital device that can be some kind of microcontroller in the case of the embedded control system or an industrial programmable logical controller in the case of a conventional industrial system. Thus, it should be discretized with the appropriate sample time . The discrete-time equation of the PID controller is
where the P-term is
the D-term is
and the I-term is
and are coefficients of discrete-time PID controller.
As can be seen from Equation (12), the anti-wind-up term is introduced in the integral component of the PID controller. This term is used to “freeze” the accumulation of integrator in case of a negative feed rate evaluated from the controller.
Finally, the discrete-time control action is formed as
where is a discrete-time feedforward term that is obtained by discretization of algebraic Equation (10).
It is obvious that to form a control signal (Equation (16)), it is necessary to measure in real-time the states V, S, and X. In practice, the sufficiently accurate measurement of these three variables is difficult, and instead of direct measurement, some type of software sensor is used. Herein, the Extended Kalman Filter (EKF) is introduced in the control algorithm. Its design is presented in detail in previous authors’ research [], and it is not described here.
The tuning of the parameters of the designed controller is performed via the proposed CEFO algorithm. The vector of PID parameters that should be identified is . The following PID parameter bounds are chosen:
Lb = [0.1 0.001 0.001 0.0001 0 0] and Ub = [5 5 5 100 1 1].
The lower limits of and are chosen according to the requirement that is based on the physical sense of time-constants and guarantees the existence of I-term, D-term and D-term filter in PID controller. The upper limits are chosen empirically based on a few optimization experiments.
The controller parameters are tuned by numerical optimization with the proposed approach minimizing the following error:
where and is the glucose concentration modelled data.
5. Results and Discussion
5.1. Identification of Model Parameters
The CEFO algorithm applied here has been realized in the Matlab R2017a environment following the pseudocode—Algorithm 1.
The model parameter estimation (Equations (4)–(8)), using the CEFO algorithm with different chaotic maps and a classic EFO, has been conducted. To present statistically meaningful results, it is recommended to run each CEFO algorithm at least 30 times.
Based on the 10 variations of CEFO, the vector of model parameters is estimated. Table 2 presents the obtained best parameter values and the observed corresponding standard deviation (SD), both for the CEFO algorithms and for the classical EFO algorithm. To compare the results, the values of the objective function J are shown too.
Table 2.
Parameters estimates of E. coli model (Equations (4)–(8)).
The adequacy and the preserved physical meaning of the parameter value estimates presented in Table 2 are confirmed by the results published in [,,,]. The model parameter for which the obtained SD value is close to the estimated one, appears difficult to identify/estimate.
Figure 2 presents the comparison of the time variation of the concentrations of the main process variables , , and Ph, predicted by the models (Table 2), and the real experimental data. The five best mathematical models according to the observed J value (Table 2) are compared to the measured data of the E. coli FB cultivation process. A detailed view of the results is provided for better visualization of the model behaviour. Such a result is also a significant measure of the performance of the identified mathematical models. The graphical results confirm that the models follow the process dynamics trend and the absence of deviations between measurements and modelled data.
Figure 2.
Comparison of the models’ dynamics—the 5 best mathematical models obtained by the CEFO algorithm and a model obtained by classical EFO. (A) Biomass dynamics; (B) zoomed biomass dynamics; (C) substrate dynamics; (D) zoomed substrate dynamics; (E) phytase dynamics; (F) zoomed phytase dynamics.
The best five models obtained by CEFO4, CEFO3, CEFO1, CEFO7, and CEFO8 are chosen and compared to the model obtained based on the classical EFO algorithm. The graphical comparison shows that CEFO3 and classical EFO fail to fit the substrate dynamics. Moreover, classical EFO fails to model the phytase dynamics, too.
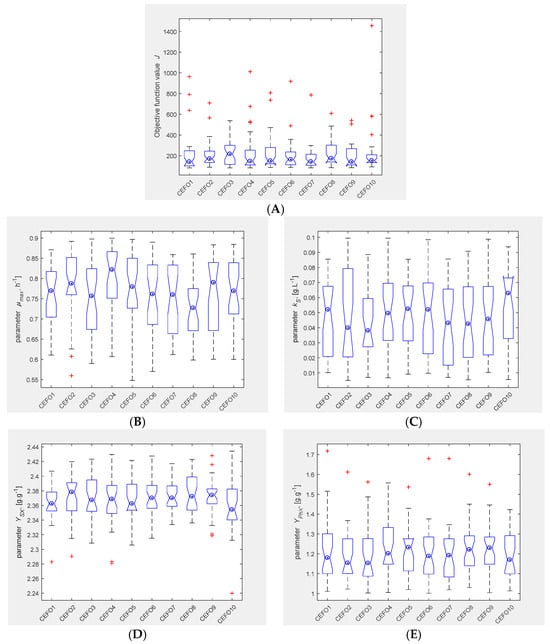
A statistical evaluation of the algorithm’s performance is conducted. The summary statistics are presented in Figure 3, where a comparison of the estimates (average value), as well as the resulting SD, medians and J values, could be performed.
Figure 3.
Box plot of the results. (A) objective function J; (B) parameter ; (C) parameter ; (D) parameter ; (E) parameter .
In Figure 4, a comparison between the box plot of J for the five best results and the classic EFO is presented. The results undoubtedly show that the designed hybrid algorithms, based on Chebyshev (CEFO1), Gauss (CEFO3), iterative (CEFO4), sine (CEFO7), and Singer (CEFO8) chaotic maps, have a quality based on the classical EFO algorithm advantages, namely its good exploitation, as well as the better exploitation of the chaotic maps. Considering the obtained minimum values of J, the chaotic algorithms outperform the EFO algorithm. The average J value of CEFO1, CEFO4 and CEFO7 are almost the same as the obtained EFO minimum J value. Only the CEFO3 and CEFO8 show bigger average values. The better exploration of the proposed chaotic EFO algorithms results in finding the lower J value (in the range of 82.50–84.11) compared to the J value of 121.3 obtained by EFO. These results show an improvement of 30% at least of the observed EFO objective function value.
Figure 4.
Box plot—the 5 best results and classical EFO algorithm—objective function J.
The nonparametric Wilcoxon test is performed to assess statistical differences between the 10 mathematical models obtained. The tests are performed in Matlab on the numerical results for 30 runs using the “ranksum” function. The results presented in Table 3 show that the mathematical models behave statistically differently.
Table 3.
Wilcoxon test results.
Here, as in a series of studies [,,,], the hybridization of modern optimization algorithms and chaotic dynamics leads to a certain increase in algorithm performance. It can be seen that the application of chaos in the EFO algorithm leads to obtaining better results.
The presented results reveal that the superior performance is achieved by using CEFO1, CEFO3, CEFO4, CEFO7 and CEFO8. The best results are obtained based on iterative (CEFO4), Gauss (CEFO3), and Chebyshev (CEFO1) chaotic maps. All suggested maps lead to a significant improvement of J, but only these three maps improve the EFO algorithm to a greater extent.
Further, based on the all proposed mathematical models, 10 PID controllers are tuned.
5.2. PID Controller Tuning
The PID controller is tuned by applying the best three rated chaotic maps, e.g., iterative, Gauss and Chebyshev. The PID controller is tuned sequentially for each of the constructed 10 mathematical models from Table 2. Again, applying an iterative chaotic map to construct the solution during the evolution of the EFO algorithm leads to better results. Table 4 gives the estimated values of the PID controller parameters and the resulting errors using CEFO with the iterative chaotic map. The tuning is performed based on the best models—M1, M3, M4, M7 and M8. The obtained PID controllers are denoted as CEFO1PID, CEFO3PID, CEFO4PID, CEFO7PID and CEFO8PID, respectively.
Table 4.
PID controller tuning results based on the best 5 obtained mathematical models (Table 2).
The results in Table 4 show that, for model 3 and model 4, the limit values for N are achieved. However, the obtained transient response of the closed-loop system with CEFOPID3 has excellent performance. The substrate concentration very quickly reaches the desired value of 0.1 with little overshoot. Furthermore, the settling time for CEFOPID3 is the least compared to that of the other designed PID controllers. The results for CEFOPID4 are slightly worse than those obtained with the other controllers (the settling time is approximately 6 min longer and the overshoot is approximately 30%).
The designed PID controllers achieve similar values of the error, i.e., deviation of the set point. But still, the smallest error is obtained by CEFO3PID and the largest by CEFO8PID.
The performance of each PID controller can be compared based on the resulting dynamics of the controlled variable—substrate, and variables of interest—biomass, product concentrations and the feed rate profiles. For more realistic results and to model measurement error a noise that ensures noise to signal ratio of 10% is added to the substrate concentration. A graphical comparison of the simulation results is given in Figure 5, where the best 5 chosen controllers—CEFO1PID, CEFO3PID, CEFO4PID, CEFO7PID and CEFO8PID—are compared. The comparison of the PID controllers shows that all designed controllers are stable. The CEFO3PID (controller tuned-based model CEFO3) leads to the highest biomass and product concentration at the end of the cultivation process (Figure 5A,B). The reason is the estimated larger values of maximum specific growth rate ( 0.87) and yield coefficients ( 2.37 and 1.16). The presented in Figure 5D results show that the CEFO3PID is the fastest controller. The CEFO4PID has the worst behaviour with greater overshoot and oscillations. The CEFO1PID, CEFO7PID and CEFO8PID show almost the same performance for the considered nonlinear control system.

Figure 5.
A comparison of the observed process variables concentrations based on the different PID controllers, tuned by the CEFO algorithm, for each of the selected 5 mathematical models (with 10% noise). (A) Biomass dynamics; (B) phytase dynamics; (C) substrate dynamics; (D) detailed dynamics of substrate; (E) feed rate profile.
The singular values plot of the designed controllers is depicted in Figure 6. It shows that the CEFOPID1, CEFOPID3, CEFOPID7 and CEFOPID8 have almost the same singular values, but the gain of CEFOPID3 is a little bit larger than the gains of CEFOPID1, CEFOPID7 and CEFOPID8. The bandwidth and the gain of CEFOPID4 are significantly larger than those of other controllers. It will be interesting to analyse the influence of this difference on the time responses of the control system.
Figure 6.
Singular value plot.
The proposed mathematical models (Table 2 and Figure 2) describe well enough the real experimental data of the E. coli BL21(DE3)pPhyt109 FB cultivation. Because it is difficult to determine which of them the most appropriate process model is, it is also difficult to choose one of the PID controllers tuned with the corresponding mathematical model. Moreover, it is well known that robustness (robust performance and robust stability) is not a priori guaranteed in the case of optimal controller tuning; it is mandatory to investigate the robustness of the control system. The easiest way to do that is to test the performance of control systems based on each controller with each model. In this manner, the robustness of the control system against parameter (structured) uncertainty is checked. As can be seen from the values presented in Table 2, the maximum growth rate of different models is in the range of 0.763–0.884, and the saturation coefficient is in the range of 0.0075–0.07. It should be noted that the values of model parameters are obtained from the experimental data, and it is difficult to determine other more realistic ranges for model parameters than ones presented in Table 2. Simulation experiments of the application of each tuned PID controller for each of the developed mathematical models are performed. Moreover, these simulations are performed in the presence of 10% noise, which is used not only to model measurement error but to model another signal uncertainty in a wide frequency range.
The obtained results show a similar performance of the CEFO1PID, CEFO3PID, CEFO7PID and CEFO8PID. The observed errors in the crosscheck simulation experiments (each controller with each model) are introduced in Table 5. The integral square error evaluated for the control system with the corresponding PID controller is almost the same for all estimated models. These results show the robustness of the closed-loop system against the variations in model parameters and against the signal uncertainty in wide frequency range.
Table 5.
The errors obtained for tuned PID controllers (with noise 10%), applied for each selected mathematical model.
The presented in Table 5 results show that all tuned controllers perform similarly. Only CEFO4PID shows slightly worse behaviour. For graphical visualization of the controllers’ performance CEFO3PID and CEFO4PID are chosen (Figure 7). The CEFO3PID controller is one with the best performance from the group of PID controllers with similar behaviour, and CEFO4PID is the controller with distinctive behaviour.

Figure 7.
Graphical comparison of the obtained process dynamics based on the different PID controllers, applied for each of the 5 best mathematical models of E. coli FB process, tuned by CEFO algorithm (with noise 10%). (A) PID design based on model M3 (CEFO3PID); (B) PID design based on model M4 (CEFO4PID).
The results show that even with slightly larger oscillation, CEFO4PID is robust and leads to the same process dynamics as the other four tuned PID controllers. Settling time is approximately 15 min, and the overshoot is approximately 35%. Better results than CEFO4PID are observed by CEFO3PID, where the settling time is approximately 9 min and the overshoot is 15%.
6. Conclusions
A hybrid CEFO algorithm, incorporating the exploitation capability of the EFO algorithm and the exploration power of ten different chaotic maps, is proposed. The CEFO is applied for the first time and analysed in two cases: (i) parametric identification of the mathematical models of an E. coli BL21(DE3)pPhyt109 FB cultivation, and (ii) optimal parameters tuning of a PID controller, used to keep the glucose concentration at a desired set point. To achieve adequate and accurate decisions, problem-oriented and specifically chosen CEFO parameters are applied. Several mathematical models describing the main process variables—biomass, substrate and product concentrations—are developed by using different chaotic maps. Models with a higher degree of accuracy are obtained. A 30% improvement in the objective function evaluations is achieved by applying CEFO compared to EFO. The developed models are used for optimal PID controller tuning. Several procedures are performed to tune the PID controller parameters using the proposed CEFO technique. The system performance of the resulting 10 controllers is investigated, and the robustness of the system against various model parameters is shown. The control system with the best-tuned controller achieves the desired set point for a short settling time (9 min) with an admissible overshoot of 15%. Moreover, the control variable keeps this value for a sufficiently long time during the process of cultivation. As a result, a good control performance of the investigated nonlinear closed-loop system is achieved.
Based on the presented results, it can be concluded that the PID controller tuned by CEFO leads to a high-quality performance of the designed control system. However, the structure limitations of the PID controller cannot be fully overcome by appropriate tuning, which is a disadvantage of the proposed approach. To ensure better control performance in the presence of larger unmodelled dynamics, modern robust controllers should be designed.
For possible practical applications of the developed control algorithms, further investigations can be initiated with the hardware in the loop simulations where the designed control algorithm will be embedded in the actual control device.
Author Contributions
Conceptualization and methodology, T.S. and O.R.; software implementation, T.S., O.R. and J.K.; validation, T.S., O.R. and J.K.; investigation, T.S. and O.R.; writing—original draft preparation, T.S., O.R. and J.K.; writing—review and editing, O.R., T.S. and J.K.; visualization, O.R., T.S. and J.K.; supervision, T.S., O.R. and J.K. All authors have read and agreed to the published version of the manuscript.
Funding
This study is financed by the European Union-NextGenerationEU, through the National Recovery and Resilience Plan of the Republic of Bulgaria, project No. BG-RRP-2.004-0005.
Data Availability Statement
The original contributions presented in the study are included in the article, further inquiries can be directed to the corresponding author.
Conflicts of Interest
The authors declare no conflicts of interest.
References
- Bolmanis, E.; Dubencovs, K.; Suleiko, A.; Vanags, J. Model Predictive Control—A Stand Out among Competitors for Fed-Batch Fermentation Improvement. Fermentation 2023, 9, 206. [Google Scholar] [CrossRef]
- Xu, W.J.; Lin, Y.; Mi, C.L.; Pang, J.Y.; Wang, T.Y. Progress in fed-batch culture for recombinant protein production in CHO cells. Appl. Microbiol. Biotechnol. 2023, 107, 1063–1075. [Google Scholar] [CrossRef] [PubMed]
- Costa, C.E.; Romaní, A.; Teixeira, J.A.; Domingues, L. Resveratrol production for the valorisation of lactose-rich wastes by engineered industrial Saccharomyces cerevisiae. Bioresour. Technol. 2022, 359, 127463. [Google Scholar] [CrossRef]
- Wang, X.; Chen, J.; Zhang, J.; Zhou, Y.; Zhang, Y.; Wang, F.; Li, X. Engineering Escherichia coli for production of geraniol by systematic synthetic biology approaches and laboratory-evolved fusion tags. Metab. Eng. 2021, 66, 60–67. [Google Scholar] [CrossRef]
- Rinaldi, M.A.; Ferraz, C.A.; Scrutton, N.S. Alternative metabolic pathways and strategies to high-titre terpenoid production in E. coli. Nat. Prod. Rep. 2022, 39, 90–118. [Google Scholar] [CrossRef]
- Ganjave, S.D.; Dodia, H.; Sunder, A.V.; Madhu, S.; Wangikar, P.P. High cell density cultivation of E. coli in shake flasks for the production of recombinant proteins. Biotechnol. Rep. 2022, 33, e00694. [Google Scholar] [CrossRef]
- Last, D.; Hasan, M.; Rothenburger, L.; Braga, D.; Lackner, G. High-yield production of coenzyme F420 in Escherichia coli by fluorescence-based screening of multi-dimensional gene expression space. Metab. Eng. 2022, 73, 158–167. [Google Scholar] [CrossRef] [PubMed]
- Rathore, A.S.; Mishra, S.; Nikita, S.; Priyanka, P. Bioprocess Control: Current Progress and Future Perspectives. Life 2021, 11, 557. [Google Scholar] [CrossRef]
- Khan, O.; Madhuranthakam, C.M.R.; Douglas, P.; Lau, H.; Sun, J.; Farrell, P. Optimized PID controller for an industrial biological fermentation. J. Process Control 2018, 71, 75–89. [Google Scholar] [CrossRef]
- Abadli, M.; Dewasme, L.; Tebbani, S.; Dumur, D.; Wouwer, A.V. Generic Model Control Applied to E. coli BL21(DE3) Fed-Batch Cultures. Process 2020, 8, 772. [Google Scholar] [CrossRef]
- Joanofarc, X.; Nivedhika, D.; Patnaik, S.; Panda, R. Closed-loop Performance and Analysis of a Real Time Non-linear Bioreactor Process. In Proceedings of the 2019 2nd International Conference on Power and Embedded Drive Control (ICPEDC), Chennai, India, 21–23 August 2019; Institute of Electrical and Electronics Engineers (IEEE): Piscataway, NJ, USA, 2019; pp. 406–412. [Google Scholar]
- Kumar, M.; Prasad, D.; Giri, B.S.; Singh, R.S. Temperature control of fermentation bioreactor for ethanol production using IMC-PID controller. Biotechnol. Rep. 2019, 22, e00319. [Google Scholar] [CrossRef] [PubMed]
- Harcum, S.W.; Elliott, K.S.; Skelton, B.A.; Klaubert, S.R.; Dahodwala, H.; Lee, K.H. PID controls: The forgotten bioprocess parameters. Discov. Chem. Eng. 2022, 2, 1. [Google Scholar] [CrossRef]
- Hoshan, L.; Jiang, R.; Moroney, J.; Bui, A.; Zhang, X.; Hang, T.C.; Xu, S. Effective bioreactor pH control using only sparging gases. Biotechnol. Prog. 2019, 35, e2743. [Google Scholar] [CrossRef] [PubMed]
- Akisue, R.A.; Harth, M.L.; Horta, A.C.L.; de Sousa, R., Jr. Optimized dissolved oxygen fuzzy control for recombinant Escherichia coli cultivations. Algorithms 2021, 14, 326. [Google Scholar] [CrossRef]
- Carredano, E.N.; Nordberg, R.; Westin, S.; Busson, K.; Karlsson, T.M.; Blank, T.S.; Sandegren, H.; Jagschies, G. Simplification of Buffer formulation and improvement of buffer control with in-line conditioning (IC). In Biopharmaceutical Processing; Elsevier: Amsterdam, The Netherlands, 2018; pp. 513–525. [Google Scholar]
- Fabbrini, D.; Simonini, C.; Lundkvist, J.; Carredano, E.; Otero, D. Addressing the challenge of complex buffer management an in-line conditioning collaboration. BioProcess Int. 2017, 15, 43–46. [Google Scholar]
- Joseph, S.B.; Dada, E.G.; Abidemi, A.; Oyewola, D.O.; Khammas, B.M. Metaheuristic algorithms for PID controller parameters tuning: Review, approaches, and open problems. Heliyon 2022, 8, e09399. [Google Scholar] [CrossRef]
- Khanduja, N.; Bhushan, B. Optimal design of FOPID controller for the control of CSTR by using a novel hybrid metaheuristic algorithm. Sādhanā 2021, 46, 104. [Google Scholar] [CrossRef]
- Baran, H. Sine-cosine algorithm-based optimization for automatic voltage regulator system. Trans. Inst. Meas. Control 2019, 41, 1761–1771. [Google Scholar] [CrossRef]
- Abdolhosseini, M.; Abdollahi, R. Performance analysis of PID controller-based metaheuristic optimisation algorithms for BLDC motor. Aust. J. Electr. Electron. Eng. 2023, 20, 400–411. [Google Scholar] [CrossRef]
- Ghith, E.S.; Tolba, F.A.A. Tuning PID controllers based on Hybrid Arithmetic optimization algorithm and Artificial Gorilla troop optimization for Micro-Robotics systems. IEEE Access 2023, 11, 27138–27154. [Google Scholar] [CrossRef]
- Izci, D.; Ekinci, S.; Hussien, A.G. Effective PID controller design using a novel hybrid algorithm for high order systems. PLoS ONE 2023, 18, e0286060. [Google Scholar] [CrossRef]
- Ulusoy, S.; Nigdeli, S.M.; Bekdaş, G. Novel metaheuristic-based tuning of PID controllers for seismic structures and verification of robustness. J. Build. Eng. 2021, 33, 101647. [Google Scholar] [CrossRef]
- Naik, R.B.; Singh, U. A review on applications of chaotic maps in pseudo-random number generators and encryption. Ann. Data Sci. 2024, 11, 25–50. [Google Scholar] [CrossRef]
- Li, Y.; Deng, S.; Xiao, D. A novel Hash Algorithm Construction based on Chaotic Neural Network. Neural Comput. Appl. 2011, 20, 133–141. [Google Scholar] [CrossRef]
- Tavazoei, M.S.; Haeri, M. Comparison of different onedimensional maps as chaotic search pattern in chaos optimization algorithms. Appl. Math. Comput. 2007, 187, 1076–1085. [Google Scholar] [CrossRef]
- Barton, R. Chaos and fractals. Math. Teach. 1990, 83, 524–529. [Google Scholar] [CrossRef]
- Ott, E. Chaos in Dynamical Systems; Cambridge University Press: Cambridge, UK, 2002. [Google Scholar]
- Devaney, R. An Introduction to Chaotic Dynamical Systems; Westview Press: Boulder, CO, USA, 2008. [Google Scholar]
- Hilborn, R.C. Chaos and Nonlinear Dynamics: An Introduction for Scientists and Engineers; Oxford University Press on Demand: Oxford, UK, 2000. [Google Scholar]
- May, R.M. Simple mathematical models with very complicated dynamics. Nature 1976, 261, 459–467. [Google Scholar] [CrossRef]
- Erramilli, A.; Singh, R.; Pruthi, P. Modeling Packet Traffic with Chaotic Maps; KTH: Stockholm, Sweden, 1994. [Google Scholar]
- Erramilli, A.; Singh, R.; Pruthi, P. Chaotic maps as models of packet traffic. In Teletraffic Science and Engineering; Labetoulle, J., Roberts, J.W., Eds.; Elsevier: Amsterdam, The Netherlands, 1994; Volume 1, pp. 329–338. [Google Scholar]
- Hanif, M.I.F.M.; Ahmad, M.A.; Jui, J.J. PID Tuning Method Using Chaotic Safe Experimentation Dynamics Algorithm for Elastic Joint Manipulator. J. Eur. Syst. Autom. 2021, 54, 693–698. [Google Scholar] [CrossRef]
- Saraswathi, K.; Vijayaraghavan, S. Tuning of PID Controller Using Hybridized Modified Firefly-Chaos Algorithm in Industrialized Polymerization Reactors. Int. J. Intell. Syst. Appl. Eng. 2022, 10, 256–263. [Google Scholar]
- Micev, M.; Calasan, M.; Oliva, D. Fractional order PID controller design for an AVR system using chaotic yellow saddle Goatfish algorithm. Mathematics 2020, 8, 1182. [Google Scholar] [CrossRef]
- Çimen, M.E.; Garip, Z.B.; Boz, A.F. Chaotic flower pollination algorithm based optimal PID controller design for a buck converter. Analog Integr. Circuits Signal Process. 2021, 107, 281–298. [Google Scholar] [CrossRef]
- Yu, W.; Zhu, K.; Yu, Y. Variable Universe Fuzzy PID Control for Active Suspension System with Combination of Chaotic Particle Swarm Optimization and Road Recognition. IEEE Access 2024, 12, 29113–29125. [Google Scholar] [CrossRef]
- Rao, L. A Hybrid Chaotic MPA-PID Controller for Voltage Profile Enhancement in Solid State Transformer Connected Pantograph System for Charging of Electric Bus. Int. J. Renew. Energy Res. (IJRER) 2023, 13, 899–910. [Google Scholar]
- Ranjbar, E.; Yaghoobi, M.; Veisi, G. Improved Cascade Chaotic Invasive Weed Optimization Algorithm (ICCIWO), application to controller tuning and optimization. J. Exp. Theor. Artif. Intell. 2023, 1–19. [Google Scholar] [CrossRef]
- Kadry, S.; Crespo, R.G.; El Bitar, M.; Mohan, R.; Rajinikanth, V. Chaotic-Moth-Flame-Algorithm Based Scheme to Design PID Controller for Benchmark AVR. In Metaheuristics and Optimization in Computer and Electrical Engineering: Volume 2: Hybrid and Improved Algorithms; Springer International Publishing: Cham, Switzerland, 2023; pp. 473–491. [Google Scholar]
- Sivadasan, J.; Shiney, J.R.J. Performance evaluation of a non linear PID controller using chaotic gravitational search algorithm for a twin rotor system. Adv. Control Appl. Eng. Ind. Syst. 2023, 5, e162. [Google Scholar] [CrossRef]
- Ekinci, S.; Izci, D.; Abualigah, L.; Zitar, R.A. A modified oppositional chaotic local search strategy based Aquila optimizer to design an effective controller for vehicle cruise control system. J. Bionic Eng. 2023, 20, 1828–1851. [Google Scholar] [CrossRef]
- Shiva, C.K.; Vedik, B.; Raj, S.; Mahapatra, S.; Mukherjee, V. A novel chaotic chimp sine cosine algorithm part-II: Automatic generation control of complex power system. Chaos Solitons Fractals 2023, 173, 113673. [Google Scholar]
- Yang, Q.P.; Wang, C.H.; Dao, T.K.; Zhao, Q.G.; Chen, S.M. An Optimal Wind Turbine Control Based on Improved Chaotic Sparrow Search Algorithm with Normal Cloud Model. J. Netw. Intell. 2024, 9, 108–125. [Google Scholar]
- Abedinpourshotorban, H.; Shamsuddin, S.M.; Beheshti, Z.; Jawawi, D.N.A. Electromagnetic field optimization: A physics-inspired metaheuristic optimization algorithm. Swarm Evolut. Comput. 2016, 26, 8–22. [Google Scholar] [CrossRef]
- Eckmann, J.-P.; Ruelle, D. Ergodic theory of chaos and strange attractors. Rev. Mod. Phys. 1985, 57, 617. [Google Scholar] [CrossRef]
- Kleist, S.; Miksch, G.; Hitzmann, B.; Arndt, M.; Freihs, K.; Flaschel, E. Optimization of the extracellular production of a bacterial phytase with Escherichia coli by using different fed-batch fermentation strategies. Appl. Microbiol. Biotechnol. 2003, 61, 456–462. [Google Scholar] [CrossRef] [PubMed]
- Roeva, O.; Pencheva, T.; Tzonkov, S.; Arndt, M.; Hitzmann, B.; Kleist, S.; Miksch, G.; Friehs, K.; Flaschel, E. Multiple model approach to modelling of Escherichia coli fed-batch cultivation extracellular production of bacterial phytase. Electron. J. Biotechnol. 2007, 10, 592–603. [Google Scholar] [CrossRef][Green Version]
- Roeva, O.N. Sensitivity Analysis of E. coli Fed-batch. Math. Balk. New Ser. 2011, 25, 395–411. [Google Scholar]
- Wang, H.; Wang, F.; Wang, W.; Yao, X.; Wei, D.; Cheng, H.; Deng, Z. Improving the expression of recombinant proteins in E. coli BL21 (DE3) under acetate stress: An alkaline pH shift approach. PLoS ONE 2014, 9, e112777. [Google Scholar] [CrossRef]
- Slavov, T.; Roeva, O. Genetic Algorithm Tuning of PID Controller in Smith Predictor for Glucose Concentration Control. Int. J. Bioautom. 2011, 15, 101–114. [Google Scholar]
- Talatahari, S.; Azizi, M. Chaos game optimization: A novel metaheuristic algorithm. Artif. Intell. Rev. 2021, 54, 917–1004. [Google Scholar] [CrossRef]
- Anter, A.M.; Ali, M. Feature selection strategy based on hybrid crow search optimization algorithm integrated with chaos theory and fuzzy c-means algorithm for medical diagnosis problems. Soft Comput. 2000, 24, 1565–1584. [Google Scholar] [CrossRef]
- Zelinka, I.; Diep, Q.B.; Snášel, V.; Das, S.; Innocenti, G.; Tesi, A.; Schoen, F.; Kuznetsov, N.V. Impact of chaotic dynamics on the performance of metaheuristic optimization algorithms: An experimental analysis. Inf. Sci. 2022, 587, 692–719. [Google Scholar] [CrossRef]
- Çelik, A. Improved stochastic fractal search algorithm and modified cost function for automatic generation control of interconnected electric power systems. Eng. Appl. Artif. Intell. 2020, 88, 103407. [Google Scholar] [CrossRef]
Disclaimer/Publisher’s Note: The statements, opinions and data contained in all publications are solely those of the individual author(s) and contributor(s) and not of MDPI and/or the editor(s). MDPI and/or the editor(s) disclaim responsibility for any injury to people or property resulting from any ideas, methods, instructions or products referred to in the content. |
© 2024 by the authors. Licensee MDPI, Basel, Switzerland. This article is an open access article distributed under the terms and conditions of the Creative Commons Attribution (CC BY) license (https://creativecommons.org/licenses/by/4.0/).