Abstract
A system combining gas-phase oxidation and liquid-phase collision absorption for removing NO from marine diesel engine exhaust was proposed. This method was the first to utilize different physical states of the same mixed solution to achieve both pre-oxidation and impingement reduction absorption of exhaust gases. During the pre-oxidation stage, a mixture of (NH4)2S2O8 and urea solution was atomized into a spray using an ultrasonic nebulizer to increase the contact area between the oxidant and the exhaust gas, thereby efficiently pre-oxidizing the exhaust gas in the gas phase. In the liquid-phase absorption stage, the (NH4)2S2O8 and urea solution was used in an impingement absorption process, which not only enhanced gas–liquid mass transfer efficiency but also effectively inhibited the formation of nitrates. Experimental results showed that, without increasing the amount of absorbent used, the maximum NO removal efficiency of this method reached 97% (temperature, 343 K; (NH4)2S2O8 concentration, 0.1 mol/L; urea concentration, 1.5 mol/L; NO concentration, 1000 ppm; pH, 7; impinging stream velocity, 15 m/s), compared to 72% using the conventional liquid-phase oxidation absorption method. Additionally, this method required only the addition of a nebulizer and two opposing nozzles to the existing desulfurization tower to achieve simultaneous removal of sulfur and nitrogen oxides from the exhaust gas, with low retrofitting costs making it favorable for practical engineering applications.
1. Introduction
The rapid growth of the shipping industry has led to increased emissions of nitrogen oxides (NOx) from marine diesel engines, which pose serious risks to human health and the atmospheric environment [1,2,3,4]. Therefore, the strict control of NOx (mainly NO) emissions by national and regulatory agencies perfectly meets the demand for efficient and cost-effective NOx removal technologies, which can be easily retrofitted into existing ship propulsion systems [5]. At present, popular technologies for NOx abatement include wet scrubbing, selective catalytic reduction (SCR), liquefied natural gas (LNG), and exhaust gas recirculation (EGR) [6,7]. Among them, selective catalytic reduction (SCR) was the most widely applied and technologically mature method, but it also faced issues such as catalyst deactivation and high operating costs [8]. In recent years, wet scrubbing technology has received increasing attention due to its low removal costs and the advantage of achieving simultaneous removal of sulfur oxides (SOx) and NOx from flue gases.
Although wet scrubbing technology had already been widely applied to the removal of SOx from ship exhaust gases, its effectiveness in removing NOx was still not fully developed [9,10]. This was because NO gas, which constitutes over 90% of NOx in exhaust emissions, has a low solubility in water [11]. To improve the removal efficiency of wet scrubbing systems, strong oxidants were typically added to initially oxidize the relatively insoluble NO into more soluble NO2, which was then absorbed and removed. Various strong oxidants were extensively studied to assess their effectiveness in NOx removal. These oxidants include H2O2, ClO2, KMnO4, NaOCl, NaClO2, and O3 [12,13,14].
However, most chemical oxidants are not only expensive but also generate a significant quantity of complex washing wastewater, which has the potential to cause secondary pollution to the marine environment. If the oxidants used in the wet scrubbing system were cost-effective and did not cause secondary pollution, then this method was considered a viable solution. Therefore, in recent years, due to the low cost, high efficiency, and environmental friendliness of (NH4)2S2O8 wet scrubbing technology, it attracted widespread attention [15]. Another advantage of (NH4)2S2O8 is that it is easy to store owing to its stable chemical properties. (NH4)2S2O8 has been used in municipal wastewater treatment, chemical bleaching, and organic waste gas removal, without producing harmful waste liquids [16,17,18,19,20]. Therefore, (NH4)2S2O8 was considered a potential alternative oxidant for NOx removal from waste gases.
Some studies [21,22,23] have proposed a gas-like phase oxidation method, which involves more thorough contact between gas-like phase oxidants and the oxidation target in the gas phase, enhancing the oxidation efficiency. Urea was a cheap alkaline substance with good reducibility, capable of completely reducing NOx in flue gas to N2 for harmless emission into the atmosphere, and also inhibiting the formation of nitrates in the scrubbing liquid. However, the effectiveness of NO removal may exhibit a comparatively low level in the alone reduction process [24,25,26]. Therefore, the oxidation-reduction method, which allows for the simultaneous use of inexpensive liquid oxidants and reductants, had low removal costs and minimal secondary pollution, making it a popular research direction for NOx removal. In addition, the gas–liquid impingement flow reactor has been proven to be an effective alternative to scrubber desulfurization towers due to its extremely high mass transfer efficiency and small footprint [27,28].
Based on the above analysis, we used a gas-phase oxidant ((NH4)2S2O8) to oxidize NO to NO2, and then reduced it with urea in a gas–liquid impingement flow reactor to remove NO gas and reduce nitrates in the washing wastewater. A thorough investigation was carried out to assess the feasibility of this technology, key process parameters, resulting products, and the NO removal mechanism within the system. The findings provide valuable theoretical groundwork and data to support the future implementation and advancement of the novel NO purification technology, along with the concurrent control of multiple gaseous pollutants.
2. Experimental
2.1. Materials
The simulated flue gas was prepared by mixing different gas species: N2 pure gas (99.999%), NO (9.8%NO with 90.2%N2 as balance gas). (NH4)2S2O8 (99% purity) and urea (99% purity) were used to prepare the NU solution from the Aladdin Industrial Corporation in China. Moreover, Ca(OH)2 with 96% purity and NaCl with 96% purity were provided to regulate the pH of the solutions by the Tianjin Kermel Reagent Factory, Tianjin, China.
2.2. Experimental Method
Figure 1 presents a schematic of the experimental system, which included the simulated flue gas unit, NU vaporization, impinging stream reactor, detection and data processing device, and exhaust purifier. The simulated ship exhaust was created by combining four gas components: NO (9.8% NO balanced with N2), CO2 (99.99%), O2 (99.99%), and N2 (99.99%) with a total flow rate of 1 L/min, and was controlled by mass flow controllers (18–21). At the beginning of the experiment, the main gas line A was closed by valve 24, and the bypass gas line was opened by valve 17. Once the airflow stabilized, the bypass gas line B was closed, and the main gas line A was opened, entering the exhaust gas treatment testing phase. To generate the NU vapor, (NH4)2S2O8 and urea solutions were continuously pumped into an ultrasonic atomizer (22) by a peristaltic pump (2) at a ratio of 200 µL/min and vaporized by the ultrasonic atomizer. The impinging stream reactor (14) had a diameter of 12.5 cm and a length of 60.0 cm and was made of glass. The vertical height from the Venturi tube to the bottom of the reactor was approximately 19.5 cm. The horizontal distance between the two nozzles (5–6) was about 6.5 cm. This reactor featured a feeding hole (16) that could be opened to replace the spent solution and add fresh solution. The temperature of the reactor was controlled in a constant-temperature water bath (9) and was measured using an electron probe thermometer (15). The flue gas analysis system consisted of an electric condenser (13) and a gas analyzer (12). The flue gas analyzer was used to measure the concentrations of multiple pollutants such as NO and NO2. The residual gas treatment device (1) was filled with (NH4)2S2O8 to absorb the unremoved mixed gas. For each experimental run, the gas flow rate was set at 1 L/min, and the duration of each run was 60 min. Each experiment was conducted three times, and the resulting data were averaged. The concentrations of NH4+, SO32−, SO42−, NO2−, and NO3− ions in the reaction system solution were detected by an ion chromatograph (Dionex ICS-1500,California, CA, America).
Figure 1.
Schematic representation of the experimental apparatus: (1) residual gas treatment unit; (2–4) pumps; (5–6) nozzles; (7–8) Venturi tube; (9) constant temperature device; (10) defogger; (11) computer; (12) gas analyzer; (13) electronic condenser; (14) impinging stream reactor; (15) thermometer; (16) feeding hole; (17) block valves; (18–21) mass flow controllers; (22) ultrasonic atomizer; (23) gas mixture heater; (24) block valves; (25) iron gauze; (26) oxidation reactor.
During the experiment, the mixed gas heater (23) was turned on to heat the related devices to the required temperature. Subsequently, N2 and NO were measured using a mass flow controller, and then diluted with N2 to the desired concentration, thereby forming the simulated flue gas. Thereafter, the NU vapor was continuously supplied into a homemade evaporation reactor (26) by an ultrasonic atomizer (22). Then, the simulated flue oxidation products were passed into the impinging stream reactor (14) for an absorption reaction. After the reaction, the solution was promptly collected for analysis of the reaction products. The residual pollutants in the exhaust gases were thoroughly cleaned using the exhaust purifier (1) to ensure a clean environment and protect the experimenter’s health. The NO removal efficiencies were then calculated using Equation (1).
where is the removal efficiency, and and were the inlet and outlet concentrations of NO.
3. Results and Discussion
3.1. Comparison of NO Removal Efficiency across Different Systems
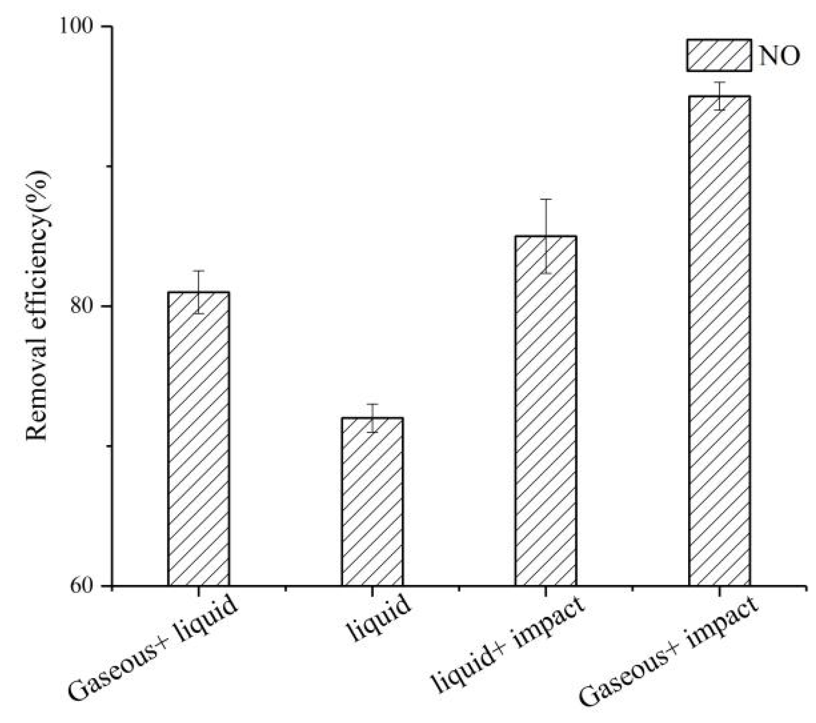
Comparisons of NO removal efficiencies across various units (e.g., gaseous-phase oxidation + liquid-phase absorption (gaseous + liquid), liquid-phase oxidation absorption (liquid), liquid-phase oxidation + impact absorption (liquid + impact), gaseous-phase oxidation + impact absorption (gaseous + impact)) are illustrated in Figure 2.
Figure 2.
Comparing results in different removal systems. Conditions: temperature, 343 K; urea concentration, 1.5 mol/L; NO concentration, 1000 ppm; pH, 7; impinging stream velocity, 15 m/s.
As shown in Figure 1, the gas-phase oxidation and liquid-phase absorption method (gaseous + liquid) was based on spray scrubbing. It added a gas-phase oxidation method at the flue gas inlet of the spray tower to enhance the oxidation effect by increasing the contact area between the oxidant and the exhaust gas, thereby improving the solubility of nitrogen oxides. The liquid-phase oxidation absorption method (liquid) used the denitrification treatment method described in reference [29], which employed the conventional spray scrubbing method to remove exhaust gas. The liquid-phase oxidation and impingement absorption method used the method described in reference [30], which improved the gas–liquid mass transfer effect through the impingement flow method. The gas-phase oxidation and impingement absorption method (gaseous + impact) was the method used in this paper.
As shown in Figure 2, the removal effect of the gas-phase oxidation combined with the liquid-phase absorption method was better than that of the liquid-phase oxidation absorption method. This might be because the gas-phase oxidation had a larger contact area and better oxidation effect. However, the removal effect of the gas-phase oxidation combined with the liquid-phase absorption method was worse than that of the impingement absorption method. The possible reason was that when the concentration of flue gas was high, the factor determining the removal effect changed from the degree of oxidation to the efficiency of gas–liquid mass transfer. Therefore, this paper combined gas-phase oxidation with the impingement absorption method. This method only required adding two nozzles to the desulfurization tower and introducing a gas-phase oxidant at the flue gas inlet, resulting in minor modifications to the desulfurization tower and facilitating the simultaneous removal of sulfur and nitrogen.
3.2. Effect of (NH4)2S2O8 Concentration
As shown in Figure 3a, with 0.00 mol/L (NH4)2S2O8, NO can be absorbed by urea and reduced to N2 via reaction (2). Because of the low solubility of NO, a small amount of NO dissolved in water was predominantly removed through reaction (2), so the concentrations of nitrites and nitrates were both 0 mg/L. As the concentration of (NH4)2S2O8 increased from 0 to 0.05 mol/L, the NO oxidation, primarily through reactions (3)–(7), enhanced the NO removal efficiency from 21.6% to 91.9%, as shown in Figure 3a. However, as the concentration of (NH4)2S2O8 increased further from 0.05 mol/L to 0.15 mol/L, the NO removal efficiency only slightly improved from 91.9% to 99.3%.
Figure 3.
The influences of (NH4)2S2O8 concentration on simultaneous removal process (a,b). Conditions: temperature, 343 K; urea concentration, 1.5 mol/L; (NH4)2S2O8 concentration, 0.05 mol/L; NO concentration, 1000 ppm; pH, 7; impinging stream velocity, 15 m/s.
First, (NH4)2S2O8 dissolved in aqueous solution to form peroxydisulphate (S2O82−) ions, which have an oxidation-reduction potential of up to +2.01 V, thereby facilitating the oxidation of NO [17]. Second, an increase in the concentration of (NH4)2S2O8 leads to the formation of more oxidative free radicals ( and ), which enhances the efficiency of NO removal. Thirdly, in the impact flow reactor, the cavitation effect caused by liquid impact also enhances the oxidation absorption effect of NO. At the same time, excessive (NH4)2S2O8 leads to an exacerbation of side reactions (3)–(7) [18], which is unfavorable for NO removal. Additionally, it increases the operational costs of the system. Therefore, in subsequent experiments, the concentration of (NH4)2S2O8 is set at 0.05 mol/L.
Compared to the effect of (NH4)2S2O8 concentration on NO removal efficiency in NU solution, the addition of urea improved the nitrate removal efficiency when the (NH4)2S2O8 concentration was below 0.1 mol/L. However, the nitrate removal efficiency slightly decreased as the concentration of (NH4)2S2O8 increased beyond 0.1 mol/L. The decrease occurred because the higher concentration of (NH4)2S2O8 enhanced reaction (3), thereby diminishing the effect of excessive urea on nitrate removal efficiency when the (NH4)2S2O8 concentration exceeded 0.1 mol/L.
As the persulfate concentration increased, the rising NH4+ levels in Figure 3b supported this analysis. The reduced reduction process and the lower nitrate removal efficiency led to an increase in nitrate concentration. Therefore, to minimize the adverse environmental impact of (NH4)2S2O8 while ensuring its oxidative performance, the concentration of (NH4)2S2O8 was chosen to be 0.05 mol/L in subsequent experiments.
3.3. Effect of Urea Concentration
Figure 4a illustrates the effect of urea concentration on nitric oxide removal (the experimental conditions: temperature, 343 K; (NH4)2S2O8 concentration, 0.05 mol/L; urea concentration, 1.5 mol/L; NO concentration, 1000 ppm; pH, 7; and impinging stream velocity, 15 m/s). As shown in Figure 4a, when the urea concentration was below 0.05 mol/L, the NO removal efficiency was relatively high, but the final nitrate concentration remained significant. This indicates that, at this point, the removal of NO is primarily based on the gas-phase oxidation of (NH4)2S2O8 and liquid-phase collision absorption. From Figure 4a, once urea concentration reaches 0.05 mol/L, there is a significant decrease in the final concentration of nitrate. This indicates that urea, through reduction reactions (2) and (8)–(14), can effectively reduce the formation of nitrate. Throughout the entire reaction process, urea undergoes both reduction reactions and hydrolysis reactions, and the changes in urea concentration do not exert a completely consistent enhancing effect on these two reactions. As shown in Figure 4a, when the urea concentration was in the range of 0.05–1.5 mol/L, the removal efficiency of NO continued to increase, and the concentration of nitrate ions consistently decreased. This indicates that within this concentration range, reduction reactions were the primary factor, and the consumption of urea due to hydrolysis reactions is not significant. However, within the concentration range of 1.5–2 mol/L of urea, there was still an improvement in the removal efficiency of NO, albeit with a slight increase in nitrate ion concentration. The reason for this may be that within this concentration range, hydrolysis reactions (8) and (9) were more pronounced than reduction reactions, mildly inhibiting the reduction processes (10)–(13). However, there is no significant inhibitory effect on reactions (2)–(14). Thus, when urea levels were between 1.5 and 2 mol/L, there was an enhanced efficiency in eliminating NO, but this is accompanied by a minor rise in the concentration of nitrate ions. With a urea concentration of 3.5 mol/L, the hydrolysis reaction became more intense, consuming more urea and inhibiting the reduction processes (10)–(13). As a result, the reduction reaction of nitrate by urea was weakened, leading to a certain degree of increase in the concentration of nitrate ions.
Figure 4.
The influences of urea concentration (a) and temperature (b) on the simultaneous removal process.
3.4. Effect of Temperature
In accordance with reference [31], it was found that the washing spray in the scrubber could reduce the flue gas temperature to below 333 K; therefore, the temperature range for the experiments in this paper was set between 293 K and 363 K. Figure 4b illustrates the impact of varying reaction temperatures on the efficiency of nitric oxide (NO) removal (the experimental condition: temperature, 343 K; (NH4)2S2O8 concentration, 0.05 mol/L; urea concentration, 1.5 mol/L; NO concentration, 1000 ppm; pH, 7; and impinging stream velocity, 15 m/s). As observed, when the activation temperature rises from 293 K to 363 K, there is an increase in the removal efficiency of NO from 63.2% to 93%. Three reasons explain this result. First, based on the Arrhenius equation, an increase in temperature leads to accelerated reaction rates between oxidants and nitric oxide (NO), thereby boosting the effectiveness of NO removal. In addition, persulfate can generate and by high-temperature activation according to the following Reactions (15) and (18). The yields of and also will increase with the increase in activation temperature.
Ref. [27] reveals that at an activation temperature of 293 K, the ESR spectrometer was nearly unable to detect signals of and . However, at activation temperatures of 323 K and 343 K, the ESR spectrometer distinctly captured the signals of and . As the activation temperature rises, the signal intensities of and (indicating increased concentrations of and ) also markedly increase [27]. The urea underwent hydrolysis in solutions according to Equation (8) [32,33]. While Equation (8) represented an exothermic reaction and the chemical conversion varied with changes in reaction temperature, the reaction rate (8) increased with rising reaction temperatures. The product of urea hydrolysis through Equation (8) was ammonium carbamate. In comparison to urea, the reaction of ammonium carbamate with HNO2 via Equation (8) was significantly more facile. This facilitated an enhancement in NO removal efficiency, correlating with the increased reaction rates of Equations (5)–(7) and (16) [33].
3.5. Effect of NU Solution Initial pH Value
As observed in Figure 5a, the pH value exerted a considerable influence on both the efficiency of NO removal and the concentration of nitrate (the experimental condition: temperature, 343 K; (NH4)2S2O8 concentration, 0.05 mol/L; urea concentration, 1.5 mol/L; NO concentration, 1000 ppm; pH, 7; and impinging stream velocity, 15 m/s). From Figure 4a, it can be seen that when the pH value increased from 4 to 9, the removal efficiency remained relatively stable. However, when the pH value increased from 9 to 12, the removal efficiency significantly decreased. In acidic environments, according to the mechanism of Equations (15) and (17), (NH4)2S2O8 dissolved in water would generate strongly oxidizing persulfate ions and persulfate radical ions. These two ions ensured the oxidative performance of the system [34]. When the pH value increases from 7 to 9, the sulfate radical anions decrease, but hydroxyl radicals are generated instead according to the mechanism of Equation (18) [35]. At the same time, urea could indirectly and directly reduce the nitrate concentration through reactions (1) and (9)–(13), and the ammonium carbamate (NH2COONH4) produced by urea via reaction (7), reacted with nitrite more easily than urea, could also reduce the nitrate concentration via reactions (11) and (12) [33,35]. Therefore, within the pH range of 4 to 9, the removal efficiency of NO remains relatively stable.
Figure 5.
The influences of NU solution initial pH value (a) and NO concentration (b) on the simultaneous removal process.
When the pH value was higher than 9, the results indicate that (NH4)2S2O8 is unstable under alkaline conditions, and will be needlessly consumed by decomposition (during the experiment, O2 was produced due to the self-decomposition of (NH4)2S2O8 under high solution pH and temperature, which were detected by the flue gas analyzer). In addition, under alkaline conditions, both and will be needlessly consumed by the following side reactions (18)–(21) with very high reaction rates [36,37,38].
Thus, a high solution pH will accelerate the self-consumption of (NH4)2S2O8, and , thereby reducing the removal efficiency of NO. Although SO2 and NO are acidic gases, urea solution is an alkaline reagent, and seawater is weakly alkaline. It was feasible to regulate and maintain the stability of the NU solution’s pH value through urea. Therefore, considering the impact of the marine environment and removal efficiency, the pH value was subsequently set to 7 in this study.
3.6. Effect of NO Concentration
The influence of NO inlet concentration on the absorption rate of NO was examined, and the outcomes were depicted in Figure 5b (The experimental condition: Temperature, 343 K; (NH4)2S2O8 concentration, 0.05 mol/L; urea concentration, 1.5 mol/L; NO concentration, 1000 ppm; pH, 7; and impinging stream velocity, 15 m/s). When the NO inlet concentration increased from 400 to 1200 ppm, the variation in NO removal efficiency was minimal. There were possibly two reasons for this. Firstly, when the NO inlet concentration was less than 1000 ppm, the gas-phase oxidation method ensured the efficient oxidation of NO and was insensitive to changes in NO inlet concentration. Secondly, at lower NO concentrations, the collision absorption method enhanced gas–liquid mass transfer efficiency, and the higher efficiency in gas–liquid mass transfer ensured the effective absorption of NO. However, with the NO inlet concentration increasing to exceed 1000 ppm, the efficiency of NO removal gradually decreased. The reason might have been that as the NO concentration continued to increase, the concentration of the oxidant (NH4)2S2O8 became relatively insufficient. This led to a weakening of the intensity of oxidation reactions (2) and (3), resulting in a decline in the absorption efficiency of NO. Due to the attenuation of NO oxidation through reactions (2) and (3), reactions (4) and (5) were correspondingly weakened, resulting in a reduction in the nitrate concentration.
3.7. Effects of Impinging Stream Velocity
Figure 6 illustrates the impact of impinging stream velocity on the NO removal efficiency (the experimental condition: Temperature, 343 K; (NH4)2S2O8 concentration, 0.05 mol/L; urea concentration, 1.5 mol/L; NO concentration, 1000 ppm; pH, 7; and impinging stream velocity, 15 m/s). The experimental results indicated that, with the increase in impacting velocity, the efficiency of NO removal initially increased and then decreased. The reason for these results was that, at relatively low impacting velocities, the intensity of collisions in the impinging stream reactor sharply increased with the rising impacting velocity. This led to a significant enhancement in gas–liquid mass transfer efficiency, thereby improving the effectiveness of NO removal. However, when the impacting velocity became too high, liquid coalescence occurred, reducing the mass transfer area, which resulted in decreased mass transfer efficiency and, consequently, a lower NO removal rate. Taking everything into consideration, the optimal collision velocity in this article was 15 m/s.
Figure 6.
The influences of impinging stream velocity on the simultaneous removal process.
3.8. Analysis of Products in Solution
Table 1 depicts the ion chromatography experiments conducted to analyze anion products in the process effluent. The results of product detection clearly demonstrate that the oxidation product of NO was predominantly nitrate, with virtually no nitrite present. Simultaneously, the ultimate product of persulfate was sulfate ions.
Table 1.
Products in solution.
In the absence of urea in the solution, the residual nitrate concentration was significantly high. However, upon the addition of urea to the solution, the residual nitrate concentration corresponding to the synchronous absorption process of persulfate/urea composite solution rapidly decreases. Due to the low concentration of nitrate ions, the primary product of the washing solution was ammonium sulfate, which can be utilized in fertilizer production and is environmentally benign, indicating that the proposed method was an eco-friendly waste gas treatment technique. From the above discussion, the waste gas treatment mechanism outlined in this paper can be summarized as follows: a certain temperature favors the activation of persulfate to generate highly oxidative sulfate radical and hydroxyl radical species. The addition of urea to the persulfate solution enabled efficient removal of nitrate ions. The removal mechanism of NO is detailed in Figure 7.
Figure 7.
Removal mechanism of NO.
From the above analysis, it is evident that the final products were mainly ammonium sulfate and a small amount of ammonium nitrate. Based on utilizing residual heat from marine diesel engine exhaust gases, aqueous (NH4)2SO4 and NH4NO3 could be further converted into reusable solid (NH4)2SO4 and NH4NO3 (agricultural fertilizers) through evaporation and crystallization. Therefore, this new process did not generate secondary pollution.
4. Conclusions
In order to remove NO and suppress the generation of nitrate in cleaning wastewater, this article proposed a method that combined gas-phase oxidation with liquid-phase impact absorption. A detailed study was conducted to evaluate the effects of various parameters, including (NH4)2S2O8 concentration, urea concentration, reaction temperature, initial pH, NO concentration, and impinging stream velocity, on NO removal in (NH4)2S2O8/urea solutions. The experimental results showed that:
- (a)
- The NO removal efficiency improved with higher reaction temperatures and increased liquid–gas ratios. However, when the impinging stream velocity and pH value became too high, it instead reduced the removal efficiency of nitric oxide.
- (b)
- The addition of urea to the solutions effectively reduced nitrate levels and significantly improved NO removal efficiency under certain conditions.
- (c)
- The NO removal efficiency improved with increasing (NH4)2S2O8 concentration, provided that the urea concentration was fixed and the (NH4)2S2O8 concentration was below 0.05 mol/L.
- (d)
- NO removal efficiencies were nearly 97% at 1000 ppm, and the nitrate concentration was 7.53 mg/L at 343 K with 0.05 mol/L (NH4)2S2O8, 1.5 mol/L urea, and 15 m/s impinging stream velocity, which were the optimal results in this work.
Accordingly, we conclude that the method of gas-phase oxidation and liquid-phase collision absorption using (NH4)2S2O8 and urea solution could not only effectively remove NO from ship engine exhaust gases, but also inhibit the generation of nitrate. Furthermore, selecting a more cost-effective and efficient gas-phase-like oxidation method will be the primary focus of future research efforts.
Author Contributions
Conceptualization, Y.W.; Methodology, Y.W.; Formal analysis, Y.W.; Writing—original draft, Y.W.; Writing—review & editing, W.M.; Supervision, Y.W. All authors have read and agreed to the published version of the manuscript.
Funding
This work was supported by program for scientific research start-up funds of Guangdong Ocean University(Yuanqing Wang), Zhanjiang Science and Technology Research and Development Program Project (2023B01002) and the National Natural Science Foundation of China (51479017).
Data Availability Statement
Data are contained within the article.
Conflicts of Interest
The authors declare no conflict of interest.
References
- Ağbulut, Ü.; Sarıdemir, S. Synergistic effects of hybrid nanoparticles along with conventional fuel on engine performance, combustion, and environmental characteristics. Energy 2024, 292, 130267. [Google Scholar] [CrossRef]
- Charbouillot, T.; Janet, D.C.; Schaal, P.; Beynier, I.; Boulat, J.-M.; Grandchamp, A.; Biesse, F. Methodology for the direct measurement of tire emission factors. Sci. Total Environ. 2023, 863, 160853. [Google Scholar] [CrossRef]
- Kawakami, K.; Watatani, K.; Yamasaki, H.; Kuroki, T.; Okubo, M. Performance evaluation of PM, NOx, and hydrocarbon removal in diesel engine exhaust by surface discharge-induced plasma. J. Hazard. Mater. 2024, 462, 132685. [Google Scholar] [CrossRef] [PubMed]
- Deng, J.; Wang, X.; Wei, Z.; Wang, L.; Wang, C.; Chen, Z. A review of NOx and SOx emission reduction technologies for marine diesel engines and the potential evaluation of liquefied natural gas fuelled vessels. Sci. Total Environ. 2021, 766, 144319. [Google Scholar] [CrossRef]
- Repka, S.; Erkkilä-Välimäki, A.; Jonson, J.E.; Posch, M.; Törrönen, J.; Jalkanen, J.P. Assessing the costs and environmental benefits of IMO regulations of ship-originated SOx and NOx emissions in the Baltic Sea. Ambio 2021, 50, 1718–1730. [Google Scholar] [CrossRef]
- Ni, P.; Wang, X.; Li, H. A review on regulations, current status, effects and reduction strategies of emissions for marine diesel engines. Fuel 2020, 279, 118477. [Google Scholar] [CrossRef]
- Masera, K.; Hossain, A.K. Advancement of biodiesel fuel quality and NOx emission control techniques. Renew. Sustain. Energy Rev. 2023, 178, 113235. [Google Scholar] [CrossRef]
- Di Natale, F.; Carotenuto, C.; Parisi, A.; Flagiello, D.; Lancia, A. Wet electrostatic scrubbing for flue gas treatment. Fuel 2022, 325, 124888. [Google Scholar] [CrossRef]
- Li, S.; Huang, W.; Xu, H.; Liu, K.; Wang, J.-N.; Sun, Y.; Qu, Z.; Yan, N. Enhanced simultaneous absorption of NOx and SO2 in oxidation-reduction-absorption process with a compounded system based on Na2SO3. J. Environ. Sci. 2022, 111, 1–10. [Google Scholar] [CrossRef]
- Enache, F.; Cursaru, D.; Danulescu, D. Integration of wet scrubbing system and SOx additive technologies to reduce the SO2 emissions generated in FCCU. Chem. Pap. 2022, 76, 6537–6549. [Google Scholar] [CrossRef]
- Premkumar, S.; Balaji, G. Study on efficient removal of NO from CI engine exhaust gas by wet scrubbing method using NaOH solution. In IOP Conference Series: Materials Science and Engineering; IOP Publishing: Bristol, UK, 2021; Volume 1130, p. 012077. [Google Scholar]
- Ren, Y.; Li, Y.; Wu, X.; Wang, J.; Zhang, G. S-scheme Sb2WO6/g-C3N4 photocatalysts with enhanced visible-light-induced photocatalytic NO oxidation performance. Chin. J. Catal. 2021, 42, 69–77. [Google Scholar] [CrossRef]
- Lin, F.; Wang, Z.; Zhang, Z.; He, Y.; Zhu, Y.; Shao, J.; Yuan, D.; Chen, G.; Cen, K. Flue gas treatment with ozone oxidation: An overview on NOx, organic pollutants, and mercury. Chem. Eng. J. 2020, 382, 123030. [Google Scholar] [CrossRef]
- Li, B.; Wu, H.; Liu, X.; Zhu, T.; Liu, F.; Zhao, X. Simultaneous removal of SO2 and NO using a novel method with red mud as absorbent combined with O3 oxidation. J. Hazard. Mater. 2020, 392, 122270. [Google Scholar] [CrossRef] [PubMed]
- Liu, B.; Xu, X.; Xue, Y.; Liu, L.; Yang, F. Simultaneous desulfurization and denitrification from flue gas by catalytic ozonation combined with NH3/(NH4) 2S2O8 absorption: Mechanisms and recovery of compound fertilizer. Sci. Total Environ. 2020, 706, 136027. [Google Scholar] [CrossRef] [PubMed]
- Jessieleena, A.A.; Priyanka, M.; Saravanakumar, M.P. Comparative study of Fenton, Fe2+/NaOCl and Fe2+/(NH4) 2S2O8 on tannery sludge dewaterability, degradability of organics and leachability of chromium. J. Hazard. Mater. 2021, 402, 123495. [Google Scholar] [CrossRef]
- Dinesh, V.; Nagarajan, R. (NH4) 2S2O8-Mediated Metal-Free Decarboxylative Formylation/Acylation of α-Oxo/Ketoacids and Its Application to the Synthesis of Indole Alkaloids. J. Org. Chem. 2022, 87, 10359–10365. [Google Scholar] [CrossRef]
- Liu, G.; Liu, Z.; Gu, J.; Yuan, H.; Wu, Y.; Chen, Y. A facile new process for the efficient conversion of spent LiFePO4 batteries via (NH4) 2S2O8-assisted mechanochemical activation coupled with water leaching. Chem. Eng. J. 2023, 471, 144265. [Google Scholar] [CrossRef]
- Miao, J.; Su, Q.; Li, H.; Chen, J.; Wang, J. The promotional effect of MnOx on (NH4) 2S2O8-modified activated coke for selective catalytic reduction of NO with NH3 at low temperature. J. Energy Inst. 2020, 93, 2017–2024. [Google Scholar] [CrossRef]
- Li, X.; Jiang, Y.; Wang, P.; Mo, Y.; Lai, W.-D.; Li, Z.-J.; Yu, R.-J.; Du, Y.-T.; Zhang, X.-R.; Chen, Y. Effect of the oxygen functional groups of activated carbon on its electrochemical performance for supercapacitors. New Carbon Mater. 2020, 35, 232–243. [Google Scholar] [CrossRef]
- Malekzadeh, M.; Swihart, M.T. Vapor-phase production of nanomaterials. Chem. Soc. Rev. 2021, 50, 7132–7249. [Google Scholar] [CrossRef]
- Stapelmann, K.; Myers, B.; Quesada, M.H.; Lenker, E.; Ranieri, P.J. Following O and OH in He/O2 and He/H2O gas mixtures—From the gas phase through the liquid phase to modifications on a biological sample. J. Phys. D Appl. Phys. 2021, 54, 434003. [Google Scholar] [CrossRef]
- Sun, S.; Zhang, J.; Sheng, C.; Zhong, H. Theoretical and experimental studies of NO removal in alkaline H2O2 system. Sep. Purif. Technol. 2024, 351, 127992. [Google Scholar] [CrossRef]
- Zhang, N.; Zhou, T.; Chen, M.; Feng, H.; Yuan, R.; Zhong, C.; Yan, W.; Tian, Y.; Wu, X.; Chu, W.; et al. High-purity pyrrole-type FeN 4 sites as a superior oxygen reduction electrocatalyst. Energy Environ. Sci. 2020, 13, 111–118. [Google Scholar] [CrossRef]
- Zhang, X.; Wang, Y.; Liu, C.; Yu, Y.; Lu, S.; Zhang, B. Recent advances in non-noble metal electrocatalysts for nitrate reduction. Chem. Eng. J. 2021, 403, 126269. [Google Scholar] [CrossRef]
- Long, J.; Chen, S.; Zhang, Y.; Guo, C.; Fu, X.; Deng, D.; Xiao, J. Direct electrochemical ammonia synthesis from nitric oxide. Angew. Chem. Int. Ed. 2020, 59, 9711–9718. [Google Scholar] [CrossRef] [PubMed]
- Wang, Y.; Wang, Y.; Liu, Y. Removal of gaseous hydrogen sulfide using ultraviolet/Oxone-induced oxidation scrubbing system. Chem. Eng. J. 2020, 393, 124740. [Google Scholar] [CrossRef]
- Zhang, J.; Zhang, J.; Dong, X.; Feng, Y. Flow regime transition and bubble behavior in gas-liquid two-phase impinging jet reactor. Chem. Eng. Res. Des. 2024, 201, 275–285. [Google Scholar] [CrossRef]
- Ping, H.; Zhou, S.; Zhou, J.; Zhang, Z. A novel combined system using Na2S2O8/urea to simultaneously remove SO2 and NO in marine diesel engine exhaust. J. Hazard. Mater. 2020, 399, 123069. [Google Scholar]
- Wang, Y.; Wang, Y.; Liu, Y. Fe2+/heat-coactivated PMS oxidation-absorption system for H2S removal from gas phase. Sep. Purif. Technol. 2022, 286, 120458. [Google Scholar] [CrossRef]
- Yang, J.; Tang, T.; Jiang, Y.; Karavalakis, G.; Durbin, T.D.; Miller, J.W.; Cocker, D.R.; Johnson, K.C. Controlling emissions from an ocean-going container vessel with a wet scrubber system. Fuel 2021, 304, 121323. [Google Scholar] [CrossRef]
- Li, D.; Xu, N.; Zhao, Y.; Zhou, C.; Zhang, L.; Wu, L.; Zhang, T. A reliable and precise protocol for urea quantification in photo/electrocatalysis. Small Methods 2022, 6, 2200561. [Google Scholar] [CrossRef] [PubMed]
- Xi, H.; Zhou, S.; Zhou, J. New experimental results of NO removal from simulated marine engine exhaust gases by Na2S2O8/urea solutions. Chem. Eng. J. 2019, 362, 12–20. [Google Scholar] [CrossRef]
- Xu, H.; Wang, T.; Koppala, S.; Hu, J.; Ma, S.; Miao, W.; Le, T.; Zhang, L. Improving the quality of ammonium sulfate produced from the flue gas desulfurization process by using ammonium persulfate. Sep. Purif. Technol. 2023, 308, 122879. [Google Scholar] [CrossRef]
- Zhou, J.; Ma, J.; Wang, Z. Experimental study on removal performance of SO2 and NOx in marine exhaust gas using seawater/urea peroxide solution and analysis of ions concentration change. Fuel Process. Technol. 2022, 227, 107133. [Google Scholar] [CrossRef]
- Adewuyi, Y.G.; Sakyi, N.Y. Simultaneous absorption and oxidation of nitric oxide and sulfur dioxide by aqueous solutions of sodium persulfate activated by temperature. Ind. Eng. Chem. Res. 2013, 52, 11702–11711. [Google Scholar] [CrossRef]
- Liu, T.; Abbatt, J.P.D. Oxidation of sulfur dioxide by nitrogen dioxide accelerated at the interface of deliquesced aerosol particles. Nature Chemistry 2021, 13, 1173–1177. [Google Scholar] [CrossRef]
- Xie, R.; Ma, L.; Li, Z.; Qu, Z.; Yan, N.; Li, J. Review of sulfur promotion effects on metal oxide catalysts for NOx emission control. ACS Catal. 2021, 11, 13119–13139. [Google Scholar] [CrossRef]
Disclaimer/Publisher’s Note: The statements, opinions and data contained in all publications are solely those of the individual author(s) and contributor(s) and not of MDPI and/or the editor(s). MDPI and/or the editor(s) disclaim responsibility for any injury to people or property resulting from any ideas, methods, instructions or products referred to in the content. |
© 2024 by the authors. Licensee MDPI, Basel, Switzerland. This article is an open access article distributed under the terms and conditions of the Creative Commons Attribution (CC BY) license (https://creativecommons.org/licenses/by/4.0/).






