Data-Based Modeling, Multi-Objective Optimization, and Multi-Criterion Decision-Making to Maximize the Electro-Oxidation of Metoprolol over Boron-Doped Diamond Electrodes in a Flow-By Reactor
Abstract
1. Introduction
| Process Type | Reaction Conditions | Results | Ref. | |
|---|---|---|---|---|
| MET Removal (%) | TOC Removal (%) | |||
| UV | [MET]0 = 50 mg/L; H2O2 = Stoich.; pH0 5.6; λ = 254 nm; Vtreated = 0.1 L; Catalyst: Cu-TiO2; t = 100 min | 92 | 25 | [7] |
| Ozonation (O3) | [MET]0 = 200 µg/L; [O3] = 380 mg/L h; Vtreated = 0.8 L; pH0 11; t = 120 min | 63.4 | --- | [27] |
| Adsorption and Photocatalysis | [MET]0 = 50 mg/L; pH0 9; λ = 250–400 nm; Vtreated = 0.025 L; 100 pm; Catalyst: TiO2; t = 300 min | 100 | 63 | [42] |
| Thermal plasma and UV/H2O2 | [MET]0 = 5 µg/L; Plasma 150 W; 1 MHz; t = 120 min; Vtreated = 0.1 L; T = 35 °C | 64.7 | --- | [29] |
| Fenton | [MET]0 = 148.5 mg/L; Vtreated = 0.1 L; T = 35 °C; pH0 3; [Fe3+]0 = 0.5 mM; t = 360 min | --- | 80 | [43] |
2. Materials and Methods
2.1. Reagents and Aqueous MET Solution
2.2. Voltametric Experiment
2.3. Electrochemical Plant
2.4. Experimental Design
2.5. Chemical Analysis
2.6. Calculations
2.7. Data-Based Modeling and Optimization Procedure
2.8. Phytotoxicity Test
2.9. HPLC and Mass Spectrometry
3. Results and Discussion
3.1. Voltammetry Study
3.2. Data-Based Model Fitting
3.3. ANOVA Test
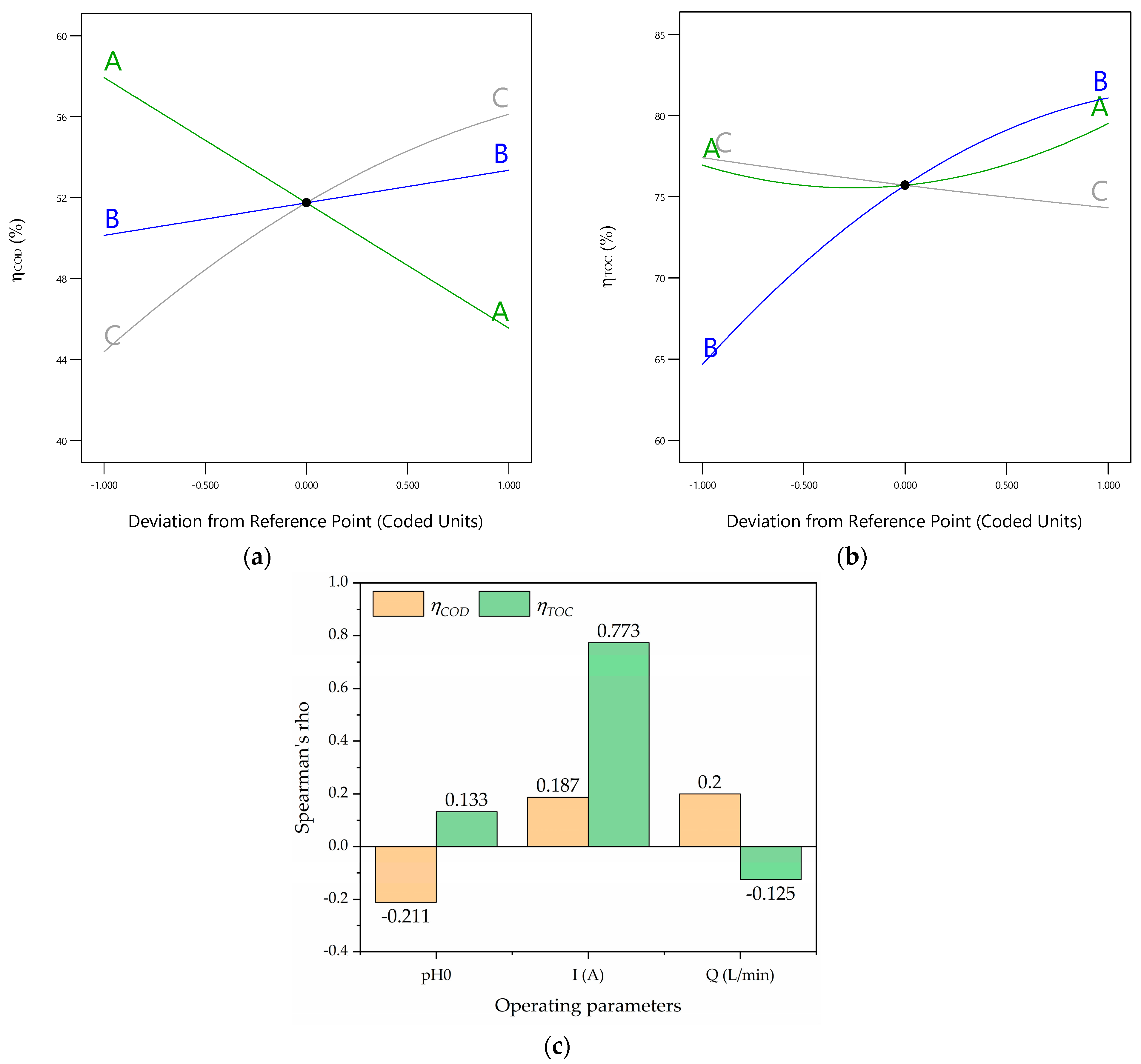
3.4. Influences of the Operational Parameters
3.5. Optimization of the Electro-Oxidation of MET
3.6. Data-Based Model Validation
3.7. The Total Operating Cost of the Electro-Oxidation of MET
3.8. Kinetic Models
3.9. Byproduct Identification and Reaction Pathway
3.10. Comparison of Results with Those in the Literature
3.11. Toxicity Test
4. Conclusions
Supplementary Materials
Author Contributions
Funding
Data Availability Statement
Acknowledgments
Conflicts of Interest
References
- United Nations Sustainable Development Goals (SDG 6)|United Nations Western Europe. Available online: https://unric.org/en/sdg-6/ (accessed on 22 January 2024).
- Ojo, B.O.; Arotiba, O.A.; Mabuba, N. Evaluation of FTO-BaTiO3/NiTiO3 Electrode towards Sonoelectrochemical Degradation of Emerging Pharmaceutical Contaminants in Water. Colloids Surf. A Physicochem. Eng. Asp. 2022, 647, 129201. [Google Scholar] [CrossRef]
- Arman, N.Z.; Salmiati, S.; Aris, A.; Salim, M.R.; Nazifa, T.H.; Muhamad, M.S.; Marpongahtun, M.; Ayed, L.B.; Golomazou, E.; Karanis, P.; et al. A Review on Emerging Pollutants in the Water Environment: Existences, Health Effects and Treatment Processes. Water 2021, 13, 3258. [Google Scholar] [CrossRef]
- Goswami, R.K.; Agrawal, K.; Verma, P. An Exploration of Natural Synergy Using Microalgae for the Remediation of Pharmaceuticals and Xenobiotics in Wastewater. Algal Res. 2022, 64, 102703. [Google Scholar] [CrossRef]
- Roslan, N.N.; Lau, H.L.H.; Suhaimi, N.A.A.; Shahri, N.N.M.; Verinda, S.B.; Nur, M.; Lim, J.-W.; Usman, A. Recent Advances in Advanced Oxidation Processes for Degrading Pharmaceuticals in Wastewater—A Review. Catalysts 2024, 14, 189. [Google Scholar] [CrossRef]
- Brião, G.d.V.; da Costa, T.B.; Antonelli, R.; Costa, J.M. Electrochemical Processes for the Treatment of Contaminant-Rich Wastewater: A Comprehensive Review. Chemosphere 2024, 355, 141884. [Google Scholar] [CrossRef]
- Avilés-García, O.; Espino-Valencia, J.; Mendoza-Zepeda, A.; Donkor, K.; Brewer, S.; Romero, R.; Natividad, R. Removal of Metoprolol by Means of Photo-Oxidation Processes. Catal. Today 2022, 397–399, 562–573. [Google Scholar] [CrossRef]
- World Health Organization. Global Report on Hypertension: The Race against a Silent Killer Download; World Health Organization: Geneva, Switzerland, 2023; ISBN 978-92-4-008106-2. [Google Scholar]
- Secretaria de Salud de México Comunicado de La Secretaria de Salud. Available online: https://www.gob.mx/salud/articulos/en-mexico-mas-de-30-millones-de-personas-padecen-hipertension-arterial-secretaria-de-salud#:~:text=Datos%20del%20Instituto%20Nacional%20de,cerca%20de%2050%20mil%20fallecimientos (accessed on 5 August 2024).
- Vieno, N.M.; Tuhkanen, T.; Kronberg, L. Analysis of Neutral and Basic Pharmaceuticals in Sewage Treatment Plants and in Recipient Rivers Using Solid Phase Extraction and Liquid Chromatography–Tandem Mass Spectrometry Detection. J. Chromatogr. A 2006, 1134, 101–111. [Google Scholar] [CrossRef]
- Tran, N.H.; Reinhard, M.; Gin, K.Y.-H. Occurrence and Fate of Emerging Contaminants in Municipal Wastewater Treatment Plants from Different Geographical Regions—A Review. Water Res. 2018, 133, 182–207. [Google Scholar] [CrossRef]
- Vieno, N.; Tuhkanen, T.; Kronberg, L. Elimination of Pharmaceuticals in Sewage Treatment Plants in Finland. Water Res. 2007, 41, 1001–1012. [Google Scholar] [CrossRef]
- Zhou, X.; Yang, J.; Guo, J.; Xiong, W.; Leung, M.K.H. Advances and Prospects in Electrocatalytic Processes for Wastewater Treatment. Processes 2024, 12, 1615. [Google Scholar] [CrossRef]
- Lu, J.; Zhang, P.; Li, J. Electrocoagulation Technology for Water Purification: An Update Review on Reactor Design and Some Newly Concerned Pollutants Removal. J. Environ. Manag. 2021, 296, 113259. [Google Scholar] [CrossRef] [PubMed]
- Jiang, L.; Li, Y.; Chen, Y.; Yao, B.; Chen, X.; Yu, Y.; Yang, J.; Zhou, Y. Pharmaceuticals and Personal Care Products (PPCPs) in the Aquatic Environment: Biotoxicity, Determination and Electrochemical Treatment. J. Clean. Prod. 2023, 388, 135923. [Google Scholar] [CrossRef]
- Martínez-Huitle, C.A.; Rodrigo, M.A.; Sirés, I.; Scialdone, O. A Critical Review on Latest Innovations and Future Challenges of Electrochemical Technology for the Abatement of Organics in Water. Appl. Catal. B 2023, 328, 122430. [Google Scholar] [CrossRef]
- Lips, S.; Waldvogel, S.R. Use of Boron-Doped Diamond Electrodes in Electro-Organic Synthesis. ChemElectroChem 2019, 6, 1649–1660. [Google Scholar] [CrossRef]
- Espinoza-Montero, P.J.; Alulema-Pullupaxi, P.; Frontana-Uribe, B.A.; Barrera-Diaz, C.E. Electrochemical Production of Hydrogen Peroxide on Boron-Doped Diamond (BDD) Electrode. Curr. Opin. Solid. State Mater. Sci. 2022, 26, 100988. [Google Scholar] [CrossRef]
- Legrini, O.; Oliveros, E.; Braun, A.M. Photochemical Processes for Water Treatment. Chem. Rev. 1993, 93, 671–698. [Google Scholar] [CrossRef]
- Nidheesh, P.V.; Divyapriya, G.; Oturan, N.; Trellu, C.; Oturan, M.A. Environmental Applications of Boron-Doped Diamond Electrodes: 1. Applications in Water and Wastewater Treatment. ChemElectroChem 2019, 6, 2124–2142. [Google Scholar] [CrossRef]
- Queiroz, J.; Moura, D.; Santos, E.; Frontana-Uribe, B.; Martínez-Huitle, C. Electrochemical Incineration of Short-Chain Carboxylic Acids with Nb-Supported Boron Doped Diamond Anode: Supporting Electrolyte into the Electrogenerated Oxidant Species (Hydroxyl Radicals, Hydrogen Peroxide and Persulfate). Quim. Nova 2020, 43, 253–260. [Google Scholar] [CrossRef]
- Rodríguez-Peña, M.; Natividad, R.; Barrera-Díaz, C.E.; Balderas Hernández, P.; Alanis Ramírez, C.I.; Roa-Morales, G. Current Perspective of Advanced Electrochemical Oxidation Processes in Wastewater Treatment and Life Cycle Analysis. Int. J. Electrochem. Sci. 2024, 19, 100589. [Google Scholar] [CrossRef]
- Shin, Y.U.; Yoo, H.Y.; Ahn, Y.Y.; Kim, M.S.; Lee, K.; Yu, S.; Lee, C.; Cho, K.; Kim, H.; Lee, J. Electrochemical Oxidation of Organics in Sulfate Solutions on Boron-Doped Diamond Electrode: Multiple Pathways for Sulfate Radical Generation. Appl. Catal. B 2019, 254, 156–165. [Google Scholar] [CrossRef]
- Kovács, K.; Tóth, T.; Wojnárovits, L. Evaluation of Advanced Oxidation Processes for β -Blockers Degradation: A Review. Water Sci. Technol. 2022, 85, 685–705. [Google Scholar] [CrossRef] [PubMed]
- Singh, S.; Patidar, R.; Srivastava, V.C.; Lo, S.L.; Nidheesh, P.V. A Critical Review on the Degradation Mechanism of Textile Effluent during Electrocatalytic Oxidation: Removal Optimization and Degradation Pathways. J. Environ. Chem. Eng. 2023, 11, 111277. [Google Scholar] [CrossRef]
- de Jesus, J.M.S.; Argolo, A.d.S.; Tominaga, F.K.; Bila, D.M.; Borrely, S.I.; Teixeira, A.C.S.C. BDD-Persulfate-Based Anodic Oxidation Process for Progestin Degradation: Optimization of Conditions, Eco-Compatibility Tests, and Cost Evaluation. J. Environ. Chem. Eng. 2024, 12, 113095. [Google Scholar] [CrossRef]
- Wilde, M.L.; Montipó, S.; Martins, A.F. Degradation of β-Blockers in Hospital Wastewater by Means of Ozonation and Fe2+/Ozonation. Water Res. 2014, 48, 280–295. [Google Scholar] [CrossRef] [PubMed]
- Benner, J.; Ternes, T.A. Ozonation of Metoprolol: Elucidation of Oxidation Pathways and Major Oxidation Products. Environ. Sci. Technol. 2009, 43, 5472–5480. [Google Scholar] [CrossRef]
- Graumans, M.H.F.; Hoeben, W.F.L.M.; van Dael, M.F.P.; Anzion, R.B.M.; Russel, F.G.M.; Scheepers, P.T.J. Thermal Plasma Activation and UV/H2O2 Oxidative Degradation of Pharmaceutical Residues. Environ. Res. 2021, 195, 110884. [Google Scholar] [CrossRef]
- Zhan, L.; Li, W.; Liu, L.; Han, T.; Li, M.; Qiang, Z. Degradation of Micropolluants in Flow-through VUV/UV/H2O2 Reactors: Effects of H2O2 Dosage and Reactor Internal Diameter. J. Environ. Sci. 2021, 110, 28–37. [Google Scholar] [CrossRef]
- Yang, X.; Zou, R.; Tang, K.; Andersen, H.R.; Angelidaki, I.; Zhang, Y. Degradation of Metoprolol from Wastewater in a Bio-Electro-Fenton System. Sci. Total Environ. 2021, 771, 145385. [Google Scholar] [CrossRef]
- Leyva, E.; Moctezuma, E.; López, M.; Baines, K.M.; Zermeño, B. Photocatalytic Degradation of β-Blockers in TiO2 with Metoprolol as Model Compound. Intermediates and Total Reaction Mechanism. Catal. Today 2019, 323, 14–25. [Google Scholar] [CrossRef]
- Al-Qaim, F.F.; Mussa, Z.H.; Yuzir, A.; Shameli, K. Electrochemical Degradation of Metoprolol Using Graphite-PVC Composite as Anode: Elucidation and Characterization of New by-Products Using LC-TOF/MS. J. Mex. Chem. Soc. 2020, 64, 165–180. [Google Scholar] [CrossRef]
- de Vidales, M.J.M.; Sáez, C.; Pérez, J.F.; Cotillas, S.; Llanos, J.; Cañizares, P.; Rodrigo, M.A. Irradiation-Assisted Electrochemical Processes for the Removal of Persistent Organic Pollutants from Wastewater. J. Appl. Electrochem. 2015, 45, 799–808. [Google Scholar] [CrossRef]
- Isarain-Chávez, E.; Rodríguez, R.M.; Cabot, P.L.; Centellas, F.; Arias, C.; Garrido, J.A.; Brillas, E. Degradation of Pharmaceutical Beta-Blockers by Electrochemical Advanced Oxidation Processes Using a Flow Plant with a Solar Compound Parabolic Collector. Water Res. 2011, 45, 4119–4130. [Google Scholar] [CrossRef]
- Martín de Vidales, M.J.; Sáez, C.; Cañizares, P.; Rodrigo, M.A. Metoprolol Abatement from Wastewaters by Electrochemical Oxidation with Boron Doped Diamond Anodes. J. Chem. Technol. Biotechnol. 2012, 87, 225–231. [Google Scholar] [CrossRef]
- Cornejo, O.M.; Murrieta, M.F.; Aguilar, Z.G.; Rodríguez, J.F.; Márquez, A.A.; León, M.I.; Nava, J.L. Recent Advances in Electrochemical Flow Reactors Used in Advanced Oxidation Processes: A Critical Review. Chem. Eng. J. 2024, 496, 153935. [Google Scholar] [CrossRef]
- Regalado-Méndez, A.; Zavaleta-Avendaño, J.; Peralta-Reyes, E.; Natividad, R. Convex Optimization for Maximizing the Degradation Efficiency of Chloroquine in a Flow-by Electrochemical Reactor. J. Solid. State Electrochem. 2023, 27, 3163–3176. [Google Scholar] [CrossRef] [PubMed]
- Peralta-Reyes, E.; Regalado-Méndez, A.; Chimeo-Sánchez, A.A.; Robles-Gómez, E.E.; Natividad, R. Electrochemical Degradation of Ciprofloxacin through a DoE-Driven Optimization in a Filter-Press Type Reactor under Batch Recirculation Mode. Water Sci. Technol. 2023, 88, 1294–1316. [Google Scholar] [CrossRef]
- Regalado-Méndez, A.; Ruiz, M.; Hernández-Servín, J.A.; Natividad, R.; Romero, R.; Cordero, M.E.; Estrada-Vázquez, C.; Peralta-Reyes, E. Electrochemical Mineralization of Ibuprofen on BDD Electrodes in an Electrochemical Flow Reactor: Numerical Optimization Approach. Processes 2020, 8, 1666. [Google Scholar] [CrossRef]
- Shamseali, F.; Mohammadi, F.; Pourzamani, H.; Janati, M. Electrochemical Denitrification of Synthetic Aqueous Solution and Actual Contaminated Well Water: RSM Modeling, Kinetic Study, Monte Carlo Optimization, and Sensitivity Analysis. Int. J. Chem. Eng. 2022, 2022, 1374993. [Google Scholar] [CrossRef]
- Romero, V.; Marco, P.; Giménez, J.; Esplugas, S. Adsorption and Photocatalytic Decomposition of the β-Blocker Metoprolol in Aqueous Titanium Dioxide Suspensions: Kinetics, Intermediates, and Degradation Pathways. Int. J. Photoenergy 2013, 2013, 138918. [Google Scholar] [CrossRef]
- Isarain-Chávez, E.; Garrido, J.A.; Rodríguez, R.M.; Centellas, F.; Arias, C.; Cabot, P.L.; Brillas, E. Mineralization of Metoprolol by Electro-Fenton and Photoelectro-Fenton Processes. J. Phys. Chem. A 2011, 115, 1234–1242. [Google Scholar] [CrossRef]
- Sigma Aldrich, Inc. Safety Data Sheet of Metoprolol Tartrate Salt. Available online: https://www.sigmaaldrich.com/deepweb/assets/sigmaaldrich/product/documents/384/996/m5391pis.pdf (accessed on 17 June 2024).
- Gruetter, C.A. Metoprolol. In xPharm: The Comprehensive Pharmacology Reference; Enna, S.J., Bylund, D.B., Eds.; Elsevier: New York, NY, USA, 2007; pp. 1–7. ISBN 978-0-08-055232-3. [Google Scholar]
- Regalado-Méndez, A.; Mentado-Morales, J.; Vázquez, C.E.; Martínez-Villa, G.; Cordero, M.E.; Zárate, L.G.; Skogestad, S.; Peralta-Reyes, E. Modeling and Hydraulic Characterization of a Filter-Press-Type Electrochemical Reactor by Using Residence Time Distribution Analysis and Hydraulic Indices. Int. J. Chem. React. Eng. 2018, 16, 20170210. [Google Scholar] [CrossRef]
- Baird, R.W.; Eaton, A.D.; Rice, E.W. Standard Methods for the Examination of Water and Wastewater, 23rd ed.; American Public Health Association: Washington, DC, USA, 2017; ISBN 9780875532875. [Google Scholar]
- Mechati, S.; Zamouche, M.; Tahraoui, H.; Filali, O.; Mazouz, S.; Nour, I.; Bouledjemer, E.; Toumi, S.; Triki, Z.; Amrane, A.; et al. Modeling and Optimization of Hybrid Fenton and Ultrasound Process for Crystal Violet Degradation Using AI Techniques. Water 2023, 15, 4274. [Google Scholar] [CrossRef]
- Karunasingha, D.S.K. Root Mean Square Error or Mean Absolute Error? Use Their Ratio as Well. Inf. Sci. 2022, 585, 609–629. [Google Scholar] [CrossRef]
- Viana, D.F.; Salazar-Banda, G.R.; Leite, M.S. Electrochemical Degradation of Reactive Black 5 with Surface Response and Artificial Neural Networks Optimization Models. Sep. Sci. Technol. 2018, 53, 2647–2661. [Google Scholar] [CrossRef]
- Amdoun, R.; Khelifi, L.; Khelifi-Slaoui, M.; Amroune, S.; Asch, M.; Assaf-Ducrocq, C.; Gontier, E. The Desirability Optimization Methodology; a Tool to Predict Two Antagonist Responses in Biotechnological Systems: Case of Biomass Growth and Hyoscyamine Content in Elicited Datura Starmonium Hairy Roots. Iran. J. Biotechnol. 2018, 16, e1339. [Google Scholar] [CrossRef]
- Ganesan, K.; Xu, B. A Critical Review on Phytochemical Profile and Health Promoting Effects of Mung Bean (Vigna Radiata). Food Sci. Human Wellness 2018, 7, 11–33. [Google Scholar] [CrossRef]
- Asath Murphy, M.S.; Jovitha Jane, D.; Sahaya Leenus, S.; Robin, R.S.; Palanichamy, J.; Kalivel, P. Electrochemical Treatment of Textile Wastewater Using Copper Electrodes. J. Environ. Sci. Health Part A 2023, 58, 971–980. [Google Scholar] [CrossRef]
- Ganiyu, S.O.; Martínez-Huitle, C.A. Nature, Mechanisms and Reactivity of Electrogenerated Reactive Species at Thin-Film Boron-Doped Diamond (BDD) Electrodes During Electrochemical Wastewater Treatment. ChemElectroChem 2019, 6, 2379–2392. [Google Scholar] [CrossRef]
- Mora, A.S.; McBeath, S.T.; Cid, C.A.; Hoffmann, M.R.; Graham, N.J.D. Diamond Electrode Facilitated Electrosynthesis of Water and Wastewater Treatment Oxidants. Curr. Opin. Electrochem. 2022, 32, 100899. [Google Scholar] [CrossRef]
- Farhat, A.; Keller, J.; Tait, S.; Radjenovic, J. Removal of Persistent Organic Contaminants by Electrochemically Activated Sulfate. Environ. Sci. Technol. 2015, 49, 14326–14333. [Google Scholar] [CrossRef]
- Araújo, K.C.; dos Santos, E.V.; Nidheesh, P.V.; Martínez-Huitle, C.A. Fundamentals and Advances on the Mechanisms of Electrochemical Generation of Persulfate and Sulfate Radicals in Aqueous Medium. Curr. Opin. Chem. Eng. 2022, 38, 100870. [Google Scholar] [CrossRef]
- Divyapriya, G.; Nidheesh, P.V. Electrochemically Generated Sulfate Radicals by Boron Doped Diamond and Its Environmental Applications. Curr. Opin. Solid. State Mater. Sci. 2021, 25, 100921. [Google Scholar] [CrossRef]
- Ganiyu, S.O.; Martínez-Huitle, C.A.; Oturan, M.A. Electrochemical Advanced Oxidation Processes for Wastewater Treatment: Advances in Formation and Detection of Reactive Species and Mechanisms. Curr. Opin. Electrochem. 2021, 27, 100678. [Google Scholar] [CrossRef]
- Clematis, D.; Panizza, M. Application of Boron-Doped Diamond Electrodes for Electrochemical Oxidation of Real Wastewaters. Curr. Opin. Electrochem. 2021, 30, 100844. [Google Scholar] [CrossRef]
- Montgomery, D.C. Design and Analysis of Experiments, 10th ed.; Wiley: New York, NY, USA, 2019; ISBN 978-1-119-49244-3. [Google Scholar]
- Estrada-Vázquez, C.; Salinas-Pacheco, A.; Peralta-Reyes, E.; Poggi-Varaldo, H.M.; Regalado-Méndez, A. Parametric Optimization of Domestic Wastewater Treatment in an Activated Sludge Sequencing Batch Reactor Using Response Surface Methodology. J. Environ. Sci. Health Part A 2019, 54, 1197–1205. [Google Scholar] [CrossRef]
- Mason, R.L.; Gunst, R.F.; Hess, J.L. Statistical Design and Analysis of Experiments with Applications to Engineering and Science, 2nd ed.; John Wiley & Sons Inc.: Hoboken, NJ, USA, 2023; ISBN 0-471-37216-1. [Google Scholar]
- Moriasi, D.N.; Arnold, J.G.; Van Liew, M.W.; Bingner, R.L.; Harmel, R.D.; Veith, T.L. Veith Model Evaluation Guidelines for Systematic Quantification of Accuracy in Watershed Simulations. Trans. ASABE 2007, 50, 885–900. [Google Scholar] [CrossRef]
- Salmerón, R.; García, J.; García, C.B.; Martín, M.M.L. A Note about the Corrected VIF. Stat. Pap. 2017, 58, 929–945. [Google Scholar] [CrossRef]
- Zhou, R.; Zhang, M.; Li, J.; Zhao, W. Optimization of Preparation Conditions for Biochar Derived from Water Hyacinth by Using Response Surface Methodology (RSM) and Its Application in Pb2+ Removal. J. Environ. Chem. Eng. 2020, 8, 104198. [Google Scholar] [CrossRef]
- Marinković, V. Some Applications of a Novel Desirability Function in Simultaneous Optimization of Multiple Responses. FME Trans. 2021, 49, 534–548. [Google Scholar] [CrossRef]
- Kapałka, A.; Fóti, G.; Comninellis, C. Kinetic Modelling of the Electrochemical Mineralization of Organic Pollutants for Wastewater Treatment. J. Appl. Electrochem. 2007, 38, 7–16. [Google Scholar] [CrossRef]
- Liu, G.; Zhang, C.; Zhou, Y.; Yan, Q. Insight into the Overpotential and Thermodynamic Mechanism of Hydroxyl Radical Formation on Diamond Anode. Appl. Surf. Sci. 2021, 565, 150559. [Google Scholar] [CrossRef]
- Sirés, I.; Brillas, E.; Cerisola, G.; Panizza, M. Comparative Depollution of Mecoprop Aqueous Solutions by Electrochemical Incineration Using BDD and PbO2 as High Oxidation Power Anodes. J. Electroanal. Chem. 2008, 613, 151–159. [Google Scholar] [CrossRef]
- Sirés, I.; Oturan, N.; Oturan, M.A. Electrochemical Degradation of β-Blockers. Studies on Single and Multicomponent Synthetic Aqueous Solutions. Water Res. 2010, 44, 3109–3120. [Google Scholar] [CrossRef] [PubMed]
- Chang, C.-F.; Chen, T.-Y.; Chin, C.-J.M.; Kuo, Y.-T. Enhanced Electrochemical Degradation of Ibuprofen in Aqueous Solution by PtRu Alloy Catalyst. Chemosphere 2017, 175, 76–84. [Google Scholar] [CrossRef] [PubMed]
- Peralta-Reyes, E.; Natividad, R.; Castellanos, M.; Mentado-Morales, J.; Cordero, M.E.; Amado-Piña, D.; Regalado-Méndez, A. Electro-Oxidation of 2-Chlorophenol with BDD Electrodes in a Continuous Flow Electrochemical Reactor. J. Flow Chem. 2020, 10, 437–447. [Google Scholar] [CrossRef]
- Nouri-Nigjeh, E.; Permentier, H.P.; Bischoff, R.; Bruins, A.P. Lidocaine Oxidation by Electrogenerated Reactive Oxygen Species in the Light of Oxidative Drug Metabolism. Anal. Chem. 2010, 82, 7625–7633. [Google Scholar] [CrossRef]
- Garedew, M.; Lam, C.H.; Petitjean, L.; Huang, S.; Song, B.; Lin, F.; Jackson, J.E.; Saffron, C.M.; Anastas, P.T. Electrochemical Upgrading of Depolymerized Lignin: A Review of Model Compound Studies. Green Chem. 2021, 23, 2868–2899. [Google Scholar] [CrossRef]
- Rafiee, M.; Alherech, M.; Karlen, S.D.; Stahl, S.S. Electrochemical Aminoxyl-Mediated Oxidation of Primary Alcohols in Lignin to Carboxylic Acids: Polymer Modification and Depolymerization. J. Am. Chem. Soc. 2019, 141, 15266–15276. [Google Scholar] [CrossRef]
- Radjenovic, J.; Escher, B.I.; Rabaey, K. Electrochemical Degradation of the β-Blocker Metoprolol by Ti/Ru0.7Ir0.3O2 and Ti/SnO2-Sb Electrodes. Water Res. 2011, 45, 3205–3214. [Google Scholar] [CrossRef]













| Chemical Structure of MET | Aqueous Solution Characteristics | ||||||
|---|---|---|---|---|---|---|---|
| CMET (mg/L) | pH | Conductivity (µS/cm) | TOC (mg/L) | COD (mg/L) | |||
| Theo. | Exp. | Theo. | Exp. | ||||
![]() | 50 | 7 | 14,180 | 29.81 | 31.53 a | 98.13 | 96.00 a |
| Physicochemical properties | |||||||
| Property | Value | ||||||
| Molar weight (g/mol) | 684.81 | ||||||
| Melting point (°C) | 120 [44] | ||||||
| Boling point (°C) | 695.37 [44] | ||||||
| Water solubility (mg/mL) at 25 °C | >1000 [44] | ||||||
| pKa | 9.7 [45] | ||||||
| λ (nm) | 223 [42] | ||||||
| Chemical formula: (C15H25NO3)2●C4H6O6 | CAS No.: 56392-17-7 | ||||||
| K Design Parameters | Design Parameter Levels | ||||
|---|---|---|---|---|---|
| −α | −1 | 0 | +1 | +α | |
| Initial pH | 3.98 | 5.00 | 6.50 | 8.00 | 9.02 |
| Current intensity (A) | 1.99 | 2.50 | 3.25 | 4.00 | 4.51 |
| Volumetric flow rate (L/min) | 0.49 | 0.80 | 1.25 | 1.70 | 2.00 |
| Response | Objective | Limits | Unit | Importance | |
|---|---|---|---|---|---|
| Min. | Max. | ||||
| pH0 | Is in range | 5 | 8 | Dimensionless | +++ |
| I | Is in range | 2.5 | 4.0 | A | +++ |
| Q | Is in range | 0.80 | 1.7 | L/min | +++ |
| ηCOD | Maximize | 37.5 | 62.5 | % | +++ |
| ηTOC | Maximize | 54.58 | 91.24 | % | +++ |
| Std. | Run | Design Space | Actual Parameters | Encoded Parameters | Responses | |||||
|---|---|---|---|---|---|---|---|---|---|---|
| pH0 | I (A) | Q (L/min) | A | B | C | |||||
| 1 | 1 | Factorial | 5.00 | 2.50 | 0.80 | −1 | −1 | −1 | 45.83 ± 0.67 | 65.41 ± 0.83 |
| 9 | 2 | Axial | 3.98 | 3.25 | 1.25 | -α | 0 | 0 | 62.50 ± 0.70 | 80.15 ± 0.57 |
| 10 | 3 | Axial | 9.02 | 3.25 | 1.25 | +α | 0 | 0 | 41.67 ± 0.57 | 83.46 ± 0.68 |
| 12 | 4 | Axial | 6.50 | 4.51 | 1.25 | 0 | +α | 0 | 56.33 ± 0.35 | 78.72 ± 0.55 |
| 3 | 5 | Factorial | 5.00 | 4.00 | 0.80 | −1 | +1 | −1 | 58.33 ± 0.67 | 91.24 ± 0.64 |
| 16 | 6 | Central | 6.50 | 3.25 | 1.25 | 0 | 0 | 0 | 52.17 ± 0.76 | 70.91 ± 0.56 |
| 8 | 7 | Factorial | 8.00 | 4.00 | 1.70 | +1 | +1 | +1 | 49.83 ± 0.64 | 81.87 ± 0.85 |
| 4 | 8 | Factorial | 8.00 | 4.00 | 0.80 | +1 | +1 | −1 | 45.83 ± 0.72 | 84.99 ± 0.80 |
| 13 | 9 | Axial | 6.50 | 3.25 | 0.49 | 0 | 0 | -α | 38.58 ± 0.50 | 79.15 ± 0.75 |
| 5 | 10 | Factorial | 5.00 | 2.50 | 1.70 | −1 | −1 | +1 | 37.50 ± 0.53 | 59.64 ± 0.74 |
| 7 | 11 | Factoria | 5.00 | 4.00 | 1.70 | −1 | +1 | +1 | 50.00 ± 0.80 | 82.86 ± 0.25 |
| 11 | 12 | Axial | 6.50 | 1.99 | 1.25 | 0 | -α | 0 | 49.99 ± 0.50 | 54.58 ± 0.55 |
| 2 | 13 | Factorial | 8.00 | 2.50 | 0.80 | +1 | −1 | −1 | 51.00 ± 0.62 | 67.29 ± 0.61 |
| 6 | 14 | Factorial | 8.00 | 2.50 | 1.70 | +1 | −1 | +1 | 58.30 ± 0.95 | 77.02 ± 0.87 |
| 14 | 15 | Axial | 6.50 | 3.25 | 2.00 | 0 | 0 | +α | 58.33 ± 0.46 | 71.08 ± 0.35 |
| 17 | 16 | Central | 6.50 | 3.25 | 1.25 | 0 | 0 | 0 | 52.33 ± 0.59 | 76.77 ± 0.97 |
| 15 | 17 | Central | 6.50 | 3.25 | 1.25 | 0 | 0 | 0 | 50.67 ± 0.74 | 79.82 ± 0.53 |
| Response/ β-Values | Terms of Data-Based Polynomial Models | |||||||||||
|---|---|---|---|---|---|---|---|---|---|---|---|---|
| Intercept | A | B | C | AB | AC | BC | A2 | B2 | C2 | A2C | AB2 | |
| 51.75 | −6.19 | 1.61 | 5.87 | −4.83 | 3.50 | --- | --- | --- | −1.50 | −6.54 | 7.86 | |
| R2 = 0.9816; Adj_R2 = 0.9632; Model_R2 = 0.7826; C.V. = 2.69%; Std. Dev. = 1.36; Adeq_Precision = 24.80 | ||||||||||||
| 75.71 | 1.29 | 8.22 | −1.55 | −3.31 | 2.59 | −1.93 | 2.52 | −2.84 | 0.15 | --- | --- | |
| R2 = 0.9430; Adj_R2 = 0.8698; Model_R2 = 0.7036; C.V. = 4.56%; Std. Dev. = 3.45; Adeq_Precision = 14.36 | ||||||||||||
| Source | Sum of Squares | Degrees of Freedom | Mean Squared | F-Value | p-Value | Remark |
|---|---|---|---|---|---|---|
| ) | ||||||
| Model | 78.15 | 8 | 98.39 | 53.28 | <0.0001 | Significant |
| A | 216.94 | 1 | 216.94 | 117.48 | <0.0001 | |
| B | 35.36 | 1 | 35.36 | 19.15 | 0.0024 | |
| C | 195.03 | 1 | 195.03 | 105.62 | <0.0001 | |
| AB | 186.92 | 1 | 186.92 | 101.23 | <0.0001 | |
| AC | 97.93 | 1 | 97.93 | 53.03 | <0.0001 | |
| C2 | 29.20 | 1 | 29.20 | 15.81 | 0.0041 | |
| A2C | 141.64 | 1 | 141.64 | 76.71 | <0.0001 | |
| AB2 | 204.67 | 1 | 204.67 | 110.84 | <0.0001 | |
| Residual | 14.77 | 8 | 1.85 | |||
| Lack of fit | 13.10 | 6 | 2.18 | 2.60 | 0.3034 | Not significant |
| Pure error | 1.68 | 2 | 0.8385 | |||
| Cor total | 801.92 | 16 | ||||
| ) | ||||||
| Model | 1379.37 | 9 | 153.26 | 12.88 | 0.0014 | Significant |
| A | 22.65 | 1 | 22.65 | 1.90 | 0.2102 | |
| B | 921.77 | 1 | 921.77 | 77.44 | <0.0001 | |
| C | 32.64 | 1 | 32.64 | 2.74 | 0.1417 | |
| AB | 87.78 | 1 | 87.78 | 7.37 | 0.0300 | |
| AC | 53.87 | 1 | 53.87 | 4.53 | 0.0709 | |
| BC | 29.88 | 1 | 29.88 | 2.51 | 0.1571 | |
| A2 | 71.76 | 1 | 71.76 | 6.02 | 0.0439 | |
| B2 | 90.73 | 1 | 90.73 | 7.62 | 0.0281 | |
| C2 | 0.2739 | 1 | 0.2739 | 0.030 | 0.8837 | |
| Residual | 83.32 | 7 | 11.90 | |||
| Lack of fit | 42.31 | 5 | 8.46 | 0.4127 | 0.8162 | Not significant |
| Pure error | 41.01 | 2 | 20.51 | |||
| Cor total | 1462.69 | 16 | ||||
| Operating Parameter | Response | Values (%) | Error (%) | |
|---|---|---|---|---|
| Modeled | Experimental | |||
| pH0 5.0 I = 3.84 A Q = 0.8 L/min | 60.81 | 61.11 ± 1.60 | 0.49 | |
| 90.07 | 83.12 ± 1.56 | 8.37 | ||
| Variable | Order (n) | kapp | R2 | RMSE |
|---|---|---|---|---|
| [MET] | 1 | 0.6072 1/h | 0.9999 | 0.16 |
| [COD] | 2 | 0.0019 L/mg h | 0.9973 | 1.49 |
| [TOC] | 1 | 0.2380 1/h | 0.9945 | 1.00 |
| Stage | Retention Time (min) | [M + H]+ m/z Experimental | Proposed Structure | Difference (%) |
|---|---|---|---|---|
| MET | 34.59 | 268 | ![]() | 0.05 |
| I | 2.56 | 206 | ![]() | 0.02 |
| II | 4.78 | 226 | ![]() | 0.04 |
| III | 5.68 | 240 | ![]() | 0.03 |
| IV | 6.45 | 274 | ![]() | 0.02 |
| V | 8.56 | 282 | ![]() | 0.02 |
| VI | 9.35 | 284 | ![]() | 0.03 |
| VII | 16.21 | 282 | ![]() | 0.02 |
| VIII | 17.25 | 238 | ![]() | 0.02 |
| IX | 19.54 | 254 | ![]() | 0.02 |
| X | 20.47 | 226 | ![]() | 0.02 |
| XI | 11.68 | 300 | ![]() | 0.04 |
| XII | 14.26 | 284 | ![]() | 0.05 |
| XIII | 18.08 | 256 | ![]() | 0.02 |
| XIV | 5.26 | 134 | ![]() | 0.03 |
| XV | 8.46 | 116 | ![]() | 0.02 |
| XVI | 10.92 | 118 | ![]() | 0.02 |
| XVII | 12.23 | 128 | ![]() | 0.01 |
| XVIII | 18.43 | 140 | ![]() | 0.01 |
| Process | Reaction Conditions | Electrodes | Vtreated (L) | Main Results | Ref. | ||||
|---|---|---|---|---|---|---|---|---|---|
| Ca. | An. | COD Removal (%) | TOC Removal (%) | MET Removal (%) | Cost (USD/L) | ||||
| EO | Flow-by reactor, AA = 32 cm2, [MET]0 = 50 mg/L, pH0 5.0, I = 3.84 A, [Na2SO4] = 0.1 M, Q = 0.8 L/min, T = 25 °C, and t = 7.5 h | BDD | BDD | 2.5 | 60.81 | 90.07 | 95.19 | 0.19 | This work |
| ENO | Batch cell, AA = 4 cm2, [MET]0 = 2 mg/L, 5 V, [NaCl] = 5000 mg/L, and t = 1.33 h | Pt | Graphite–PVC | 0.1 | --- | --- | >95.00 | --- | [33] |
| US/UV-ENO | Batch cell, AA = 78 cm2, Ultrasound at 200 W, UV at 250 nm, I = 2.34 A, [Na2SO4] = 0.035 M, [MET]0 = 100 mg/L, and t = 10 h | SS | BDD | 1.0 | --- | 100.00 | 100.00 | --- | [34] |
| SPEFNO | Flow reactor, four cells, AA = 100 cm2, pH0 3.0, I = 3 A, [Fe2+] = 0.5 mM, [Na2SO4] = 0.1 M, [TOC]0 = 10 mg/L, T = 35 °C, Q = 4.17 L/min, and t = 6 h | ADE | BDD | 10.0 | --- | 97.00 | --- | --- | [35] |
| ENO | Batch cell, AA = 78 cm2, I = 1.2 A, [Na2SO4] = 5000 mg/L, [MET]0 = 10 mg/L, and t = 10 h | SS | BDD | 0.6 | --- | 100.00 | 100.00 | --- | [36] |
| Variable | Controls | Wastewater Containing MET | |||
|---|---|---|---|---|---|
| Tap Water | Distilled Water | Electrolyte | Initial | Final | |
| Germination (%) | 100 | 93.33 | 93.33 | 73.33 | 93.33 |
| Average shoot length (cm) | 20.7 | 24.0 | 5.7 | 5.6 | 6.8 |
| Average root length (cm) | 5.1 | 11.2 | 10.8 | 10.4 | 10.3 |
Disclaimer/Publisher’s Note: The statements, opinions and data contained in all publications are solely those of the individual author(s) and contributor(s) and not of MDPI and/or the editor(s). MDPI and/or the editor(s) disclaim responsibility for any injury to people or property resulting from any ideas, methods, instructions or products referred to in the content. |
© 2024 by the authors. Licensee MDPI, Basel, Switzerland. This article is an open access article distributed under the terms and conditions of the Creative Commons Attribution (CC BY) license (https://creativecommons.org/licenses/by/4.0/).
Share and Cite
Regalado-Méndez, A.; Vizarretea-Vásquez, D.; Robles-Gómez, E.E.; Natividad, R.; Escudero, C.J.; Peralta-Reyes, E. Data-Based Modeling, Multi-Objective Optimization, and Multi-Criterion Decision-Making to Maximize the Electro-Oxidation of Metoprolol over Boron-Doped Diamond Electrodes in a Flow-By Reactor. Processes 2024, 12, 1958. https://doi.org/10.3390/pr12091958
Regalado-Méndez A, Vizarretea-Vásquez D, Robles-Gómez EE, Natividad R, Escudero CJ, Peralta-Reyes E. Data-Based Modeling, Multi-Objective Optimization, and Multi-Criterion Decision-Making to Maximize the Electro-Oxidation of Metoprolol over Boron-Doped Diamond Electrodes in a Flow-By Reactor. Processes. 2024; 12(9):1958. https://doi.org/10.3390/pr12091958
Chicago/Turabian StyleRegalado-Méndez, Alejandro, Diego Vizarretea-Vásquez, Edson E. Robles-Gómez, Reyna Natividad, Carlos J. Escudero, and Ever Peralta-Reyes. 2024. "Data-Based Modeling, Multi-Objective Optimization, and Multi-Criterion Decision-Making to Maximize the Electro-Oxidation of Metoprolol over Boron-Doped Diamond Electrodes in a Flow-By Reactor" Processes 12, no. 9: 1958. https://doi.org/10.3390/pr12091958
APA StyleRegalado-Méndez, A., Vizarretea-Vásquez, D., Robles-Gómez, E. E., Natividad, R., Escudero, C. J., & Peralta-Reyes, E. (2024). Data-Based Modeling, Multi-Objective Optimization, and Multi-Criterion Decision-Making to Maximize the Electro-Oxidation of Metoprolol over Boron-Doped Diamond Electrodes in a Flow-By Reactor. Processes, 12(9), 1958. https://doi.org/10.3390/pr12091958





















