Comparison of Solar Collector Testing Methods—Theory and Practice
Abstract
Highlights
- Comparison of solar collector testing methods.
- Static and dynamic properties of the collector determined by different methods may differ from each other by up to 50%.
- Increase in the efficiency of the solar installation possible with an adaptive control system.
1. Introduction
2. An Overview of Test Methods for Flat-Plate Solar Collectors
3. Methodology
- R1,0—thermal resistance between the front cover and the environment [K/W]
- R1,2—thermal resistance between the front cover and the absorber [K/W]
- R2,0—thermal resistance between the absorber and the environment, calculated towards the bottom of the collector [K/W]
- R2,3—thermal resistance between the absorber and the working medium [K/W]
- (mc)1—thermal capacity of the glass cover [J/K]
- (mc)2—thermal capacity of the absorber [J/K]
- (mc)3—thermal capacity of the working medium [J/K]
4. Comparison of Characteristic Parameter Values Determined for a Collector Using Different Methods
4.1. Analysis of Static and Dynamic Properties According to ISO 9806 under Outdoor Conditions
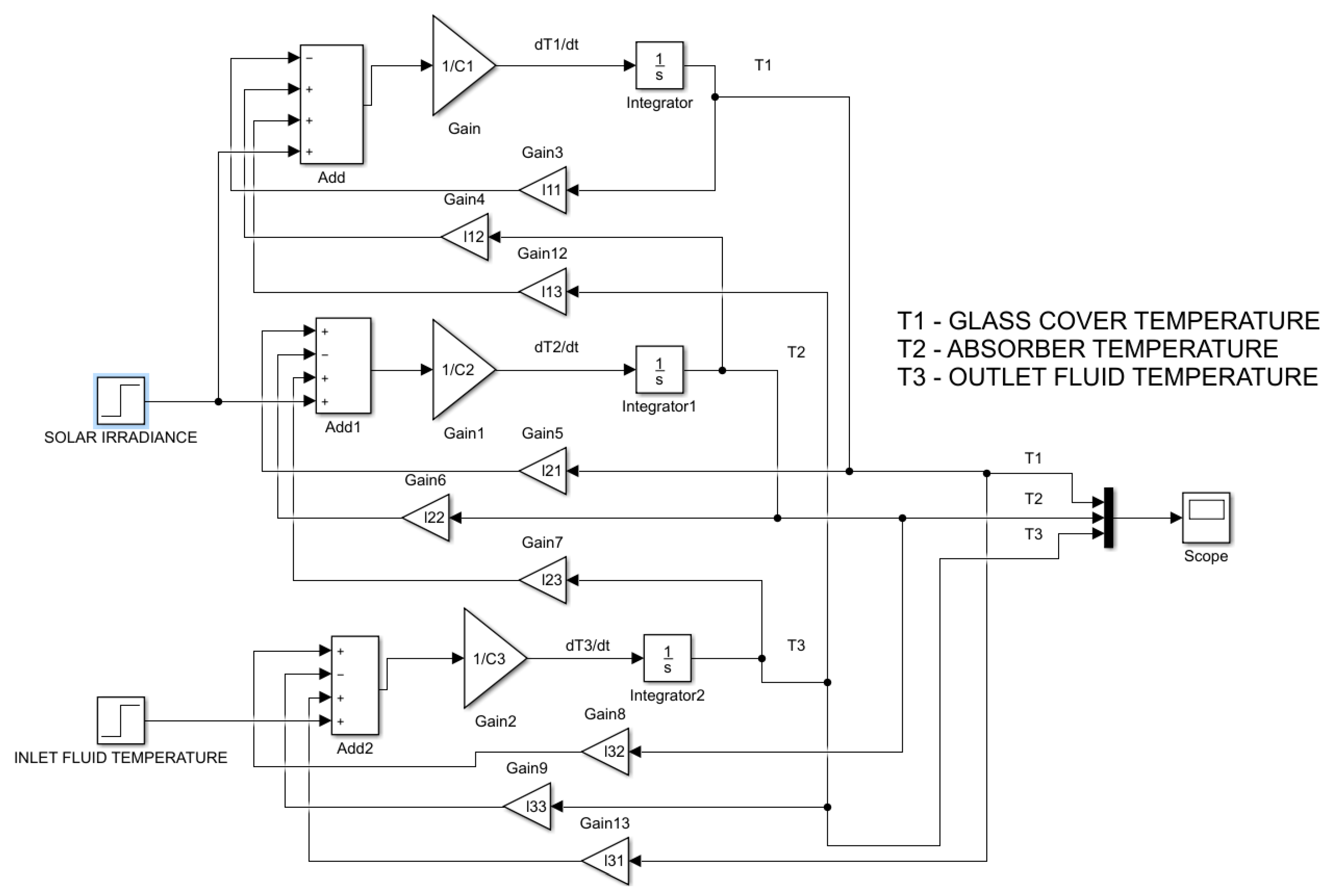
4.2. Analysis of Static and Dynamic Properties Using the Equivalent Thermal Network (ETN)
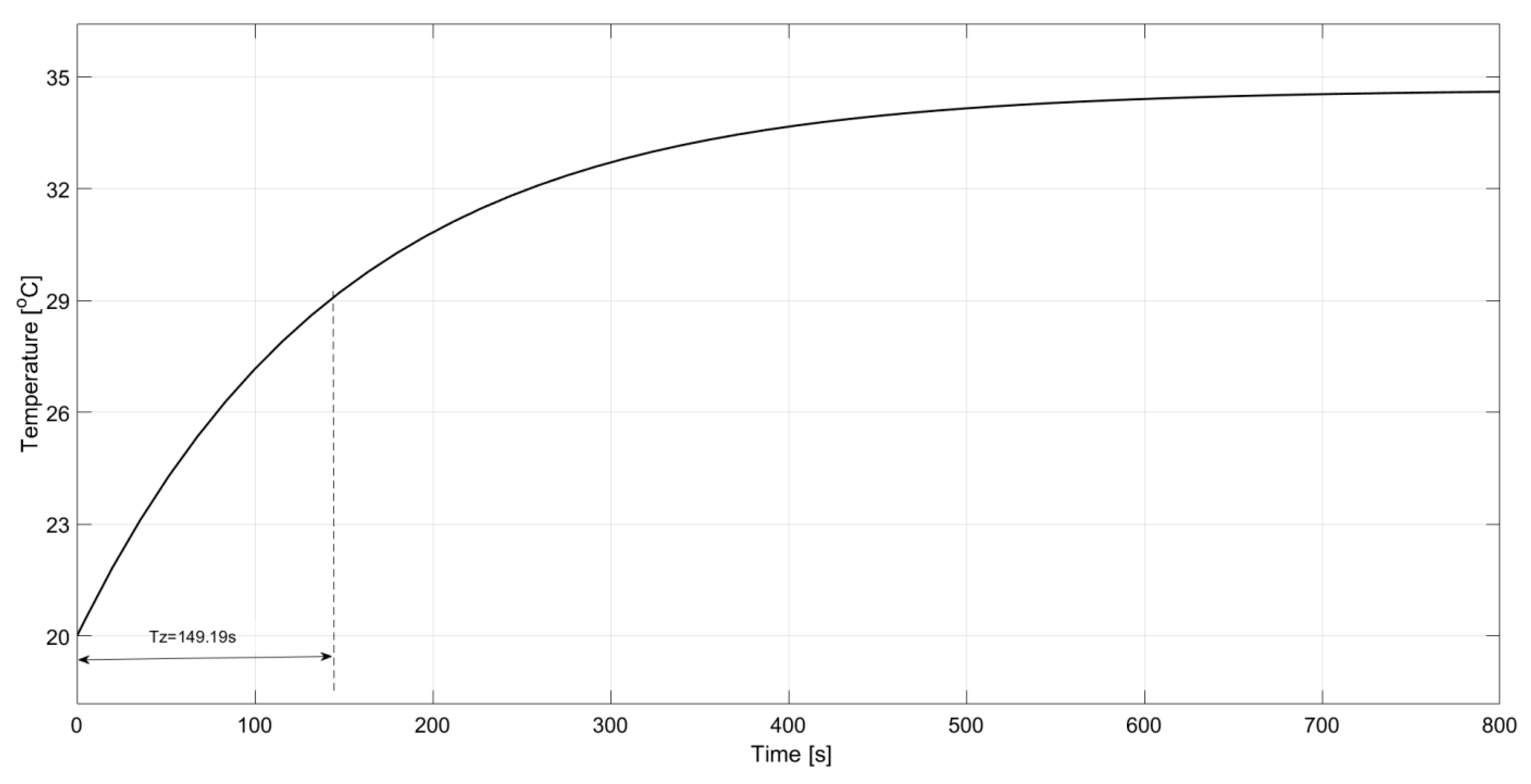
4.3. Analysis of Static and Dynamic Properties of the Collector Using the Parametric Identification Method for Heat Load with a Hot Water Storage Tank
- (a)
- two collectors loaded with a 100 dm3 storage tank (test stand I)
- (b)
- a battery of 20 collectors with a total absorber area of 40 m2, loaded with a 1000 dm3 storage tank (test stand II).
4.3.1. Collector Parameters Determined for a 100 dm3 Load (Test Stand I)
B1(z) = 5.341e−5z−1
B2(z) = 0.0053889z−1
4.3.2. Collector Parameters Determined for a 1000 dm3 Load (Test Stand II)
B1(z) = 0.00264 z−1 − 0.0006327 z−2
B2(z) = 0.1621 z−1 − 0.09136 z−2
5. Analysis of the Results and Discussion
6. Conclusions
Author Contributions
Funding
Conflicts of Interest
Nomenclature
| Effective heat capacity of the collector per unit area [J/m2K] | |
| Effective transmittance-absorptance product [-] | |
| Incidence angle modifier for direct radiation [-] | |
| Efficiency of the collector [-] | |
| Mass flow rate [kg/s] | |
| a1, a2 | First and second order heat loss coefficient [W/m2K] |
| A(z), B(z), C(z), D(z) Polynomials | |
| AC | Gross area of the collector [m2] |
| Ap | Area of the absorber plate [m2] |
| b | Plate thickness [m] |
| C | Heat capacity [J/K] |
| CC | Thermal capacity [W/K] |
| cp | Specific heat of fluid [J/kgK] |
| D | Diameter [m] |
| e | Width of contact zone [m] |
| F | Fin efficiency |
| F’ | Collector efficiency factor [-] |
| FR | Collector heat removal factor [-] |
| G | Transfer function |
| H | Conductance [W/K] |
| h | Convective heat transfer coefficient [W/m2K] |
| IT | Solar radiation [W/m2] |
| ID | Diffuse solar irradiance of an inclined surface [W/m2] |
| K | Incidence angle modifier [-] |
| kp | Gain |
| m | Mass [kg] |
| Ma | Effective mass of the auxiliary unit [kg] |
| Me | Effective mass of the collector [kg] |
| n | Number of points in a data sample [-] |
| P | Thermal power [W] |
| Pe | Electric heater power [W] |
| Pp | Pump power [W] |
| Q | Heat power [W] |
| qu | Rate of useful energy collected per unit area [W/m2] |
| R | Thermal resistance [K/W] |
| s | Laplace operator |
| t, τ | Time [s] |
| TA | Ambient temperature [K] |
| Tfi | Fluid inlet temperature [K] |
| Tfm | Mean fluid temperature [K] |
| Tfo | Fluid outlet temperature [K] |
| Tm | Reduced temperature [m2K/W] |
| Ts | Storage tank temperature [K] |
| Tsky | Effective sky temperature [K] |
| Tz | Time constant [s] |
| UL | Heat loss coefficient of the collector [W/m2K] |
| Up | Piping heat loss coefficient per unit collector area [W/m2K] |
| Usky | Heat loss coefficient dependent on wind speed [J/m3K] |
| V | Heat transfer fluid volume in the collector (m3) |
| w | Fin width [m] |
| y | Impulse response function [-] |
| z | Discrete Laplace operator |
| Λ, k | Thermal conductivity [W/K] |
Index
| a | ambient |
| ab | absorber |
| b | back plate |
| conv | convection |
| d | downwards |
| f | fluid |
| g | glass |
| gl | global |
| h | heater |
| i, j | current parameters (numbering of nodes) |
| p | plate |
| rad | |
| solar | solar irradiance |
| up | upwards |
| useful | instantaneous useful power |
| w | wall |
References
- Diez, F.J.; Navas-Gracia, L.M.; Martinez-Rodriguez, A.; Correa-Guimaraes, A.; Chico-Santamarta, L. Moddeling of flat-plate solar collector using artificial neural network for different working fluid (water) flow rates. Sol. Energy 2019, 188, 1320–1331. [Google Scholar] [CrossRef]
- Banos, R.; Manzano-Agugliaro, F.; Montoyab, F.G.; Gil, C.; Alcayde, A.; Gómez, J. Optimization methods applied to renewable and sustainable energy: A review. Renew. Sustain. Energy Rev. 2011, 15, 1753–1766. [Google Scholar] [CrossRef]
- Sharma, N.; Varun, S. Stochastic techniques used for optimization in solar systems: A review. Renew. Sustain. Energy Rev. 2012, 16, 1399–1411. [Google Scholar] [CrossRef]
- Fan, M.; Zheng, W.; You, S.; Zhang, H.; Jiang, Y.; Wu, Z. Comparision of different dynamic thermal performance prediction models for the flat-plate solar collector with a new V-corrugated absorber. Sol. Energy 2020, 204, 406–418. [Google Scholar] [CrossRef]
- Carmona, M.; Palacio, M. Thermal modeling of a flat plate solar collector with laten heat storage validate with experimental data in outdoor conditions. Sol. Energy 2019, 177, 620–633. [Google Scholar] [CrossRef]
- Marrasso, E.; Roselli, C.; Sasso, M.; Tarioello, F. Analysis of a hybrid solar-assisted trigeneration system. Energies 2016, 9, 705. [Google Scholar] [CrossRef]
- Chochowski, A.; Czekalski, D.; Obstawski, P. Monitoring of renewable energy sources hybrid system operation. Electr. Rev. 2009, 8, 92–95. (In Polish) [Google Scholar]
- Hou, H.J.; Wang, Z.F.; Wang, R.Z.; Wang, P.M. A new method for the measurement of solar collector time constant. Renew. Energy 2005, 30, 855–865. [Google Scholar] [CrossRef]
- Saltiel, C.; Sokolov, M. Optimal control of a multicomponent solar collector system. Sol. Energy 1985, 34, 463–473. [Google Scholar] [CrossRef]
- Araújo, A.; Silva, R.; Pereira, V. Solar thermal modeling for rapid estimation of auxiliary energy requirements in domestic hot water production: On-off versus proportional flow rate control. Sol. Energy 2019, 177, 68–79. [Google Scholar] [CrossRef]
- Morteza, A.; Ardehali, M.; Yae, K.H.; Smith, T.F. Development of proportional-sum-derivative control methodology. Sol. Energy 1996, 57, 251–260. [Google Scholar]
- Winn, C.B. Controls in Solar Energy Systems, an Annual Review of Research and Development; Springer: London, UK, 1982; Volume 1, pp. 209–240. [Google Scholar]
- Löf, G. Active Solar Systems; MIT Press: Cambridge, MA, USA, 1993. [Google Scholar]
- Badescu, V. Optimal control of flow in solar collector systems with fully mixed water storage tanks. Energy Convers. Manag. 2008, 49, 169–184. [Google Scholar] [CrossRef]
- Budea, S.; Bădescu, V. Improving the Performance of Systems with Solar Water Collectors used in Domestic Hot Water Production. Energy Procedia 2017, 112, 398–403. [Google Scholar] [CrossRef]
- Bettoni, D.; Soppelsa, A.; Fedrizzi, R.; Del Toro Matamoros, R.M. Analysis and Adaptation of Q-Learning Algorithm to Expert Controls of a Solar Domestic Hot Water System. Appl. Syst. Innov. 2019, 2, 15. [Google Scholar] [CrossRef]
- ISO 9459-4:2013—Solar Heating—Domestic Water Heating Systems—Part 4: System Performance Characterization by Means of Component Tests and Computer Simulation; European Committee for Standardization: Brussels, Belgium, 2013.
- ASHRE Standard 93-77: Methods of Testing to Determine the Thermal Performances of Solar Collectors; American Society of Heating, Refrigerating and Air-Conditioning Engineers: Washington, DC, USA, 1997.
- EN 12975-1+A1:2010—Thermal Solar Systems and Components—Solar Collectors—Part 1: General Requirements; European Committee for Standardization: Brussels, Belgium, 2010.
- EN ISO 9806:2017—Solar Energy—Solar Thermal Collectors—Test Methods; European Committee for Standardization: Brussels, Belgium, 2017.
- Duffie, J.A.; Beckman, W.A. Solar Engineering of Thermal Processes; John Wiley & Sons: Hoboken, NJ, USA, 1991. [Google Scholar]
- Emery, M.; Rogers, B.A. On a solar collector thermal performance test method for use in variable conditions. Sol. Energy 1984, 33, 117–123. [Google Scholar] [CrossRef]
- Saunier, G.Y.; Chungpaibulpatana, S. A New inexpensive dynamic method of testing to determine solar thermal performance. In Proceedings ISES Solar World Congress, Australia; Szokolay, S.V., Ed.; Pergamon Press: New York, NY, USA, 1983; Volume 2, pp. 910–916. [Google Scholar]
- Wang, X.A.; Xu, Y.F.; Meng, X.Y. A filter method for transient testing of collector performance. Sol. Energy 1987, 38, 125–134. [Google Scholar] [CrossRef]
- Muschaweck, J.; Spirkl, W. Dynamic solar collector performance testing. Sol. Energy Mater. Sol. Cells 1993, 30, 95–105. [Google Scholar] [CrossRef]
- Chungpaibulpatana, S.; Exell, R.H.B. The effects of using a one-node heat capacitance model for determining solar collector performance parameters by transient test methods. Sol. Wind Technol. 1988, 5, 411–421. [Google Scholar] [CrossRef]
- Perers, B. Dynamic method for solar collector array testing and evaluation with standard database and simulation programs. Sol. Energy 1993, 50, 517–526. [Google Scholar] [CrossRef]
- Wijeysundera, N.E.; Hawlade, M.N.A.; Foong, K.Y. Estimation of collector performance parameters from daily system test. Sol. Energy 1996, 118, 30–36. [Google Scholar] [CrossRef]
- Amer, E.H.; Nayak, J.K.; Sharma, G.K. A transient test methods for flat-plate collectors. Energy Convers. Manag. 1998, 39, 549–558. [Google Scholar] [CrossRef]
- Amer, E.H.; Nayak, J.K.; Sharma, G.K. A new dynamic method for testing of flat-plate solar collectors. Energy Convers. Manag. 1999, 40, 803–823. [Google Scholar] [CrossRef]
- Kong, W.; Wang, Z.; Li, X.; Li, X.; Xiao, N. Theoretical analysis and experimental verification of a new dynamic test method for solar collectors. Sol. Energy 2012, 86, 398–406. [Google Scholar] [CrossRef]
- Buzás, J.; Kicsiny, R. Transfer functions of solar collectors for dynamical analysis and control design. Renew. Energy 2014, 68, 146–155. [Google Scholar] [CrossRef]
- Deng, J.; Yang, X.; Wang, P. Study on the second-order transfer function models for dynamic tests of flat-plate solar collectors Part I: A proposed new model and a fitting methodology. Sol. Energy 2015, 114, 418–426. [Google Scholar] [CrossRef]
- Deng, J.; Yang, X.; Wang, P. Study on the second-order transfer function models for dynamic tests of flat-plate solar collectors Part II: Experimental validation. Sol. Energy 2017, 141, 334–346. [Google Scholar] [CrossRef]
- Deng, J.; Xu, Y.; Yang, X. A dynamic thermal performance model for flat-plate solar collectors based on the thermal inertia correction of the steady-state test method. Renew. Energy 2015, 76, 679–686. [Google Scholar] [CrossRef]
- Deng, J.; Ma, R.; Yuan, G.; Chang, C.; Yang, X. Dynamic thermal performance prediction model for the flat-plate solar collectors based on the two-node lumped heat capacitance method. Sol. Energy 2016, 135, 769–779. [Google Scholar] [CrossRef]
- Amrizal, N.; Chemisana, D.; Rosell, J.I.; Barrau, J. A dynamic model based on the piston flow concept for the thermal characterization of solar collectors. Appl. Energy 2012, 94, 244–250. [Google Scholar] [CrossRef]
- Deng, J.; Yang, M.; Ma, R.; Zhu, X.; Fan, J.; Yuan, G.; Wang, Z. Validation of a simple dynamic thermal performance characterization model based on the piston flow concept for flat-plate solar collectors. Sol. Energy 2016, 139, 171–178. [Google Scholar] [CrossRef]
- Kamminga, W. Experiences of a solar collector test method using Fourier transfer functions. Heat Mass Transf. 1985, 28, 1393–1404. [Google Scholar] [CrossRef]
- Mintsa Do Ango, A.C.; Medale, M.; Abid, C. Optimization of the design of a polymer flat plate solar collector. Sol. Energy 2013, 87, 64–75. [Google Scholar] [CrossRef]
- Henning, H.M.; Sasse, M. A collector hardware simulator: Theoretical analysis and experimental result. Sol. Energy 1995, 55, 39–48. [Google Scholar] [CrossRef]
- Tsilingiris, P.T. Heat transfer analysis of low thermal conductivity solar energy absorbers. Appl. Therm. Eng. 2000, 20, 1297–1314. [Google Scholar] [CrossRef]
- Eisenmann, W.; Vajen, K.; Ackermann, H. On the correlations between collector efficiency factor and material content of parallel flow flat-plate solar collectors. Sol. Energy 2004, 76, 381–387. [Google Scholar] [CrossRef]
- Chochowski, A. Thermal States Analysis of a Flat-plate Solar Collector; SGGW Publishers: Warsaw, Poland, 1991. (In Polish) [Google Scholar]
- Farkas, I. Identification of flat plate solar collectors used in agriculture. In Proceedings of the 9th IFAC-IFORS Symposium; Bányász, C.S., Keviczky, L., Eds.; Elsevier: Budapest, Hungary, 1991; Volume 1, pp. 475–479. [Google Scholar]
- Cristofari, C.; Notton, P.; Louche, A. Modelling and performance of a copolymer solar water heating collector. Sol. Energy 2002, 72, 99–112. [Google Scholar] [CrossRef]
- Rodriguez-Hidalgo, M.C.; Rodriguez-Aaumente, P.A.; Lecuona, A.; Gutierrez-Ureta, G.L.; Ventas, R. Flat plate thermal solar collector efficiency: Transient behavior under working conditions. Part I: Model description and experimental validation. Appl. Therm. Eng. 2011, 31, 2394–2404. [Google Scholar] [CrossRef]
- Kalogirou, S.; Panteliou, S.; Dentsoras, A. Modelling of solar domestic water heating systems using artificial neural networks. Sol. Energy 1999, 65, 335–342. [Google Scholar] [CrossRef]
- Kalogirou, S.; Panteliou, S.; Dentsoras, A. Artificial neural networks used for the performance prediction of a thermosyphon solar water heater. Renew. Energy 1999, 18, 87–99. [Google Scholar] [CrossRef]
- Kalogirou, S.; Panteliou, S. Thermosyphon solar domestic water heating systems long-term performance prediction using artificial neural networks. Sol. Energy 2000, 69, 163–174. [Google Scholar] [CrossRef]
- Kalogirou, S. Long-term performance prediction of forced circulation solar domestic water heating systems using artificial neural networks. Appl. Energy 2000, 66, 63–74. [Google Scholar] [CrossRef]
- Li, H.; Liu, Z.; Liu, K.; Zhang, Z. Predictive power of machine learning for optimizing solar water heater performance: The potential application of high-throughput screening. Int. J. Photoenergy 2017. [CrossRef]
- Li, H.; Liu, Z. Performance prediction and optimization of solar water heater via a knowledge-based machine learning method. In Handbook of Research on Power and Energy System Optimization; IGI Global: Hershey, PA, USA, 2018. [Google Scholar]
- Ghritlahre, H.K.; Prasad, R.K. Application of ANN technique to predict the performance of solar collector systems—A review. Renew. Sustain. Energy Rev. 2018, 84, 75–88. [Google Scholar] [CrossRef]
- Farkas, I.; Geczy-Vig, P. Neural network modeling of flat-plate solar collectors. Comput. Electron. Agric. 2003, 40, 87–102. [Google Scholar] [CrossRef]
- Kalogirou, S.A. Prediction of flat-plate collector performance parameters using artificial neural networks. Sol. Energy 2006, 80, 248–259. [Google Scholar] [CrossRef]
- Sözen, A.; Melnik, T.; Unvar, S. Determination of efficiency of flat-plate solar collectors using neural network approach. Expert Syst. Appl. 2008, 35, 1533–1539. [Google Scholar] [CrossRef]
- Baccoli, R.; Carlini, U.; Mariotti, S.; Innamorati, R.; Solinas, E.; Mura, P. Graybox and adaptive dynamic neural network identification models to inter the steady state efficiency of solar thermal collectors starting from the transient condition. Sol. Energy 2010, 84, 1027–1046. [Google Scholar]
- Obstawski, P. Modeling the Dynamics of Work of a Flat-Plate Solar Collector. Ph.D. Thesis, Warsaw University of Life Sciences, Warsaw, Poland, 2007. (In Polish). [Google Scholar]
- Aleksiejuk, J.; Chochowski, A.; Reshetiuk, V. Analog model of dynamics of a flat-plate solar collector. Sol. Energy 2018, 160, 103–116. [Google Scholar] [CrossRef]
- Obstawski, P.; Bakoń, T.; Czekalski, D. Diagnostic method of solar thermal system based on the short time on-line measurements. Appl. Therm. Eng. 2019, 148, 420–429. [Google Scholar] [CrossRef]

















| Item | Collector Model | Characteristic Parameters of the Collector | Testing Conditions | Method of the Equation Coefficient Estimation | Test Stand | Number of Homogeneous Bodies in the Collector Structure | |
|---|---|---|---|---|---|---|---|
| 1 | HWB [21] | F’(τα), F’UL, | = C, Tfi = C, IT = C | Method of least squares | Specified in the standards | 1 | |
| 2 | Roger’s method [22] | , | = C, Tfi = C, IT ≠ C, ≠ C | Linear regression method | In accordance with the standard | 1 | |
| 3 | Saunier’s method [23] | , , , | , = , | Linear regression method | Not compliant with the standard | 1 | |
| 4 | Filter method [24] | , | = C, Tfi = C, IT ≠ C, ≠ C | Method of least squares | In accordance with the standard | 1 | |
| 5 | DSC method [25] | , , | ≠ C, IT ≠ C, ≠ C | Parametric identification | In accordance with the standard | 1 | |
| 6 | Excel’s method [26] | , , | = , | Statistic tool based on successive approximation method, linear regression method and numerical integration method | Not compliant with the standard | 1 | |
| 7 | Perers’ method [27] | , , , , , , , | ≠ C, Tfi = C, IT ≠ C | Method of least squares | In accordance with the standard | 1 | |
| 8 | Wijeysundera’s method [28] | , , , | ≠ C, IT ≠ C, ≠ C | Using the Levenberg-Marquardt method | Not compliant with the standard | 1 | |
| 9 | QDT method [29] | , , | , = C, Tfi = C, ≠ C, | Linear regression | In accordance with the standard | 1 | |
| 10 | NDM method [30] | , , , | = C, Tfi ≠ C, IT ≠ C, ≠ C | Linear regression | In accordance with the standard | 1 | |
| 11 | Kong [31] | Where: A, B, C, D, E, F - binding equations of parameters of model | , | = C | Iteration method | - | 2 |
| 12 | Amrizal [37] | F’(τα), F’UL, | = C | - | In accordance with the standard | 1 | |
| 13 | Buzás [32] | Tz, Cf, | = C | - | - | 1 | |
| 14 | Deng [33] | Where: A, B, C, E, F - binding equations of parameters of model | , UL | = C | Weighted least squares | - | 2 |
| 15 | Deng [34] | , UL | = C | Least squares linear regression | In accordance with the standard | 1 | |
| 16 | Deng [35] | , F’UL, | = C | Multi-linear regression | In accordance with the standard | 1 | |
| 17 | Deng [36] | , F’UL | = C | Nonlinear least square | - | 1 | |
| 18 | Kaminga’s method [39] | , , , , , | Ta ≠ C, E ≠ C | The algorithm for equation coefficient calculations was not provided | Simulation | 3 | |
| 19 | Mintsa Do Ango [40] | , | , | ≠ C, ≠ C | The algorithm for equation coefficient calculations was provided | Simulation | 2 |
| 20 | Tsilingiris [42] | F’, UL | ≠ C, ≠ C, k ≠ C | The algorithm for equation coefficient calculations was not provided | Simulation | 3 | |
| 21 | Eisenmann [43] | , UL | w ≠ C, g ≠ C, Di ≠ C | The algorithm for equation coefficient calculations was not provided | Simulation | 3 | |
| 22 | Henning [41] | , , , | C, C | The algorithm for equation coefficient calculations was not providedNetwork solution by means of iteration | Simulation | 2 | |
| 23 | Chochowski [44] | η, | ≠ C, Ta ≠ C, I ≠ C, Λ ≠ C | The algorithm for equation coefficient calculations was provided | Simulation | 3 | |
| 24 | Farkas [45] | , η | ≠ C, Q ≠ C | The algorithm for equation coefficient calculations was provided network solved using the Galerkin’s method | Simulation | 4 | |
| 25 | Cristofari [46] | , , | = laminar, Ta ≠ C, IT = ≠ C | The algorithm for equation coefficient calculations was provided network solved using the Runge Kutta Merson method | Simulation | 6 | |
| 26 | Rodriguez-Hidalgo [47] | , η | ≠ C, Ta ≠ C, IT ≠ C | The algorithm for equation coefficient calculations was provided | Simulation | 7 | |
| 27 | Obstawski [59] | , η | C, Ta ≠ C, IT ≠ C | Parametric identification | Diagnostics of a collector heat loaded with a storage tank | 1 | |
| 28 | Aleksiejuk [60] | , | , η | C, Ta ≠ C, IT ≠ C | Parametric identification | Diagnostics of a collector heat loaded with a storage tank | 3 |
| 29 | Obstawski [61] | , , , | = C, Ta ≠ C,I ≠ C | Parametric identification | Diagnostics of a collector heat loaded with a storage tank | 1 |
| Normal Characteristic | Effective Heat Capacity [kJ/m2K] | Time Constant Substitute [s] | Collector Area [m2] | Aperture Area [m2] | Weight [kg] | Absorber Material | Glass Thickness [mm] | Insulation Thickness [mm] | Maximum Pressure [bar] | Volume [l] |
|---|---|---|---|---|---|---|---|---|---|---|
| η = 0.79 − 4.17Tm − 0.01Tm2 | 6.73 | 80 | 2.0 | 1.76 | 43 | Aluminum | 4.0 | Basalt 40 | 6 | 1.3 |
| Method | Normal Characteristics | Effective Heat Capacity [kJ/m2K] | FR [-] | F’ [-] | UL [W/m2K] | Time Constant Tz (s) | Flow through the Collector dm3/min | Working Medium | Solar Irradiance W/m2 |
|---|---|---|---|---|---|---|---|---|---|
| ISO 9806 indoor | η = 0.79 − 4.17Tm− 0.01Tm2 | 6.73 | 0.94 | 0.95 | 4.17 | 80 | 2.07 | water | 1000 |
| ISO 9806 outdoor | η = 0.77 − 4.92Tm − 54.8Tm2 | 14.3 | 0.8 | 0.81 | 4.92 | 171 | 2.16 | water | 806 ± 5W |
| ETN Chochowski | η = 0.71 − 4.07Tm − 0.0001Tm2 | 6.71 | 0.75 | 0.76 | 4.07 | 77 | 2.16 | water | 1000 |
| PI Obstawski installation I | η = 0.68 − 4.8Tm − 10.0Tm2 | 14.6 | 0.66 | 0.67 | 3.59 | 207.9 | 2,07 | glycol | 1000 |
| PI Obstawski installation II | η = 0.417 − 1.533Tm − 4.36 Tm2 | 10.47 | 0.54 | 0.55 | 2.07 | 298.35 | 1.24 | glycol | 1000 |
| PI Obstawski installation II (after calibration) | η = 0.47 − 2.001 Tm − 5.289 Tm2 | 10.47 | 0.54 | 0.55 | 2.07 | 149.19 | 2.07 | glycol | 1000 |
Publisher’s Note: MDPI stays neutral with regard to jurisdictional claims in published maps and institutional affiliations. |
© 2020 by the authors. Licensee MDPI, Basel, Switzerland. This article is an open access article distributed under the terms and conditions of the Creative Commons Attribution (CC BY) license (http://creativecommons.org/licenses/by/4.0/).
Share and Cite
Obstawski, P.; Bakoń, T.; Czekalski, D. Comparison of Solar Collector Testing Methods—Theory and Practice. Processes 2020, 8, 1340. https://doi.org/10.3390/pr8111340
Obstawski P, Bakoń T, Czekalski D. Comparison of Solar Collector Testing Methods—Theory and Practice. Processes. 2020; 8(11):1340. https://doi.org/10.3390/pr8111340
Chicago/Turabian StyleObstawski, Paweł, Tomasz Bakoń, and Dariusz Czekalski. 2020. "Comparison of Solar Collector Testing Methods—Theory and Practice" Processes 8, no. 11: 1340. https://doi.org/10.3390/pr8111340
APA StyleObstawski, P., Bakoń, T., & Czekalski, D. (2020). Comparison of Solar Collector Testing Methods—Theory and Practice. Processes, 8(11), 1340. https://doi.org/10.3390/pr8111340

