Abstract
Protic ionic liquids have been regarded as promising materials to capture CO2, because they can be easily synthesized with an attractive capacity. In this work, we studied the CO2 absorption mechanism by protic ionic liquids (ILs) composed of diamino protic cations and azolide anions. Results of 1H nuclear magnetic resonance (NMR), 13C NMR, 2-D NMR and fourier-transform infrared (FTIR) spectroscopy tests indicated that CO2 reacted with the cations rather than with the anions. The possible reaction pathway between CO2 and azolide-based protic ILs is proposed, in which CO2 reacts with the primary amine group generated from the deprotonation of the cation by the azolide anion.
1. Introduction
In recent decades, the amount of carbon dioxide (CO2) accumulated in the air has reached unbelievable levels, which is viewed as the main contributor to global warming, causing severe environmental problems, such as the rising atmospheric temperature, intense heat waves and drought. The vast majority of atmospheric CO2 is mainly emitted from industrial activities by burning fossil fuels (coal and oil) to produce electricity [1]. An urgent demand to curb the atmospheric CO2 concentration to avoid climate disaster has driven industry and the scientific community to explore efficient CO2 capture technologies. A current, popular method used for CO2 capture in industry is the amine-based scrubbing process, which mainly utilizes an aqueous solution of alkanolamine to chemically absorb CO2 [2]. However, amine-based sorption systems have several drawbacks, such as high solvent volatility and equipment corrosion and a high energy penalty of absorbent regeneration [3]. Developing new and efficient sorption systems capable of addressing the above-mentioned drawbacks is one of the main challenges in the field of carbon capture and storage.
During the past decade, ionic liquids have been widely studied for CO2 capture because of their attractive properties [4], such as negligible vapor pressure, high thermal stability, and tunable structures [5,6]. Among the ILs used for CO2 absorption, aprotic ILs [7,8,9], such as azolide-based [10] and hydroxypyridine-based ILs [11], exhibit high CO2 capacity. However, tedious procedures are needed to synthesize these aprotic ILs, resulting in high costs. Recently, protic ILs [12,13,14] have been investigated to capture CO2 because they can be easily prepared and exhibit promising capacity.
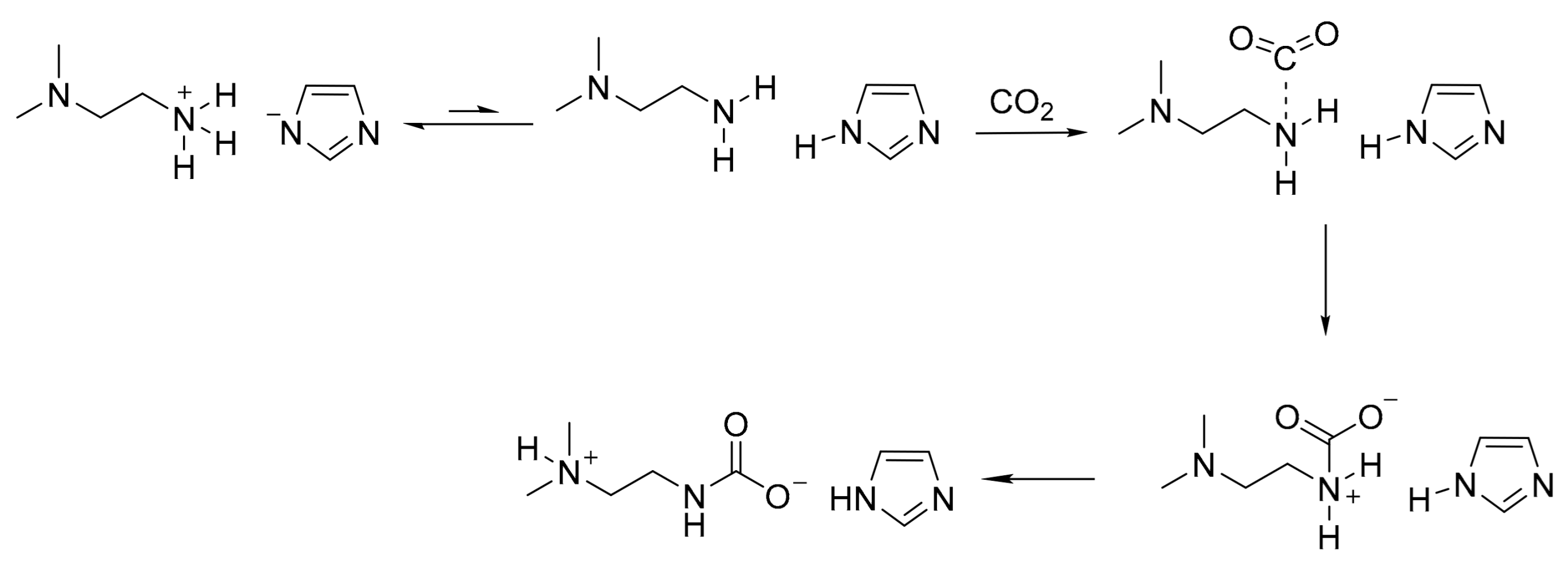
In a recent article, Oncsik and co-authors reported on CO2 capture by diamino protic ionic liquids (DPILs) formed by N,N-dimethylethylenediamine (DMEDA) with azoles, including imidazole (Im), 1,2,4-triazole (Tz) and pyrazole (Py). These DPILs showed a high gravimetric absorption capacity for CO2 [15]. The authors also investigated CO2 absorption mechanisms of these DPILs. On the basis of NMR and FTIR results, they believed that CO2 reacted with anions, forming carbamate species, and CO2 did not react with the diamino cations. However, in contrast, we found that CO2 reacted with the cations rather than with the azolide anions when CO2 was captured by these DPILs (Scheme 1). The details are presented in the following sections.
Scheme 1.
The reaction between [DMEDAH] [Im] and CO2.
2. Results and Discussion
Primarily, the CO2 capacities of the protic ILs were investigated. [DMEDAH] [Py], [DMEDAH] [Im] and [DMEDAH] [Tz] could capture 0.231(0.82), 0.216 (0.77) and 0.190 (0.68) g CO2/g IL at 22 °C and 1.0 atm, respectively. The values in parentheses are the molar absorption capacities of ILs (mol CO2/ mol IL). The capacities of these ILs were close to the values reported by Oncsik et al. (Table S1), suggesting that the protic ILs used in our study were successfully prepared. The absorption capacity of DMEDA was determined by using the DMEDA solution in sulfolane (30 wt.%). One mole of DMEDA could capture 0.90 mole of CO2 at 1.0 atm and 22 °C. Moreover, the structure of the IL was further studied using NMR spectra. As shown in Figure 1A, the hydrogen peak of –NH3 (H-4) can be clearly identified in the 1H NMR spectra of [DMEDAH] [Im], and there was no N–H peak of imidazole in the spectra. The –NH2 peak of DMEDA was also completely missing from the 1H NMR spectra of [DMEDAH] [Im]. The 1H NMR results again suggested that the IL [DMEDAH] [Im] was successfully obtained.
Figure 1.
Spectra of 1H (A) and 13C (B) NMR of [DMEDAH] [Im] with and without CO2; DMSO-d6 was used as an external solvent.
In order to study the absorption mechanism, we investigated the 1H NMR and 13 C NMR spectra of [DMEDAH] [Im] before and after CO2 absorption. As shown in Figure 1A, there were several new peaks (H-1′, H-3′, and H-c’) in the 1H NMR spectrum after CO2 absorption. H-c’ (11.6 ppm) was the N–H hydrogen on the imidazole ring (Figure S1). Additionally, four new peaks (C-1′, C-2′, C-3′, and C-4′) can be observed in the 13 C NMR spectrum after CO2 absorption. C-4′ (161.9 ppm) was the peak of carbamate carbon [16,17]. The new peaks in the 1H NMR (H-1′, H-2′, and H-3′) (Figure S2A) and 13 C NMR (C-1′, C-2′, C-3′, and C-4′) (Figure S2B) spectra after CO2 absorption were more obvious when deuterium oxide (D2O) was used as the internal solvent to record the NMR spectra.
It would be difficult to explain these new peaks if CO2 only reacted with the anion [Im]−; thus, the 1H-13C Heteronuclear Singular Quantum Correlation (HSQC) spectra (Figure 2) and 1H-13C Heteronuclear Multiple Bond Correlation (HMBC) spectra (Figure 3) of [DMEDAH] [Im] after CO2 absorption were studied in order to identify these new peaks. As can be seen in Figure 2A, H-1′was attached to C-1′, H-2′ was attached to C-2′, and H-3′ was attached to C-3′. As shown in Figure 3A, H-3′ correlated with C-4′ and C-2′, and H-2′ correlated with C-1′ and C-3′. The correlation between H-3′ and C-4′ indicated that CO2 was attached to the primary nitrogen in the cation. Furthermore, there were no correlations between C-4′ and the hydrogen (H-a’or H-b’) on the imidazole ring (Figure 3B), indicating that CO2 did not react with the anion to form carbamate species. The similar new peaks can also be found in the NMR spectra of [DMEDAH] [Py] (Figure S3) and [DMEDAH] [Tz] (Figure S4) after CO2 absorption. In the 1H-13C HMBC spectra of [DMEDAH] [Py] (Figure S5) and [DMEDAH] [Tz] (Figure S6) after CO2 absorption, correlation between H-3′ and C-4′ can also be observed, which again suggested that CO2 was attached to the cation.
Figure 2.
The 1H-13C HSQC spectra of [DMEDAH] [Im] after CO2 capture (A,B); D2O was used as the internal solvent to record the spectra.
Figure 3.
The 1H-13C HMBC spectra of [DMEDAH] [Im] after CO2 capture (A,B); D2O was used as the internal solvent to record the spectra.
In order to further confirm the mechanism, the FTIR spectra of [DMEDAH] [Im] with and without CO2 were investigated. As can be seen in Figure 4, a new peak at 1676 cm−1, attributed to the C=O stretching of the carbamate, could be identified after CO2 absorption. However, the C=O stretching peak of the carbamate formed by the reaction between [Im]− and CO2 was near 1700 cm−1 [18,19]. Therefore, the peak at 1676 cm−1 implied that CO2 was attached to the amino group in the cation and not attached to the anion [Im]−. The N–H band related to [DMEDAH]+ at 1584 cm−1 shifted to 1575 cm−1 after CO2 absorption. The stretching vibration of N–COO− could be observed at 1310 cm−1 after the reaction, which was different from the N–COO− stretching band (~1293 cm−1) of the carbamate formed by the anion [Im]− and CO2 [18]. These results again confirmed the interaction between CO2 and the [DMEDAH]+. Furthermore, we also studied the FTIR spectra of DMEDA solution (30 wt.%) in sulfolane (Sulf) before and after CO2 uptake. As shown in Figure 5, an obvious peak at 1679 cm−1 can be observed after CO2 uptake, which was the C=O stretching peak of the carbamate formed by CO2 and the amnio group of the DMEDA, indicating that the peak at 1676 cm−1 of the [DMEDAH] [Im] + CO2 system was from the DMEDA-based carbamate. These FTIR results again indicated that CO2 reacted with the cation rather than the anion of [DMEDAH] [Im].
Figure 4.
The FTIR spectra of [DMEDAH] [Im] before and after CO2 absorption.
Figure 5.
The FTIR spectra of DMEDA solution (30 wt.%) in sulfolane (Sulf) before and after CO2 absorption.
The possible reaction pathway between CO2 and [DMEDAH] [Im] is shown in Scheme 2. At first, there was an acid–base reaction between the cation and the anion in the ILs. The cation was deprotonated by the imidazolate anion, generating an amino group. When the absorbent interacted with CO2, the final product was formed through nucleophilic addition of the amino group to CO2 [20,21].
Scheme 2.
The possible reaction pathway between CO2 and [DMEDAH] [Im].
3. Materials and Methods
3.1. Material and Characterizations
Imidazole (Im, 98%), 1,2,4-Triazole (Tz, 98%), Pyrazole (Pz, 98%) and N,N-dimethylethylenediamine (DMEDA) (99%) were purchased from J&K Scientific Ltd. (Beijing, China). CO2 (≥99.99%) was obtained from Beijing ZG Special Gases Sci. and Tech. Co. Ltd. The 1H NMR (600 MHz) and 13C NMR(151 MHz) spectra were recorded on a Bruker spectrometer with a 5 mm PABBO probe. A PerkinElmer Frontier spectrometer was used to record the FTIR spectra of the samples in the range of 650–4000 cm−1 with a resolution of 4 cm−1. Elemental analysis was conducted on Elemental Vario EL cube (Frankfurt, Germany).
3.2. Synthesis of Ionic Liquids
DMEDA and azole (1:1, molar ratio) were mixed in a glass vial. Each mixture was stirred at room temperature for 2 h to obtain a homogenous liquid.
Elemental analysis:
[DMEDAH] [Im]: found C 53.14%, H 10.02%, N 35.13%; estimated C 53.82%, H 10.32%, N 35.86%.
3.3. CO2 Absorption
An ionic liquid (~1.0 g) was added to a glass tube with a diameter of 10 mm. The tube was equipped with a rubber lid and two needles. One needle was a CO2 inlet, and the other one was a CO2 outlet. The glass tube was partially immersed in a water bath (22 ± 0.2 °C). CO2 was bubbled into the IL through a needle at a flow rate of ~50 mL/min for 60 min. The weight of the tube was measured every 10 min with an analytical balance (±0.1 mg). The mass increase was attributed to the CO2 captured by the IL.
4. Conclusions
In summary, the CO2 absorption mechanism by the protic azolide ILs based on DMEDA has carefully been studied through various NMR and FTIR experiments. The results indicated that CO2 reacted with the cations rather than with the azolide anions. We believe that the confirmation of the absorption mechanism is very important to the design of protic ILs in the future for CO2 capture and utilization.
Supplementary Materials
The following are available online at https://www.mdpi.com/article/10.3390/pr9061023/s1, Table S1: CO2 capacities by DPILs, Figure S1: 1H NMR spectra of imidazole in DMSO-d6, Figure S2: 1H (A) and 13C (B) NMR spectra of [DMEDAH] [Im] after CO2 absorption; D2O was used as the internal solvent to record the spectra, Figure S3: 1H (A) and 13C (B) NMR spectra of [DMEDAH] [Py] before and after CO2 absorption; DMSO-D6 was used as the external solvent, Figure S4: 1H (A) and 13C (B) NMR spectra of [DMEDAH] [Tz] before and after CO2 absorption; DMSO-D6 was used as the external solvent, Figure S5: The 1H-13C HMBC spectra of [DMEDAH] [Py] after CO2 capture; D2O was used as the internal solvent to record the spectra, Figure S6: The 1H-13C HMBC spectra of [DMEDAH] [Tz] after CO2 capture; D2O was used as the internal solvent to record the spectra.
Author Contributions
Investigation, X.W.; data curation, X.W. and C.W.; writing—original draft preparation, C.W. and D.Y.; writing—review and editing, C.W. and D.Y.; supervision, D.Y.; funding acquisition, C.W. and D.Y. All authors have read and agreed to the published version of the manuscript.
Funding
This research was funded by the Fundamental Research Funds for the Central Universities (No. 2652019111 and 2652019017) and the National Natural Science Foundation of China (No. 21503196).
Institutional Review Board Statement
Not applicable.
Informed Consent Statement
Not applicable.
Data Availability Statement
Not applicable.
Conflicts of Interest
The authors declare no conflict of interest.
Sample Availability
Samples of the compounds are available from the authors.
References
- Bui, M.; Adjiman, C.S.; Bardow, A.; Anthony, E.J.; Boston, A.; Brown, S.; Fennell, P.S.; Fuss, S.; Galindo, A.; Hackett, L.A.; et al. Carbon capture and storage (CCS): The way forward. Energy Environ. Sci. 2018, 11, 1062–1176. [Google Scholar] [CrossRef]
- Rochelle, G.T. Amine Scrubbing for CO2 Capture. Science 2009, 325, 1652–1654. [Google Scholar] [CrossRef] [PubMed]
- Mota-Martinez, M.T.; Hallett, J.P.; Mac Dowell, N. Solvent selection and design for CO2 capture—How we might have been missing the point. Sustain. Energy FUELS 2017, 1, 2078–2090. [Google Scholar] [CrossRef]
- Yang, Q.; Wang, Z.; Bao, Z.; Zhang, Z.; Yang, Y.; Ren, Q.; Xing, H.; Dai, S. New Insights into CO2 Absorption Mechanisms with Amino-Acid Ionic Liquids. Chemsuschem 2016, 9, 806–812. [Google Scholar] [CrossRef]
- Chen, F.-F.; Huang, K.; Zhou, Y.; Tian, Z.-Q.; Zhu, X.; Tao, D.-J.; Jiang, D.-E.; Dai, S. Multi-Molar Absorption of CO2 by the Activation of Carboxylate Groups in Amino Acid Ionic Liquids. Angew. Chem. Int. Ed. 2016, 55, 7166–7170. [Google Scholar] [CrossRef]
- Aghaie, M.; Rezaei, N.; Zendehboudi, S. A systematic review on CO2 capture with ionic liquids: Current status and future prospects. Renew. Sustain. Energy Rev. 2018, 96, 502–525. [Google Scholar] [CrossRef]
- Zanatta, M.; Simon, N.M.; dos Santos, F.P.; Corvo, M.C.; Cabrita, E.J.; Dupont, J. Correspondence on “Preorganization and Cooperation for Highly Efficient and Reversible Capture of Low-Concentration CO2 by Ionic Liquids”. Angew. Chem. Int. Ed. 2019, 58, 382–385. [Google Scholar] [CrossRef]
- Bhattacharyya, S.; Filippov, A.; Shah, F.U. High CO2 absorption capacity by chemisorption at cations and anions in choline-based ionic liquids. Phys. Chem. Chem. Phys. 2017, 19, 31216–31226. [Google Scholar] [CrossRef]
- Gurkan, B.; Goodrich, B.F.; Mindrup, E.M.; Ficke, L.E.; Massel, M.; Seo, S.; Senftle, T.P.; Wu, H.; Glaser, M.F.; Shah, J.K.; et al. Molecular Design of High Capacity, Low Viscosity, Chemically Tunable Ionic Liquids for CO2 Capture. J. Phys. Chem. Lett. 2010, 1, 3494–3499. [Google Scholar] [CrossRef]
- Wang, C.; Luo, X.; Luo, H.; Jiang, D.-E.; Li, H.; Dai, S. Tuning the Basicity of Ionic Liquids for Equimolar CO2 Capture. Angew. Chem. Int. Ed. 2011, 50, 4918–4922. [Google Scholar] [CrossRef] [PubMed]
- Luo, X.; Guo, Y.; Ding, F.; Zhao, H.; Cui, G.; Li, H.; Wang, C. Significant Improvements in CO2 Capture by Pyridine-Containing Anion-Functionalized Ionic Liquids through Multiple-Site Cooperative Interactions. Angew. Chem. Int. Ed. 2014, 53, 7053–7057. [Google Scholar] [CrossRef]
- Vijayraghavan, R.; Pas, S.J.; Izgorodina, E.I.; MacFarlane, D.R. Diamino protic ionic liquids for CO2 capture. Phys. Chem. Chem. Phys. 2013, 15, 19994–19999. [Google Scholar] [CrossRef]
- Simons, T.J.; Verheyen, T.; Izgorodina, E.I.; Vijayaraghavan, R.; Young, S.; Pearson, A.K.; Pas, S.J.; MacFarlane, D.R. Mechanisms of low temperature capture and regeneration of CO2 using diamino protic ionic liquids. Phys. Chem. Chem. Phys. 2016, 18, 1140–1149. [Google Scholar] [CrossRef]
- Zhao, T.; Zhang, X.; Tu, Z.; Wu, Y.; Hu, X. Low-viscous diamino protic ionic liquids with fluorine-substituted phenolic anions for improving CO2 reversible capture. J. Mol. Liq. 2018, 268, 617–624. [Google Scholar] [CrossRef]
- Oncsik, T.; Vijayaraghavan, R.; MacFarlane, D.R. High CO2 absorption by diamino protic ionic liquids using azolide anions. Chem. Commun. 2018, 54, 2106–2109. [Google Scholar] [CrossRef]
- Fan, G.-j.; Wee, A.G.H.; Idem, R.; Tontiwachwuthikul, P. NMR Studies of Amine Species in MEA−CO2−H2O System: Modification of the Model of Vapor−Liquid Equilibrium (VLE). Ind. Eng. Chem. Res. 2009, 48, 2717–2720. [Google Scholar] [CrossRef]
- Barzagli, F.; Giorgi, C.; Mani, F.; Peruzzini, M. Reversible carbon dioxide capture by aqueous and non-aqueous amine-based absorbents: A comparative analysis carried out by 13C NMR spectroscopy. Appl. Energy 2018, 220, 208–219. [Google Scholar] [CrossRef]
- Lei, X.; Xu, Y.; Zhu, L.; Wang, X. Highly efficient and reversible CO2 capture through 1,1,3,3-tetramethylguanidinium imidazole ionic liquid. Rsc. Adv. 2014, 4, 7052–7057. [Google Scholar] [CrossRef]
- Gao, F.; Wang, Z.; Ji, P.; Cheng, J.-P. CO2 Absorption by DBU-Based Protic Ionic Liquids: Basicity of Anion Dictates the Absorption Capacity and Mechanism. Front. Chem. 2019, 6, 658. [Google Scholar] [CrossRef] [PubMed]
- Mukesh, C.; Khokarale, S.G.; Virtanen, P.; Mikkola, J.-P. Rapid desorption of CO2 from deep eutectic solvents based on polyamines at lower temperatures: An alternative technology with industrial potential. Sustain. Energy Fuels 2019, 3, 2125–2134. [Google Scholar] [CrossRef]
- Yu, B.; Li, L.; Yu, H.; Maeder, M.; Puxty, G.; Yang, Q.; Feron, P.; Conway, W.; Chen, Z. Insights into the Chemical Mechanism for CO2(aq) and H+ in Aqueous Diamine Solutions—An Experimental Stopped-Flow Kinetic and 1H/13C NMR Study of Aqueous Solutions of N,N-Dimethylethylenediamine for Postcombustion CO2 Capture. Environ. Sci. Technol. 2018, 52, 916–926. [Google Scholar] [CrossRef]
Publisher’s Note: MDPI stays neutral with regard to jurisdictional claims in published maps and institutional affiliations. |
© 2021 by the authors. Licensee MDPI, Basel, Switzerland. This article is an open access article distributed under the terms and conditions of the Creative Commons Attribution (CC BY) license (https://creativecommons.org/licenses/by/4.0/).






