A Near Fourier-Limited Pulse-Preserving Monochromator for Extreme-Ultraviolet Pulses in the Few-Fs Regime
Abstract
1. Introduction
2. Theory of Multilayer Mirrors
3. XUV Monochromator Design
- Peak reflectivity at 92 eV;
- Minimum tunability ±2 eV;
- Reflected bandwidth <0.8 eV (FWHM);
- Collinear setup with small beam offset;
- Small overall footprint to incorporate the monochromator in standard HHG pump–probe setups;
- The monochromator needs to preserve the pulse according to the desired temporal resolution for pump–probe spectroscopy experiments.
4. Simulations
4.1. XUV Multilayer Design
4.2. Spectral Tunability Simulation
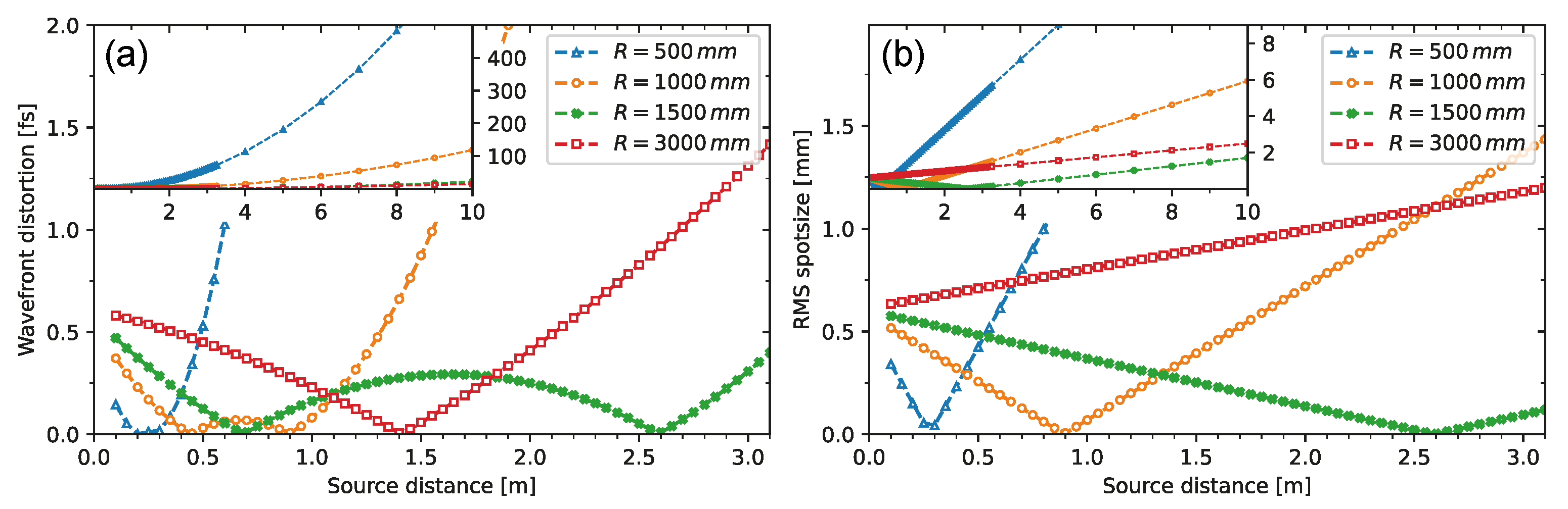
4.3. Evaluation of Temporal Performance
- Gaussian beam waist m;
- Central wavelength ;
- Beam-quality factor ;
- Mirror angles ;
- Distance between the two mirrors leading to a beam offset of .
5. Experiment
5.1. Laser System and HHG
- ;
- ;
- Center wavelength: 803 nm;
- Repetition rate: 3 kHz;
- CEP stability: rms
- gas-filled hollow-core fiber (HCF) compression to .
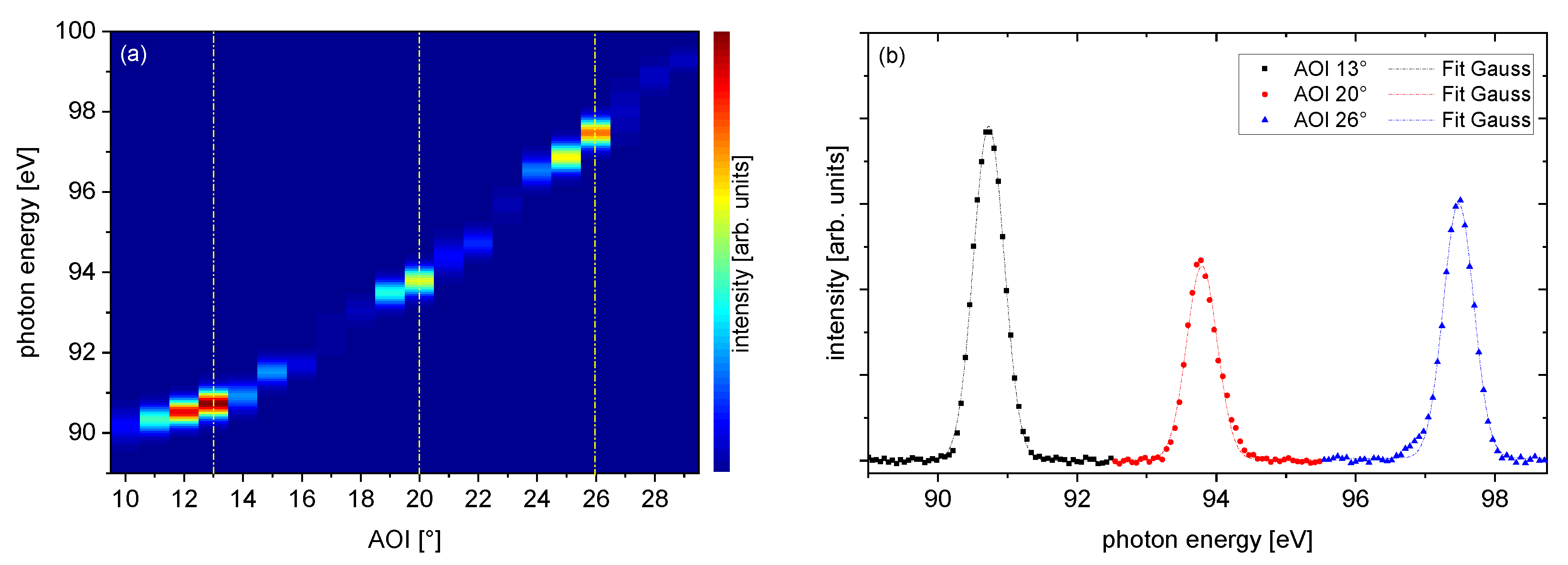
5.2. Multilayer Mirror Monochromator Characterization
6. Conclusions and Discussion
Author Contributions
Funding
Data Availability Statement
Acknowledgments
Conflicts of Interest
Appendix A. Laser Characterization
Appendix A.1. Commercial CEP-Stabilized Ti:Sapphire CPA System
Appendix A.2. Hollow-Core Fiber Compression

Appendix A.3. CEP Stability and CEP Dependence of HHG


Appendix B. Optical Properties
Appendix B.1. Expected Extinction Ratio

Appendix B.2. Astigmatic Centroid Size

References
- Teichmann, S.M.; Silva, F.; Cousin, S.L.; Hemmer, M.; Biegert, J. 0.5-keV Soft X-ray attosecond continua. Nat. Commun. 2016, 7, 11493. [Google Scholar] [CrossRef]
- Ishii, N.; Kaneshima, K.; Kitano, K.; Kanai, T.; Watanabe, S.; Itatani, J. Carrier-envelope phase-dependent high harmonic generation in the water window using few-cycle infrared pulses. Nat. Commun. 2014, 5, 3331. [Google Scholar] [CrossRef] [PubMed]
- Pertot, Y.; Schmidt, C.; Matthews, M.; Chauvet, A.; Huppert, M.; Svoboda, V.; von Conta, A.; Tehlar, A.; Baykusheva, D.; Wolf, J.P.; et al. Time-resolved X-ray absorption spectroscopy with a water window high-harmonic source. Science 2017, 355, 264–267. [Google Scholar] [CrossRef]
- Chini, M.; Zhao, K.; Chang, Z. Broadband Isolated Attosecond Pulses: Generation, Characterization, and Applications. arXiv 2013, arXiv:1312.1679. [Google Scholar] [CrossRef]
- Hofstetter, M.; Schultze, M.; Fieß, M.; Dennhardt, B.; Guggenmos, A.; Gagnon, J.; Yakovlev, V.S.; Goulielmakis, E.; Kienberger, R.; Gullikson, E.M.; et al. Attosecond dispersion control by extreme ultraviolet multilayer mirrors. Opt. Express 2011, 19, 1767. [Google Scholar] [CrossRef] [PubMed]
- Schultze, M.; Goulielmakis, E.; Uiberacker, M.; Hofstetter, M.; Kim, J.; Kim, D.; Krausz, F.; Kleineberg, U. Powerful 170-attosecond XUV pulses generated with few-cycle laser pulses and broadband multilayer optics. New J. Phys. 2007, 9, 243. [Google Scholar] [CrossRef]
- Cousin, S.L.; Di Palo, N.; Buades, B.; Teichmann, S.M.; Reduzzi, M.; Devetta, M.; Kheifets, A.; Sansone, G.; Biegert, J. Attosecond Streaking in the Water Window: A New Regime of Attosecond Pulse Characterization. Phys. Rev. X 2017, 7, 041030. [Google Scholar] [CrossRef]
- Gaumnitz, T.; Jain, A.; Pertot, Y.; Huppert, M.; Jordan, I.; Ardana-Lamas, F.; Wörner, H.J. Streaking of 43-attosecond soft-X-ray pulses generated by a passively CEP-stable mid-infrared driver. Opt. Express 2017, 25, 27506. [Google Scholar] [CrossRef] [PubMed]
- Villoresi, P. Compensation of optical path lengths in extreme-ultraviolet and soft-x-ray monochromators for ultrafast pulses. Appl. Opt. 1999, 38, 6040. [Google Scholar] [CrossRef]
- Frassetto, F.; Bonora, S.; Vozzi, C.; Stagira, S.; Zanchetta, E.; Della Giustina, G.; Brusatin, G.; Poletto, L. Active-grating monochromator for the spectral selection of ultrashort pulses. Optics Express 2013, 21, 12996. [Google Scholar] [CrossRef]
- Poletto, L.; Miotti, P.; Frassetto, F.; Spezzani, C.; Grazioli, C.; Coreno, M.; Ressel, B.; Gauthier, D.; Ivanov, R.; Ciavardini, A.; et al. Double-configuration grating monochromator for extreme-ultraviolet ultrafast pulses. Appl. Opt. 2014, 53, 5879. [Google Scholar] [CrossRef] [PubMed]
- Kleineberg, U.; Menke, D.; Hamelmann, F.; Heinzmann, U.; Schmidt, O.; Fecher, G.; Schoenhense, G. Photoemission microscopy with microspot-XPS by use of undulator radiation and a high-throughput multilayer monochromator at BESSY. J. Electron Spectros. Relat. Phenom. 1999, 101–103, 931–936. [Google Scholar] [CrossRef]
- Takahashi, E.J.; Hatayama, M.; Ichimaru, S.; Midorikawa, K. Dispersion-free monochromatization method for selecting a single-order harmonic beam. arXiv 2015, arXiv:1502.05124. [Google Scholar]
- Hatayama, M.; Ichimaru, S.; Ohcni, T.; Takahashi, E.J.; Midorikawa, K.; Oku, S. Wide-range narrowband multilayer mirror for selecting a single-order harmonic in the photon energy range of 40–70 eV. Optics Express 2016, 24, 14546. [Google Scholar] [CrossRef] [PubMed]
- Poletto, L.; Tondello, G. Time-compensated extreme-UV and soft x-ray monochromator for ultrashort high-order harmonic pulses. J. Opt. Pure Appl. Opt. 2001, 3, 374–379. [Google Scholar] [CrossRef]
- Guo, Q.; Dendzik, M.; Grubišić-Čabo, A.; Berntsen, M.H.; Li, C.; Chen, W.; Matta, B.; Starke, U.; Hessmo, B.; Weissenrieder, J.; et al. A narrow bandwidth extreme ultra-violet light source for time- and angle-resolved photoemission spectroscopy. Struct. Dyn. 2022, 9, 024304. [Google Scholar] [CrossRef]
- Yang, Y.; Hengster, J.; Neumann, T.; Mainz, R.E.; Mücke, O.D.; Kärtner, F.X.; Uphues, T. A time-preserving ultra-narrow-bandwidth multilayer-mirror monochromator for extreme ultraviolet pulses. In Proceedings of the Conference on Lasers and Electro-Optics, San Jose, CA, USA, 13–18 May 2018; Volume Part F92-C, p. JTu2A.157. [Google Scholar] [CrossRef]
- Spiller, E.A. Soft X-ray Optics; SPIE Optical Engineering Press: Bellingham, WA, USA, 1994; p. 290. [Google Scholar]
- Attwood, D.; Sakdinawat, A. X-rays and Extreme Ultraviolet Radiation; Cambridge University Press: Cambridge, UK, 2016. [Google Scholar] [CrossRef]
- Suman, M.; Frassetto, F.; Nicolosi, P.; Pelizzo, M.G. Design of aperiodic multilayer structures for attosecond pulses in the extreme ultraviolet. Appl. Opt. 2007, 46, 8159. [Google Scholar] [CrossRef] [PubMed]
- Guggenmos, A.; Rauhut, R.; Hofstetter, M.; Hertrich, S.; Nickel, B.; Schmidt, J.; Gullikson, E.M.; Seibald, M.; Schnick, W.; Kleineberg, U. Aperiodic CrSc multilayer mirrors for attosecond water window pulses. Opt. Express 2013, 21, 21728. [Google Scholar] [CrossRef] [PubMed]
- Hecht, E. Optics, 4th ed.; Addison Wesley: Reading, UK, 2002. [Google Scholar]
- Drescher, M.; Siffalovic, P.; Spieweck, M.; Heinzmann, U. Applicability of monochromatized high harmonic extended ultraviolet radiation for inner-shell photoelectron spectroscopy. J. Electron Spectrosc. Relat. Phenom. 2002, 127, 103–108. [Google Scholar] [CrossRef]
- Drescher, M.; Hentschel, M.; Kienberger, R.; Uiberacker, M.; Yakovlev, V.; Scrinzi, A.; Westerwalbesloh, T.; Kleineberg, U.; Heinzmann, U.; Krausz, F. Time-resolved atomic inner-shell spectroscopy. Nature 2002, 419, 803–807. [Google Scholar] [CrossRef]
- Uphues, T.; Schultze, M.; Kling, M.F.; Uiberacker, M.; Hendel, S.; Heinzmann, U.; Kabachnik, N.M.; Drescher, M. Ion-charge-state chronoscopy of cascaded atomic Auger decay. New J. Phys. 2008, 10, 025009. [Google Scholar] [CrossRef]
- Hütten, K.; Mittermair, M.; Stock, S.O.; Beerwerth, R.; Shirvanyan, V.; Riemensberger, J.; Duensing, A.; Heider, R.; Wagner, M.S.; Guggenmos, A.; et al. Ultrafast quantum control of ionization dynamics in krypton. Nat. Commun. 2018, 9, 719. [Google Scholar] [CrossRef] [PubMed]
- Sansone, G.; Poletto, L.; Nisoli, M. High-energy attosecond light sources. Nat. Photonics 2011, 5, 655–663. [Google Scholar] [CrossRef]
- Krausz, F.; Ivanov, M. Attosecond physics. Rev. Mod. Phys. 2009, 81, 163–234. [Google Scholar] [CrossRef]
- Chang, Z. Fundamentals of Attosecond Optics; CRC Press: Boca Raton, FL, USA, 2016. [Google Scholar] [CrossRef]
- Uphues, T. Adaptive Femtosecond Laser Pulse Shaping for High Harmonic Optimization. Diploma Thesis, University Bielefeld, Molecular and Surface Physics, Bielefeld, Germany, 2003. [Google Scholar]






| Theoretical Data | ||
|---|---|---|
| AOI | [eV] | FWHM [eV] | 
| Experimental Data | ||
|---|---|---|
| AOI | [eV] | FWHM [eV] | 
| Disclaimer/Publisher’s Note: The statements, opinions and data contained in all publications are solely those of the individual author(s) and contributor(s) and not of MDPI and/or the editor(s). MDPI and/or the editor(s) disclaim responsibility for any injury to people or property resulting from any ideas, methods, instructions or products referred to in the content. | 
© 2024 by the authors. Licensee MDPI, Basel, Switzerland. This article is an open access article distributed under the terms and conditions of the Creative Commons Attribution (CC BY) license (https://creativecommons.org/licenses/by/4.0/).
Share and Cite
Yang, Y.; Neumann, T.; Hengster, J.; Mainz, R.E.; Elsner, J.; Mücke, O.D.; Kärtner, F.X.; Uphues, T. A Near Fourier-Limited Pulse-Preserving Monochromator for Extreme-Ultraviolet Pulses in the Few-Fs Regime. Photonics 2024, 11, 525. https://doi.org/10.3390/photonics11060525
Yang Y, Neumann T, Hengster J, Mainz RE, Elsner J, Mücke OD, Kärtner FX, Uphues T. A Near Fourier-Limited Pulse-Preserving Monochromator for Extreme-Ultraviolet Pulses in the Few-Fs Regime. Photonics. 2024; 11(6):525. https://doi.org/10.3390/photonics11060525
Chicago/Turabian StyleYang, Yudong, Tanja Neumann, Julia Hengster, Roland E. Mainz, Jakob Elsner, Oliver D. Mücke, Franz X. Kärtner, and Thorsten Uphues. 2024. "A Near Fourier-Limited Pulse-Preserving Monochromator for Extreme-Ultraviolet Pulses in the Few-Fs Regime" Photonics 11, no. 6: 525. https://doi.org/10.3390/photonics11060525
APA StyleYang, Y., Neumann, T., Hengster, J., Mainz, R. E., Elsner, J., Mücke, O. D., Kärtner, F. X., & Uphues, T. (2024). A Near Fourier-Limited Pulse-Preserving Monochromator for Extreme-Ultraviolet Pulses in the Few-Fs Regime. Photonics, 11(6), 525. https://doi.org/10.3390/photonics11060525
 
        

 
       