Abstract
A series of latonduine derivatives, namely 11-nitro-indolo[2,3-d]benzazepine-7-(1-amino-hydantoin) (B), triazole-fused indolo[2,3-d]benzazepine-based Schiff bases HL1 and HL2 and metal complexes [M(p-cymene)(HL1)Cl]Cl, where M = Ru (1), Os (2), and [Cu(HL2)Cl2] (3) were synthesized and characterized by spectroscopic techniques (UV–vis, 1H, 13C, 15N–1H HSQC NMR) and ESI mass spectrometry. The molecular structures of B and HL1 were confirmed by single-crystal X-ray diffraction, while that of 3 by electron diffraction of nanometer size crystalline sample. Molecular docking calculations of species B in the binding pocket of PIM-1 enzyme revealed that the 1-amino-hydantoin moiety is not involved in any hydrogen-bonding interactions, even though a good accommodation of the host molecule in the ATP binding pocket of the enzyme was found. The antiproliferative activity of organic compounds B, HL1 and HL2, as well as complexes 1–3 was investigated in lung adenocarcinoma A549, colon adenocarcinoma LS-174 and triple-negative breast adenocarcinoma MDA-MB-231 cells and normal human lung fibroblast cells MRC-5 by MTT assays; then, the results are discussed.
1. Introduction
In our modern society cancer has become a major threat [1]. Even though more and more people survive this severe disease in some particular cases, such as lung cancer, survival rate did not ameliorate much over the years. Cancer is still the second frequent cause for death after cardiovascular diseases [2]. The Global Cancer Observatory estimates that the total number of incidences and mortality will rise in the nearest future [3]. These predictions make the search for new anticancer drugs even more imperative.
Indolo[3,2-d]benzazepines, also known as Paullones (Figure 1), and their metal complexes have been extensively studied over the last two decades. The compounds revealed antiproliferative activities with IC50 values from the low micromolar concentration range down to submicromolar concentrations for Ru(II)- and Os(II)-arene complexes, and even to the nanomolar concentration range for some Cu(II) complexes [4,5,6,7,8]. As possible targets underlying the mechanism of antiproliferative activity of these compounds at the molecular level several cancer related kinases were reported, namely GSK3β, CDK2/cyclin A, Lck and Src [9,10,11,12,13,14,15,16,17].
Figure 1.
Line drawings of indolo[3,2-d]benzazepines (Paullones), indolo[2,3-d]benzazepine and Latonduines.
Quite recently we turned our attention to indolo[2,3-d]benzazepine derivatives as isomers of Paullones. Intriguingly, their backbone is derived from the natural alkaloids of Latonduines (Figure 1), which do not show marked cytotoxicity [18,19]. However, fusion of an additional indole moiety to the Latonduine skeleton led to an enormous enhancement of antiproliferative activity with IC50 values in the low to sub-micromolar concentration range [20]. The favorable effect of an indole core on the pharmacological profile of other drugs is well-documented in the literature [21,22,23]. These indolo[2,3-d]benzazepine molecules were discovered to act as microtubule destabilizing agents (MDA) fitting well into the colchicine binding pocket [24]. One disadvantage for the development of these molecules as anticancer drugs is their poor aqueous solubility. As for Paullones this drawback could be overcome by their coordination to metals via creation of suitable binding sites attached to the main scaffold (see Figure 2) [4,5,7,8,25]. Ru(II)- and Os(II)-arene, as well as Cu(II) complexes with these potential indolo[2,3-d]benzazepine ligands shown in Figure 2 were recently prepared and investigated for their antiproliferative activity [26,27,28].
Figure 2.
From left to right: Ru(II)/Os(II) complexes with Paullone and Latonduine derivatives with different binding sites, and a Cu(II) complex with a Latonduine modified at the lactam moiety.
Established structure-activity relationships (SARs) revealed very good antiproliferative activity of the metal-free Latonduine derivatives modified at the lactam moiety [27,28], while those containing a metal-binding unit at position 11 (Figure 2) are markedly less active, but still with IC50 values in the micromolar concentration range [26]. In both cases metal complex formation with the respective transition metals enhanced the pharmacological profile, however, distinct differences could still be observed. For Cu(II) complexes the aqueous solubility only slightly increased, while cytotoxicity of lead compounds reached the low nanomolar concentration range [27,28]. Cationic Ru(II) and Os(II) complexes became soluble in biocompatible media, but IC50 values did not ameliorate when compared to those of metal-free derivatives [26]. Taking into account the established SARs, and, in particular, that the increase in the cytotoxicity of indolo[2,3-d]benzazepines is observed when structural modifications are performed at the lactam moiety of the backbone (compare with [26,27]), as well as the results reported by Anand et al. [29] on the synthesis of a large library of MST1 kinase inhibitors via coupling of inert organoruthenium complexes with bioactive fragments, we selected one of them, namely, 1-amino-hydantoin (1-AH, see Figure 3 highlighted in blue) as a unit to be attached to our scaffold at the lactam group (see Figure 3). We expected to increase the docking ability of the new hybrid to ATP binding sites of cancer related mammalian kinases, and eventually enhance their antiproliferative activity [29].
Figure 3.
Core structure B (1-AH moiety is highlighted in blue), ligands HL1 and HL2, and their Ru(II)- and Os(II)-arene, as well as Cu(II) complexes 1–3. Underlined numbers indicate compounds studied by SC-XRD or ED methods.
Transition metal complexes of hydantoin derivatives are known [30] and positive effects of hydantoin on antimitotic and antiviral activities of inactive amino acids were reported [31]. In addition, this moiety has been proven to have an immunomodulating effect antagonizing carcinogenesis [32] and its derivatives can act as independent EGFR-inhibitors and inducers of apoptosis [33,34] providing further arguments in favor of using this 1-AH unit for the design of new anticancer drugs.
Herein we report on attempts to attach the 1-AH unit at the lactam moiety of 11-nitroindolo[2,3-d]benzazepine-7-one and create a suitable binding site at position 11 for accommodation of Ru(II)/Os(II) and Cu(II). The prepared two ligands (HL1 and HL2) along with Ru(II)- and Os(II)-p-cymene, and Cu(II) complexes 1–3 collected in Figure 3 were spectroscopically (1H, 13C NMR, 2D NMR, UV–vis) characterized and their structures confirmed by ESI mass spectrometry and single-crystal X-ray diffraction (SC-XRD), as well as by Electron Diffraction (ED), a new technique, which was used for determination of the structure of the nanometer size crystals. All compounds were assessed for antiproliferative activity and structure-activity relationships were discussed.
2. Results and Discussion
2.1. Synthesis and Spectroscopic Analysis
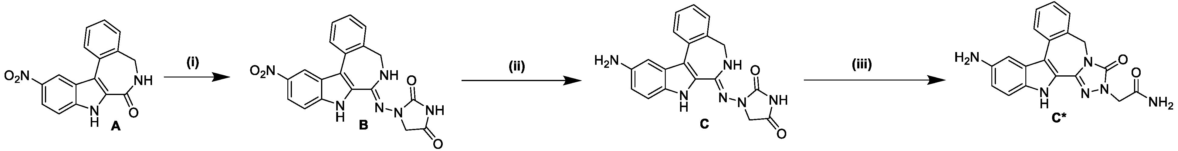
The synthesis of potential ligands HL1 and HL2 started with attempts to couple 1-AH to scaffold A at the lactam moiety. As thiolactam group is considered to be more suitable for condensation reaction with hydrazine monohydrate [27,28], we tried first to thionate species A. The reaction of A with P4S10 afforded the thiolactam derivative in low yield. However, further reaction with 1-AH failed, and species B could not be prepared. When A was allowed to react with an excess POCl3 at reflux under inert atmosphere a more reactive 7-chloroimine derivative was generated, a species already reported previously for indoloquinolines [6,25,35]. Further reaction with excess 1-AH in dry MeCN produced compound B, which was isolated as hydrochloride salt. The hydrochloride in EtOAc was neutralized with a saturated aqueous solution of sodium bicarbonate to give the free base. Purification on silica resulted in the desired product of excellent purity and moderate yield (60%). Positive ion ESI mass spectrum revealed a peak with m/z 391.17 attributed to [M+H]+ (calcd m/z 391.12). A single-crystal X-ray diffraction structure of species B confirmed the attachment of 1-AH moiety to the main scaffold (vide infra).
Further reduction in B with molecular hydrogen in the presence of Pd/C at 3 bar in dry THF [26] yielded pure amine C in almost quantitative yield. Condensation of amine C bearing 1-AH moiety with pyridine-2-carboxaldehyde and 2-formyl-6-morpholinomethyl-pyridine was expected to afford Schiff bases bearing the same 1-AH moiety. However, spectroscopic (1H, 13C and 15N-1H HSQC NMR) investigation of analytically pure products HL1 and HL2 indicated the formation of unexpected species via intramolecular ring closure reaction, which is facilitated in the presence of base. Suspending C in methanol with a small amount of NEt3 and stirring at reflux for 3 h resulted in cyclization product C* (see Scheme 1). The typical chemical shift for H5 (~10.9 ppm) in Latonduines [26,27,28] in 1H NMR spectra of B and C disappeared in the case of C* (see Figures S4–S6). Upon Schiff-base condensation of C with the two aldehydes to HL1 and HL2, respectively, this singlet disappeared as well (see Figures S7 and S8), indicating a similar transformation with that of C into C*. In addition, 15N-1H HSQC NMR spectra revealed two new protons of the amide group further attesting the identity of HL1 and HL2 (see Figure S15). Positive ion ESI mass spectra of HL1 and HL2 showed peaks with m/z 472.22 and 549.33 attributed to [M+Na]+ and [M+H]+, respectively. The molecular structure of the compounds was further confirmed by single-crystal X-ray diffraction study of HL1 (vide infra).
Scheme 1.
Synthesis pathway for core amine C. (i): (1) POCl3, 130 °C, 3 h, (2) 1-AH, MeCN, 50 °C, 16 h; (ii): Pd/C (10%), THF, H2, 3 bar, RT, 28 h; (iii): NEt3, MeOH, reflux, 3 h.
The synthesis of metal(II)-arene complexes 1 and 2 was performed by reactions of HL1 with [MCl2(p-cymene)]2 (M = Ru, Os) in hot isopropanol as reported for other related complexes elsewhere [26]. ESI mass spectra of 1 and 2 revealed peaks with m/z 720.21 and 810.26, respectively, which could be easily assigned to [M(p-cymene)(HL1)Cl]+, where M = Ru and Os. The experimental isotopic patterns for these ions were in very good agreement with calculated isotopic distributions (see Supplementary Material). Complex 3 was synthesized by reaction of HL2 with CuCl2·2H2O in boiling isopropanol as recently reported for similar compounds [27,28]. The ESI mass spectrum of 3 showed a peak with m/z 646.20, which could be assigned to [Cu(HL2)Cl]+ (calcd m/z 646.13). If the structure of diamagnetic complexes 1 and 2 could be confirmed by 1H and 13C NMR spectra, the coordination geometry of copper(II) in complex 3 could not be inferred directly from ESI mass spectrometry investigation or elemental analysis. Attempts to obtain single crystals of X-ray diffraction quality for routine measurements failed. However, investigation of the powdered sample under electronic microscope (see Experimental part) showed the presence of very small crystals of 100 nm size, which proved to be suitable for collection of electron diffraction (ED) data, structure solution and refinement. The results of ED study of complex 3 and X-ray diffraction measurements of species B and ligand HL1 are discussed below.
Elemental analyses of B, HL1, HL2 and 1–3 (Table S1 in the Supplementary Material) confirmed their ≥95% purity required for in vitro testing.
2.2. Molecular Structure Description of Species B, HL1 and 3
The results of X-ray diffraction measurements of species B and potential ligand HL1 are shown in Figure 4, while those of the electron diffraction structure of complex 3 in Figure 5. Details of data collection and refinement are summarized in Table S2.
Figure 4.
(a) ORTEP view of B with thermal ellipsoids at 50% probability level. Selected bond distances (Å) and torsion angles (deg): N6–C7 1.339(3), C7–C7A 1.460(7), C7–N14 1.318(3), N14–N15 1.417(2), C16–O3 1.213(2), C18–O4 1.221(3), ΘC7–N14–N16–C16 97.8(2), ΘO1–N13–C11–C12 4.6(3); (b) ORTEP view of of HL1 with thermal ellipsoids at 50% probability level. Selected bond distances (Å), bond angles (deg) and torsion angles (deg): C5–N6 1.462(2), N6–C7 1.367(2), C7–C7A 1.444(2), C7–N13 1.307(2), N13–N14 1.3911(19), N14–C15 1.378(2), N6–C15 1.384(2), C16–N17 1.359(4), ΘC4a–C5–N6–C7 –62.7(2).
Figure 5.
Electron Diffraction (ED) structure of complex 3 with thermal ellipsoids at 40% probability level. Selected bond distances (Å): Cu–N19 2.162(12), Cu–N22 1.932(7), Cu–N28 2.223(13), Cu–Cl1 2.282(8), Cu–Cl2 2.223(13) Å.
Species B crystallized in the monoclinic centrosymmetric space group C2/c, HL1 in the centrosymmetric triclinic space group P, while complex 3 in the monoclinic centrosymmetric space group P21/n.
Complex 3 adopts a slightly distorted square-pyramidal coordination geometry (τ5 = 0.07) [36]. The Schiff base acts as a neutral tridentate ligand HL2 binding to copper(II) via azomethine nitrogen atom N19, the pyridine nitrogen N22 and morpholine nitrogen atom N28 and together with the chlorido co-ligand Cl1 forms the base of the pyramid. The apical position is occupied by the second chlorido co-ligand Cl2.
2.3. Stability in Solution
To confirm solution stability of the compounds to be tested in vitro for their antiproliferative activity 1% aqueous DMSO solutions of complexes 1–3 were monitored by UV–vis spectroscopy over 72 h. Figures S1 and S2 indicate that complexes 1 and 2 remain intact in solution, while Figure S3 shows decrease in intensity over time for complex 3 due to precipitation of the compound. Moreover, no isosbestic points were observed indicating that complex 3 is stable in biocompatible media over 72 h. These data are in line with recent findings that metal-arene complexes with this type of coordination mode are resistant to co-ligand(s) exchange for DMSO [26].
2.4. Antiproliferative Activity
The antiproliferative activity of organic species B, HL1 and HL2 and complexes 1–3 was investigated in three human tumor cell lines (lung adenocarcinoma A549, colon adenocarcinoma LS-174 and triple-negative breast adenocarcinoma MDA-MB-231) and one normal human lung fibroblast cell line MRC-5. Cisplatin was used as reference compound. The IC50 values (µM) after 72 h of continuous drug action are summarized in Table 1 and a bar graph plot is shown in Figure S16 (Supplementary Material). All organic compounds are almost nontoxic in A549 cells and revealed low toxicity in LS-174 and MDA-MB-231 cells, which is comparable with that in noncancerous cells MRC-5. Comparison of the IC50 values for HL1 and HL2 in cancer cell lines suggests that morpholine moiety does not have any effect on the cytotoxicity in cancer cells. Complex formation enhances the antiproliferative activity of HL1 and HL2 in all cell lines tested. Copper(II) complex 3 exhibited the highest antiproliferative activity in the tested cell lines with lowest IC50 value of 10.9 ± 0.8 µM in LS-174 cells, which is even more effective than cisplatin and showed significant selectivity for this cells line when compared to that in noncancerous cell line (Selectivity Index 2.9), which was superior to that of the reference drug (0.62). Increased cytotoxicity of transition metal complexes in comparison with that of organic ligands is probably due to enhanced mechanisms of cellular uptake via metal-specific transporter proteins, such as transferrin for Ru(II) [37,38,39], and Ctr1 or ATOX1 for Cu(II) [40,41,42,43]. In addition, the higher antiproliferative activity of copper(II) complex 3 in comparison to that of the corresponding ligand, as well as to that of ruthenium(II)-p-cymene- and osmium(II)-p-cymene complexes 1 and 2 is their potential ability of generation ROS via Fenton-like reactions as was observed for other copper(II) complexes with related tridentate ligands [44].
Table 1.
Cytotoxic activity of compounds B, HL1, HL2 and 1–3 vs. cisplatin in terms of IC50 values (µM), expressed as mean ± SD of at least two independent experiments performed in triplicates. IC50 values of tested complexes and ligands were determined from dose–response curves after 72 h continuous drug action by MTT assay.
To find an explanation for the low cytotoxicity of B we looked at docking capability of B to PIM-1 enzyme binding pocket. PIM-1 was chosen, since Meggers et al. co-crystallized selected compounds with structures related to Paullones with this proto-oncogene [29], and due to recently published studies, where indolo[2,3-c]quinolines and indolo[2,3-d]benzazepines modified at the lactam moiety showed strong binding to its ATP-binding pocket [28].
2.5. Molecular Docking of Species B to PIM-1
Structures A and B were docked to the binding sites of PIM-1 (PDB ID: 1YXX, resolution 2.00 Å) [45] kinase. The robustness of the docking scaffold has been previously reported [28]. The GoldScore (GS) [46] and ChemScore(CS) [47,48] ChemPLP (Piecewise Linear Potential) [49] and ASP (Astex Statistical Potential) [50] scoring functions were implemented to predict the binding modes and relative energies of the ligands using the GOLD (v2020.2.0) software suite. The binding scores, for the ligands are given in Table S3 and they have similar scores to the co-crystallized ligand LI7 [45] indicating reasonable binding. Derivative B, with the hydantoin unit, has better scores than species A except for CS.
Analysis of the docking revealed that all of the scoring functions predicted the same conformation in the binding pocket except CS for structure B. In the case of A ASP and PLP predicted the same conformation as for B whereas the other two were quite different. Finally, the co-crystallized ligand LI7 was overlapped with the dominant conformation of B as shown in Figure 6A. A very good fit is predicted as seen in Figure 6A as the B fully occupies the binding pocket without any clashes with the adjacent amino acid residues. However, no hydrogen bonding is found for the dominant conformation to the neighboring amino acids as shown in Figure 6B. The other conformations were predicted to bind to PIM-1 via hydrogen bonds but consequently had a poorer fit in the pocket.
Figure 6.
(A) The docked pose of B using the ChemPLP scoring function in the PIM-1’s binding site, the co-crystallized ligand LI7 is shown as green sticks, its hydrogens are not shown for clarity. The protein surface is rendered; blue color depicts regions with a partial positive charge on the surface; red color depicts regions with a partial negative charge and grey color shows neutral areas; (B) The predicted binding of species B, no hydrogen bonding interactions were predicted. The amino acids making up the docking scaffold are LEU44, GLY45, SER46, PHE49, ILE104, LEU120, ARG122, PRO123, ILE185 and ASP186 within 5 Å.
2.6. Chemical Space
The calculated molecular descriptors MW (molecular weight), log P (water-octanol partition coefficient), HD (hydrogen bond donors), HA (hydrogen bond acceptors), PSA (polar surface area) and RB (rotatable bonds) are given in Table S4 derived using the QikProp software [51]. The values for the ligands’ descriptors lie mostly within lead- and drug-like chemical space with the notable exception that PSA for species B, which is outside the Known Drug Space (KDS) (for the definition of lead-like, drug-like and KDS regions see [52] and Table S5).
The Known Drug Indexes (KDIs) for the species B and A were calculated to gauge the balance of the molecular descriptors (MW, logP, HD, HA, PSA and RB). This method is based on the analysis of drugs in clinical use, i.e., the statistical distribution of each descriptor is fitted to a Gaussian function and normalized to 1 resulting in a weighted index. Both the summation of the indexes (KDI2a) and multiplication (KDI2b) methods were used [53] as shown for KDI2a in Equation (1) and for KDI2b in Equation (2):
KDI2a = IMW + Ilog P + IHD + IHA + IRB + IPSA
KDI2b = IMW × Ilog P × IHD × IHA × IRB × IPSA
The numerical results are given in Table S6 in the Supplementary Material.
The KDI2a values for the ligands are 4.92 (B) and 5.19 (A) with a theoretical maximum of 6 and the average of 4.08 (±1.27) for known drugs. The KDI2b are 0.20 (B) and 0.40 (A), with a theoretical maximum of 1 and with KDS average of 0.18 (±0.20). This means that the molecular descriptors’ balance is good resulting in good biocompatibility.
Species B contains an imine group, which is quite electron rich rendering it susceptible to an electrophilic attack and a nitro group susceptible for reduction. To test this the ionization potential (one-electron oxidation) and electron affinity (one-electron reduction) were derived for B using the density functional theory (DFT) and compared to the statistical distribution of known drugs [54]. The ionization potential is 7.2 eV and 95% of drugs lie in the 6.0–9.0 eV range; the electron affinity is –1.5 eV with drugs in the –1.5–2.0 eV range [54]. Thus, B is within the ranges of known drugs albeit at the edge of one-electron reduction. Furthermore, B has one N–N single bond, which is relatively weak compared to their C–C counterparts. Therefore, the bond dissociation energy (BDE) for the N–N single bond was also derived using DFT, resulting in 62.7 kcal/mol, which is substantially higher than the average for drugs with N-N bonds (53.9 kcal/mol, n = 23) [55].
3. Materials and Methods
1-Aminohydantoin was purchased from abcr. 2-Formylpyridine was bought from Alfa Aesar. The 6-(N-methylmorpholine) derivative of 2-formylpyridine was synthesized according to literature [56]. The core structure A was synthesized as reported recently [26]. [RuCl2(p-cymene)]2 [57] and [OsCl2(p-cymene)]2 [58] were synthesized according to published protocols.
3.1. Synthesis of Proligands HL1 and HL2
ESI-MS data as well as yields and elemental analyses for HL1 and HL2, as well as of complexes 1–3 can be found in Supplementary Material (Table S1).
- 1-((11-nitro-5,8-dihydroindolo[2,3-d]benzazepine-7(6H)-ylidene)amino)imidazolidine-2,4-dione (B)
A suspension of A (300 mg, 1.02 mmol) in POCl3 (30 mL) under inert atmosphere was stirred at 130 °C for 3 h and then cooled to room temperature. The solvent was removed and to the residue dry acetonitrile (90 mL) was added. The suspension was cooled to 0 °C and added dropwise to a slurry of 1-aminohydantoine in dry acetonitrile (90 mL) at 0 °C. The resulting mixture was stirred at 0 °C for 1 h, then at room temperature for 1 h and at 50 °C overnight. The precipitate was filtered off, treated with EtOAc and saturated aqueous solution of NaHCO3 (100 mL). The organic phase was separated, while the aqueous phase was extracted with EtOAc (2 × 50 mL) The combined organic phases were dried over MgSO4 and purified on silica by using DCM:MeOH 93:7 as eluent to give a yellow solid. Yield: 237 mg (60%). 1H NMR (500 MHz, DMSO-d6) δ 12.63 (s, 1H), 10.92 (s, 1H), 8.84 (d, J = 2.0 Hz, 1H), 8.20 (dd, J = 9.1, 2.1 Hz, 1H), 8.06 (t, J = 5.2 Hz, 1H), 7.97 (d, J = 7.6 Hz, 1H), 7.71 (d, J = 9.1 Hz, 1H), 7.59 (t, J = 7.4 Hz, 1H), 7.49 (d, J = 7.2 Hz, 1H), 7.41 (t, J = 7.4 Hz, 1H), 4.10 (s, 4H).
- 1-((11-amino-5,8-dihydroindolo[2,3-d]benzazepine-7(6H)-ylidene)amino)imidazolidine-2,4-dione (C)
To a solution of B (406 mg, 1.32 mmol) in THF (80 mL) Pd/C (0.1 equiv) was added and the solution was stirred under H2 atmosphere at 3 bar at room temperature for 28 h. The suspension was filtered over Celite and the filtrate was concentrated to give a beige solid. Yield: 370 mg (99%). 1H NMR (500 MHz, DMSO-d6) δ 11.42 (s, 1H), 10.80 (s, 1H), 7.87 (d, J = 7.7 Hz, 1H), 7.83 (t, J = 5.3 Hz, 1H), 7.46 (t, J = 7.1 Hz, 1H), 7.40 (d, J = 7.4 Hz, 1H), 7.27 (t, J = 7.9 Hz, 2H), 7.13 (s, 1H), 6.70 (dd, J = 8.6, 1.9 Hz, 1H), 4.75 (s, 2H), 4.04 (s, 4H).
- HL1·1.1H2O
To species C (200 mg, 0.58 mmol) in anoxic ethanol (2 mL) 2-formylpyridine (61 µL, 0.64 mmol) was added. The resulting solution was stirred at 85 °C for 16 h. The precipitate was filtered off after cooling the reaction mixture to room temperature and washed with EtOH (2 mL) and Et2O (2 mL). The product was dried at 50 °C in vacuo to give a light-orange solid. Yield: 180 mg (69%).1H NMR (600 MHz, DMSO-d6) δ 12.50 (s, 1H, H8), 8.77 (s, 1H, H20), 8.72 (d, J = 4.4 Hz, 1H, H23), 8.21 (d, J = 7.9 Hz, 1H, H26), 8.03 (d, J = 7.6 Hz, 1H, H1), 7.98–7.95 (m, 1H, H25), 7.94 (d, J = 1.6 Hz, 1H, H12), 7.61 (t, J = 8.3 Hz, 2H, H18, H4), 7.59–7.55 (m, 2H, H9, H2), 7.52 (ddd, J = 7.4, 4.8, 1.0 Hz, 1H, H24), 7.49 (dd, J = 8.7, 1.9 Hz, 1H, H10), 7.38 (t, J = 7.4 Hz, 1H, H3), 7.31 (s, 1H, H18), 4.77 (s, 2H, H5), 4.40 (s, 2H, H16). 13C NMR (151 MHz, DMSO-d6) δ 168.36 (Cq, C17), 158.62 (CH, C20), 154.43 (Cq, C21), 152.24 (Cq, C15), 149.59 (CH, C23), 144.11 (Cq, C11), 140.00 (Cq, C7), 136.98 (CH, C25), 136.72 (Cq, C8a), 133.18 (Cq, C4a), 133.00 (Cq, C12c), 129.79 (CH, C4), 129.12 (CH, C2), 128.43 (CH, C1), 126.82 (CH, C3), 125.48 (Cq, C12a), 125.27 (CH, C24), 123.53 (Cq, C7a), 120.97 (CH, C26), 118.72 (CH, C10), 115.99 (Cq, C12b), 113.22 (CH, C9), 112.93 (CH, C12), 47.79 (CH2, C16), 44.70 (CH2, C5). For numbering scheme of HL1 and HL2 see Figure S1 in Supplementary Material.
- HL2·2H2O
To species C (245 mg, 0.68 mmol) in anoxic EtOH (4 mL) 2-formyl-6-morpholinomethyl-pyridine (154 mg, 0.75 mmol) was added. The solution was stirred at 85 °C for 16 h. The precipitate was filtered off after cooling to room temperature and washed with EtOH (1 mL) and Et2O (2 mL). The product was dried at 50 °C in vacuo to give a light-yellow solid. Yield: 267 mg (71%). 1H NMR (600 MHz, DMSO-d6) δ 12.48 (s, 1H, H8), 8.75 (s, 1H, H20), 8.09 (d, J = 7.6 Hz, 1H, H26), 8.04 (d, J = 7.7 Hz, 1H, H1), 7.93 (dd, J = 8.7, 4.6 Hz, 2H, H12, H25), 7.61 (d, J = 7.5 Hz, 1H, H4), 7.58 (dt, J = 7.7, 6.3 Hz, 4H, H2, H18, H9, H24), 7.49 (dd, J = 8.7, 1.7 Hz, 1H, H10), 7.38 (t, J = 7.4 Hz, 1H, H3), 7.30 (s, 1H, H18), 4.77 (s, 2H, H5), 4.40 (s, 2H, H16), 3.68 (s, 2H, H27), 3.65–3.58 (m, 4H, H30), 2.45 (s, 4H, H29). 13C NMR (151 MHz, DMSO-d6) δ 168.37 (Cq, C17), 158.57 (CH, C20), 158.34 (Cq, C23), 153.95 (Cq, C21), 152.26 (Cq, C15), 144.14 (Cq, C11), 140.03 (Cq, C7), 137.37 (CH, C25), 136.74 (Cq, C8a), 133.21 (Cq, C12c), 133.00 (Cq, C4a), 129.79 (CH, C4), 129.14 (CH, C2), 128.48 (CH, C1), 126.82 (CH, C3), 125.49 (Cq, C12a), 124.27 (CH, C24), 123.53 (Cq, C7a), 119.49 (CH, C26), 118.86 (CH, C10), 116.02 (Cq, C12b), 113.21 (CH, C9), 112.88 (CH, C12), 66.21 (CH2, C30), 63.92 (CH2, C27), 53.36 (CH2, C29), 47.80 (CH2, C16), 44.72 (CH2, C5).
3.2. Synthesis of Ru(II)/Os(II) Arene and Cu(II) Complexes
- 1·2.5H2O
To a solution of HL1 (53.8 mg, 0.12 mmol) in iPrOH (58 mL) at 60 °C [RuCl2(p-cymene)]2 (36.7 mg, 60 µmol) in CHCl3 (400 µL) was added. The solution was stirred at 60 °C for 1 h. The solvent was removed under reduced pressure and the remainder was re-dissolved in MeOH (10 mL). The solution was overlayed with Et2O (100 mL) and left to stand at 4 °C overnight. The precipitate was filtered off, washed with THF (5 mL) and dried at 50 °C in vacuo overnight to give a red-brownish solid. Yield: 83 mg (91%). 1H NMR (500 MHz, DMSO-d6) δ 12.85 (s, 1H, H8), 9.60 (d, J = 5.4 Hz, 1H, H23), 9.05 (s, 1H, H20), 8.41 (s, 1H, H12), 8.31 (t, J = 7.6 Hz, 1H, H25), 8.27 (d, J = 7.3 Hz, 1H, H26), 8.06 (d, J = 7.6 Hz, 1H, H1), 7.92–7.85 (m, 2H, H10, H24), 7.74 (d, J = 8.7 Hz, 1H, H9), 7.67 (d, J = 7.5 Hz, 1H, H4), 7.64 (s, 1H, H18), 7.60 (t, J = 7.5 Hz, 1H, H2), 7.43 (t, J = 7.4 Hz, 1H, H3), 7.32 (s, 1H, H18), 6.10 (d, J = 6.2 Hz, 1H, HCy4 or HCy6), 5.78 (d, J = 6.2 Hz, 1H, HCy3 or HCy7), 5.72 (d, J = 6.1 Hz, 1H, HCy4 or HCy6), 5.56 (d, J = 6.1 Hz, 1H HCy3 or HCy7), 4.81 (q, J = 15.0 Hz, 2H, H5), 4.44 (s, 2H, H16), 2.55 (dt, J = 11.1, 5.5 Hz, 1H, HCy8), 2.18 (s, 3H, HCy1), 1.01 (dd, J = 9.5, 7.0 Hz, 6H, HCy9). 13C NMR (126 MHz, DMSO-d6) δ 168.30 (Cq, C17), 166.72 (CH, C20), 155.96 (CH, C23), 154.87 (Cq, C21), 152.27 (Cq, C15), 146.22 (Cq, C11), 139.87 (CH, C25), 139.75 (Cq, C7), 137.65 (Cq, C8a), 133.30 (Cq, C4a), 132.85 (Cq, C12c), 130.00 (CH, C4), 129.62 (CH, C26), 129.10 (CH, C2), 128.54 (CH, C1), 128.49 (CH, C24), 127.20 (CH, C3), 124.70 (Cq, C12a), 124.58 (Cq, C7a), 120.37 (CH, C10), 116.37 (Cq, C12b), 113.48 (CH, C12), 113.15 (CH, C9), 105.11 (Cq, CCy5), 103.20 (Cq, CCy2), 86.70 (CH, CCy4 or CCy6), 85.73 (CH, CCy4 or CCy6), 85.28 (CH, CCy3 or CCy7), 85.19 (CH, CCy3 or CCy7), 47.82 (CH2, C16), 44.71 (CH2, C5), 30.50 (CH, CCy8), 21.94 (CH3, CCy9), 21.45 (CH3, CCy9), 18.31 (CH3, CCy1). For numbering scheme of complexes 1 and 2 see Figure S2 in Supplementary Material.
- 2·2.4H2O
To a solution of HL1 (50.6 mg, 0.11 mmol) in iPrOH (75 mL) at 60 °C [OsCl2(p-cymene)]2 (44.5 mg, 56 µmol) in CHCl3 (1 mL) was added. The solution was stirred at 60 °C for 1 h. The solvent was removed under reduced pressure and the crude solid re-dissolved in MeOH (5 mL). The solution was overlayed with Et2O (50 mL), filtered off, washed with THF (2 mL) and dried at 50 °C in vacuo to give a bright orange solid. Yield. 70 mg (76%). 1H NMR (600 MHz, DMSO-d6) δ 12.84 (s, 1H, H8), 9.53 (d, J = 5.6 Hz, 1H, H23), 9.42 (s, 1H, H20), 8.38 (d, J = 7.4 Hz, 1H, H26), 8.33 (d, J = 1.7 Hz, 1H, H12), 8.28 (td, J = 7.8, 1.2 Hz, 1H, H25), 8.03 (d, J = 7.7 Hz, 1H, H1), 7.83 (ddd, J = 7.5, 5.8, 1.4 Hz, 1H, H24), 7.78 (dd, J = 8.8, 2.0 Hz, 1H, H10), 7.72 (d, J = 8.7 Hz, 1H, H9), 7.67 (d, J = 7.1 Hz, 1H, H4), 7.62 (s, 1H, H18), 7.60–7.56 (m, 1H, H2), 7.42 (dd, J = 11.6, 4.2 Hz, 1H, H3), 7.32 (s, 1H, H18), 6.38 (d, J = 5.8 Hz, 1H, HCy4/6), 5.98 (d, J = 5.8 Hz, 1H, HCy3/7), 5.92 (d, J = 5.7 Hz, 1H, HCy4/6), 5.72 (d, J = 5.7 Hz, 1H, HCy3/7), 4.80 (t, J = 10.4 Hz, 2H, H5), 4.43 (s, 2H, H18), 2.43 (dt, J = 13.8, 6.9 Hz, 1H, HCy8), 2.26 (s, 3H, HCy1), 0.95 (dd, J = 12.6, 6.9 Hz, 6H, HCy9). 13C NMR (151 MHz, DMSO-d6) δ 168.29 (Cq, C17), 167.60 (CH, C20), 156.20 (Cq, C21), 155.60 (CH, C23), 152.25 (Cq, C15), 146.18 (Cq, C11), 140.01 (CH, C25), 139.72 (Cq, C7), 137.71 (Cq, C8a), 133.30 (Cq, C4a), 132.79 (Cq, C12c), 130.00 (CH, C4), 129.48 (CH, C26), 129.37 (CH, C24), 129.06 (CH, C2), 128.42 (CH, C1), 127.21 (CH, C3), 124.63 (Cq, C7a), 124.62 (Cq, C12a), 120.70 (CH, C10), 116.33 (Cq, C12b), 113.88 (CH, C12), 113.13 (CH, C9), 97.08 (CH, CCy2), 96.63 (CH, CCy5), 78.85 (CH, CCy4/6), 77.70 (CH, CCy4/6), 75.85 (CH, CCy3/7), 75.54 (CH, CCy3/7), 47.80 (CH2, C16), 44.69 (CH2, C5), 30.69 (CH, CCy8), 21.77 (2× CH3, CCy9), 18.29 (CH3, CCy1).
- 3·H2O·0.3iPrOH
To a solution of HL2 (109 mg, 0.2 mmol) in iPrOH (60 mL) at 70 °C CuCl2·2H2O (34 mg, 0.2 mmol) in MeOH (200 µL) was added. The resulting suspension was stirred at reflux for 45 min and left to stand at 4 °C overnight. The precipitate was filtered off and washed with iPrOH (3 mL). The product was dried at 50 °C in vacuo to give a light-brown solid. Yield 120 mg (89%) For electron diffraction measurements, nanometer size crystalline complex 3 was generated by slow diffusion of acetonitrile into a concentrated solution of crude 3 in DMF.
3.3. Crystallographic Structure Determination
The measurements were performed on a Bruker D8 Venture diffractometer. Single crystals were positioned at 40 and 35 mm from the detector, and 717 and 1320 frames were measured, each for 10 and 3 s over 0.360° scan, respectively. The data were processed using SAINT software [59]. Crystal data, data collection parameters, and structure refinement details are given in Table S2. The structures were solved by direct methods and refined by full-matrix least-squares techniques. Non-H atoms were refined with anisotropic displacement parameters. H atoms were inserted in calculated positions and refined with a riding model. The following computer programs and hardware were used: structure solution, SHELXS and refinement, SHELXL [60]; molecular diagrams, ORTEP [61]; computer, Intel CoreDuo. CCDC 2219174 (B·CH3OH), 2219175 (HL1·2DMF) and 2218795 (3).
3.4. Sample Preparation and Data Collection for Complex 3 by Electron Diffraction
A few dry grains of 3 were provided in a glass vial with about 11 mm diameter (see Figure 7). A TEM copper grid with 3.05 mm diameter and coated with lacey carbon (Ted Pella) was added to the vial. The grid was not glow-discharged before use but used as purchased. The vial was vortexed for 1 min at 3000/s.
Figure 7.
Glass vial of 3 with mm-scale.
The grid was inserted into a Gatan cryo-transfer holder ELSA 698 at room temperature and inserted into a transmission electron microscope JEM2100Plus, JEOL Ltd. (Akishima, Japan). Electron source was a LaB6 emitter operated at 200 keV. Data were collected with a JUNGFRAU detector, 1024 × 512 pixel [62]. At first, condenser lens aperture 3 and spot size 5 were used. This lead to a degradation of the diffraction power during data collection. Consequently, the beam intensity was reduced by setting to the smallest available condenser lens aperture (50 µm diameter), and the second to weakest spot size (spot size 4 out of 5). Data were collected with a rotation velocity of nominally 0.05°/s. Data were collected from 15 crystals (see Figure 8 and Figure 9). Four data sets could be indexed and thus processed (see Figure 10). Data were processed with XDS [63]. Scaling was switched off during data integration [64] and only applied during scaling with XSCALE. Resolution was cut to 0.7 Å based on I/σ(I) > 1 and CC1/2 > 30% [65]. Unit cell parameters suggested a monoclinic lattice, systematic absences suggested space group P21/n. The structure was solved with SHELXD 2013/2 [60] and refined with SHELXL 2019/1 [66] in kinematic approximation. Scattering factors were fitted in Cromer–Mann parametrization f(s) = sum (i = 1...4) a_i exp(-b_i*s^2) + c against the values tabulated in Table 4.2.6.8 of the International Tables of Crystallography, Volume C [67], starting from the parameters published by Peng 1999 [68]. Hydrogen atoms were placed in riding positions at inter-nuclear distances [69]. Geometric 1,2- and 1,3-distance restraints were generated with OPENBABEL [70] and the GRADE-server [71]. Only the ligand was restrained, and the distances listed in the legend to Figure 5 are unrestrained. Unit cell dimensions very optimized against the geometric restraints with CELLOPT [72].
Figure 8.
Partial view of the crystal no. 08 at 25,500-fold magnification. Field of view has a diameter of 1.9 µm.
Figure 9.
Partial view of crystal no. 13 at 25,500-fold magnification. Field of view has a diameter of 1.9 µm.
Figure 10.
Diffraction image for crystal no. 08. Effective detector distance is 665 mm.
3.5. Cell Culture
All cell lines used in this study were purchased from the American Type Culture Collection (ATCC). The human lung adenocarcinoma (A549, Cat No ATCC® CCL-185TM), human colorectal adenocarcinoma (LS-174, Cat No ATCC® CL-188TM),) and normal human lung fibroblast cells (MRC-5, Cat No ATCC® CCL-171TM) were maintained as monolayer culture in the Roswell Park Memorial Institute (RPMI) 1640 nutrient medium (Sigma Chemicals Co., Ltd., Saint Louis, MO, USA.). The human tumor cell line derived from triple-negative caucasian breast adenocarcinoma (MDA-MB-231, Cat No ATCC® HTB-26TM),), was maintained in Dulbecco′s Modified Eagle′s Medium (DMEM) (Sigma Chemicals Co., Ltd., Saint Louis, MO, USA.). Nutrient mediums were prepared in sterile ionized water, supplemented with penicillin (100 IU/mL), streptomycin (200 μg/mL), 4-(2-hydroxyethyl) piperazine-1-ethanesulfonic acid (HEPES) (25 mM), L-glutamine (3 mM) (Sigma Chemicals Co., Ltd., Saint Louis, MO, USA.) and 10% of heat-inactivated fetal calf serum (FCS) (pH 7.2). The cells were grown at 37 °C in a humidified atmosphere containing 5% CO2.
3.6. MTT-Assay
The cytotoxic activity of the investigated complexes and their corresponding ligands was analyzed in comparison to cisplatin, cis-diamminedichloridoplatinum(II) (CDDP) as reference compound, using the 3-(4,5-dymethylthiazol-yl)-2,5-diphenyltetrazolium bromide (MTT, Sigma) assay as previously described [73,74]. Cells were seeded in 96-well culture plates (Thermo Scientific Nunc™, Rochester, NY, USA) at cell densities of 5000 c/w, in a total volume of 100 μL of nutrient medium, and then cultured in 37 °C incubator, in a humidified atmosphere of 5% CO2. Briefly, 24 h after seeding, cells were exposed to the investigated compounds. The complexes and ligands were dissolved in dimethyl sulfoxide (DMSO) at a concentration of 10 mM immediately prior the use, and afterwards diluted in culture medium to the desired concentrations. The final DMSO concentration never exceeded 1% (v/v). After an incubation period of 72 h, 20 μL of MTT solution (5 mg/mL in phosphate buffer, pH 7.2) was added to each well. Samples were incubated at 37 °C for 4 h, in 5% CO2 incubator, and then 100 μL of 10% sodium dodecyl sulfate (SDS) was added. Absorbance was recorded after 24 h, on an enzyme linked immunosorbent assay (ELISA) reader (Thermo Labsystems Multiskan EX 200–240 V), at the wavelength of 570 nm. The IC50 value, defined as the concentration of the compound causing 50% cell growth inhibition, was determined from the dose response curves.
3.7. Molecular Docking
The ligands were docked against the crystal structures of PIM-1 (PDB ID: 1YXX, resolution 2.00 Å) [45]. The docking center for the binding pockets were defined as the position of the co-crystalized ligand LI7 ((3E)-3-[(4-hydroxyphenyl)imino]-1H-indol-2(3H)-one) with 10 Å radius. The GoldScore (GS) [46] and ChemScore (CS) [47,48] ChemPLP (Piecewise Linear Potential) [49] and ASP (Astex Statistical Potential) [50] scoring functions were implemented to predict the binding modes and relative energies of the ligands using the GOLD (v2020.2.0) software suite. The GOLD docking algorithm is reported to be an excellent modelling tool [75,76] The Scigress version FJ 2.6 program [77] was used to build the ligands; the MM3 [78,79,80] force field was applied to identify the global minimum using the CONFLEX method [81] followed by structural optimisation.
The QikProp v6.2 [51] software package was used to calculate the molecular descriptors of the molecules. The reliability of it QikProp established for the calculated descriptors [82]. Furthermore, the Scigress version FJ 2.6 program [77] was used to calculate the molecular descriptors for the complexes. The Known Drug Indexes (KDI) were calculated from the molecular descriptors as described by Eurtivong and Reynisson [53] For application in Excel, columns for each property were created and the following equations used do derive the KDI numbers for each descriptor: KDI MW: =EXP(-((MW-371.76)^2)/(2*(112.76^2))), KDI Log P: =EXP(–((LogP-2.82)^2)/(2*(2.21^2))), KDI HD: =EXP(-((HD-1.88)^2)/(2*(1.7^2))), KDI HA: =EXP(-((HA-5.72)^2)/(2*(2.86^2))), KDI RB =EXP(-((RB-4.44)^2)/(2*(3.55^2))), and KDI PSA: =EXP(-((PSA-79.4)^2)/(2*(54.16^2))). These equations could simply be copied into Excel and the descriptor name (e.g., MW) substituted with the value in the relevant column. To derive KDI2A, this equation was used: =(KDI MW + KDI LogP + KDI HD + KDI HA + KDI RB + KDI PSA) and for KDI2B: =(KDI MW × KDI LogP × KDI HD × KDI HA × KDI RB × KDI PSA).
The Gaussian 16 software suite [83] was used with unrestricted DFT. The B3LYP functional hybrid approach was employed [84,85,86] and standard 6-31+G(d,p) diffused basis set [87,88] was used for geometry optimization and frequency analysis (keywords: opt freq). The zero-point vibrational energies (ZPE) were scaled according to Wong (0.9804) [89]. In all cases, normal modes revealed no imaginary frequencies indicating that they represent minima on the potential energy surface. The subsequent energy calculations were then performed with the larger 6-311+G(2df, p) basis set. Adiabatic ionization potentials (IP) and adiabatic electron affinities (EA) were calculated as described in Forseman and Frisch [90]. The bond dissociation energies were calculated as in Yu and Reynisson [55]. The energies and ZPA are given in Table S4.
4. Conclusions
Attachment of 1-AH moiety to a latonduine backbone was expected to enhance the docking ability to PIM-1 enzyme by exploiting its potential ability to form hydrogen bonds. Molecular docking calculations revealed that despite good accommodation of species B in the binding pocket of PIM-1 the 1-AH moiety is not involved in any hydrogen bonding interactions. Attempts to create a metal-binding site at the backbone of new hybrid molecule via Schiff base condensation reactions resulted in intramolecular cyclization with formation of a triazole ring and a dangling amide functional group with isolation of HL1 and HL2. By further exploiting their complex formation ability ruthenium(II)- and osmium(II)-arene complexes 1 and 2, as well as copper(II) complex 3 were synthesized and characterized. For the first time we used electron diffraction for elucidation of molecular structure of a metal complex, which could not be crystallized to give single crystals suitable for routine X-ray diffraction study. Several nanometer size crystals provided electron diffraction data for determination of molecular structure of complex 3. All the organic compounds tested have not revealed marked cytotoxicity in cancer cell lines. Low antiproliferative activity of species B is likely due to large PSA (polar surface area) value lying outside drug-like space. In contrast to previously reported data, indicating that chemical modification of the lactam group at the indolobenzazepine backbone has a favorable effect on cytotoxicity, intramolecular cyclization with formation of a triazole ring fused to the core structure resulted in a marked drop of antiproliferative activity. Coordination of HL1 and HL2 to ruthenium(II)-, osmium(II)-arene and copper(II), respectively, enhanced markedly their antiproliferative activity. The IC50 values of complexes 1–3 follow the order 2 > 1 > 3. The most cytotoxic in all three cancer cell lines complex 3, when compared to 1 and 2, in addition to the highest antiproliferative activity showed selectivity towards LS-174 cells (when compared to normal cells MRC-5) superior to that of clinical drug cisplatin.
Supplementary Materials
The following supporting information can be downloaded at: https://www.mdpi.com/article/10.3390/inorganics11010030/s1, Figure S1: UV–vis absorption spectra of 1 (35 µM) in DMSO/H2O 1/99 monitored over 72 h; Figure S2: UV–vis absorption spectra of 2 (37 µM) in DMSO/H2O 1/99 monitored over 72 h; Figure S3. UV–vis absorption spectra of 3 (49 µM) in DMSO/H2O 1/99 monitored over 72 h; Figures S4–S10: 1H NMR spectra of B, C, C*, HL1, HL2, 1 and 2; Figures S11–S14: 13C NMR spectra of HL1, HL2, 1 and 2; Figure S15: 15N-1H HSQC NMR spectrum of HL1; Figure S16: IC50 values (µM) of tested complexes and ligands vs. cisplatin; Figures S17–S23: Positive ion ESI-mass spectra of B, C, HL1, HL2, 1–3; Table S1: Yields and analytical data for HL1 and HL2, and complexes 1–3; Table S2: Crystallographic data and refinement details for B·CH3OH, HL1·2DMF and 3; Table S3: The binding affinities as predicted by the scoring functions for the Pim1 kinase; Table S4: The molecular descriptors for species A and B; Table S5: Definition of lead-like, drug-like and Known Drug Space (KDS) in terms of molecular descriptors; Table S6: The single point and corrected zero-point vibrational energies (ZPE) of B; Scheme S1. Numbering scheme of HL1 and HL2; Scheme S2. Numbering scheme for complexes 1 (M = Ru) and 2 (M = Os).
Author Contributions
V.B.A. designed the project. C.W. conducted the synthesis and spectroscopic characterization of the compounds tested. S.A. evaluated the cytotoxicity in vitro. T.G. conducted electron diffraction analysis. A.P.-R. was in charge of SC-XRD experiments. J.R. conducted molecular docking and chemical space calculations. V.B.A. and C.W wrote the manuscript. All authors have read and agreed to the published version of the manuscript.
Funding
This work was funded by Austrian Science Fund (FWF) via grant number P31293-N37.
Institutional Review Board Statement
Not applicable.
Informed Consent Statement
Not applicable.
Data Availability Statement
The crystallographic data of B, HL1 and 3 are provided in Supplementary Material.
Acknowledgments
Austrian Science Fund (FWF) is acknowledged for financial support of this work via grant number P31293-N37. This study was also supported by the Ministry of Education, Science and Technological Development of the Republic of Serbia, grant number 451-03-9/2021-14/200043.
Conflicts of Interest
The authors declare no conflict of interest.
References
- Cancer over Time. Global Cancer Observatory. Available online: https://gco.iarc.fr/overtime/en (accessed on 4 May 2022).
- Cancer Survival. Global Cancer Observatory. Available online: https://gco.iarc.fr/survival/survmark/ (accessed on 4 May 2022).
- Cancer Tomorrow. Global Cancer Observatory. Available online: https://gco.iarc.fr/tomorrow/en (accessed on 4 May 2022).
- Primik, M.F.; Filak, L.K.; Arion, V.B. Metal-Based Indolobenzazepines and Indoloquinolines: From Moderate CDK Inhibitors to Potential Antitumor Drugs. In Advances in Organometallic Chemistry and Catalysis; Pombeiro, A.J.L., Ed.; John Wiley & Sons, Inc.: Hoboken, NJ, USA, 2013; pp. 605–617. [Google Scholar]
- Primik, M.F.; Mühlgassner, G.; Jakupec, M.A.; Zava, O.; Dyson, P.J.; Arion, V.B.; Keppler, B.K. Highly Cytotoxic Copper(II) Complexes with Modified Paullone Ligands. Inorg. Chem. 2010, 49, 302–311. [Google Scholar] [CrossRef] [PubMed]
- Primik, M.F.; Göschl, S.; Jakupec, M.A.; Roller, A.; Keppler, B.K.; Arion, V.B. Structure−Activity Relationships of Highly Cytotoxic Copper(II) Complexes with Modified Indolo[3,2-c]quinoline Ligands. Inorg. Chem. 2010, 49, 11084–11095. [Google Scholar] [CrossRef] [PubMed]
- Dobrov, A.; Arion, V.B.; Kandler, N.; Ginzinger, W.; Jakupec, M.A.; Rufińska, A.; Graf von Keyserlingk, N.; Galanski, M.S.; Kowol, C.; Keppler, B.K. The First Metal-Based Paullone Derivative with High Antiproliferative Activity in Vitro. Inorg. Chem. 2006, 45, 1945–1950. [Google Scholar] [CrossRef] [PubMed]
- Arion, V.B.; Dobrov, A.; Göschl, S.; Jakupec, M.A.; Keppler, B.K.; Rapta, P. Ruthenium- and Osmium-Arene-Based Paullones Bearing a TEMPO Free-Radical Unit as Potential Anticancer Drugs. Chem. Commun. 2012, 48, 8559–8561. [Google Scholar] [CrossRef] [PubMed]
- Schultz, C.; Link, A.; Leost, M.; Zaharevitz, D.W.; Gussio, R.; Sausville, E.A.; Meijer, L.; Kunick, C. Paullones, a Series of Cyclin-Dependent Kinase Inhibitors: Synthesis, Evaluation of CDK1/Cyclin B Inhibition, and in Vitro Antitumor Activity. J. Med. Chem. 1999, 42, 2909–2919. [Google Scholar] [CrossRef]
- Knockaert, M.; Wieking, K.; Schmitt, S.; Leost, M.; Grant, K.M.; Mottram, J.C.; Kunick, C.; Meijer, L. Intracellular Targets of Paullones. J. Biol. Chem. 2002, 277, 25493–25501. [Google Scholar] [CrossRef]
- Kunick, C.; Lauenroth, K.; Wieking, K.; Xie, X.; Schultz, C.; Gussio, R.; Zaharevitz, D.; Leost, M.; Meijer, L.; Weber, A.; et al. Evaluation and Comparison of 3D-QSAR CoMSIA Models for CDK1, CDK5, and GSK-3 Inhibition by Paullones. J. Med. Chem. 2004, 47, 22–36. [Google Scholar] [CrossRef]
- Kunick, C.; Zeng, Z.; Gussio, R.; Zaharevitz, D.; Leost, M.; Totzke, F.; Schächtele, C.; Kubbutat, M.H.G.; Meijer, L.; Lemcke, T. Structure-Aided Optimization of Kinase Inhibitors Derived from Alsterpaullone. ChemBioChem 2005, 6, 541–549. [Google Scholar] [CrossRef]
- Leost, M.; Schultz, C.; Link, A.; Wu, Y.-Z.; Biernat, J.; Mandelkow, E.-M.; Bibb, J.A.; Snyder, G.L.; Greengard, P.; Zaharevitz, D.W.; et al. Paullones Are Potent Inhibitors of Glycogen Synthase Kinase-3β and Cyclin-Dependent Kinase 5/P25: Paullones Inhibit GSK-3β and CDK5/P25. Eur. J. Biochem. 2000, 267, 5983–5994. [Google Scholar] [CrossRef]
- Zaharevitz, D.W.; Gussio, R.; Leost, M.; Senderowicz, A.M.; Lahusen, T.; Kunick, C.; Meijer, L.; Sausville, E.A. Discovery and Initial Characterization of the Paullones, a Novel Class of Small-Molecule Inhibitors of Cyclin-Dependent Kinases. Cancer Res. 1999, 59, 2566–2569. [Google Scholar]
- Soto, S.; Vaz, E.; Dell’Aversana, C.; Álvarez, R.; Altucci, L.; de Lera, Á.R. New Synthetic Approach to Paullones and Characterization of Their SIRT1 Inhibitory Activity. Org. Biomol. Chem. 2012, 10, 2101–2112. [Google Scholar] [CrossRef]
- Bain, J.; Plater, L.; Elliott, M.; Shpiro, N.; Hastie, C.J.; Mclauchlan, H.; Klevernic, I.; Arthur, J.S.C.; Alessi, D.R.; Cohen, P. The Selectivity of Protein Kinase Inhibitors: A Further Update. Biochem. J. 2007, 408, 297–315. [Google Scholar] [CrossRef] [PubMed]
- Bain, J.; McLauchlan, H.; Elliott, M.; Cohen, P. The Specificities of Protein Kinase Inhibitors: An Update. Biochem. J. 2003, 371, 199–204. [Google Scholar] [CrossRef] [PubMed]
- Linington, R.G.; Williams, D.E.; Tahir, A.; Van Soest, R.; Andersen, R.J. Latonduines A and B, New Alkaloids Isolated from the Marine Sponge Stylissa Carteri: Structure Elucidation, Synthesis, and Biogenetic Implications. Org. Lett. 2003, 5, 2735–2738. [Google Scholar] [CrossRef] [PubMed]
- Fouad, M.A.; Debbab, A.; Wray, V.; Müller, W.E.G.; Proksch, P. New Bioactive Alkaloids from the Marine Sponge Stylissa sp. Tetrahedron 2012, 68, 10176–10179. [Google Scholar] [CrossRef]
- Putey, A.; Joucla, L.; Picot, L.; Besson, T.; Joseph, B. Synthesis of Latonduine Derivatives via Intramolecular Heck Reaction. Tetrahedron 2007, 63, 867–879. [Google Scholar] [CrossRef]
- Wan, Y.; Li, Y.; Yan, C.; Yan, M.; Tang, Z. Indole: A Privileged Scaffold for the Design of Anti-Cancer Agents. Eur. J. Med. Chem. 2019, 183, 111691. [Google Scholar] [CrossRef]
- Brancale, A.; Silvestri, R. Indole, a Core Nucleus for Potent Inhibitors of Tubulin Polymerization. Med. Res. Rev. 2007, 27, 209–238. [Google Scholar] [CrossRef]
- Singh, A.K.; Raj, V.; Saha, S. Indole-Fused Azepines and Analogues as Anticancer Lead Molecules: Privileged Findings and Future Directions. Eur. J. Med. Chem. 2017, 142, 244–265. [Google Scholar] [CrossRef]
- Putey, A.; Popowycz, F.; Do, Q.T.; Bernard, P.; Talapatra, S.K.; Kozielski, F.; Galmarini, C.M.; Joseph, B. Indolobenzazepin-7-ones and 6-, 8-, and 9-Membered Ring Derivatives as Tubulin Polymerization Inhibitors: Synthesis and Structure-Activity Relationship Studies. J. Med. Chem. 2009, 52, 5916–5925. [Google Scholar] [CrossRef]
- Filak, L.K.; Mühlgassner, G.; Jakupec, M.A.; Heffeter, P.; Berger, W.; Arion, V.B.; Keppler, B.K. Organometallic Indolo[3,2-c]quinolines versus Indolo[3,2-d]benzazepines: Synthesis, Structural and Spectroscopic Characterization, and Biological Efficacy. J. Biol. Inorg. Chem. 2010, 15, 903–918. [Google Scholar] [CrossRef] [PubMed]
- Wittmann, C.; Sivchenko, A.S.; Bacher, F.; Tong, K.K.H.; Guru, N.; Wilson, T.; Gonzales, J.; Rauch, H.; Kossatz, S.; Reiner, T.; et al. Inhibition of Microtubule Dynamics in Cancer Cells by Indole-Modified Latonduine Derivatives and Their Metal Complexes. Inorg. Chem. 2022, 61, 1456–1470. [Google Scholar] [CrossRef] [PubMed]
- Bacher, F.; Wittmann, C.; Nové, M.; Spengler, G.; Marć, M.A.; Enyedy, E.A.; Darvasiová, D.; Rapta, P.; Reiner, T.; Arion, V.B. Novel Latonduine Derived Proligands and Their Copper(II) Complexes Show Cytotoxicity in the Nanomolar Range in Human Colon Adenocarcinoma Cells and in Vitro Cancer Selectivity. Dalton Trans. 2019, 48, 10464–10478. [Google Scholar] [CrossRef] [PubMed]
- Wittmann, C.; Bacher, F.; Enyedy, E.A.; Dömötör, O.; Spengler, G.; Madejski, C.; Reynisson, J.; Arion, V.B. Highly Antiproliferative Latonduine and Indolo[2,3-c]quinoline Derivatives: Complex Formation with Copper(II) Markedly Changes the Kinase Inhibitory Profile. J. Med. Chem. 2022, 65, 2238–2261. [Google Scholar] [CrossRef]
- Anand, R.; Maksimoska, J.; Pagano, N.; Wong, E.Y.; Gimotty, P.A.; Diamond, S.L.; Meggers, E.; Marmorstein, R. Toward the Development of a Potent and Selective Organoruthenium Mammalian Sterile 20 Kinase Inhibitor. J. Med. Chem. 2009, 52, 1602–1611. [Google Scholar] [CrossRef]
- Puszyńska-Tuszkanow, M.; Daszkiewicz, M.; Maciejewska, G.; Adach, A.; Cieślak-Golonka, M. Interaction of Hydantoins with Transition Metal Ions: Synthesis, Structural, Spectroscopic, Thermal and Magnetic Properties of [M(H2O)4(Phenytoinate)2] M = Ni(II), Co(II). Struct. Chem. 2010, 21, 315–321. [Google Scholar] [CrossRef]
- Rajic, Z.; Zorc, B.; Raic-Malic, S.; Ester, K.; Kralj, M.; Pavelic, K.; Balzarini, J.; De Clercq, E.; Mintas, M. Hydantoin Derivatives of L- and D-Amino Acids: Synthesis and Evaluation of Their Antiviral and Antitumoral Activity. Molecules 2006, 11, 837–848. [Google Scholar] [CrossRef]
- Levo, Y.; Trainin, N. Hydantoin Immunosuppression and Carcinogenesis. Clinincal Exp. Immunol. 1975, 19, 521–527. [Google Scholar]
- Cavazzoni, A.; Alfieri, R.R.; Carmi, C.; Zuliani, V.; Galetti, M.; Fumarola, C.; Frazzi, R.; Bonelli, M.; Bordi, F.; Lodola, A.; et al. Dual Mechanisms of Action of the 5-Benzylidene-Hydantoin UPR1024 on Lung Cancer Cell Lines. Mol. Cancer Ther. 2008, 7, 361–370. [Google Scholar] [CrossRef]
- Carmi, C.; Cavazzoni, A.; Zuliani, V.; Lodola, A.; Bordi, F.; Plazzi, P.V.; Alfieri, R.R.; Petronini, P.G.; Mor, M. 5-Benzylidene-Hydantoins as New EGFR Inhibitors with Antiproliferative Activity. Bioorg. Med. Chem. Lett. 2006, 16, 4021–4025. [Google Scholar] [CrossRef]
- Primik, M.F.; Göschl, S.; Meier, S.M.; Eberherr, N.; Jakupec, M.A.; Enyedy, É.A.; Novitchi, G.; Arion, V.B. Dicopper(II) and Dizinc(II) Complexes with Nonsymmetric Dinucleating Ligands Based on Indolo[3,2-c]quinolines: Synthesis, Structure, Cytotoxicity, and Intracellular Distribution. Inorg. Chem. 2013, 52, 10137–10146. [Google Scholar] [CrossRef] [PubMed]
- Addison, A.W.; Rao, T.N.; Reedijk, J.; van Rijn, J.; Verschoor, G.C. Synthesis, Structure, and Spectroscopic Properties of Copper(II) Compounds Containing Nitrogen–Sulphur Donor Ligands; the Crystal and Molecular Structure of Aqua[1,7-bis(N-methylbenzimidazol-2′-yl)-2,6-dithiaheptane]copper(II) perchlorate. J. Chem. Soc. Dalton Trans. 1984, 1349–1356. [Google Scholar] [CrossRef]
- Jungwirth, U.; Kowol, C.; Keppler, B.; Hartinger, C.; Berger, W.; Heffeter, P. Anticancer Activity of Metal Complexes: Involvement of Redox Processes. Antioxid. Redox Signal. 2011, 15, 1085–1127. [Google Scholar] [CrossRef] [PubMed]
- Riccardi, C.; Musumeci, D.; Irace, C.; Paduano, L.; Montesarchio, D. RuIII Complexes for Anticancer Therapy: The Importance of Being Nucleolipidic. Eur. J. Org. Chem. 2017, 7, 1100–1119. [Google Scholar] [CrossRef]
- Thota, S.; Rodrigues, D.; Crans, D.; Barreiro, E.J. Ru(II) Compounds: Next-Generation Anticancer Metallotherapeutics? J. Med. Chem. 2018, 61, 5805–5821. [Google Scholar] [CrossRef] [PubMed]
- Shanbhag, V.C.; Gudekar, N.; Jasmer, K.; Papageorgiou, C.; Singh, K.; Petris, M. Copper metabolism as a unique vulnerability in cancer. Biochim. Biophys. Acta Mol. Cell Res. 2021, 1868, 118893. [Google Scholar] [CrossRef] [PubMed]
- Denoyer, D.; Masaldan, S.; La Fontaine, S.; Cater, M. Targeting copper in cancer therapy: ’Copper That Cancer’. Metallomics 2015, 7, 1459–1476. [Google Scholar] [CrossRef] [PubMed]
- Babak, M.V.; Ahn, D. Modulation of Intracellular Copper Levels as the Mechanism of Action of Anticancer Copper Complexes: Clinical Relevance. Biomedicines 2021, 9, 852. [Google Scholar] [CrossRef]
- da Silva, D.A.; De Luca, A.; Squitti, R.; Rongioletti, M.; Rossi, L.; Machado, C.; Cerchiaro, G.J. Copper in tumors and the use of copper-based compounds in cancr treatment. J. Inorg. Biochem. 2022, 226, 111634. [Google Scholar] [CrossRef]
- Dobrov, A.; Göschl, S.; Jakupec, M.A.; Popović-Bijelić, A.; Gräslund, A.; Rapta, P.; Arion, V.B. A Highly Cytotoxic Modified Paullone Ligand Bearing a TEMPO Free-Radical Unit and Its Copper(II) Complex as Potential HR2 RNR Inhibitors. Chem. Commun. 2013, 49, 10007–10009. [Google Scholar] [CrossRef]
- Kumar, A.; Mandiyan, V.; Suzuki, Y.; Zhang, C.; Rice, J.; Tsai, J.; Artis, D.R.; Ibrahim, P.; Bremer, R. Crystal Structures of Proto-Oncogene Kinase Pim1: A Target of Aberrant Somatic Hypermutations in Diffuse Large Cell Lymphoma. J. Mol. Biol. 2005, 348, 183–193. [Google Scholar] [CrossRef] [PubMed]
- Jones, G.; Willett, P.; Glen, R.C.; Leach, A.R.; Taylor, R. Development and Validation of a Genetic Algorithm for Flexible Docking 1. J. Mol. Biol. 1997, 267, 727–748. [Google Scholar] [CrossRef] [PubMed]
- Eldridge, M.D.; Murray, C.W.; Auton, T.R.; Paolini, G.V.; Mee, R.P. Empirical Scoring Functions: I. The Development of a Fast Empirical Scoring Function to Estimate the Binding Affinity of Ligands in Receptor Complexes. J. Comput. Aided Mol. Des. 1997, 11, 425–445. [Google Scholar] [CrossRef] [PubMed]
- Verdonk, M.L.; Cole, J.C.; Hartshorn, M.J.; Murray, C.W.; Taylor, R.D. Improved Protein-Ligand Docking Using GOLD. Proteins Struct. Funct. Bioinform. 2003, 52, 609–623. [Google Scholar] [CrossRef] [PubMed]
- Korb, O.; Stützle, T.; Exner, T.E. Empirical Scoring Functions for Advanced Protein−Ligand Docking with PLANTS. J. Chem. Inf. Model. 2009, 49, 84–96. [Google Scholar] [CrossRef]
- Mooij, W.T.M.; Verdonk, M.L. General and Targeted Statistical Potentials for Protein-Ligand Interactions. Proteins Struct. Funct. Bioinform. 2005, 61, 272–287. [Google Scholar] [CrossRef]
- QikProp, v6.2; Schrödinger, LLC: New York, NY, USA, 2009.
- Zhu, F.; Logan, G.; Reynisson, J. Wine Compounds as a Source for HTS Screening Collections. A Feasibility Study. Mol. Inform. 2012, 31, 847–855. [Google Scholar] [CrossRef]
- Eurtivong, C.; Reynisson, J. The Development of a Weighted Index to Optimise Compound Libraries for High Throughput Screening. Mol. Inform. 2019, 38, 1800068. [Google Scholar] [CrossRef]
- Matuszek, A.M.; Reynisson, J. Defining Known Drug Space Using DFT. Mol. Inform. 2016, 35, 46–53. [Google Scholar] [CrossRef]
- Yu, B.; Reynisson, J. Bond Stability of the “Undesirable” Heteroatom–Heteroatom Molecular Moieties for High-Throughput Screening Libraries. Eur. J. Med. Chem. 2011, 46, 5833–5837. [Google Scholar] [CrossRef]
- Ohui, K.; Afanasenko, E.; Bacher, F.; Ting, R.L.X.; Zafar, A.; Blanco-Cabra, N.; Torrents, E.; Dömötör, O.; May, N.V.; Darvasiova, D.; et al. New Water-Soluble Copper(II) Complexes with Morpholine–Thiosemicarbazone Hybrids: Insights into the Anticancer and Antibacterial Mode of Action. J. Med. Chem. 2019, 62, 512–530. [Google Scholar] [CrossRef] [PubMed]
- Bennett, M.A.; Smith, A.K. Arene Ruthenium(II) Complexes Formed by Dehydrogenation of Cyclohexadienes with Ruthenium(III) Trichloride. J. Chem. Soc. Dalton Trans. 1974, 233–241. [Google Scholar] [CrossRef]
- Kiel, W.A.; Ball, R.G.; Graham, W.A.G. Carbonyl-η-hexamethylbenzene Complexes of Osmium. Carbon-Hydrogen Activation by (η-C6Me6)Os(CO)(H)2. J. Organomet. Chem. 1990, 383, 481–496. [Google Scholar] [CrossRef]
- SAINT-Plus, v8.38A; Bruker-Nonius AXS Inc.: Madison, WI, USA, 2016.
- Sheldrick, G.M. A Short History of SHELX. Acta Crystallogr. A 2008, 64, 112–122. [Google Scholar] [CrossRef] [PubMed]
- Burnett, M.N.; Johnson, C.K. ORTEP-III: Oak Ridge Thermal Ellipsoid Plot Program for Crystal Structure Illustrations. ORNL-6895, Oak Ridge, Tennessee 37831, U.S. 1996. [Google Scholar]
- Fröjdh, E.; Wennmacher, J.; Rzepka, P.; Mozzanica, A.; Redford, S.; Schmitt, B.; van Bokhoven, J.; Gruene, T. Discrimination of Aluminum from Silicon by Electron Crystallography with the JUNGFRAU Detector. Crystals 2020, 10, 1148. [Google Scholar] [CrossRef]
- Kabsch, W. XDS. Acta Crystallogr. D Biol. Crystallogr. 2010, 66, 125–132. [Google Scholar] [CrossRef]
- Assmann, G.M.; Wang, M.; Diederichs, K. Making a Difference in Multi-Data-Set Crystallography: Simple and Deterministic Data-Scaling/Selection Methods. Acta Crystallogr. Sect. Struct. Biol. 2020, 76, 636–652. [Google Scholar] [CrossRef]
- Karplus, P.A.; Diederichs, K. Linking Crystallographic Model and Data Quality. Science 2012, 336, 1030–1033. [Google Scholar] [CrossRef]
- Sheldrick, G.M. Crystal Structure Refinement with SHELXL. Acta Crystallogr. Sect. C Struct. Chem. 2015, 71, 3–8. [Google Scholar] [CrossRef]
- Janssen, T.; Janner, A.; Looijenga-Vosb, A.; de Wolff, P.M. (Eds.) International Tables for Crystallography: Mathematical, Physical and Chemical Tables, 1st ed.; International Union of Crystallography: Chester, UK, 2006; Volume C. [Google Scholar]
- Peng, L.-M. Electron Atomic Scattering Factors and Scattering Potentials of Crystals. Micron 1999, 30, 625–648. [Google Scholar] [CrossRef]
- Gruene, T.; Hahn, H.W.; Luebben, A.V.; Meilleur, F.; Sheldrick, G.M. Refinement of Macromolecular Structures against Neutron Data with SHELXL2013. J. Appl. Crystallogr. 2014, 47, 462–466. [Google Scholar] [CrossRef] [PubMed]
- O’Boyle, N.M.; Banck, M.; James, C.A.; Morley, C.; Vandermeersch, T.; Hutchison, G.R. Open Babel: An Open Chemical Toolbox. J. Cheminf. 2011, 3, 33. [Google Scholar] [CrossRef] [PubMed]
- Smart, O.S.; Sharff, A.; Holstein, J.; Womack, T.O.; Flensburg, C.; Keller, P.; Paciorek, W.; Vonrhein, C.; Bricogne, G. Grade2. Version 1.3.0. Global Phasing Ltd.: Cambridge, UK, 2021. [Google Scholar]
- Gruene, T.; Clabbers, M.T.B.; Luebben, J.; Chin, J.M.; Reithofer, M.R.; Stowasser, F.; Alker, A.M. CELLOPT: Improved Unit-Cell Parameters for Electron Diffraction Data of Small-Molecule Crystals. J. Appl. Crystallogr. 2022, 55, 647–655. [Google Scholar] [CrossRef] [PubMed]
- Supino, R. MTT Assays. In In Vitro Toxicity Testing Protocols; O’Hare, S., Atterwill, C.K., Eds.; Humana Press: Totowa, NJ, USA, 1995; pp. 137–149. [Google Scholar]
- Pavlović, M.; Nikolić, S.; Gligorijević, N.; Dojčinović, B.; Aranđelović, S.; Grgurić-Šipka, S.; Radulović, S. New Organoruthenium Compounds with Pyrido[2′,3′:5,6]pyrazino[2,3-f][1,10]phenanthroline: Synthesis, Characterization, Cytotoxicity, and Investigation of Mechanism of Action. J. Biol. Inorg. Chem. 2019, 24, 297–310. [Google Scholar] [CrossRef]
- Wang, Z.; Sun, H.; Yao, X.; Li, D.; Xu, L.; Li, Y.; Tian, S.; Hou, T. Comprehensive Evaluation of Ten Docking Programs on a Diverse Set of Protein-Ligand Complexes: The Prediction Accuracy of Sampling Power and Scoring Power. Phys. Chem. Chem. Phys. 2016, 18, 12964–12975. [Google Scholar] [CrossRef]
- Bissantz, C.; Folkers, G.; Rognan, D. Protein-Based Virtual Screening of Chemical Databases. 1. Evaluation of Different Docking/Scoring Combinations. J. Med. Chem. 2000, 43, 4759–4767. [Google Scholar] [CrossRef]
- Scigress Ultra, V. F.J 2.6. Fujitsu Limited. 2016. Available online: http://www.scigress.com (accessed on 14 November 2022).
- Allinger, N.L.; Yuh, Y.H.; Lii, J.H. Molecular Mechanics. The MM3 Force Field for Hydrocarbons. 1. J. Am. Chem. Soc. 1989, 111, 8551–8566. [Google Scholar] [CrossRef]
- Lii, J.H.; Allinger, N.L. Molecular Mechanics. The MM3 Force Field for Hydrocarbons. 2. Vibrational Frequencies and Thermodynamics. J. Am. Chem. Soc. 1989, 111, 8566–8575. [Google Scholar] [CrossRef]
- Lii, J.H.; Allinger, N.L. Molecular Mechanics. The MM3 Force Field for Hydrocarbons. 3. The van Der Waals’ Potentials and Crystal Data for Aliphatic and Aromatic Hydrocarbons. J. Am. Chem. Soc. 1989, 111, 8576–8582. [Google Scholar] [CrossRef]
- Gotō, H.; Ōsawa, E. An Efficient Algorithm for Searching Low-Energy Conformers of Cyclic and Acyclic Molecules. J. Chem. Soc. Perkin Trans. 1993, 2, 187–198. [Google Scholar] [CrossRef]
- Ioakimidis, L.; Thoukydidis, L.; Mirza, A.; Naeem, S.; Reynisson, J. Benchmarking the Reliability of QikProp. Correlation between Experimental and Predicted Values. QSAR Comb. Sci. 2008, 27, 445–456. [Google Scholar] [CrossRef]
- Frisch, M.J.; Trucks, G.W.; Schlegel, H.B.; Scuseria, G.E.; Robb, M.A.; Cheeseman, J.R.; Scalmani, G.; Barone, V.; Petersson, G.A.; Nakatsuji, H.; et al. Gaussian 16, Revision C.01. 2019; Gaussian Inc.: Wallingford, CT, USA.
- Becke, A.D. Density-Functional Exchange-Energy Approximation with Correct Asymptotic Behavior. Phys. Rev. A 1988, 38, 3098–3100. [Google Scholar] [CrossRef] [PubMed]
- Becke, A.D. Density-functional Thermochemistry. III. The Role of Exact Exchange. J. Chem. Phys. 1993, 98, 5648–5652. [Google Scholar] [CrossRef]
- Lee, C.; Yang, W.; Parr, R.G. Development of the Colle-Salvetti Correlation-Energy Formula into a Functional of the Electron Density. Phys. Rev. B 1988, 37, 785–789. [Google Scholar] [CrossRef]
- Frisch, M.J.; Pople, J.A.; Binkley, J.S. Self-Consistent Molecular Orbital Methods 25. Supplementary Functions for Gaussian Basis Sets. J. Chem. Phys. 1984, 80, 3265–3269. [Google Scholar] [CrossRef]
- Hariharan, P.C.; Pople, J.A. The Influence of Polarization Functions on Molecular Orbital Hydrogenation Energies. Theoret. Chim. Acta 1973, 28, 213–222. [Google Scholar] [CrossRef]
- Wong, M.W. Vibrational Frequency Prediction Using Density Functional Theory. Chem. Phys. Lett. 1996, 256, 391–399. [Google Scholar] [CrossRef]
- Frisch, A.; Foresman, J. Exploring Chemistry with Electronic Structure Methods, 3rd ed.; Gaussian Inc.: Wallingford, CT, USA, 1996. [Google Scholar]
Disclaimer/Publisher’s Note: The statements, opinions and data contained in all publications are solely those of the individual author(s) and contributor(s) and not of MDPI and/or the editor(s). MDPI and/or the editor(s) disclaim responsibility for any injury to people or property resulting from any ideas, methods, instructions or products referred to in the content. |
© 2023 by the authors. Licensee MDPI, Basel, Switzerland. This article is an open access article distributed under the terms and conditions of the Creative Commons Attribution (CC BY) license (https://creativecommons.org/licenses/by/4.0/).










