Efficacy of Gamma Irradiation in Improving the Microbial and Physical Quality Properties of Dried Chillies (Capsicum annuum L.): A Review
Abstract
1. Introduction
2. Food Radiation
Ionizing Sources for Food Irradiation
3. Microbial Contamination in Spices
4. Quality Parameters in Radiated Dried Chilli
4.1. Effect of Gamma Radiation on Microbial Quality in Dried Chilli
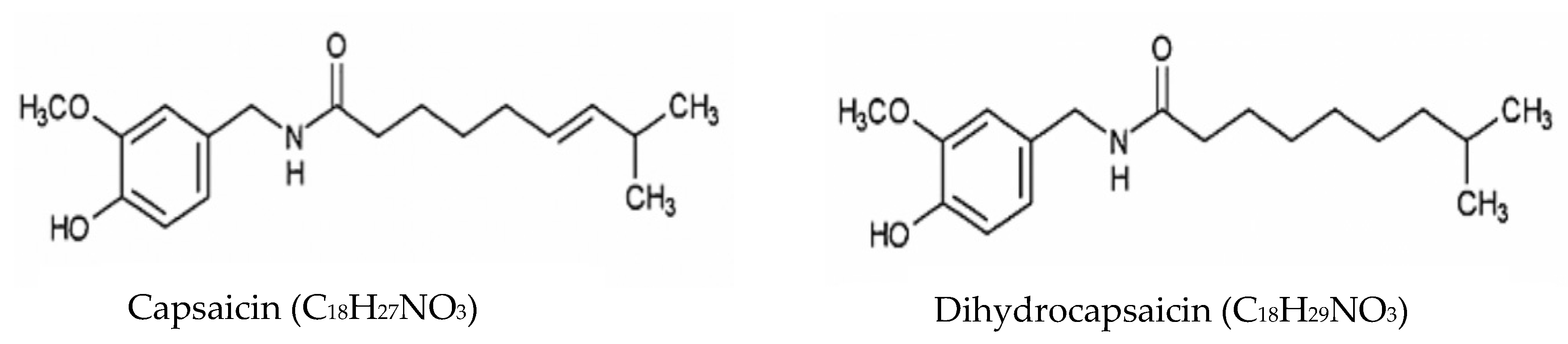
4.2. Effect of Gamma Radiation on Pungency (Capsaicin and Dihydrocapsaicin) in Dried Chilli
4.3. Effect of Radiation on Aflatoxin B1, B2, G1, and G2 in Dried Chilli
4.4. Effect of Gamma Radiation on Moisture and Water Activity (aw) in Dried Chilli
4.5. Effect of Gamma Radiation on Surface Colour (L*—Lightness, a*—Redness, b*—Yellowness) in Dried Chilli
4.6. Effect of Gamma Radiation on Other Quality Parameters in Dried Chilli
5. Consumer Perception about Food Radiation
6. Conclusions
Author Contributions
Funding
Institutional Review Board Statement
Informed Consent Statement
Data Availability Statement
Acknowledgments
Conflicts of Interest
Abbreviations
References
- Siruguri, V.; Bhat, R.V. Assessing intake of spices by pattern of spice use, frequency of consumption and portion size of spices consumed from routinely prepared dishes in southern India. Nutr. J. 2015, 14, 7. [Google Scholar] [CrossRef] [PubMed]
- Reyes-Escogido, M.D.L.; Gonzalez-Mondragon, E.G.; Vazquez-Tzompantzi, E. Chemical and pharmacological aspects of capsaicin. Molecules 2011, 16, 1253–1270. [Google Scholar] [CrossRef]
- Rathore, M.S.; Shekhawat, N.S. Incredible Spices of India: From Traditions to Cuisine. Am. Eurasian J. Bot. 2008, 1, 85–89. [Google Scholar]
- Egharevba, H.O.; Gamaniel, K.S. Potentials of Some Nigerian Herbs and Spice as Source of Pharmaceutical Raw Materials, Opportunity for Global Market Competitiveness. Int. J. Pharmacogn. Phytochem. Res. 2017, 9, 1435–1441. [Google Scholar]
- Zweifel, C.; Stephan, R. Spices and herbs as source of Salmonella-related foodborne diseases. Food Res. Int. 2012, 45, 765–769. [Google Scholar] [CrossRef]
- Geetha, R.; Selvarani, K. A Study of Chilli Production and Export from India. Int. Int. J. Adv. Res. Innov. Ideas Educ. 2017, 3, 205–210. [Google Scholar]
- SFA. Recall of “Earthen Pot” Brand Chilli Powder due to Levels of Aflatoxins Exceeding Permitted Levels; Singapore Food Authority: Singapore, 2021.
- United States Food and Drug Administration. Voluntary Recall Notice of McCormick Italian Seasoning Products and Frank’s RedHot Buffalo Ranch Seasoning Due to Possible Salmonella Risk; Food and Drug Administration: Silver Spring, MD, USA, 2021.
- Ferreira-Castro, F.; Aquino, S.; Greiner, R.; Ribeiro, D.H.B.; Reis, T.; Corrêa, B. Effects of gamma radiation on maize samples contaminated with Fusarium verticillioides. Appl. Radiat. Isot. 2007, 65, 927–933. [Google Scholar] [CrossRef] [PubMed]
- Iqbal, S.Z.; Bhatti, I.A.; Asi, M.R.; Zuber, M.; Shahid, M.; Parveen, I. Effect of γ irradiation on fungal load and aflatoxins reduction in red chillies. Radiat. Phys. Chem. 2013, 82, 80–84. [Google Scholar] [CrossRef]
- Maherani, B.; Hossain, F.; Criado, P.; Ben-Fadhel, Y.; Salmieri, S.; Lacroix, M. World Market Development and Consumer Acceptance of Irradiation Technology. Foods 2016, 5, 79. [Google Scholar] [CrossRef]
- Yusof, S.; Yaakop, S.; Zainuri, A.; Shamsudin, M.; Sulaiman, Z.; Sham, H. Effects of Gamma Irradiation on Egg Hatchability, Pupation, and Adult Emergence of the Immature Stages of the Oriental Fruit Fly, Bactrocera Dorsalis (Hendel) (Diptera: Tephritidae) from Malaysia. Serangga 2019, 23, 259–267. [Google Scholar]
- Ashraf, S.; Sood, M.; Bandral, J.D.; Trilokia, M.; Manzoor, M. Food irradiation: A review. Int. J. Chem. Stud. 2019, 7, 131–136. [Google Scholar]
- Ibrahim, M.; Azhar, M.; Fauzi, D.; Zaiton, A.K.; Hing, J.N.; Hisham, H.H.; Wan, S.; Airianah, O.B.; Shahzrul, F. Variants Production of Lentinula edodes Spores, Monokaryon Mycelium and Dikaryon Mycelium by γ-Irradiatio. Malays. Appl. Biol. 2017, 46, 77–82. [Google Scholar]
- Liyana, M.A.N.; Irman, A.R.; Yusof, M.H.; Faizal, M.; Hur, M.K.M.; Intan, S.A.B.; Shamellia, S.; Norsyahidah, M.H.; Shahidan, R. Effect of Gamma Irradiation on the Physical Stability of DPPC Liposomes. Sains Malays. 2018, 47, 1235–1240. [Google Scholar]
- Hossein, A.M.; Hadi, F.; Farahnaz, M.; Seyed, M.M. Food irradiation: Applications, public acceptance and global trade. Afr. J. Biotechnol. 2010, 9, 2826–2833. [Google Scholar]
- Minchin, S.; Lodge, J. Understanding biochemistry: Structure and function of nucleic acids. Essays Biochem. 2019, 63, 433–456. [Google Scholar] [CrossRef]
- Munir, M.T.; Federighi, M. Control of Foodborne Biological Hazards by Ionizing Radiations. Foods 2020, 9, 878. [Google Scholar] [CrossRef]
- IAEA. Manual of Good Practice in Food Irradiation—Sanitary, Phytosanitary and Other Applications; Technical Reports Series No. 481; International Atomic Energy Agency: Vienna, Austria, 2015; pp. 9–11. [Google Scholar]
- Liberty, J.T.; Dickson, D.I.; Achebe, A.E.; Salihu, M.B. An Overview of the Principles and Effects of Irradiation on Food Processing & Preservation. Int. J. Multidiscip. Curr. Res. 2013, 1, 236–243. [Google Scholar]
- Akinloye, M.; Isola, G.; Kamaldeen Olasunkanmi, S.; Okunade, D. Irradiation as a Food Preservation Method in Nigeria: Prospects and Problems. Int. J. Res. Appl. Sci. Eng. Technol. 2015, 3, 85–96. [Google Scholar]
- Eliasson, L.; Isaksson, S.; Lövenklev, M.; Ahrné, L. A comparative study of infrared and microwave heating for microbial decontamination of paprika powder. Front. Microbiol. 2015, 6, 1071. [Google Scholar] [CrossRef]
- Kaleemullah, S.; Kailappan, R. Drying kinetics of Red Chillies in Rotary Drier. Biosyst. Eng. 2005, 92, 15–23. [Google Scholar] [CrossRef]
- Parveen, S.; Das, S.; Begum, A.; Sultana, N.; Hoque, M.M.; Ahmad, I. Microbiological quality assessment of three selected spices in Bangladesh. Int. Food Res. J. 2014, 21, 1327–1330. [Google Scholar]
- Samira, B.; Sabihe, S.; Mahmood, S.; Gholam, H.K. Establishment of an Inexpensive Procedure to Reduce the Microbial Load of Spices Used in Mayonnaise Industry. Bot. Res. Int. 2009, 2, 235–238. [Google Scholar]
- Koohy-Kamaly-Dehkordy, P.; Nikoopour, H.; Siavoshi, F.; Koushki, M.; Abadi, A. Microbiological Quality of Retail Spices in Tehran, Iran. J. Food Prot. 2013, 76, 843–848. [Google Scholar] [CrossRef] [PubMed]
- Marcela, K.; Horáček, J.; Michal, O.; Ivan, M.; Ivana, K.; Ludmila, N.; Antonín, P. Microbial Contamination of Spices Used In Production of Meat Products. Potravinárstvo Sci. J. Food Ind. 2015, 9, 154–159. [Google Scholar]
- Rico, C.W.; Kim, G.-R.; Ahn, J.-J.; Kim, H.-K.; Furuta, M.; Kwon, J.-H. The comparative effect of steaming and irradiation on the physicochemical and microbiological properties of dried red pepper (Capsicum annum L.). Food Chem. 2010, 119, 1012–1016. [Google Scholar] [CrossRef]
- Waje, C.K.; Kim, H.-K.; Kim, K.-S.; Todoriki, S.; Kwon, J.-H. Physicochemical and Microbiological Qualities of Steamed and Irradiated Ground Black Pepper (Piper nigrum L.). J. Agric. Food Chem. 2008, 56, 4592–4596. [Google Scholar] [CrossRef] [PubMed]
- Standards Malaysia. Code of Good Irradiation Practice Part 9: Spices, Herbs and Vegetable Seasonings for the Control of Pathogens and Microflora (First Revision); MS 1265: PART 9:2005; SIRIM Berhad: Shah Alam, Malaysia, 2005; p. 4. [Google Scholar]
- FSANZ. Australia New Zealand Food Standards Code—Standard 1.5.3—Irradiation of Food; FSANZ: Wellington, New Zealand, 2016.
- JETRO. Specifications and Standards for Foods, Food Additives, etc. Under the Food Sanitation Act (Abstracts); Japan External Trade Organization: Tokyo, Japan, 2011. [Google Scholar]
- Verma, V.P.; Petwal, V.C.; Gothwal, P.; Seema, M.; Malviya, K.K.; Jishnu, D. Effect of electron bean irradiation on microbial decontamination & phytochemical contents of spices. Int. J. Trop. Agric. 2015, 33, 2999–3003. [Google Scholar]
- Prakash, C.; Gupta, P.; Garg, N.; Joshi, P. Effect of Gamma Irradiation on the Extraction Yield and Microbial Contamination of Medicinal Plants. Internet J. Food Saf. 2011, 13, 351–354. [Google Scholar]
- Topuz, A.; Dinçer, C.; Özdemir, K.S.; Feng, H.; Kushad, M. Influence of different drying methods on carotenoids and capsaicinoids of paprika (Cv.; Jalapeno). Food Chem. 2011, 129, 860–865. [Google Scholar] [CrossRef] [PubMed]
- Robert, L.S. Introducing Food Science; CRC Press: London, UK, 2009. [Google Scholar]
- Jung, K.; Song, B.-S.; Kim, M.J.; Moon, B.-G.; Go, S.-M.; Kim, J.-K.; Lee, Y.-J.; Park, J.-H. Effect of X-ray, gamma ray, and electron beam irradiation on the hygienic and physicochemical qualities of red pepper powder. LWT 2015, 63, 846–851. [Google Scholar] [CrossRef]
- Ikuomola, D.S.; Eniola, K.I.T. Assessment of Chemical composition, Microbiological and Sensory qualities of traditional sun-dried pepper (Capsicum annum L.) in selected markets in South-western, Nigeria. Niger. Soc. Microbiol. 2015, 27, 2619–2629. [Google Scholar]
- Erdem, A.; Arslan, E.; Gurun, S. Bacteriological analysis of the red pepper spices marketed as packaged and unpackaged in Istanbul. IUFS J. Biol. 2013, 72, 23–30. [Google Scholar]
- Zaini, N.A.M.; Harith, H.H.; Olusesan, A.T.; Zulkifli, A.H.; Bakar, F.A.; Osman, A.; Hamid, A.A.; Saari, N. Level of Chemical and Microbiological Contaminations in Chili Bo (paste). J. Food Prot. 2010, 73, 541–546. [Google Scholar] [CrossRef]
- Odai, B.T.; Tano-Debrah, K.; Addo, K.K.; Saalia, F.K.; Akyeh, L.M. Effect of gamma radiation and storage at 4 °C on the inactivation of Listeria monocytogenes, Escherichia coli and Salmonella enterica Typhimurium in Legon-18 pepper (Capsicum annuum) powder. Food Qual. Saf. 2019, 3, 265–272. [Google Scholar] [CrossRef]
- Deng, W.; Wu, G.; Guo, L.; Long, M.; Li, B.; Liu, S.; Cheng, L.; Pan, X.; Zou, L. Effect of Gamma Radiation on Escherichia coli, Salmonella enterica Typhimurium and Aspergillus niger in Peppers. Food Sci. Technol. Res. 2015, 21, 241–245. [Google Scholar] [CrossRef]
- Iqbal, Q.; Amjad, M.; Asi, M.R.; Arino, A. Mold and Aflatoxin Reduction by Gamma Radiation of Packed Hot Peppers and Their Evolution during Storage. J. Food Prot. 2012, 75, 1528–1531. [Google Scholar] [CrossRef]
- Yu, W.-J.; Liu, H.-P.; Zhang, X.-W.; Dong, D.; Jiang, Y.; Sun, N.-X.; Liu, Y.-K.; Yuan, J.-F. Postirradiation changes of the microbiological quality, aflatoxin, capsinoids, volatile oils, and the color of red pepper powder. J. Food Process. Preserv. 2017, 42, e13522. [Google Scholar] [CrossRef]
- Helga, M.; Bata-Vidács, I.; Baka, E.; Cserhalmi, Z.; Ferenczi, S.; Tömösközi-Farkas, R.; Adányi, N.; Székács, A. The effect of different decontamination methods on the microbial load, bioactive components, aroma and colour of spice paprika. Food Control 2018, 83, 131–140. [Google Scholar]
- Kitai, S.; Furuta, M. Change in thermoluminescence of irradiated paprika powder during storage under various temperature and humidity conditions. Radiat. Phys. Chem. 2009, 78, 703–705. [Google Scholar] [CrossRef]
- Song, W.-J.; Sung, H.-J.; Kim, S.-Y.; Kim, K.-P.; Ryu, S.; Kang, D.-H. Inactivation of Escherichia coli O157:H7 and Salmonella Typhimurium in black pepper and red pepper by gamma irradiation. Int. J. Food Microbiol. 2014, 172, 125–129. [Google Scholar] [CrossRef] [PubMed]
- Saha, S.; Walia, S.; Aditi, K.; Charanjit, K.; Jashbir, S.; Sisodia, R. Capsaicinoids, Tocopherol, and Sterols Content in Chilli (Capsicum sp.) by Gas Chromatographic-Mass Spectrometric Determination. Int. J. Food Prop. 2015, 18, 1535–1545. [Google Scholar] [CrossRef][Green Version]
- Kachoosangi, R.T.; Wildgoose, G.G.; Compton, R.G. Carbon nanotube-based electrochemical sensors for quantifying the ‘heat’ of chilli peppers: The adsorptive stripping voltammetric determination of capsaicin. Analyst 2008, 133, 888–895. [Google Scholar] [CrossRef]
- Nwokem, C.O.; Agbaji, E.B.; Kagbu, J.A.; Ekanem, E.J. Determination of Capsaicin Content and Pungency Level of Five Different Peppers Grown in Nigeria. N. Y. Sci. J. 2010, 3, 17–21. [Google Scholar]
- Garces, C.A.; Arnedo-Andrea, S.M.; Abadiaa, J.; Gil-Ortega, R.; Aa Lvarez-Fernaa Ndez, A. Determination of Capsaicin and Dihydrocapsaicin in Capsicum Fruits by Liquid Chromatography-Electrospray/Time-of-Flight Mass Spectrometry. J. Agric. Food Chem. 2006, 54, 9303–9311. [Google Scholar] [CrossRef] [PubMed]
- Monica, B.; Angela, C.; Salomeia, P. Reverse phase chromatographic behaviour of major components in Capsicum Annum extract. Chem. Cent. J. 2012, 6, 146. [Google Scholar]
- Mukund, N.; Anil, D.; Girish, P. Study of quality control and uncertainty in estimation of capsaicinoids content and pungency in real chili samples using RP-HPLC. Int. Food Res. J. 2014, 21, 1137–1142. [Google Scholar]
- Singha, S.; Farhan, S.A.; Aamir, A.; Nizam, U.K.; Hadia, S.M. Oxidative DNA damage by capsaicin and dihydrocapsaicinin the presence of Cu (II). Cancer Lett. 2001, 169, 139–146. [Google Scholar] [CrossRef]
- Iqbal, Q.; Amjad, M.; Asi, M.R.; Nawaz, A.; Khan, S.M.; Ariño, A.; Ahmad, T. Irradiation Maintains Functional Components of Dry Hot Peppers (Capsicum annuum L.) under Ambient Storage. Foods 2016, 5, 63. [Google Scholar] [CrossRef]
- Giuffrida, D.; Dugo, P.; Torre, G.; Bignardi, C.; Cavazza, A.; Corradini, C.; Dugo, G. Evaluation of carotenoid and capsaicinoid contents in powder of red chili peppers during one year of storage. Food Res. Int. 2014, 65, 163–170. [Google Scholar] [CrossRef]
- Cho, S.-H.; Lee, C.-H.; Jang, M.-R.; Son, Y.-W.; Lee, S.-M.; Choi, I.-S.; Kim, S.-H.; Kim, D.-B. Aflatoxins contamination in spices and processed spice products commercialized in Korea. Food Chem. 2008, 107, 1283–1288. [Google Scholar] [CrossRef]
- Karlovsky, P.; Suman, M.; Berthiller, F.; De Meester, J.; Eisenbrand, G.; Perrin, I.; Oswald, I.; Speijers, G.; Chiodini, A.; Recker, T.; et al. Impact of food processing and detoxification treatments on mycotoxin contamination. Mycotoxin Res. 2016, 32, 179–205. [Google Scholar] [CrossRef] [PubMed]
- Heidtmann-Bemvenuti, R.; Mendes, G.; Scaglioni, P.; Badiale-Furlong, E.; Souza-Soares, L. Biochemistry and metabolism of mycotoxins: A review. Afr. J. Food Sci. 2010, 5, 861–869. [Google Scholar] [CrossRef]
- O’ Riordan, M.J.; Wilkinson, M.G. Comparison of analytical methods for aflatoxin determination in commercial chilli spice preparations and subsequent development of an improved method. Food Control 2009, 20, 700–705. [Google Scholar] [CrossRef]
- Loh, S.H.; Iryani, N.; How, M.L. Determination of Aflatoxins B1 and B2 in Peanuts and Corn Based Products. Sains Malays. 2010, 39, 731–735. [Google Scholar]
- Ardic, M.; Karakaya, Y.; Atasever, M.; Durmaz, H. Determination of aflatoxin B1 levels in deep-red ground pepper (isot) using immunoaffinity column combined with ELISA. Food Chem. Toxicol. 2008, 46, 1596–1599. [Google Scholar] [CrossRef] [PubMed]
- Aydin, A.; Erkan, M.E.; Başkaya, R.; Ciftcioglu, G. Determination of Aflatoxin B1 levels in powdered red pepper. Food Control 2007, 18, 1015–1018. [Google Scholar] [CrossRef]
- Gurav, N.P.; Medhe, S. Analysis of Aflatoxins B1, B2, G1 and G2 in Peanuts: Validation Study. Anal. Chem. Indian J. 2018, 17, 126. [Google Scholar]
- Ongoma, V. A review of the effects of climate change on occurrence of aflatoxin and its impacts on food security in semi-arid areas of Kenya. Int. J. Agric. Sci. Res. 2013, 2, 307–311. [Google Scholar]
- Prelle, A.; Spadaro, D.; Garibaldi, A.; Gullino, M.L. Co-occurrence of aflatoxins and ochratoxin A in spices commercialized in Italy. Food Control 2014, 39, 192–197. [Google Scholar] [CrossRef]
- Ravi, K.D.; Narayana, K.J.P.; Vijayalakshmi, M. Aflatoxin B1 production in chillies (Capsicum annuum L.) kept in cold stores. Afr. J. Biotechnol. 2005, 4, 791–795. [Google Scholar]
- Heather, S.; Eduardo, A.B.; Marianne, B.; Ramesh, V.B.; Robert, B.; Marie-Noel, B.; Kevin, D.; Abby, D.; John, G.; Kerstin, H.; et al. Workgroup Report: Public Health Strategies for Reducing Aflatoxin Exposure in Developing Countries. Environ. Health Perspect. 2006, 114, 1898–1903. [Google Scholar]
- Di Stefano, V.; Pitonzo, R. Effect of Gamma Irradiation on Aflatoxins and Ochratoxin A Reduction in Almond Samples. J. Food Res. 2014, 3, 113. [Google Scholar]
- Muhammad, A.; Faqir, M.A.; Tahir, Z.; Haq, N. Effect of Storage Period and Irradiation Doses on Red Chillies. Pak. J. Nutr. 2009, 8, 1287–1291. [Google Scholar]
- Byun, K.-H.; Cho, M.-J.; Park, S.-Y.; Chun, H.S.; Ha, S.-D. Effects of gamma ray, electron beam, and X-ray on the reduction of Aspergillus flavus on red pepper powder (Capsicum annuum L.) and gochujang (red pepper paste). Food Sci. Technol. Int. 2019, 25, 649–658. [Google Scholar] [CrossRef] [PubMed]
- Jalili, M.; Jinap, S.; Noranizan, M.A. Aflatoxins and ochratoxin a reduction in black and white pepper by gamma radiation. Radiat. Phys. Chem. 2012, 81, 1786–1788. [Google Scholar] [CrossRef]
- Ghanem, I.; Orfi, M.; Shamma, M. Effect of Gamma Radiation on the Inactivation of Aflatoxin B1 In Food and Feed Crops. Braz. J. Microbiol. 2008, 39, 787–791. [Google Scholar] [CrossRef]
- Ahsan, S.; Hussain, Z.; Naqvi, S.A.R.; Asi, M.R. Effect of Gamma Radiation on Aflatoxin Load, Amino Acid and Fatty Acid Composition of Oryza Sativa L. Pak. J. Bot. 2013, 45, 1577–1580. [Google Scholar]
- Zambrano, M.V.; Dutta, B.; Mercer, D.G.; MacLean, H.L.; Touchie, M.F. Assessment of moisture content measurement methods of dried food products in small-scale operations in developing countries: A review. Trends Food Sci. Technol. 2019, 88, 484–496. [Google Scholar] [CrossRef]
- Manjula, B.; Ramachandra, C.T. Effect of drying methods on physical and chemical characteristics of dried Byadagi chilli. J. Innov. Agric. 2014, 1, 22–30. [Google Scholar]
- Rhim, J.-W.; Hong, S.-I. Effect of water activity and temperature on the color change of red pepper (Capsicum annuum L.) powder. Food Sci. Biotechnol. 2011, 20, 215–222. [Google Scholar] [CrossRef]
- Mona, M.A.M.; Nadia, A.R.S.A.; Marwa, R.A. Hypoglycemic and Hypocholesterolemia Effects of Intragastric Administration of Dried Red Chili Pepper (Capsicum annum) in Alloxan-Induced Diabetic Male Albino Rats Fed with High-Fat-Diet. J. Food Nutr. Res. 2014, 2, 850–856. [Google Scholar]
- Toontom, N.; Meenune, M.; Posri, W.; Lertsiri, S. Effect of drying method on physical and chemical quality, hotness and volatile flavour characteristics of dried chilli. Int. Food Res. J. 2012, 19, 1023–1031. [Google Scholar]
- Zaki, N.; Hakmaoui, A.; Ouatmane, A.; Trujillo, J.P.F. Quality characteristics of Moroccan sweet paprika (Capsicum annuum L.) at different sampling times. Food Sci. Technol. 2013, 33, 577–585. [Google Scholar] [CrossRef]
- Venkata, S.K.; Ravi, G.; Dilip, S.K. A Review on Dehydration of Chilli. Plant Arch. 2014, 14, 637–642. [Google Scholar]
- Prasad, B.; Khan, R.G.; Radha, T.; Ravi, C.; Venkataiah, P.; Subhash, K.; Reuben, T.C. DNA profiling of commercial chilli pepper (Capsicum annuum L.) varieties using random amplified polymorphic DNA (RAPD) markers. Afr. J. Biotechnol. 2013, 12, 4730–4735. [Google Scholar] [CrossRef]
- Kwanhathai, C.; Duenchay, T.; Rungnaphar, P. Quality and Color Parameters of Dried Chili and Chili Powder Pretreated by Metabisulfi te Soaking with Different Times and Concentrations. Kasetsart J. 2012, 46, 473–484. [Google Scholar]
- Clydesdale, F.M. Color Perception and Food Quality. J. Food Qual. 1991, 14, 61–74. [Google Scholar] [CrossRef]
- Arimboor, R.; Natarajan, R.B.; Menon, K.R.; Chandrasekhar, L.P.; Moorkoth, V. Red pepper (Capsicum annuum) carotenoids as a source of natural food colors: Analysis and stability—A review. J. Food Sci. Technol. 2014, 52, 1258–1271. [Google Scholar] [CrossRef] [PubMed]
- Tripathi, S.; Mishra, H.N. Nutritional Changes in Powdered Red Pepper upon In Vitro Infection of Aspergillus Flavus. Braz. J. Microbiol. 2009, 40, 139–144. [Google Scholar] [CrossRef]
- Pouya, S.; Toktam, M.; Alireza, R. Steam-microwave on reduction of microbial level of red pepper and compared with gamma irradiation. IJSRST 2016, 2, 49–57. [Google Scholar]
- Woodside, J.V. Nutritional aspects of irradiated food. Stewart Postharvest Rev. 2015, 3, 2. [Google Scholar] [CrossRef]
- Kispéter, J.; Bajúsz-Kabók, K.; Fekete, M.; Szabó, G.; Fodor, E.; Páli, T. Changes induced in spice paprika powder by treatment with ionizing radiation and saturated steam. Radiat. Phys. Chem. 2003, 68, 893–900. [Google Scholar] [CrossRef]
- Rahman, M.; Islam, M.A.; Das, K.C.; Salimullah, M.; Mollah, M.Z.I.; Khan, R.A. Effect of gamma radiation on microbial load, physico-chemical and sensory characteristics of common spices for storage. J. Food Sci. Technol. 2021, 58, 3579–3588. [Google Scholar] [CrossRef] [PubMed]
- Sádecká, J. Irradiation of spices—A review. Czech J. Food Sci. 2007, 25, 231–242. [Google Scholar] [CrossRef]




Publisher’s Note: MDPI stays neutral with regard to jurisdictional claims in published maps and institutional affiliations. |
© 2021 by the authors. Licensee MDPI, Basel, Switzerland. This article is an open access article distributed under the terms and conditions of the Creative Commons Attribution (CC BY) license (https://creativecommons.org/licenses/by/4.0/).
Share and Cite
Balakrishnan, N.; Yusop, S.M.; Rahman, I.A.; Dauqan, E.; Abdullah, A. Efficacy of Gamma Irradiation in Improving the Microbial and Physical Quality Properties of Dried Chillies (Capsicum annuum L.): A Review. Foods 2022, 11, 91. https://doi.org/10.3390/foods11010091
Balakrishnan N, Yusop SM, Rahman IA, Dauqan E, Abdullah A. Efficacy of Gamma Irradiation in Improving the Microbial and Physical Quality Properties of Dried Chillies (Capsicum annuum L.): A Review. Foods. 2022; 11(1):91. https://doi.org/10.3390/foods11010091
Chicago/Turabian StyleBalakrishnan, Naleene, Salma Mohamad Yusop, Irman Abdul Rahman, Eqbal Dauqan, and Aminah Abdullah. 2022. "Efficacy of Gamma Irradiation in Improving the Microbial and Physical Quality Properties of Dried Chillies (Capsicum annuum L.): A Review" Foods 11, no. 1: 91. https://doi.org/10.3390/foods11010091
APA StyleBalakrishnan, N., Yusop, S. M., Rahman, I. A., Dauqan, E., & Abdullah, A. (2022). Efficacy of Gamma Irradiation in Improving the Microbial and Physical Quality Properties of Dried Chillies (Capsicum annuum L.): A Review. Foods, 11(1), 91. https://doi.org/10.3390/foods11010091

