Abstract
Allium mongolicum Regel (A. mongolicum) is a healthy edible plant but highly perishable with a short shelf life of 1–2 d. Modified atmosphere packaging (MAP) could inhibit the postharvest senescence and decay of the vegetables. Thus, the aim of this study was to apply MAP with different gas permeabilities to the storage of A. mongolicum and evaluate its effects on maintaining microbial communities and the postharvest quality of A. mongolicum. The results showed that polypropylene/poly(butylene adipate-co-terephthalate) (PP/PBAT, abbreviated as PAT) MAP was suitable for the storage of A. mongolicum by establishing an optimal atmosphere of 0.5–0.6% O2 and 6.2–7.1% CO2 in the bag. It could delay the postharvest senescence of A. mongolicum and maintain its quality by slowing down its respiration rate and weight loss, reducing cell membrane permeability and lipid peroxidation, maintaining the cell wall, and reducing infection and the growth of microorganisms. However, A. mongolicum in HPT was more perishable than that in PAT during storage. Pseudomonas was found to be the main spoilage bacteria, and they could also be effectively inhibited by PAT-MAP. The next-generation sequencing results also showed the growth of Escherichia-Shigella, Clostridium sensu stricto 1, Streptococcus, Aureobasidium, Didymella, and Fusarium, responsible for A. mongolicum decay or human disease, was well inhibited by PAT-MAP. The results suggested that PAT-MAP could be used to maintain microbial diversity and the postharvest quality of A. mongolicum under cold storage conditions. It provided a feasible solution for the preservation, food quality, and safety control of A. mongolicum.
1. Introduction
Allium mongolicum Regel, Liliaceae, Allium, a bulb-tufted perennial herb, is widely distributed in northwest China [1]. It has high nutritional value, delicious taste, and rich bioactive ingredients. However, A. mongolicum is highly perishable after harvest and has a short shelf life of only 1–2 d under room temperature, which poses a significant challenge to the distribution and retail of A. mongolicum [2]. Currently, studies on A. mongolicum are focused on its nutritional composition and bioactive components [3,4], and minimal information is available regarding its postharvest physiology and quality control.
The postharvest quality loss of fresh fruit and vegetables is mainly caused by mechanical damage, physiological corruption, and microbial attack [5,6,7]. Microbial spoilage has led to the wastage of around 45% of harvested fruit and vegetables worldwide. More than 90% of microbial spoilage is caused by Pseudomonas and Erwinia [8]. Fresh fruit and vegetables are also frequently contaminated with human gastrointestinal pathogenic bacteria such as Salmonella, Escherichia coli O157:H7, and Shigella [9], which continues to be a significant source of foodborne illness outbreaks. Moreover, the microbial diversity of fresh vegetables is closely related to their quality and safety during storage. It was reported that the microbial diversity of fresh vegetables dropped, and Pseudomonas became the predominant bacteria involved in the quality deterioration of fresh fruit and vegetables [10,11].
Generally, the postharvest quality loss in fresh fruit and vegetables is controlled by many physical, chemical, and biological treatments, such as cold storage [5], ozone [12], melatonin [13], and antimicrobial coating treatments [6,7], etc. However, most of these have high costs or toxic residues, which are difficult to popularize. Among them, modified atmosphere packaging (MAP), a widely used, economical, and safe approach, could inhibit the postharvest senescence of fruit and vegetables [14,15,16]. MAP with more than 5% CO2 could significantly reduce respiration [17], bacterial growth [2,18], lipid peroxidation, and damage to mitochondrial structure [15]. Furthermore, the headspace gas compositions greatly depend on the gas permeability of the packaging film, metabolism characteristics of the product, ambient temperature, and humidity [2]. The permeability properties of most polymeric films commonly used in MAP have limitations. Nonetheless, polypropylene (PP) film, with its low price, high safety, and excellent mechanical capacity, is commonly used for food packaging. However, its poor CO2 and H2O vapor permeability could cause dew condensation in the bag due to the anaerobic respiration of vegetables and degradation of phenolic compounds, making it not suitable for the packaging of vegetables with a strong respiration metabolism [19,20,21]. However, poly (butylene adipate)-co-terephthalate (PBAT) has high H2O vapor and CO2 transmission rates, which makes it ideal for improving the permeability of PP film. Furthermore, PBAT is biodegradable and highly compatible, and it has been used to blend with various polymers to enhance permeability [22,23,24]. In the study reported here, PP and PBAT co-extruded to produce a PP/PBAT blend film with moderate gas permeability, matching the storage of A. mongolicum. In addition, the degradation performance of PP was improved in the blend film [24].
However, under storage, the postharvest quality and microbial composition of A. mongolicum, and the relationship between them, are unknown. Thus, it will be very interesting to carry out this work. In this study, the effects of the MAPs on the postharvest physicochemical and physiological properties and microbial diversity of A. mongolicum stored in cold storage were researched. In addition, the relationship between quality deterioration and microbial diversity was revealed. This work contributes to the application of MAP and provides new strategies for the preservation and quality control of A. mongolicum.
2. Materials and Methods
2.1. Materials Preparation and Sample Storage
The samples with intact leaves, uniform size, and no pests or diseases were taken from the Alxa League farm in China and sent to the laboratory immediately after harvest via cold chain. The new blend film of polypropylene/poly(butylene adipate-co-terephthalate) (PP/PBAT, abbreviated as PAT) was prepared in the laboratory. PBAT (Mn = 1.7 × 105) was purchased from Xinfu Science and Technology Co., Ltd. (Hangzhou, China). PP (Mn = 1.3 × 106) was purchased from Esun Advanced Materials Co., Ltd. (Shenzhen, China). PP/PBAT blend films, a mixture of 70% PP and 30% PBAT, were prepared by a twin-screw extruder system (PPT-3/SJ2-20-250, Guangzhou POTOP Experimental Analysis Instrument Co., Ltd., Guangzhou, China). The temperature of the screw area in the charging barrel was 95–200 °C, and the extrusion temperature of the die head was 200 °C. Then, the blend films were made into 15 cm × 27 cm bags with a heat-sealing machine (DBF-900, Wenzhou Dingli Package Machine Manufacture Co., Ltd., Wenzhou, China). The film thickness was 35 ± 5 μm. Samples (90 ± 2 g) were randomly packed. Four treatments were set up in the experiment. The samples packed with PP/PBAT films were abbreviated as PAT. The samples were soaked in 50 mg L−1 non-electrolytic slightly acidic hypochlorous water with pH 6.4 for 5 min, and then rinsed with sterilized distilled water, dried, and packed with PP/PBAT films, abbreviated as HPT. The samples were packed with commonly used PE preservation films (Miaojie, Top Daily Chemicals Co., Ltd., Wuxi, China), abbreviated as PE. The unpacked A. mongolicum samples were used as a control, abbreviated as CK. Then, those samples were divided into four groups and stored for 18 d at 2 °C and 75 ± 5% relative humidity. The samples in the four groups were collected at 0, 3, 6, 9, 13, and 18 d during storage, respectively. Three bags of parallel samples in each group were randomly taken for investigation. The diagram (Figure 1) showed the experimentation flow and the analysis performed at each stage.
Figure 1.
The flow diagram of the experimentation.
2.2. Gas Permeability of the Film
The gas permeability of the film was evaluated by the carbon dioxide transmission rate (CDTR), oxygen transmission rate (OTR), and water vapor transmission rate (WVTR). The CDTR, OTR, and WVTR were analyzed following the method reported previously [6]. The manometric gas permeability tester (Lyssy L100-5000, Systech Illinois Instruments, Inc., Oxford, UK) was used to test CDTR and OTR at 23 °C. The water vapor permeability meter (Permatran-W Model 3/61, Mocon Inc., Brooklyn Park, MN, USA) was used to test WVTR at a temperature of 23 °C and humidity of 65%. Then, carbon dioxide permeability (CDP) and water vapor permeability (WVP) were calculated.
2.3. Headspace Gas Analysis
The contents of O2 and CO2 in bags were tested using the headspace gas analyzer (Model 6600, Systech Instruments Co., Oxford, UK) according to the method of Bu et al. [2] Gas in the bags was collected and detected with a sampling needle. The results were output in %.
2.4. Physicochemical and Physiological Analysis
2.4.1. Texture Profile Analysis
The texture of A. mongolicum, expressed by maximum shearing forces, was tested with the texture analyzer (TA-XT Plus, SMS Co., Surrey, UK), following the method outlined previously [25]. The HDP/BSW shearing probe, simulating incisors biting and cutting food, was used to cut off and test the texture of the sample. A. mongolicum with both ends fixed on the stage was cut off 6 cm away from the root, and maximum shearing forces were measured. Compression was performed once (distant 15.00 mm, Trigger mode Button) at a rate of 1 mm s−1.
2.4.2. Weight Loss and Decay Rate
The initial weight of A. mongolicum samples in each bag was weighed by the precision electronic balance (PRECISA JA-5003B, Precisa Co., Gottingen, Germany) based on the method reported previously [12]. The samples were then taken and weighed after storage. The weight loss rate was the percentage of lost weight compared to initial weight, which was expressed as %. The decay rate was the ratio of the rotten sample number to the total sample number in each bag. The results were expressed as %. Rotten samples refer to any occurrence of decay, regardless of the degree of decay.
2.4.3. Respiration Rate
The respiration rate of the samples was tested according to the method used in previous studies [2,12]. The samples (60 ± 5 g) were placed in 1 L sealed tanks for 1 h at 25 °C. Gas composition in the tanks was collected with a sampling needle and measured with a headspace O2/CO2 analyzer (Model 6600, Systech Instruments Co., Oxford, UK). The results of respiration rate were expressed as mg kg−1 h−1.
2.4.4. Chlorophyll Content, Lipid Peroxidation, and Membrane Permeability
The chlorophyll content was analyzed according to the method in previous studies [26]. The results of chlorophyll content were calculated as g kg−1. The malondialdehyde (MDA) content, indicating the lipid peroxidation level, was tested with thiobarbituric acid following the method outlined previously [27]. The results of MDA content were calculated as μmol kg−1. The relative electrolyte leakage conductivity (EC), indicating the membrane permeability, was analyzed based on the method outlined previously [28]. The A. mongolicum sample was cut into uniform tissue slices (3 mm diameter, 3 mm thickness), then 5 g sample slices were soaked in 50 mL distilled water for 1 h to wash and remove any surface contamination. Then the sample was taken out and placed into another 50 mL of distilled water, incubated for 3 h at 20 ± 2 °C, and the EC (EC1) was tested. The same samples were then put into a water bath at 100 °C for 30 min, then the solution was cooled to 20 °C and the EC (EC2) was tested. The results were the percentage of EC1 to EC2, which was expressed as %.
2.5. Morphology of Cell Wall
Cell wall integrity of A. mongolicum was analyzed using a scanning electron microscopy (SEM) (TM400, Hitachi Co., Tokyo, Japan) following the method reported previously [29]. The cell wall morphology of A. mongolicum was analyzed at 0 and 18 d of storage. The samples were sliced into uniform tissue slices (3 mm diameter, 1 mm thickness) and fixed with 2.5% glutaraldehyde. Then the samples were dehydrated with ethanol according to the gradient concentrations of 30%, 50%, 70%, 80%, 90%, and 100%. Then the A. mongolicum samples were dried with a vacuum freeze drier and observed with the SEM at a 15 kV accelerating voltage and high-vacuum mode after being coating with gold.
2.6. Microbial Enumeration
The samples (25 ± 0.1 g) were weighed and added to 225 mL of buffered peptone water, then the solution was shaken for 30 min to prepare 10−1 dilute solution. Then series diluents of 10−2, 10−3, 10−4, 10−5, 10−6, and 10−7 were prepared using a 10-fold dilution method. Aerobic bacterial counts (ABC) were analyzed based on the method outlined previously [30]. Psychrophile plate counts (PPC) were tested using the method outlined previously [31]. Pseudomonas counts (PC) were analyzed using the method reported previously [11]. Yeast and mold counts (YAM) were determined following the method outlined previously [2]. The results of colonies’ numbers were all expressed as Log10 CFU g−1.
2.7. Microbial Profile Analysis
2.7.1. High-Throughput Illumina Sequencing
A CTAB method was used to extract the total genome DNA of A. mongolicum samples. After testing the purity and concentration of DNA, an appropriate amount of the sample was put into a centrifuge tube, and the sample was diluted to 1 ng μL−1 with sterile water. PCR reactions are performed using diluted genomic DNA of 10 ng as a template, 2 μmol L−1 of forward and reverse primers with the barcode according to distinct sequencing region (16S V4: 515F-806R, ITS1: ITS5-1737F, and ITS2-2043R), and 15 μL of Phusion® High-Fidelity PCR Master Mix with GC Buffer from New England Biolabs to ensure amplification efficiency and accuracy. PCR products were tested using 2% agarose gel electrophoresis, and then recovered for the target strips using the Gel Extraction Kit provided by Qiagen of Germany. TruSeq® DNA PCR-Free Sample Preparation Kit from Illumina in the USA was used to build the sequencing library. After the constructed library was qualified by the detection of Qubit@ 2.0 Fluorometer from Thermo Scientific and Bioanalyzer 2100 system from Agilent, libraries were sequenced using NovaSeq6000 (Illumina, San Diego, CA, USA).
2.7.2. Data Analysis
FLASH (Version 1.2.7) was used to merge the paired-end reads, and the QIIME quality-controlled process (Version 1.9.1) was used to filtrate data of the raw tags. Then the effective tags were obtained after removing the chimera sequences with UCHIME. Effective tags in all samples were clustered using Uparse software (Version 7.0.1001), and sequences with 97% consistency were assigned to the same OTUs. The Silva and Unite databases were used for 16S and ITS species annotation [32,33], respectively. The biomarker OTUs, differing in abundance and occurrence between samples, were analyzed with the linear discriminant analysis (LDA) effect size (LEfSe) algorithm. The significance level was set at LDA ≥ 4 and p < 0.05. The Ade4 package and the ggplot2 package in R software (Version 2.15.3) were used to perform Principal Coordinate Analysis (PCoA).
2.8. Statistical Analysis
Statistical differences were calculated using Duncan’s multiple range test using the SPSS software (version 26.0) System. The significance level was set at p < 0.05. The results were presented as mean ± standard deviation.
3. Results and Discussion
3.1. Gas Permeability of the Film
The ideal gas atmosphere in the package could extend the shelf life of fruit and vegetables, and the gas content in the package mainly depends on the gas permeation performance of the packaging materials and the characteristics of the packaging products and their interaction [25]. The gas permeation performance of materials is commonly represented by their transmission rate and permeability; permeabilities such as CDP and WVP are essential properties of materials and are not related to their thickness [6]. As shown in Table 1, the CDP and WVP of PP were significantly lower than that of PBAT. The poor CDP and WVP of PP could cause dew condensation in the bag and anaerobic respiration of vegetables and are not suitable for the packaging of vegetables with a strong respiration metabolism. PBAT is biodegradable and highly compatible [23,24] but has high CDP and WVP, which are also not suitable for the packaging of vegetables. As shown in Table 1, the blend of PP and PBAT, abbreviated as PAT, had moderate CDP and WVP, matching the storage of A. mongolicum. The blending improved the permeation performance of both PP and PBAT. This is because the PBAT components in an amorphous structure are mainly dispersed in the continuous phase of PP, and the internal free volume of PBAT is large, providing a channel for the transmission of CO2 and H2O. Furthermore, it was found that the CDP and WVP of the commonly used PE preservation film were significantly lower than those of PAT and even lower than PP. Thus, the internal atmosphere of high CO2 and low O2 could be formed in the PAT bags to inhibit the respiration rate of A. mongolicum. However, there were few studies on the recommended CO2 and O2 levels for A. mongolicum storage. However, for vegetables, the concentrations of O2 from 0.0% to 5.0% and CO2 greater than 5% were the recommended gas concentration for their storage [17,34].
Table 1.
The CO2, O2, and H2O vapor permeation performance of the films.
3.2. Headspace Gas Analysis
Suitable gas composition was conducive to maintaining the quality of fresh agricultural products after harvest and prolonging their shelf life [12,30]. As shown in Table 2, the results showed that the O2 concentration decreased sharply within 3 d of storage, and then tended to be stable, fluctuating between 0.51 and 0.63% and 0.05 and 0.09% in PAT and HPT treatment, respectively. For PE packages, it fluctuated between 19.53 and 20.33%. The CO2 concentration in PAT and HPT packages rapidly reached peak values of 8.03% and 10.73% within 3 d, and then tended to be stable at 6.20–7.07% and 6.40–9.20%, respectively (Table 2). It should be noted that the O2 level was higher and the CO2 level was lower in PAT compared to HPT during the entire storage, indicating PAT-treated samples have a lower respiration rate, less O2 consumption, and less CO2 generation, while HPT-treated samples have a higher respiration rate [30]. Moreover, it was also reported that the concentration of O2 from 0.0% to 5.0% was the best gas concentration for vegetable storage [34], and 6.13% CO2 concentration was conducive to maintaining the postharvest quality of green vegetables [35]. In addition, combined with the analysis data of the physicochemical properties and microbial structure of A. mongolicum in different groups, it was found that PAT-MAP could better match the respiration of A. mongolicum and could form an ideal gas composition with 0.5–0.6% O2 and 6.2–7.1% CO2 suitable for A. mongolicum storage.
Table 2.
Changes in O2 and CO2 content in packaging bags during storage.
3.3. Physicochemical Analysis
3.3.1. Maximum Shearing Forces
The tenderness of A. mongolicum was expressed through its maximum shearing forces. The maximum shearing forces in all treatments increased and then decreased during storage (Table 3). The maximum shearing forces in PAT remained relatively steady, fluctuating from 2.84 N to 3.29 N, which maintained a better texture and tenderness of the sample than other treatments. The maximum shearing forces decreased sharply after day 6 of storage in PE and HPT, which was caused by the softening and decay of tissues.
Table 3.
Effects of different treatments on the maximum shearing forces, weight loss rate, and decay rate of A. mongolicum stored at 2 °C for 18 d.
3.3.2. Weight Loss and Decay Rate
The weight loss rate is an essential indicator for evaluating the postharvest quality of fruit and vegetables. When it is greater than 5%, they lose market value [36]. During storage, the weight loss rate in each treatment increased (Table 3). However, it increased slowly in PAT and was only 4.64% during the entire storage. The weight loss rate in HPT and PE were more significant than 5% on day 9 of storage and rose rapidly during the late storage period. The decay rate is another essential indicator of the storage effect of fruit and vegetables. They will lose market value when the decay rate exceeds 10%. As shown in Table 3, the decay rate in each treatment increased during storage. However, the decay rate in PAT increased slowly and was only 4.95% by the end of storage. The decay rates in HPT and PE were 23.28% and 30.78%, respectively, which were 4.7 and 6.2 times that in PAT. The rapid decay in PE was mainly due to the vigorous respiration of A. mongolicum and serious dewing in the PE package. Dewing may have caused the rapid propagation of microorganisms that infected the tissue and caused tissue softening and corruption.
3.3.3. Respiration Rate
Respiration is the primary physiological metabolism of postharvest A. mongolicum, directly affecting the shelf life and quality of A. mongolicum. As shown in Figure 2A, during entire storage, the respiration rate in PAT, HPT, and PE were significantly lower than CK (p < 0.05). The respiration rate in PAT was the lowest (p < 0.05). For the PAT, HPT, and PE groups, the respiration rate decreased within 3 d, then increased and reached its peak on the 9th day in HPT and PE and on the 13th day in PAT, followed by a decline. The respiration peak values of A. mongolicum in HPT, PE, and PAT bags were 142.64 mg kg−1 h−1, 138.27 mg kg−1 h−1, and 92.43 mg kg−1 h−1, respectively. These results indicated that PAT treatment significantly reduced the respiration rate of A. mongolicum and delayed the appearance of its respiration peak.
Figure 2.
Effects of different treatments on the respiration rate (A); chlorophyll content (B), malondialdehyde content (C), and relative conductivity (D) of A. mongolicum stored at 2 °C for 18 d. The data expressed the mean of 3 determinations. PAT: A. mongolicum packaged with PP/PBAT blend film, HPT: A. mongolicum washed in non-electrolytic slightly acidic hypochlorous water and then packaged with PP/PBAT blend film, PE: A. mongolicum packaged with polyethylene film. CK: A. mongolicum unpackaged.
3.3.4. Total Chlorophyll Content
A degradation of the total chlorophyll content indicates the postharvest vegetable quality loss associated with cellular degradation and senescence [37]. The chlorophyll content in each treatment showed a decreasing trend with increasing storage time (Figure 2B). However, in PAT, it fell slowly, reaching 0.37 g kg−1 by the end of storage. The total chlorophyll content in HPT and PE was 0.29 g kg−1 and 0.26 g kg−1, respectively, which were 21.6% and 29.7% lower than that in PAT. This may be due to the PAT treatment inhibiting the chlorophyll-degrading enzyme’s activity, thereby reducing the degradation of chlorophyll [38]. Furthermore, the oxidative decomposition of chlorophyll can be directly caused by the generation of ROS [15]. Therefore, it could be concluded that PAT could inhibit the degradation of chlorophyll by reducing ROS. Furthermore, PE treatment with high O2 and low CO2 partial pressure could induce chlorophyll degradation [39].
3.3.5. Membrane Permeability and Lipid Peroxidation
Membrane lipid peroxidation and electrolyte leakage were caused by ROS accumulation in the cell after harvest [40]. Membrane lipid peroxidation was assessed via malondialdehyde (MDA), and membrane permeability was evaluated via relative electrolyte leakage conductivity (EC). As shown in Figure 2C,D, the MDA and EC increased in all treatments during storage. However, the MDA and EC in PAT increased slowly compared to other groups (p < 0.05). They were 1.48 µmol kg−1 and 56.50% at the end of storage, respectively. The MDA and EC in PE were 2.20 µmol kg−1 and 82.78%, respectively, which were 48.6% and 46.4% higher than those in PAT. The higher lipid peroxidation level in PE may be caused by high O2 and low CO2 in the package [39]. The MDA and EC in HPT were 1.95 µmol kg−1 and 73.86% at the end of storage, which were 31.8% and 73.86% higher than those in PAT. These results revealed that the elevated CO2 concentration of 6.2–7.1% and the low O2 concentration of 0.5–0.6% in the PAT bags might decrease the superoxide anion and hydroxyl radical [15], thereby delaying membrane damage and lipid peroxidation. It was also reported that the disrupted ROS metabolic balance resulted in damage to the cell membrane system and the postharvest senescence of vegetables [41].
3.4. Morphology of Cell Wall
The integrity of the cell wall structure is also an important indicator of the storage effect of A. mongolicum. As shown in Figure 3A, the cell wall structures in fresh A. mongolicum samples were intact. At the end of storage, the PAT-treated cell wall structure was more intact with a smooth cell wall edge compared with other treatments (Figure 3B). However, the cell wall was ruptured in HPT (Figure 3C) and CK (Figure 3E). The cell wall microstructure in PE was also broken, manifesting as blistering and wrinkling of the cell wall (Figure 3D). The results indicated that PAT-MAP could form a suitable atmosphere for A. mongolicum preservation, which could protect the integrity of the cell wall in A. mongolicum samples, thereby maintaining the quality and delaying the senescence of A. mongolicum. It was also reported that MAP maintained banana fruit quality under storage by improving the antioxidant system and cell wall structure [42]. It is worth noting that microbes invaded the A. mongolicum samples in PE more severely than other treatments (arrowhead in figures), as illustrated in Figure 3D. Moreover, microbes entered the tissues and tore the network of the cell wall, thus mechanically destroying the cell wall [29].
Figure 3.
Microstructure (A–E) of A. mongolicum tissue in different treatments during storage observed with SEM at 15 kV accelerating voltage and high-vacuum mode after coating with gold. (A) Fresh sample (2000×); (B) PAT at 18 d (2000×); (C) HPT at 18 d (2000×); (D) PE at 18 d (2000×); (E) CK at 18 d (2000×).
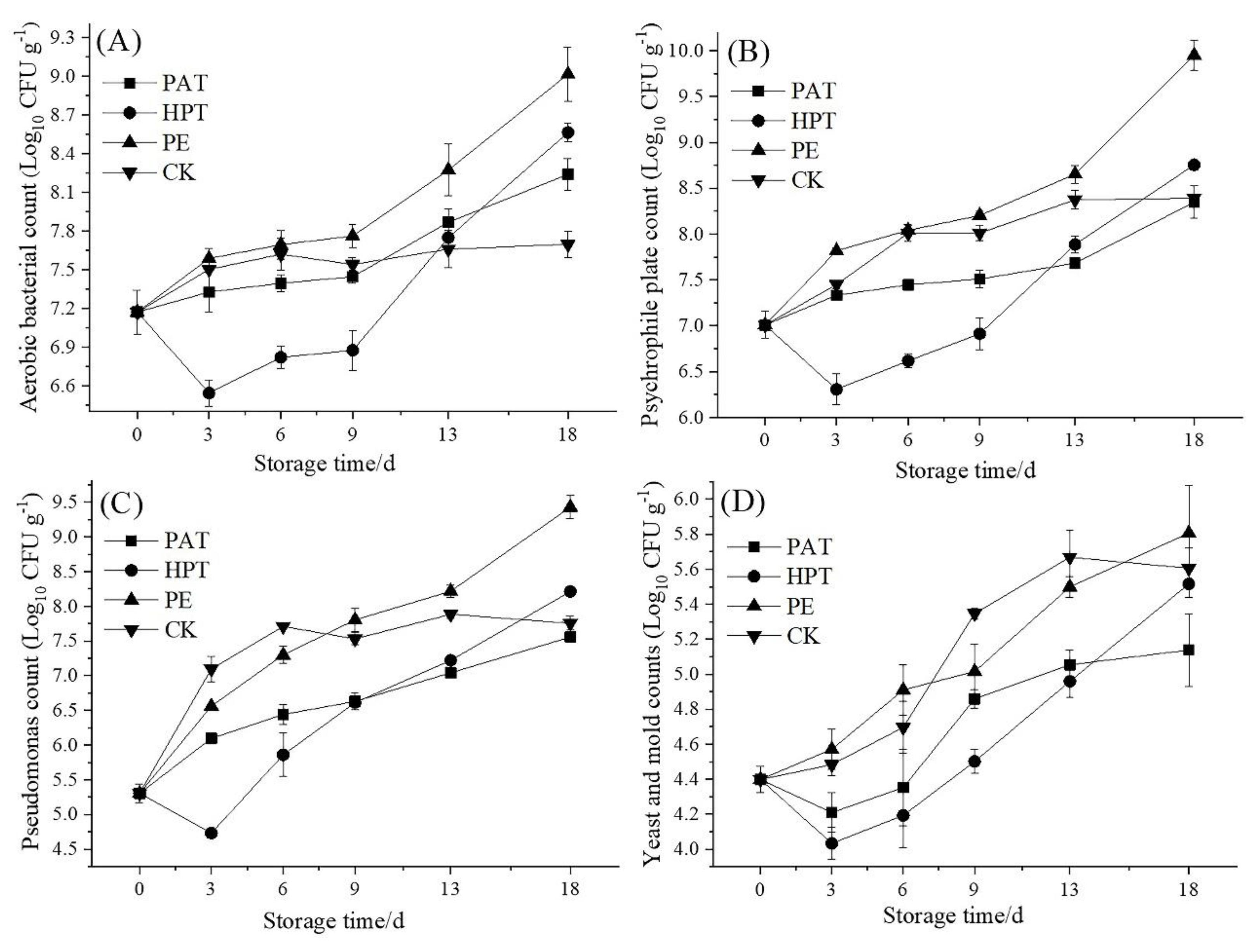
3.5. Microbial Enumeration Analysis
The postharvest quality and safety improvement in vegetables rely on a better understanding of microbial population dynamic changes during storage. As shown in Figure 4A–C, it was found that the ABC, PPC, and PC were increased in all treatments except HPT during storage. HPT was found to be more effective in reducing the initial microbial load but then rebounded after day 3 (p < 0.05), which is consistent with the research results reported by Xiao et al. (2014) [26]. The rebound may be caused by residual spore germination or the recovery of damaged bacteria after sterilization during the following storage [43].
Figure 4.
Effects of different treatments on the aerobic bacterial count (A), psychrophile plate count (B), Pseudomonas count (C), yeast and mold counts (D) of A. mongolicum stored at 2 °C for 18 d. The data expressed the mean of 3 determinations.
The ABC, PPC, and PC in PE increased quickly and maintained a higher level than those in PAT and HPT during storage, which reached 9.01 Log10 CFU g−1, 9.95 Log10 CFU g−1, and 9.43 Log10 CFU g−1 at the end of storage. Moreover, the YAM in PE increased rapidly and reached 5.81 Log10 CFU g−1 at the end of storage (Figure 4D). It was also found that the microbial population of vegetables maintained significantly high levels in PE packages during storage [40]. The higher level of microbial load may be caused by the high O2 level, low CO2 level, and the dew in PE packages, which could boost bacterial growth and then result in decay of A. mongolicum (Table 2 and Table 3). However, the ABC, PPC, PC, and YAM in PAT increased much more slowly and were 0.77 Log10 CFU g−1, 1.60 Log10 CFU g−1, 1.87 Log10 CFU g−1, and 0.67 Log10 CFU g−1 lower than PE at the end of storage. Thereby, PAT-MAP could inhibit microbial growth and maintain excellent quality due to its higher CO2 content of 6.2–7.1%, lower O2 content of 0.5–0.6%, and minimum water loss of A. mongolicum in PAT packages (Table 2 and Table 3).
Moreover, at the end of storage, the ABC, PPC, and YAM in all treatments increased by 1.07–1.84 Log10 CFU g−1, 1.34–2.94 Log10 CFU g−1, and 0.74–1.41 Log10 CFU g−1, respectively, while the PC increased by up to 2.26–4.13 Log10 CFU g−1. The results revealed that Pseudomonas increased fastest and were the dominant bacteria during the storage of A. mongolicum. In addition, the amounts of Pseudomonas in PE were highest and reached 9.43 Log10 CFU g−1. The highest level of decay rate was also found in PE. Thus, based on the above data, it could be inferred that Pseudomonas was the main spoilage bacteria in the A. mongolicum samples. Pseudomonas was also found to be the dominant bacteria causing the rot of Agaricus bisporu [11].
3.6. Microbial Profile
3.6.1. Bacterial Profile
The taxonomic levels, consisting of phylum, class, order, family, genus, and species, were used to distinguish the microbial community structure [44]. For the bacterial communities, Proteobacteria, Cyanobacteria, Firmicutes, Actinobacteria, and Bacteroidota were the dominant bacteria during storage at the phylum level, accounting for more than 73% of all OTUs in each sample (Figure 5A). Notably, the relative abundance of Proteobacteria increased significantly from 0.22% to 0.65% in PE, and from 0.21% to 0.49% in HPT. Proteobacteria are a major phylum of bacteria that include many pathogens, such as Escherichia, Salmonella, Helicobacter, etc.; some are also plant pathogens [12]. However, Proteobacteria were significantly inhibited in PAT and only increased by 0.03%.



Figure 5.
Relative abundance of bacteria communities in A. mongolicum samples at phylum (A) and genus levels (B); bacterial cladogram (C); bacteria LDA value distribution histogram (D); and PCoA analysis (E) in A. mongolicum samples. The suffix F of the sample name indicates the first sampling on day 0 of storage; S means the second sampling on day 3 of storage; T marks the third sampling on day 9 of storage; Fo indicates the fourth sampling on day 13 of storage; Fi means the fifth sampling on day 18 of storage. All data represent the mean of 3 determinations.
At the genus level (Figure 5B), the relative abundance of Pseudomonas in PE increased rapidly from 0.07% to 46.6% during storage. The highest decay rate was also found in PE (Table 3). In addition, Pseudomonas accounted for 16.7% of the HPT.Fo samples. Severe decay was also found in the HPT.Fo samples. However, Pseudomonas in the PAT bags were inhibited. The best quality and lowest decay rate of A. mongolicum were also found in PAT. These results further indicated that the spoilage of A. mongolicum could be mainly caused by Pseudomonas. Pseudomonas were also found to be the main bacteria resulting in the decay and flavor change of wild morel mushrooms [45]. Pseudomonas fluorescens was the primary microorganism responsible for the spoilage of rose flowers [46]. Pseudomonas was widely distributed in nature; many of them were associated with human infection, such as P. aeruginosa, P. pseudomallei, and P. fluorescens, and many of them caused vegetable decay [47]. These reports further supported the above conclusions of this study. In addition, it was noteworthy that Clostridium sensu stricto 1 in HPT increased at later storage due to anaerobic conditions with O2 below 0.1%. Furthermore, the relative abundance of the foodborne pathogen Escherichia-Shigella in PE increased and accounted for 9.2% at the end of storage. It was in accordance with the result that Enterobacteriaceae and Streptococcaceae were the predominant bacteria at the later storage of fresh-cut Ma bamboo [48].
For an in-depth understanding of the difference in the bacterial communities of A. mongolicum in different treatments, an LEfSe analysis was conducted (Figure 5C,D). As shown in Figure 5C, 39 bacterial clades were found with LDA scores equal to or greater than 4.0, indicating that these were classified as the most important bacteria to distinguish A. mongolicum samples. The 39 clades consist of 1 kingdom, 3 phyla, 5 classes, 10 orders, 11 families, 7 genera, and 2 species. As shown in Figure 5D, the genus Pseudomonas was the primary marker for PE at the end of storage. At the same time, Clostridium sensu stricto 1 and Streptococcus, which are pathogenic to humans, were the primary markers for HPT. However, PAT could inhibit the growth of Pseudomonas, Escherichia-Shigella, Clostridium sensu stricto 1, and Streptococcus.
To gain an overall understanding of the microbial variations in A. mongolicum caused by different treatments, a PCoA analysis was performed. As shown in Figure 5E, the first two extracted components explained more than 61.4% of the bacteria variance in A. mongolicum during storage. The samples in PAT clustered together during storage, while the samples were far separated in CK, PE, and HAT. The PCoA of all the samples suggested that PAT-MAP could effectively control and maintain the microbial composition and quality of A. mongolicum during storage.
3.6.2. Fungal Profile
For the fungal communities, over 78% of the sequence reads were annotated as Ascomycota and Basidiomycota at the phylum level in each sample (Figure 6A). Regarding the genus level (Figure 6B), the relative abundance of Vishniacozyma and Stemphylium in fresh samples decreased during storage. The relative abundance of Aureobasidium, Naganishia, Filobasidium, and Didymella in PE increased rapidly and accounted for 25.2%, 10.5%, 9.8%, and 7.8% in all OTUs at the end of storage, and Filobasidium could cause vegetable decay [40]. Furthermore, Fusarium, Trichosporon, Ceratobasidium, Aspergillus, and Gibberella in HPT accounted for more than 3% of all OTUs.



Figure 6.
Relative abundance of fungal communities in A. mongolicum samples at phylum (A); heatmap of fungal communities at the genus level (B); fungal Cladogram (C); fungal LDA value distribution histogram (D); and PCoA analysis (E) in A. mongolicum samples. The suffix F of the sample name indicates the first sampling on day 0 of storage; S means the second sampling on day 3 of storage; T marks the third sampling on day 9 of storage; Fo indicates the fourth sampling on day 13 of storage; Fi means the fifth sampling on day 18 of storage. All data represent the mean of 3 determinations.
To further understand the difference in fungal composition of A. mongolicum in different treatments, an LEfSe analysis was conducted (Figure 6C,D). As shown in Figure 6C, 77 fungal clades were found with LDA scores equal to or greater than 4.0, indicating that these were classified as the most important fungal species to distinguish A. mongolicum samples. The 77 clades consist of 3 phyla, 7 classes, 13 orders, 16 families, 19 genera, and 19 species. As shown in Figure 6D, at the end of storage, Filobasidium and Didymella were the primary markers for PE. Among them, some Didymella species were fungal plant pathogens. Moreover, Fusarium, Trichosporon, Ceratobasidium, Aspergillus, Gibberella, and Malassezia were the major markers for HPT. Among them, some Fusarium species are the most important fungal pathogens to plants and humans. Furthermore, Allium species are susceptible to Fusarium. Many Fusarium species could cause Allium species plant rot, such as F. solani [49], F. proliferatum [50], and F. falciforme [51], etc. However, PAT treatment could inhibit the growth of the fungal species pathogenic to plants and humans, which would maintain the quality and guarantee the food safety of A. mongolicum.
To gain an overall understanding of the fungal variations in A. mongolicum caused by different treatments, a PCoA analysis was performed. As illustrated in Figure 6E, the first two extracted components explained more than 59.4% of the variance in the fungal profile. The samples were gradually separated into CK, PE, and HPT during storage. Especially in PE, the samples shifted from the top-right side to the bottom-left side during storage. While the samples in PAT were still closely clustered during storage. The results suggested that PAT-MAP could effectively inhibit fungal variations and maintain the fungal composition of A. mongolicum during storage.
4. Conclusions
A PAT film with an optimal CDTR, OTR, and WVTR could form a suitable gas composition of O2, CO2, and H2O in the packaging for A. mongolicum storage. It could effectively delay postharvest senescence and maintain the quality of A. mongolicum. Compared to the PE package commonly used as a preservative film, the respiration rate, decay rate, malondialdehyde, and relative electrolyte leakage conductivity in PAT decreased by 59.6%, 83.9%, 32.7%, and 31.7%, respectively. In addition, the aerobic bacterial counts, psychrophile plate counts, Pseudomonas counts, and yeast and mold counts decreased by 0.77 Log10 CFU g−1, 1.60 Log10 CFU g−1, 1.87 Log10 CFU g−1, and 0.67 Log10 CFU g−1. Furthermore, it could effectively inhibit Pseudomonas, Escherichia-Shigella, Clostridium sensu stricto 1, and Streptococcus, which are bacterial pathogens to plants and humans, and Aureobasidium, Didymella, and Fusarium, which are fungi pathogenic to plants and humans. The PAT-MAP extended the shelf life of A. magnolicum to 18 days, which is 9 days longer than that of universal PE packaging. Therefore, the application of PAT packaging could provide a feasible solution for preventing postharvest senescence, maintaining quality, and prolonging the shelf life of A. mongolicum. This research work provides new strategies and a theoretical basis for the preservation and quality control of A. mongolicum.
Author Contributions
H.B.: Conceptualization, methodology, data curation, formal analysis, investigation, software, visualization, validation, writing—original draft. J.H.: methodology, software. F.H.: writing—review and editing. L.W.: methodology, validation. Q.C.: writing—review and editing. P.C.: methodology, validation. H.Y.: methodology, software. T.D.: conceptualization, funding acquisition, project administration, supervision, writing—review and editing. X.Y.: funding acquisition, supervision, writing—review and editing. All authors have read and agreed to the published version of the manuscript.
Funding
This research was funded by the Talent Development Fund of Inner Mongolia Autonomous Region (2021); the National Natural Science Foundation of China (21564012).
Data Availability Statement
The data used to support the findings of this study can be made available by the corresponding author upon request.
Conflicts of Interest
The authors have no conflict of interest relevant to this study.
References
- Muqier, Q.S.; Wang, T.; Chen, R.; Wang, C.; Ao, C. Effects of flavonoids from Allium mongolicum Regel on growth performance and growth-related hormones in meat sheep. Anim. Nutr. 2017, 3, 33–38. [Google Scholar] [CrossRef] [PubMed]
- Bu, H.; Hu, Y.; Dong, T. Changes in postharvest physiology, biochemistry, sensory properties and microbiological population of Allium mongolicum Regel regulated by adjusting the modified atmosphere inside the package during storage. J. Food Process Preserv. 2022, 46, e16128. [Google Scholar] [CrossRef]
- Li, M.Y.; Zhu, X.M.; Niu, X.T.; Chen, X.M.; Tian, J.X.; Kong, Y.D. Effects of dietary Allium mongolicum Regel polysaccharide on growth, lipopolysaccharide induced antioxidant responses and immune responses in Channa argus. Mol. Biol. Rep. 2019, 46, 2221–2230. [Google Scholar] [CrossRef] [PubMed]
- Li, M.Y.; Guo, W.Q.; Guo, G.L.; Zhu, X.M.; Niu, X.T.; Shan, X.F. Effect of sub-chronic exposure to selenium and Allium mongolicum Regel flavonoids on Channa argus: Bioaccumulation, oxidative stress, immune responses and immune-related signaling molecules. Fish Shellfish Immunol. 2019, 91, 122–129. [Google Scholar] [CrossRef]
- Sang, Y.; Yang, W.; Liu, Y.; Zhang, W.; Guo, T.; Shen, P. Influences of low temperature on the postharvest quality and antioxidant capacity of winter jujube (Zizyphus jujuba Mill. cv. Dongzao). LWT-Food Sci. Technol. 2022, 154, 112876. [Google Scholar] [CrossRef]
- Salmas, C.E.; Giannakas, A.E.; Baikousi, M.; Kollia, E.; Tsigkou, V.; Proestos, C. Effect of Copper and Titanium-Exchanged Montmorillonite Nanostructures on the Packaging Performance of Chitosan/Poly-Vinyl-Alcohol-Based Active Packaging Nanocomposite Films. Foods 2021, 10, 3038. [Google Scholar] [CrossRef]
- Asgarian, Z.S.; Palou, L.; Souza, R.F.; Quintanilla, P.G.; Taberner, V.; Karimi, R.; Pérez-Gago, M.B. Hydroxypropyl Methylcellulose and Gum Arabic Composite Edible Coatings Amended with Geraniol to Control Postharvest Brown Rot and Maintain Quality of Cold-Stored Plums. Foods 2023, 12, 2978. [Google Scholar] [CrossRef]
- Saleh, I.; Abu-Dieyeh, M. Novel Prosopis juliflora leaf ethanolic extract coating for extending postharvest shelf-life of strawberries. Food Control 2022, 133, 108641. [Google Scholar] [CrossRef]
- Mukhopadhyay, S.; Ukuku, D.O.; Olanya, O.M.; Sokorai, K.; Fan, X. Effects of pulsed light and aerosolized formic acid treatments on inactivation of Salmonella enterica on cherry tomato, reduction of microbial loads, and preservation of fruit quality. Food Control 2021, 136, 108667. [Google Scholar] [CrossRef]
- Treesuwan, K.; Jirapakkul, W.; Tongchitpakdee, S.; Chonhenchob, V.; Mahakarnchanakul, W.; Tongkhao, K. Sulfite-free treatment combined with modified atmosphere packaging to extend trimmed young coconut shelf life during cold storage. Food Control 2022, 139, 109099. [Google Scholar] [CrossRef]
- Li, J.; Wei, Q.; Huang, L.; Fang, T.; Chen, B.; Jiang, Y. Mathematical modeling Pseudomonas spp. growth and microflora composition variation in Agaricus bisporus fruiting bodies during chilled storage. Postharvest Biol. Technol. 2020, 163, 111144. [Google Scholar] [CrossRef]
- Chen, C.; Zhang, H.; Zhang, X.; Dong, C.; Xue, W.; Xu, W. The effect of different doses of ozone treatments on the postharvest quality and biodiversity of cantaloupes. Postharvest Biol. Technol. 2020, 163, 111124. [Google Scholar] [CrossRef]
- Badiche-El Hilali, F.; Valverde, J.M.; García-Pastor, M.E.; Serrano, M.; Castillo, S.; Valero, D. Melatonin Postharvest Treatment in Leafy ‘Fino’ Lemon Maintains Quality and Bioactive Compounds. Foods 2023, 12, 2979. [Google Scholar] [CrossRef]
- Balanon, D.A.G.; Sane, A.; Jariyasakoolroj, P.; Leelaphiwat, P. Application of biodegradable film as modified atmosphere packaging for red chili (Capsicum annuum cv. Jinda). Packag. Technol. Sci. 2023, 36, 379–388. [Google Scholar] [CrossRef]
- Guo, Z.; Liu, H.; Chen, X.; Huang, L.; Fan, J.; Zhou, J. Modified-atmosphere packaging maintains the quality of postharvest whole lettuce (Lactuca sativa L. Grand Rapid) by mediating the dynamic equilibrium of the electron transport chain and protecting mitochondrial structure and function. Postharvest Biol. Technol. 2019, 147, 206–213. [Google Scholar] [CrossRef]
- Meng, X.; Lv, Z.; Jiang, T.; Tan, Y.; Sun, S.; Feng, J. Preparation and Characterization of a Novel Artemisia Oil Packaging Film and Its Application in Mango Preservation. Foods 2023, 12, 2969. [Google Scholar] [CrossRef]
- Hotchkiss, J.H.; Banco, M.J. Influence of new packaging technologies on the growth of microorganisms in produce. J. Food Prot. 1992, 55, 815–820. [Google Scholar] [CrossRef] [PubMed]
- Radziejewska-Kubzdela, E.; Czaczyk, K. Effect of Pretreatment and Modified Atmosphere Packaging on Quality of dry Coleslaw mix. Packag. Technol. Sci. 2015, 28, 1011–1026. [Google Scholar] [CrossRef]
- Ibaraki, T.; Ishii, T.; Ikematsu, E.; Ikeda, H.; Ohta, H. Modilied atmosphere packaging of cut welsh onion: Effect of micro-perforated polypropylene film packaging on chemical components and quality stability of the vegetable. Food Sci. Technol. Res. 2000, 6, 126–129. [Google Scholar] [CrossRef]
- Lashkari, E. Effect of Modified Atmosphere Packaging (MAP) on the Stability of Anthocyanins and Degradation of Phenolic Compounds during Postharvest Storage of Pomegranate Fruit. Food Nutr. Sci. 2022, 13, 316–335. [Google Scholar] [CrossRef]
- Paulsen, E.; Barrios, S.; Lema, P. Ready-to-eat cherry tomatoes: Passive modified atmosphere packaging conditions for shelf life extension. Food Packag. Shelf Life 2019, 22, 100407. [Google Scholar] [CrossRef]
- Juikar, S.K.; Warkar, S.G. Biopolymers for packaging applications: An overview. Packag. Technol. Sci. 2023, 36, 229–251. [Google Scholar] [CrossRef]
- La Fuente, C.I.A.; Maniglia, B.C.; Tadini, C.C. Biodegradable polymers: A review about biodegradation and its implications and applications. Packag. Technol. Sci. 2023, 36, 81–95. [Google Scholar] [CrossRef]
- Oliveira, T.A.; Oliveira, R.R.; Barbosa, R.; Azevedo, J.B.; Alves, T.S. Effect of reprocessing cycles on the degradation of PP/PBAT-thermoplastic starch blends. Carbohydr. Polym. 2017, 168, 52–60. [Google Scholar] [CrossRef] [PubMed]
- Donglu, F.; Wenjian, Y.; Kimatu, B.M.; Xinxin, A.; Qiuhui, H.; Liyan, Z. Effect of nanocomposite packaging on postharvest quality and ROS metabolism of mushrooms (Flammulina velutipes). Postharvest Biol. Technol. 2016, 119, 49–57. [Google Scholar] [CrossRef]
- Xiao, Z.; Luo, Y.; Lester, G.E.; Kou, L.; Yang, T.; Wang, Q. Postharvest quality and shelf life of radish microgreens as impacted by storage temperature, packaging film, and chlorine wash treatment. LWT-Food Sci. Technol. 2014, 55, 551–558. [Google Scholar] [CrossRef]
- Cheng, P.; Yun, X.; Xu, C.; Yang, Y.; Han, Y.; Dong, T. Use of poly(epsilon-caprolactone)-based films for equilibrium-modified atmosphere packaging to extend the postharvest shelf life of garland chrysanthemum. Food Sci. Nutr. 2019, 7, 1946–1956. [Google Scholar] [CrossRef]
- Kaya, C.; Kirnak, H.; Higgs, D.; Saltali, K. Supplementary calcium enhances plant growth and fruit yield in strawberry cultivars grown at high (NaCl) salinity. Sci. Hortic. 2002, 93, 65–74. [Google Scholar] [CrossRef]
- Ge, L.; Lai, H.; Huang, Y.; Wang, Y.; Li, Y.; Zhu, S. Comparative evaluation of package types in alleviating textural softening and package-swelling of Paocai during storage: Insight into microbial invasion, cell wall pectinolysis and alteration in sugar and organic acid profiles. Food Chem. 2021, 365, 130489. [Google Scholar] [CrossRef]
- Yahya, H.N.; Lignou, S.; Wagstaff, C.; Bell, L. Changes in bacterial loads, gas composition, volatile organic compounds, and glucosinolates of fresh bagged Ready-To-Eat rocket under different shelf life treatment scenarios. Postharvest Biol. Technol. 2019, 148, 107–119. [Google Scholar] [CrossRef]
- Ehsani, A.; Naghibi, S.S.; Aminzare, M.; Keykhosravi, K.; Hashemi, M. Extraction of specific egg yolk antibodies and application in chitosan coating: Effect on microbial and sensory properties of rainbow trout fillet during chilled storage. J. Sci. Food Agric. 2019, 99, 2356–2364. [Google Scholar] [CrossRef] [PubMed]
- Quast, C.; Pruesse, E.; Yilmaz, P.; Gerken, J.; Schweer, T.; Yarza, P. The SILVA ribosomal RNA gene database project: Improved data processing and web-based tools. Nucleic Acids Res. 2013, 41, 590–596. [Google Scholar] [CrossRef] [PubMed]
- Kõljalg, U.; Nilsson, R.H.; Abarenkov, K.; Tedersoo, L.; Taylor, A.F.S.; Larsson, K.H. Towards a unified paradigm for sequence-based identification of fungi. Mol. Ecol. 2013, 22, 5271–5277. [Google Scholar] [CrossRef]
- Beaudry, R.M. Effect of O2 and CO2 partial pressure on selected phenomena affecting fruit and vegetable quality. Postharvest Biol. Technol. 1999, 15, 293–303. [Google Scholar] [CrossRef]
- Chandra, D.; Kim, J.G.; Kim, Y.P. Changes in microbial population and quality of microgreens treated with different sanitizers and packaging films. Hortic. Environ. Biotechnol. 2012, 53, 32–40. [Google Scholar] [CrossRef]
- Mahajan, P.V.; Oliveira, F.A.R.; Montanez, J.C.; Frias, J. Development of user-friendly software for design of modified atmosphere packaging for fresh and fresh-cut produce. Innov. Food Sci. Emerg. Technol. 2007, 8, 84–92. [Google Scholar] [CrossRef]
- Hodges, D.M.; Forney, C.F.; Wismer, W. Processing line effects on storage attributes of fresh-cut spinach leaves. Hortscience 2000, 35, 1308–1311. [Google Scholar] [CrossRef]
- Xu, D.; Shi, M.; Jia, B.; Yan, Z.; Gao, L.; Guan, W. Effect of ozone on the activity of antioxidant and chlorophyll-degrading enzymes during postharvest storage of coriander (Coriandrum sativum L.). J. Food Process Preserv. 2019, 43, 14020. [Google Scholar] [CrossRef]
- Garrido, Y.; Tudela, J.A.; Hernández, J.A.; Gil, M.I. Modified atmosphere generated during storage under light conditions is the main factor responsible for the quality changes of baby spinach. Postharvest Biol. Technol. 2016, 114, 45–53. [Google Scholar] [CrossRef]
- Lin, S.; Chen, C.; Luo, H.; Xu, W.; Zhang, H.; Tian, J.J. The combined effect of ozone treatment and polyethylene packaging on postharvest quality and biodiversity of Toona sinensis (A. Juss.) M. Roem. Postharvest Biol. Technol. 2019, 154, 1–10. [Google Scholar] [CrossRef]
- Li, X.; Bao, Z.; Chen, Y.; Lan, Q.; Song, C.; Shi, L.; Chen, W.; Cao, S.; Yang, Z.; Zheng, Q. Exogenous glutathione modulates redox homeostasis in okra (Abelmoschus esculentus) during storage. Postharvest Biol. Technol. 2023, 195, 112145. [Google Scholar] [CrossRef]
- Li, X.Y.; Xiong, T.T.; Zhu, Q.N.; Zhou, Y.W.; Lei, Q.M.; Lu, H.Y.; Chen, W.X.; Li, X.P.; Zhu, X.Y. Combination of 1-MCP and modified atmosphere packaging (MAP) maintains banana fruit quality under high temperature storage by improving antioxidant system and cell wall structure. Postharvest Biol. Technol. 2023, 198, 112265. [Google Scholar] [CrossRef]
- Chitravathi, K.; Chauhan, O.P.; Raju, P.S.; Madhukar, N. Efficacy of Aqueous Ozone and Chlorine in Combination with Passive Modified Atmosphere Packaging on the Postharvest Shelf-Life Extension of Green Chillies (Capsicum annuum L.). Food Bioprocess Technol. 2015, 8, 1386–1392. [Google Scholar] [CrossRef]
- Yang, Y.; Fan, Y.; Li, T.; Yang, Y.; Zeng, F.; Wang, H. Microbial composition and correlation between microbiota and quality-related physiochemical characteristics in Chongqing radish paocai. Food Chem. 2022, 369, 130897. [Google Scholar] [CrossRef]
- Jiang, K.; Li, L.; Yang, Z.H.; Chen, H.Y.; Qin, Y.Y.; Brennan, C. Variable characteristics of microbial communities and volatile organic compounds during post-harvest storage of wild morel mushrooms. Postharvest Biol. Technol. 2023, 203, 112401. [Google Scholar] [CrossRef]
- Shinde, S.P.; Chaudhari, S.R.; Matche, R.S. A way forward for a sustainable active packaging solution for prolonging the freshness and shelf life of Rosa hybrida L. cut flowers. Postharvest Biol. Technol. 2023, 204, 112475. [Google Scholar] [CrossRef]
- Pinto, L.; Ippolito, A.; Baruzzi, F. Control of spoiler Pseudomonas spp. on fresh cut vegetables by neutral electrolyzed water. Food Microbiol. 2015, 50, 102–108. [Google Scholar] [CrossRef]
- Liu, D.J.; Wang, F.; Brennan, C.; Benjakul, S.; Xiao, G.S.; Ying, X.G.; Ma, L.K. Combined melatonin and UV-C treatment maintains the quality of fresh-cut bamboo shoots during storage by altering microbial diversity and metabolites. Postharvest Biol. Technol. 2023, 200, 112327. [Google Scholar] [CrossRef]
- Le, D.; Audenaert, K.; Haesaert, G. Fusarium basal rot: Profile of an increasingly important disease in Allium spp. Trop. Plant Pathol. 2021, 46, 241–253. [Google Scholar] [CrossRef]
- Tonti, S.; Mandrioli, M.; Nipoti, P.; Pisi, A. Toschi TG and Prodi A, Detection of fumonisins in fresh and dehydrated commercial garlic. J. Agric. Food Chem. 2017, 65, 7000–7005. [Google Scholar] [CrossRef]
- Tirado-Ramírez, M.A.; López-Orona, C.A.; Velázquez-Alcaraz, T.J.; Díaz-Valdés, T.; Velarde-Félix, S.; Martínez-Campos, A.R. First report of onion basal rot caused by Fusarium falciforme in Mexico. Plant Dis. 2018, 102, 2646. [Google Scholar] [CrossRef]
Disclaimer/Publisher’s Note: The statements, opinions and data contained in all publications are solely those of the individual author(s) and contributor(s) and not of MDPI and/or the editor(s). MDPI and/or the editor(s) disclaim responsibility for any injury to people or property resulting from any ideas, methods, instructions or products referred to in the content. |
© 2023 by the authors. Licensee MDPI, Basel, Switzerland. This article is an open access article distributed under the terms and conditions of the Creative Commons Attribution (CC BY) license (https://creativecommons.org/licenses/by/4.0/).











