SVM Regression to Assess Meat Characteristics of Bísaro Pig Loins Using NIRS Methodology
Abstract
1. Introduction
2. Materials and Methods
2.1. Animals and Slaughter Procedure
2.2. Physicochemical Analysis and Chemical Composition
2.3. Sample Set and NIRS Analysis
2.4. Statistical Analysis
3. Results and Discussion
3.1. Physicochemical Analysis and Chemical Composition
3.2. NIR Spectra
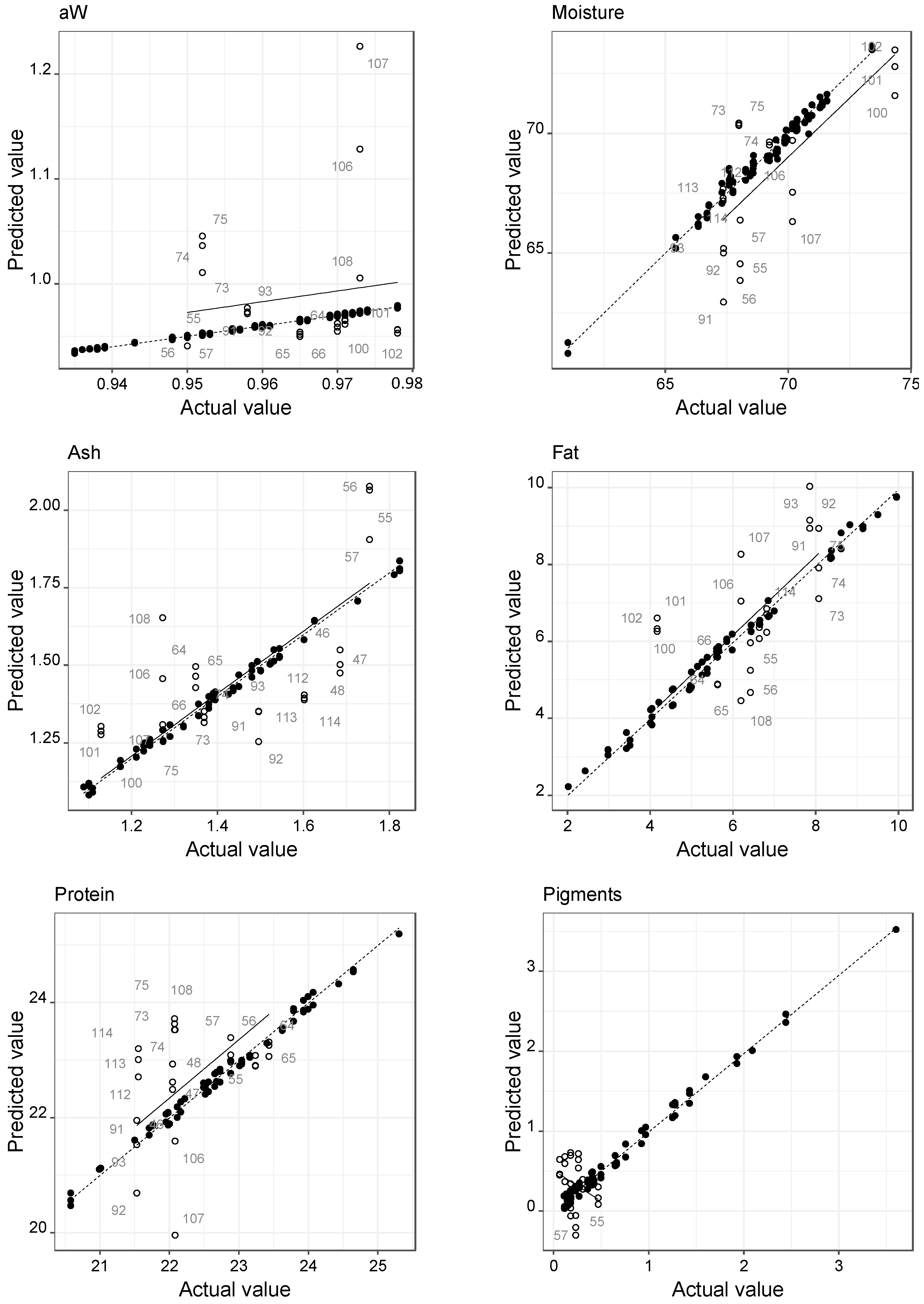
3.3. Quantitative Predictive Models
4. Conclusions
Author Contributions
Funding
Institutional Review Board Statement
Informed Consent Statement
Data Availability Statement
Acknowledgments
Conflicts of Interest
References
- Zamora-Rojas, E.; Garrido-Varo, A.; De Pedro-Sanz, E.; Guerrero-Ginel, J.E.; Pérez-Marín, D. Monitoring NIRS calibrations for use in routine meat analysis as part of Iberian pig-breeding programs. Food Chem. 2011, 129, 1889–1897. [Google Scholar] [CrossRef]
- Balage, J.M.; Da Luz e Silva, S.; Gomide, C.A.; Bonin, M.N.; Figueira, A.C. Predicting pork quality using Vis/NIR spectroscopy. Meat Sci. 2015, 108, 37–43. [Google Scholar] [CrossRef] [PubMed]
- Tejerina, D.; García-Torres, S.; Cabeza de Vaca, M.; Ortiz, A.; Romero-Fernandez, M.P. Evaluation of near-infrared spectroscopy (NIRS) for the quality control of packaged cured ham-sliced from Iberian pigs. In Archivos de Zootecnia, Proceedings of the IX Simposio Internacional Sobre el Cerdo Mediterraneo, Portalegre, Portugal, 3–5 November 2016; Universidad de Córdoba: Córdoba, Spain, 2018; pp. 231–234. [Google Scholar] [CrossRef]
- Prieto, N.; Pawluczyk, O.; Dugan, M.E.R.; Aalhus, J.L. A Review of the Principles and Applications of Near-Infrared Spectroscopy to Characterize Meat, Fat, and Meat Products. Appl. Spectrosc. 2017, 71, 1403–1426. [Google Scholar] [CrossRef] [PubMed]
- Dixit, Y.; Casado-Gavalda, M.P.; Cama-Moncunill, R.; Cullen, P.J.; Sullivan, C. Challenges in Model Development for Meat Composition Using Multipoint NIR Spectroscopy from At-Line to In-Line Monitoring. J. Food Sci. 2017, 82, 1557–1562. [Google Scholar] [CrossRef]
- Cáceres-Nevado, J.M.; Garrido-Varo, A.; De Pedro-Sanz, E.; Pérez-Marín, D.C. NIR handheld miniature spectrometer to increase the efficiency of Iberian pig selection schemes based on chemical traits. Spectrochim. Acta A Mol. Biomol. Spectrosc. 2021, 258, 119865. [Google Scholar] [CrossRef]
- Osborne, B.G. Near-infrared spectroscopy in food analysis. In Encyclopedia of Analytical Chemistry: Applications, Theory and Instrumentation; John Wiley & Sons, Ltd.: Hoboken, NJ, USA; BRI Australia Ltd.: North Ryde, Australia, 2006; pp. 1–14. ISBN 9780470027318. [Google Scholar] [CrossRef]
- Parrini, S.; Acciaioli, A.; Crovetti, A.; Bozzi, R. Use of FT-NIRS for determination of chemical components and nutritional value of natural pasture. Ital. J. Anim. Sci. 2018, 17, 87–91. [Google Scholar] [CrossRef]
- Beć, K.B.; Huck, C.W. Breakthrough potential in near-infrared spectroscopy: Spectra simulation. A review of recent developments. Front. Chem. 2019, 7, 48. [Google Scholar] [CrossRef]
- Aouadi, B.; Zaukuu, J.L.Z.; Vitális, F.; Bodor, Z.; Fehér, O.; Gillay, Z.; Bazar, G.; Kovacs, Z. Historical Evolution and Food Control Achievements of Near Infrared Spectroscopy, Electronic Nose, and Electronic Tongue—Critical Overview. Sensors 2020, 20, 5479. [Google Scholar] [CrossRef]
- Kucha, C.T.; Liu, L.; Ngadi, M.O. Non-Destructive Spectroscopic Techniques and Multivariate Analysis for Assessment of Fat Quality in Pork and Pork Products: A Review. Sensors 2018, 18, 377. [Google Scholar] [CrossRef]
- ElMasry, G.; Sun, D.W.; Allen, P. Near-infrared hyperspectral imaging for predicting colour, pH and tenderness of fresh beef. J. Food Eng. 2012, 110, 127–140. [Google Scholar] [CrossRef]
- Maduro Dias, C.S.A.M.; Nunes, H.P.; Melo, T.M.M.V.; Rosa, H.J.D.; Silva, C.C.G.; Borba, A.E.S. Application of Near Infrared Reflectance (NIR) spectroscopy to predict the moisture, protein, and fat content of beef for gourmet hamburger preparation. Livest Sci. 2021, 254, 104772. [Google Scholar] [CrossRef]
- Kamruzzaman, M.; Sun, D.W.; ElMasry, G.; Allen, P. Fast detection and visualization of minced lamb meat adulteration using NIR hyperspectral imaging and multivariate image analysis. Talanta 2013, 103, 130–136. [Google Scholar] [CrossRef] [PubMed]
- Li, Y.; Zheng, X.; Zhang, D.; Li, X.; Fang, F.; Chen, L. Rapid Nondestructive Simultaneous Detection for Physicochemical Properties of Different Types of Sheep Meat Cut Using Portable Vis/NIR Reflectance Spectroscopy System. Foods 2021, 10, 1975. [Google Scholar] [CrossRef]
- Teixeira, A.; Oliveira, A.; Paulos, K.; Leite, A.; Marcia, A.; Amorim, A.; Pereira, E.; Silva, S.; Rodrigues, S. An approach to predict chemical composition of goat Longissimus thoracis et lumborum muscle by Near Infrared Reflectance spectroscopy. Small Rumin. Res. 2015, 126, 40–43. [Google Scholar] [CrossRef]
- Xiong, Z.; Sun, D.W.; Dai, Q.; Han, Z.; Zeng, X.A.; Wang, L. Application of Visible Hyper-spectral Imaging for Prediction of Springiness of Fresh Chicken Meat. Food Anal. Methods 2015, 8, 380–391. [Google Scholar] [CrossRef]
- Nolasco Perez, I.M.; Badaro, A.T.; Barbon, S., Jr.; Barbon, A.P.A.C.; Pollonio, M.A.R.; Barbin, D.F. Classification of Chicken Parts Using a Portable Near-Infrared (NIR) Spectrophotometer and Machine Learning. Appl. Spectrosc. 2018, 72, 1774–1780. [Google Scholar] [CrossRef] [PubMed]
- Prevolnik, M.; Škrlep, M.; Škorjanc, D.; Čandek-Potokar, M. Application of near infrared spectroscopy to predict chemical composition of meat and meat products. Tehnol. Mesa. 2010, 51, 133–142. [Google Scholar]
- Zamora-Rojas, E.; Pérez-Marín, D.; De Pedro-Sanz, E.; Guerreiro-Ginel, J.E.; Garrido-Varo, A. Handheld nirs analysis for routine meat quality control: Database transfer from at-line instruments. Chem. Intell. Lab. Syst. 2012, 114, 30–35. [Google Scholar] [CrossRef]
- Cáceres-Nevado, J.M.; Garrido-Varo, A.; De Pedro-Sanz, E.; Pérez-Marín, D.C. Fourier transform near-infrared spectroscopy coupled to a long fibre optic head for the quality control of IBERIAN pork loins: Intact versus minced. Meat Sci. 2019, 153, 86–93. [Google Scholar] [CrossRef]
- Barbin, F.D.; ElMasry, G.; Sun, D.-W.; Allen, P. Non-destructive determination of chemical composition in intact and minced pork using near-infrared hyperspectral imaging. Food Chem. 2013, 138, 1162–1171. [Google Scholar] [CrossRef]
- Kapper, C.; Klont, R.E.; Verdonk, J.M.A.J.; Urlings, H.A.P. Prediction of pork quality with near infrared spectroscopy (nirs): 1. Feasibility and robustness of nirs measurments at laboratory scale. Meat Sci. 2012, 91, 294–299. [Google Scholar] [CrossRef] [PubMed]
- Kapper, C.; Klont, R.E.; Verdonk, J.M.A.J.; Williams, P.C.; Urlings, H.A.P. Prediction of pork quality with near infrared spectroscopy (NIRS) 2. Feasibility and robustness of NIRS measurements under production plant conditions. Meat Sci. 2012, 91, 300–305. [Google Scholar] [CrossRef] [PubMed]
- Prevolnik, M.; Candek-Potokar, M.; Škorjanc, D. Predicting pork water-holding capacity with NIR spectroscopy in relation to different reference methods. J. Food Eng. 2010, 98, 347–352. [Google Scholar] [CrossRef]
- Fernandez-Barroso, M.A.; Parrini, S.; Munoz, M.; Palma-Granados, P.; Matos, G.; Ramírez, L.; Crovetti, A.; García-Casco, J.M.; Bozzi, R. Use of NIRS for the assessment of meat quality traits in open-air free-range Iberian pigs. J. Food Compost. Anal. 2021, 102, 104018. [Google Scholar] [CrossRef]
- Lebret, B.; Candek-Potokar, M. Review: Pork quality attributes from farm to fork. Part I. Carcass and fresh meat. Int. J. Anim. Biosci. 2022, 16, 100402. [Google Scholar] [CrossRef]
- Official Journal of the European Union. Official Journal of the European Union Council Regulation (EC) No 510/2006 ‘Carne de Bísaro Transmontano’ or ‘Carne de Porco Transmontano’ No: EC PT/PDO/005/0457/20.04.2005 C89 24.04.2007. Available online: https://eur-lex.europa.eu/legal-content/PT/TXT/PDF/?uri=CELEX:32006R0510&from=IT (accessed on 11 April 2022).
- Àlvarez-Rodríguez, J.; Teixeira, A. Slaughter weight rather than sex affects carcass cuts and tissue composition of Bísaro pigs. Meat Sci. 2019, 154, 54–60. [Google Scholar] [CrossRef]
- Council Regulation (EC). No. 1099/2009 on the Protection of Animals at the Time of Killing. Available online: https://eur-lex.europa.eu/legal-content/EN/TXT/?uri=CELEX:02009R1099-20180518 (accessed on 10 April 2022).
- AOAC International; Cunniff, P. AOAC Official Methods of Analysis of AOAC International, 16th ed.; AOAC International: Rockville, MD, USA, 1995; ISBN 9780935584547. [Google Scholar]
- NP-ISO-1614/2002; Determination of Moisture Content. Reference Method (ISO 1442:1197). In Portuguese Norm-Meat and Meat Products. Portuguese Institute of Quality, Ministry of Economy, and Innovation: Caparica, Portugal, 2002.
- NP-ISO-1615/2002; Determination of Total Ashes. Reference Method (ISO 3496:1994). In Portuguese Norm-Meat and Meat Products. Portuguese Institute of Quality, Ministry of Economy, and Innovation: Caparica, Portugal, 2002.
- NP-ISO-1987/2002; Determination of Hydroxyproline Content. Reference Method. Portuguese Institute of Quality, Ministry of Economy, and Innovation: Caparica, Portugal, 2002.
- NP-ISO-1612/2002; Determination of Total Nitrogen Content. NP-ISO-1612/2002; Determination of Total Nitrogen Content. Reference Method (ISO 937:1978). In Portuguese Norm-Meat and Meat Products. Portuguese Institute of Quality, Ministry of Economy, and Innovation: Caparica, Portugal, 2002.
- Honikel, K.O. Reference methods for the assessment of physical characteristics of meat. Meat Sci. 1998, 49, 447–457. [Google Scholar] [CrossRef]
- Echegaray, N.; Rosmini, M.; Pateiro, M.; Domínguez, R.; Munekata, P.E.; Lorenzo, J.M.; Santos, E.M.; Bermúndez, R. Methods to Assess the Quality of Meat Products. Methods Protoc. Food Sci. 2022, 1, 29–40. [Google Scholar] [CrossRef]
- Hornsey, H.C. The colour of cooked cured pork. I-Estimation of the nitric oxide-haem pigments. J. Sci. Food Agric. 1956, 7, 534–540. [Google Scholar] [CrossRef]
- Folch, J.; Lees, M.; Stanley, G.H.S. A simple method for isolation and purification of total lipids from animal tissues. J. Biol. Chem. 1957, 226, 497–509. [Google Scholar] [CrossRef]
- Kucheryavskiy, S. Mdatools: Multivariate Data Analysis for Chemometrics, R package version 0.9.1; 2018. Available online: https://CRAN.R-project.org/package=mdatools (accessed on 10 April 2022).
- Revelle, W. Psych: Procedures for Personality and Psychological Research, version 2.2.9; Northwestern University: Evanston, IL, USA, 2022; Available online: https://CRAN.R-project.org/package=psych (accessed on 10 April 2022).
- Stevens, A.; Ramirez-Lopez, L. An Introduction to the Prospectr Package, R Package Vignette. 2013. Available online: https://cran.r-project.org/web/packages/prospectr/vignettes/prospectr-intro.pdf (accessed on 10 April 2022).
- Kuhn, M.; Johnson, K. Applied Predictive Modeling; Springer Science + Business Media: New York, NY, USA, 2013; Volume 26. [Google Scholar]
- Kuhn, M.; Wing, J.; Weston, S.; Williams, A.; Keefer, C.; Engelhardt, A.; Cooper, T.; Mayer, Z.; Kenkel, B.; The R Core Team; et al. Caret: Classification and Regression Training, R package version 6.0-82. 2019. Available online: https://CRAN.R-project.org/package=caret (accessed on 10 April 2022).
- Roig, B.; Thomas, O. Rapid estimation of global sugars by UV photodegradation and UV spectrophotometry. Anal. Chim. Acta 2003, 477, 325–329. [Google Scholar] [CrossRef]
- Varmuza, K.; Filzmoser, P. Introduction to Multivariate Statistical Analysis in Chemometrics; CRC Press: Boca Raton, FL, USA, 2009; pp. 147–151. [Google Scholar]
- Amsaraj, R.; Ambade, N.D.; Mutturi, S. Variable selection coupled to PLS2, ANN and SVM for simultaneous detection of multiple adulterants in milk using spectral data. Int. Dairy J. 2021, 123, 105172. [Google Scholar] [CrossRef]
- Yang, Q.Y.; Shi, Y.X.; Zhang, X.H.; Feng, T. Correlation analysis of fresh beef tenderness with storage time and water holdind capacity. Anim. Husb. Xinjiang 2010, 7, 11–14. [Google Scholar]
- Wyrwisz, J.; Moczkowska, M.; Kurek, M.A.; Karp, S.; Atanasov, A.G.; Wierzbicka, A. Evaluation of WBSF, Color, Cooking Loss of Longissimus Lumborum Muscle with Fiber Optic Near-Infrared Spectroscopy (FT NIR), Depending of Aging Time. Molecules 2019, 24, 757. [Google Scholar] [CrossRef] [PubMed]





| Parameter | Min | Max | Mean (±SD)) |
|---|---|---|---|
| aW (%) | 0.94 | 0.98 | 0.96 (±0.01) |
| Moisture (%) | 61.04 | 74.34 | 69.03 (±2.27) |
| Ash (%) | 1.09 | 1.82 | 1,41 (±0.19) |
| Collagen (%) | 0.46 | 2.67 | 1.33 (±0.45) |
| WHC (%) | 2.39 | 29.93 | 13.70 (±6.35) |
| Pigments | 0.06 | 3.60 | 0.66 (±0.77) |
| CT (Kgf) | 2.25 | 7.51 | 3.79 (±1.11) |
| RT (Kgf) | 3.16 | 11.69 | 6.83 (±1.96) |
| Fat (%) | 2.02 | 9.95 | 5.95 (±1.96) |
| Protein (%) | 20.58 | 25.30 | 22.64 (±1.05) |
| Name_var | Name_df | RMSECV (±s) | MAECV (±s) | R2CV (±s) | Best Model Parameters |
|---|---|---|---|---|---|
| PLS with CV 8 fold | |||||
| aW (%) | SMT | 0.006 (±0.002) | 0.005 (±0.001) | 0.786 (±0.110) | 20 PCs |
| Moisture (%) | SNV-SMT | 0.839 (±0.148) | 0.663 (±0.096) | 0.862 (±0.099) | 20 PCs |
| Ash (%) | NORM-SMT | 0.084 (±0.021) | 0.068 (±0.013) | 0.829 (±0.094) | 23 PCs |
| Fat (%) | NORM-SMT | 0.520 (±0.084) | 0.407 (±0.057) | 0.950 (±0.017) | 25 PCs |
| Protein (%) | NORM-SMT | 0.305 (±0.066) | 0.249 (±0.060) | 0.924 (±0.040) | 25 PCs |
| Pigments | SNV-SMT | 0.296 (±0.055) | 0.246 (±0.050) | 0.861 (±0.099) | 25 PCs |
| Collagen (%) | SNV-DV1 | 0.253 (±0.051) | 0.208 (±0.045) | 0.626 (±0.113) | 14 PCs |
| WHC (%) | SMT | 2.646 (±0.558) | 2.173 (±0.396) | 0.864 (±0.086) | 25 PCs |
| RT (Kgf) | ALS-DV1 | 1.700 (±0.260) | 1.415 (±0.253) | 0.385 (±0.223) | 8 PCs |
| CT (Kgf) | NORM-DV1 | 0.605 (±0.074) | 0.506 (±0.065) | 0.774 (±0.045) | 24 PCs |
| SVMR-Poly with CV 8 fold | |||||
| aW (%) | MSC-SMT | 0.006 (±0.003) | 0.003 (±0.001) | 0.825 (±0.193) | Degree = 3; Scale = 0.05; C = 1.3 |
| Moisture (%) | SMT | 0.852 (±0.312) | 0.591 (±0.177) | 0.863 (±0.121) | Degree = 3; Scale = 0.1; C = 1 |
| Ash (%) | ALS-DV1 | 0.063 (±0.015) | 0.047 (±0.012) | 0.904 (±0.053) | Degree = 5; Scale = 0.007; C = 0.6 |
| Fat (%) | ALS-DV1 | 0.746 (±0.142) | 0.584 (±0.143) | 0.883 (±0.050) | Degree = 2; Scale = 0.1; C = 0.1 |
| Protein (%) | ALS-DV1 | 0.529 (±0.116) | 0.417 (±0.093) | 0.787 (±0.084) | Degree = 2; Scale = 0.1; C = 1 |
| Pigments | DV1 | 0.229 (±0.070) | 0.170 (±0.044) | 0.912 (±0.087) | Degree = 2; Scale = 0.05; C = 0.5 |
| Collagen (%) | ALS-DV1 | 0.202 (±0.038) | 0.152 (±0.025) | 0.780 (±0.070) | Degree = 5; Scale = 0.01; C = 0.5 |
| WHC (%) | DV2 | 4.486 (±0.830) | 3.677 (±0.660) | 0.558 (±0.149) | Degree = 2; Scale = 0.1; C = 1 |
| RT(Kgf) | DV2 | 1.594 (±0.232) | 1.303 (±0.196) | 0.447 (±0.124) | Degree = 2; Scale = 20; C = 0.5 |
| CT (Kgf) | ALS-DV1 | 0.567 (±0.062) | 0.433 (±0.056) | 0.777 (±0.126) | Degree = 3; Scale = 0.05; C = 0.5 |
| Dependent Variable | Train Data | Train Data | ||||||
|---|---|---|---|---|---|---|---|---|
| RMSEC | R2C | Slopec | Interceptc | RMSEP | R2P | SlopeP | InterceptP | |
| PLS with CV 8 fold | ||||||||
| aW (%) | 0.003 | 0.950 | 0.950 ± 0.022 (p < 0.001) | 0.047 ± 0.021 (p = 0.029) | 0.017 | 0.021 | NS | 1.401 ± 0.354 (p < 0.001) |
| Moisture (%) | 0.411 | 0.999 | 0.999 ± 0.0006 (p < 0.001) | NS | 1.811 | 0.009 | NS | 80.726 ± 11.866 (p < 0.001) |
| Ash (%) | 0.029 | 0.999 | 0.999 ± 0.002 (p < 0.001) | NS | 0.449 | 0.884 | 0.845 ± 0.021 (p < 0.001) | NS |
| Fat (%) | 0.119 | 0.999 | 0.999 ± 0.020 (p < 0.001) | NS | 3.148 | 0.812 | 1.002 ± 0.021 (p < 0.001) | NS |
| Protein (%) | 0.079 | 0.999 | 0.999 ± 0.0004 (p < 0.001) | NS | 1.404 | 0.996 | 0.953 ± 0.021 (p < 0.001) | NS |
| Pigments | 0.094 | 0.993 | 0.993 ± 0.009 (p < 0.001) | NS | 0.711 | −0.029 | NS | NS |
| Collagen (%) | 0.093 | 0.938 | 0.939 ± 0.025 (p < 0.001) | 0.081 ± 0.034 (p = 0.020) | 0.625 | 0.802 | 0.847 ± 0.021 (p < 0.001) | NS |
| WHC (%) | 0.501 | 0.999 | 0.999 ± 0.003 (p < 0.001) | NS | 6.124 | 0.246 | −1.041 ± 0.021 (p = 0.008) | 22.061 ± 3.641 (p < 0.001) |
| RT (Kgf) | 0.891 | 0.748 | 0.751 ± 0.044 (p < 0.001) | 1.761 ± 0.328 (p < 0.001) | 3.528 | 0.746 | 1.019 ± 0.120 (p < 0.001) | NS |
| CT (Kgf) | 0.106 | 0.999 | 0.999 ± 0.003 (p < 0.001) | NS | 1.784 | 0.829 | 1.137 ± 0.105 (p < 0.001) | NS |
| SVMR PF with CV 8 fold | ||||||||
| aW (%) | 0.001 | 0.993 | 0.983 ± 0.008 (p < 0.001) | 0.016 ± 0.008 (p = 0.047) | 0.066 | 0.996 | 1.032 ± 0.019 (p < 0.001) | NS |
| Moisture (%) | 0.294 | 0.982 | 0.973 ± 0.013 (p < 0.001) | 1.872 ± 0.918 (p = 0.044) | 1.972 | 0.999 | 0.986 ± 0.006 (p < 0.001) | NS |
| Ash (%) | 0.016 | 0.992 | 0.967 ± 0.009 (p < 0.001) | 0.047 ± 0.012 (p < 0.001) | 0.192 | 0.983 | 1.006 ± 0.027 (p < 0.001) | NS |
| Fat (%) | 0.180 | 0.992 | 0.965 ± 0.009 (p < 0.001) | 0.191 ± 0.055 (p < 0.001) | 1.289 | 0.965 | 1.007 ± 0.048 (p < 0.001) | NS |
| Protein (%) | 0.089 | 0.993 | 0.952 ± 0.008 (p < 0.001) | 1.074 ± 0.188 (p < 0.001) | 0.940 | 0.998 | 1.015 ± 0.008 (p < 0.001) | NS |
| Pigments | 0.069 | 0.993 | 0.985 ± 0.006 (p < 0.001) | NS | 0.294 | 0.052 | NS | 0.508 ± 0.130 (p < 0.001) |
| Collagen (%) | 0.032 | 0.994 | 0.955 ± 0.008 (p < 0.001) | 0.055 ± 0.012 (p < 0.001) | 0.248 | 0.947 | 0.702 ± 0. 034 (p < 0.001) | NS |
| WHC (%) | 0.472 | 0.996 | 0.925 ± 0.006 (p < 0.001) | 0.981 ± 0.121 (p < 0.001) | 2.485 | 0.290 | −0.467± 0.145 (p = 0.004) | 16.600 ± 1.893 (p < 0.001) |
| RT (Kgf) | 0.126 | 0.992 | 0.925 ± 0.006 (p < 0.001) | 0.534 ± 0.047 (p < 0.001) | 1.232 | 0.971 | 1.198 ± 0.042 (p < 0.001) | NS |
| CT (Kgf) | 0.102 | 0.992 | 0.962 ± 0.009 (p < 0.001) | 0.152 ± 0.036 (p < 0.001) | 1.704 | 0.840 | 1.128 ± 0.100 (p < 0.001) | NS |
Disclaimer/Publisher’s Note: The statements, opinions and data contained in all publications are solely those of the individual author(s) and contributor(s) and not of MDPI and/or the editor(s). MDPI and/or the editor(s) disclaim responsibility for any injury to people or property resulting from any ideas, methods, instructions or products referred to in the content. |
© 2023 by the authors. Licensee MDPI, Basel, Switzerland. This article is an open access article distributed under the terms and conditions of the Creative Commons Attribution (CC BY) license (https://creativecommons.org/licenses/by/4.0/).
Share and Cite
Vasconcelos, L.; Dias, L.G.; Leite, A.; Ferreira, I.; Pereira, E.; Silva, S.; Rodrigues, S.; Teixeira, A. SVM Regression to Assess Meat Characteristics of Bísaro Pig Loins Using NIRS Methodology. Foods 2023, 12, 470. https://doi.org/10.3390/foods12030470
Vasconcelos L, Dias LG, Leite A, Ferreira I, Pereira E, Silva S, Rodrigues S, Teixeira A. SVM Regression to Assess Meat Characteristics of Bísaro Pig Loins Using NIRS Methodology. Foods. 2023; 12(3):470. https://doi.org/10.3390/foods12030470
Chicago/Turabian StyleVasconcelos, Lia, Luís G. Dias, Ana Leite, Iasmin Ferreira, Etelvina Pereira, Severiano Silva, Sandra Rodrigues, and Alfredo Teixeira. 2023. "SVM Regression to Assess Meat Characteristics of Bísaro Pig Loins Using NIRS Methodology" Foods 12, no. 3: 470. https://doi.org/10.3390/foods12030470
APA StyleVasconcelos, L., Dias, L. G., Leite, A., Ferreira, I., Pereira, E., Silva, S., Rodrigues, S., & Teixeira, A. (2023). SVM Regression to Assess Meat Characteristics of Bísaro Pig Loins Using NIRS Methodology. Foods, 12(3), 470. https://doi.org/10.3390/foods12030470

