Oxidative Stability of Phytosterols in Camellia Seed Oil During Heating: The Impact of Different Antioxidants
Abstract
1. Introduction
2. Materials and Methods
2.1. Chemicals and Reagents
2.2. Oil Sample
2.3. Sample Preparation
2.4. Peroxide Value
2.5. Quantification of PS and POPs
2.5.1. Solid-Phase Extraction and Derivatization
2.5.2. Phytosterol Analysis
2.5.3. POPs Analysis
2.6. Statistical Analysis
3. Results and Discussion
3.1. Antioxidative Effects of Various Antioxidants on Camellia Seed Oil During Thermal Treatment
3.2. Effects of Antioxidants on PS Stability in Camellia Seed Oil Under Heating
3.3. Influence of Various Antioxidants on POPs Content in CSO
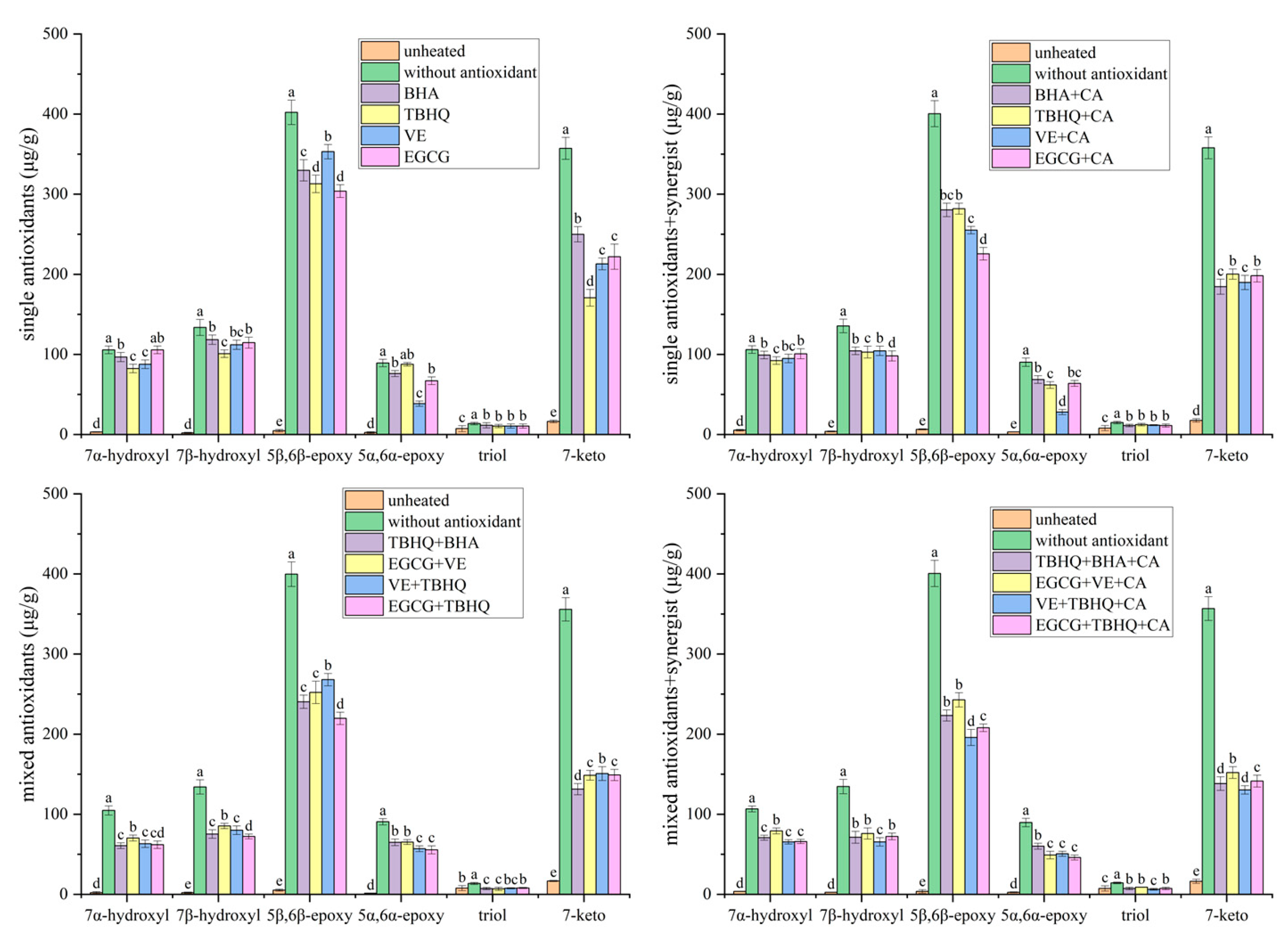
3.3.1. Influence of Various Antioxidants on POPs Formation
3.3.2. Inhibitory Effects of Various Antioxidants on the C7 Hydroxy/Ketone Pathway in PS Oxidation
3.3.3. Inhibitory Effects of Various Antioxidants on the C5/C6 Epoxy Pathway in PS Oxidation
4. Conclusions
Supplementary Materials
Author Contributions
Funding
Institutional Review Board Statement
Informed Consent Statement
Data Availability Statement
Conflicts of Interest
References
- Yang, K.-M.; Hsu, F.-L.; Chen, C.-W.; Hsu, C.-L.; Cheng, M.-C. Quality characterization and oxidative stability of camellia seed oils produced with different roasting temperatures. J. Oleo Sci. 2018, 67, 389–396. [Google Scholar] [CrossRef] [PubMed]
 - Zhang, S.; Pan, Y.G.; Zheng, L.; Yang, Y.; Zheng, X.; Ai, B.; Xu, Z.; Sheng, Z. Application of steam explosion in oil extraction of camellia seed (Camellia oleifera Abel.) and evaluation of its physicochemical properties, fatty acid, and antioxidant activities. Food Sci. Nutr. 2019, 7, 1004–1016. [Google Scholar] [CrossRef]
 - Cao, J.; Jiang, X.; Chen, Q.; Zhang, H.; Sun, H.; Zhang, W.-M.; Li, C. Oxidative stabilities of olive and camellia oils: Possible mechanism of aldehydes formation in oleic acid triglyceride at high temperature. LWT Food Sci. Technol. 2020, 118, 108858. [Google Scholar] [CrossRef]
 - Moreau, R.A.; Nyström, L.; Whitaker, B.D.; Winkler-Moser, J.K.; Baer, D.J.; Gebauer, S.K.; Hicks, K.B. Phytosterols and their derivatives: Structural diversity, distribution, metabolism, analysis, and health-promoting uses. Prog. Lipid Res. 2018, 70, 35–61. [Google Scholar] [CrossRef]
 - Xu, B.; You, S.; Zhou, L.; Kang, H.; Luo, D.; Ma, H.; Han, S. Simultaneous determination of free phytosterols and tocopherols in vegetable oils by an improved SPE–GC–FID method. Food Anal. Methods 2020, 13, 358–369. [Google Scholar] [CrossRef]
 - Gylling, H.; Miettinen, T.A. The effect of plant stanol-and sterol-enriched foods on lipid metabolism, serum lipids and coronary heart disease. Ann. Clin. Biochem. 2005, 42, 254–263. [Google Scholar] [CrossRef]
 - Plat, J.; Mensink, R.P. Plant stanol and sterol esters in the control of blood cholesterol levels: Mechanism and safety aspects. Am. J. Cardiol. 2005, 96, 15–22. [Google Scholar] [CrossRef]
 - Wong, A. Chemical and microbiological considerations of phytosterols and their relative efficacies in functional foods for the lowering of serum cholesterol levels in humans: A review. J. Funct. Foods 2014, 6, 60–72. [Google Scholar] [CrossRef]
 - Marangoni, F.; Poli, A. Phytosterols and cardiovascular health. Pharmacol. Res. 2010, 61, 193–199. [Google Scholar] [CrossRef]
 - Awad, A.; Downie, A.; Fink, C.; Kim, U. Dietary phytosterol inhibits the growth and metastasis of MDA-MB-231 human breast cancer cells grown in SCID mice. Anticancer Res. 2000, 20, 821–824. [Google Scholar]
 - Suttiarporn, P.; Chumpolsri, W.; Mahatheeranont, S.; Luangkamin, S.; Teepsawang, S.; Leardkamolkarn, V. Structures of phytosterols and triterpenoids with potential anti-cancer activity in bran of black non-glutinous rice. Nutrients 2015, 7, 1672–1687. [Google Scholar] [CrossRef]
 - Lin, Y.; Knol, D.; Menéndez-Carreño, M.; Blom, W.A.; Matthee, J.; Janssen, H.G.; Trautwein, E.A. Formation of Plant Sterol Oxidation Products in Foods during Baking and Cooking Using Margarine without and with Added Plant Sterol Esters. J. Agric. Food Chem. 2016, 64, 653–662. [Google Scholar] [CrossRef]
 - Lin, Y.; Knol, D.; Valk, I.; van Andel, V.; Friedrichs, S.; Lütjohann, D.; Hrncirik, K.; Trautwein, E.A. Thermal stability of plant sterols and formation of their oxidation products in vegetable oils and margarines upon controlled heating. Chem. Phys. Lipids 2017, 207, 99–107. [Google Scholar] [CrossRef]
 - Xu, B.; You, S.; Zhang, L.; Ma, F.; Zhang, Q.; Luo, D.; Li, P. Comparative analysis of free/combined phytosterols--degradation and differential formation of oxidation products during heating of sunflower seed oil. LWT Food Sci. Technol. 2022, 155, 112966. [Google Scholar] [CrossRef]
 - Lin, Y.; Knol, D.; Trautwein, E.A. Phytosterol oxidation products (POP) in foods with added phytosterols and estimation of their daily intake: A literature review. Eur. J. Lipid Sci. Technol. 2016, 118, 1423–1438. [Google Scholar] [CrossRef] [PubMed]
 - Wang, M.; Lu, B. How do oxyphytosterols affect human health? Trends Food Sci. Technol. 2018, 79, 148–159. [Google Scholar] [CrossRef]
 - Zhao, Y.; Yang, B.; Xu, T.; Wang, M.; Lu, B. Photooxidation of phytosterols in oil matrix: Effects of the light, photosensitizers and unsaturation degree of the lipids. Food Chem. 2019, 288, 162–169. [Google Scholar] [CrossRef] [PubMed]
 - Xu, G.; Sun, J.; Liang, Y.; Yang, C.; Chen, Z.-Y. Interaction of fatty acids with oxidation of cholesterol and β-sitosterol. Food Chem. 2011, 124, 162–170. [Google Scholar] [CrossRef]
 - Hu, P.C.; Chen, B.H. Effects of riboflavin and fatty acid methyl esters on cholesterol oxidation during illumination. J. Agric. Food Chem. 2002, 50, 3572–3578. [Google Scholar] [CrossRef]
 - Ma, J.; Ye, H.; Rui, Y.; Chen, G.; Zhang, N. Fatty acid composition of Camellia oleifera oil. J. Verbraucherschutz Leb. 2011, 6, 9–12. [Google Scholar] [CrossRef]
 - Barriuso, B.; Ansorena, D.; Poyato, C.; Astiasarán, I. Cholesterol and stigmasterol within a sunflower oil matrix: Thermal degradation and oxysterols formation. Steroids 2015, 99, 155–160. [Google Scholar] [CrossRef]
 - Kmiecik, D.; Korczak, J.; Rudzińska, M.; Gramza-Michałowska, A.; Hęś, M.; Kobus-Cisowska, J. Stabilisation of phytosterols by natural and synthetic antioxidants in high temperature conditions. Food Chem. 2015, 173, 966–971. [Google Scholar] [CrossRef] [PubMed]
 - Zhang, Y.; Shen, Y.; Zhu, Y.; Xu, Z. Assessment of the correlations between reducing power, scavenging DPPH activity and anti-lipid-oxidation capability of phenolic antioxidants. LWT Food Sci. Technol. 2015, 63, 569–574. [Google Scholar] [CrossRef]
 - Hu, Y.; Huang, W.; Li, M.; Wang, M.; Zhao, Y.; Xu, T.; Zhang, L.; Lu, B.; He, Y. Metal ions accelerated phytosterol thermal degradation on Ring A & Ring B of steroid nucleus in oils. Food Res. Int. 2017, 100, 219–226. [Google Scholar]
 - Xu, B.; Zhang, L.; Wang, H.; Luo, D.; Li, P. Characterization and authentication of four important edible oils using free phytosterol profiles established by GC-GC-TOF/MS. Anal. Methods 2014, 6, 6860–6870. [Google Scholar] [CrossRef]
 - Rokosik, E.; Dwiecki, K.; Rudzińska, M.; Siger, A.; Polewski, K. Column chromatography as a method for minor components removal from rapeseed oil. Grasas Aceites 2019, 70, e316. [Google Scholar] [CrossRef]
 - Abad, A.; Shahidi, F. A robust stripping method for the removal of minor components from edible oils. Food Prod. Process. Nutr. 2020, 2, 1–9. [Google Scholar] [CrossRef]
 - Shantha, N.C.; Decker, E.A. Rapid, sensitive, iron-based spectrophotometric methods for determination of peroxide values of food lipids. J. AOAC Int. 1994, 77, 421–424. [Google Scholar] [CrossRef]
 - Hu, Y.; Yang, G.; Huang, W.; Lai, S.; Ren, Y.; Huang, B.; Zhang, L.; Li, P.; Lu, B. Development and validation of a gas chromatography-mass spectrometry method for determination of sterol oxidation products in edible oils. RSC Adv. 2015, 5, 41259–41268. [Google Scholar] [CrossRef]
 - Alemany, L.; Barbera, R.; Alegría, A.; Laparra, J. Plant sterols from foods in inflammation and risk of cardiovascular disease: A real threat? Food Chem. Toxicol. 2014, 69, 140–149. [Google Scholar] [CrossRef]
 - Shahidi, F.; Zhong, Y. Lipid oxidation and improving the oxidative stability. Chem. Soc. Rev. 2010, 39, 4067–4079. [Google Scholar] [CrossRef] [PubMed]
 - Jing, Y.; Heqin, Y.; Yougen, W.; Yong, W.; Pengguo, X. Quality Evaluation of the Oil of Camellia spp. Foods 2022, 11, 2221. [Google Scholar] [CrossRef]
 - Liu, X.; Zheng, Z.; Liu, Y. Lipophilic antioxidants in edible oils: Mechanisms, applications and interactions. Food Res. Int. 2025, 200, 115423. [Google Scholar] [CrossRef]
 - Kmiecik, D.; Korczak, J.; Rudzińska, M.; Michałowska, A.G.; Hęś, M. Stabilization of phytosterols in rapeseed oil by natural antioxidants during heating. Eur. J. Lipid Sci. Technol. 2009, 111, 1124–1132. [Google Scholar] [CrossRef]
 - Tabee, E.; Azadmard-Damirchi, S.; Jägerstad, M. Effects of α-Tocopherol on Oxidative Stability and Phytosterol Oxidation During Heating in Some Regular and High-Oleic Vegetable Oils. J. Am. Oil Chem. Soc. 2008, 85, 857–867. [Google Scholar] [CrossRef]
 - Iuliano, L. Pathways of cholesterol oxidation via non-enzymatic mechanisms. Chem. Phys. Lipids 2011, 164, 457–468. [Google Scholar] [CrossRef] [PubMed]
 - Yang, B.-W.; Lu, B.-Y.; Zhao, Y.-J.; Luo, J.-Y.; Hong, X. Formation of phytosterol photooxidation products: A chemical reaction mechanism for light-induced oxidation. Food Chem. 2020, 333, 127430. [Google Scholar] [CrossRef]
 - Spiteller, G. Peroxyl radicals: Inductors of neurodegenerative and other inflammatory diseases. Their origin and how they transform cholesterol, phospholipids, plasmalogens, polyunsaturated fatty acids, sugars, and proteins into deleterious products. Free Radic. Biol. Med. 2006, 41, 362–387. [Google Scholar] [CrossRef]
 



| Antioxidants | Campesterol | Stigmasterol | β-sitosterol | Total PS ※ | 
|---|---|---|---|---|
| Heated purified oil | ND ※※ | ND | ND | ND | 
| Unheated PS-enriched oil | 769.7 ± 8.3 a | 848.1 ± 17.1 a | 3293.4 ± 73.0 a | 4905.3 ± 73.5 a | 
| Without antioxidant | 520.0 ± 10.1 l | 585.6 ± 9.8 j | 2122.1 ± 46.2 k | 3220.1 ± 35.7 n | 
| BHA | 572.3 ± 7.8 k | 615.3 ± 9.8 i | 2270.5 ± 56.9 j | 3452.6 ± 51.0 m | 
| TBHQ | 600.6 ± 7.0 ij | 637.4 ± 12.4 gh | 2363.2 ± 59.5 hi | 3596.5 ± 57.9 jk | 
| VE | 588.1 ± 15.5 ijk | 634.2 ± 11.1 hi | 2317.6 ± 53.1 ij | 3529.1 ± 33.1 kl | 
| EGCG | 584.7 ± 8.7 jk | 629.2 ± 16.9 hi | 2309.3 ± 47.5 ij | 3517.3 ± 47.1 lm | 
| BHA + CA | 603.8 ± 11.9 hi | 649.3 ± 12.4 fgh | 2378.7 ± 51.6 fghi | 3622.7 ± 40.2 hij | 
| TBHQ + CA | 604.1 ± 15.2 ghi | 647.8 ± 16.3 fgh | 2370.4 ± 46.5 ghi | 3611.2 ± 32.3 ij | 
| VE + CA | 620.7 ± 8.1 fgh | 663.4 ± 9.3 ef | 2414.7 ± 67.1 efgh | 3692.4 ± 60.1 fgh | 
| EGCG + CA | 621.6 ± 13.7 fg | 658.3 ± 9.9 efg | 2401.1 ± 71.7 efgh | 3671.5 ± 54.2 ghi | 
| TBHQ + BHA | 643.7 ± 17.7 bcde | 679.2 ± 19.3 cde | 2499.5 ± 61.5 bcd | 3810.2 ± 45.4 de | 
| EGCG + VE | 626.3 ± 11.4 ef | 666.8 ± 11.7 def | 2457.6 ± 43.4 def | 3742.2 ± 32.3 efg | 
| VE + TBHQ | 633.7 ± 11.8 def | 671.8 ± 16.0 cde | 2452.1 ± 56.7 defg | 3749.7 ± 49.1 ef | 
| EGCG + TBHQ | 649.9 ± 13.7 bcd | 689.8 ± 14.9 bc | 2509.8 ± 49.6 bcd | 3840.8 ± 37.1 cd | 
| TBHQ + BHA + CA | 648.3 ± 9.4 bcd | 687.1 ± 18.5 bcd | 2504.2 ± 63.2 bcd | 3833.1 ± 62.8 cd | 
| EGCG + VE + CA | 641.9 ± 10.4 cde | 676.5 ± 13.7 cde | 2464.5 ± 58.7 cde | 3775.3 ± 51.6 de | 
| VE + TBHQ + CA | 660.8 ± 15.9 b | 701.7 ± 16.2 b | 2570.1 ± 58.3 b | 3921.4 ± 42.7 b | 
| EGCG + TBHQ + CA | 658.4 ± 12.5 bc | 691.3 ± 15.7 bc | 2542.7 ± 52.4 bc | 3883.7 ± 43.0 bc | 
| Antioxidants | Campesterol-POPs | Stigmasterol-POPs | β-sitosterol-POPs | Total POPs ※ | 
|---|---|---|---|---|
| Heated purified oil | ND ※※ | ND | ND | ND | 
| Unheated PS-enriched oil | 11.9 ± 1.3 j | 7.5 ± 0.7 m | 20.1 ± 1.4 i | 39.5 ± 3.5 j | 
| Without antioxidant | 268.9 ± 13.1 a | 172.2 ± 8.2 a | 663.3 ± 16.5 a | 1104.4 ± 37.8 a | 
| BHA | 216.7 ± 11.7 b | 143.3 ± 8.8 b | 522.3 ± 11.6 b | 882.3 ± 32.1 b | 
| TBHQ | 189.0 ± 7.9 d | 128.6 ± 6.1 cd | 450.6 ± 19.8 d | 768.2 ± 34.0 d | 
| VE | 201.1 ± 7.2 c | 129.0 ± 5.8 c | 485.8 ± 14.7 c | 815.9 ± 27.9 c | 
| EGCG | 204.3 ± 9.4 c | 133.0 ± 6.7 c | 492.8 ± 18.1 c | 830.1 ± 34.3 c | 
| BHA + CA | 185.6 ± 6.3 d | 120.8 ± 5.1 de | 444.3 ± 12.6 d | 750.7 ± 24.1 d | 
| TBHQ + CA | 186.0 ± 9.0 d | 119.6 ± 5.5 e | 438.2 ± 13.4 d | 743.8 ± 27.9 d | 
| VE + CA | 168.4 ± 5.5 e | 111.5 ± 4.0 f | 416.1 ± 21.9 e | 696.0 ± 31.5 e | 
| EGCG + CA | 169.6 ± 8.3 e | 107.0 ± 4.8 fg | 403.6 ± 17.9 e | 680.2 ± 31.2 e | 
| TBHQ + BHA | 148.7 ± 6.3 gh | 96.5 ± 3.8 ijk | 366.8 ± 13.6 f | 612.0 ± 23.7 fg | 
| EGCG + VE | 164.0 ± 6.3 ef | 104.8 ± 3.3 fgh | 364.5 ± 13.5 f | 633.3 ± 23.2 f | 
| VE + TBHQ | 156.7 ± 5.8 fg | 100.6 ± 5.0 ghi | 372.4 ± 17.9 f | 629.7 ± 28.7 f | 
| EGCG + TBHQ | 135.5 ± 5.4 i | 90.5 ± 4.1 jkl | 318.3 ± 10.0 gh | 544.3 ± 19.6 hi | 
| TBHQ + BHA + CA | 142.6 ± 7.1 hi | 91.2 ± 5.0 jk | 338.9 ± 10.5 g | 572.7 ± 22.6 gh | 
| EGCG + VE + CA | 147.1 ± 5.5 gh | 97.9 ± 6.6 hij | 337.5 ± 16.6 g | 582.5 ± 28.8 gh | 
| VE + TBHQ + CA | 134.1 ± 8.3 i | 83.2 ± 4.2 l | 300.8 ± 10.9 h | 518.1 ± 23.5 i | 
| EGCG + TBHQ + CA | 141.1 ± 6.2 hi | 89.0 ± 3.7 kl | 339.7 ± 10.9 g | 569.8 ± 20.9 h | 
Disclaimer/Publisher’s Note: The statements, opinions and data contained in all publications are solely those of the individual author(s) and contributor(s) and not of MDPI and/or the editor(s). MDPI and/or the editor(s) disclaim responsibility for any injury to people or property resulting from any ideas, methods, instructions or products referred to in the content.  | 
© 2025 by the authors. Licensee MDPI, Basel, Switzerland. This article is an open access article distributed under the terms and conditions of the Creative Commons Attribution (CC BY) license (https://creativecommons.org/licenses/by/4.0/).
Share and Cite
Zhao, D.; Wang, X.; You, S.; Wang, L.; Amjad, U.; Xu, B.; Dou, X.; Liu, L. Oxidative Stability of Phytosterols in Camellia Seed Oil During Heating: The Impact of Different Antioxidants. Foods 2025, 14, 2297. https://doi.org/10.3390/foods14132297
Zhao D, Wang X, You S, Wang L, Amjad U, Xu B, Dou X, Liu L. Oxidative Stability of Phytosterols in Camellia Seed Oil During Heating: The Impact of Different Antioxidants. Foods. 2025; 14(13):2297. https://doi.org/10.3390/foods14132297
Chicago/Turabian StyleZhao, Dongkun, Xin Wang, Sicong You, Lijuan Wang, Usman Amjad, Baocheng Xu, Xinjing Dou, and Lili Liu. 2025. "Oxidative Stability of Phytosterols in Camellia Seed Oil During Heating: The Impact of Different Antioxidants" Foods 14, no. 13: 2297. https://doi.org/10.3390/foods14132297
APA StyleZhao, D., Wang, X., You, S., Wang, L., Amjad, U., Xu, B., Dou, X., & Liu, L. (2025). Oxidative Stability of Phytosterols in Camellia Seed Oil During Heating: The Impact of Different Antioxidants. Foods, 14(13), 2297. https://doi.org/10.3390/foods14132297
        
