Triplex DNA Helix Sensor Based on Reduced Graphene Oxide and Electrodeposited Gold Nanoparticles for Sensitive Lead(II) Detection
Abstract
:1. Introduction
2. Materials and Methods
2.1. Materials and Apparatus
2.2. Sensor Fabrication
2.3. Detection
3. Results and Discussion
3.1. Design of the Sensor Strategy
3.2. Characteristics of Electrode
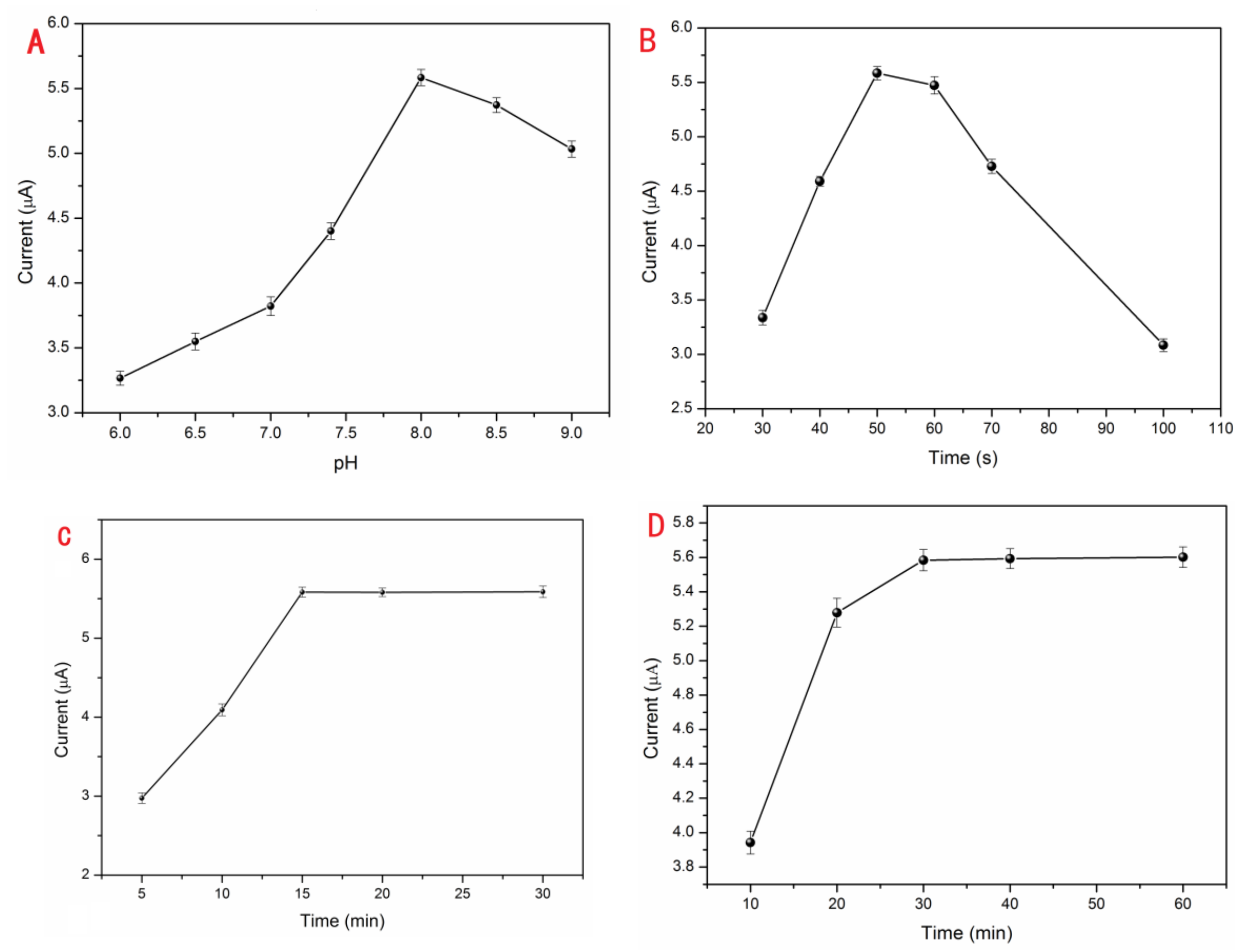
3.3. Optimization of the Experimental Conditions
3.4. Detection of Pb2+
3.5. Selectivity of the Sensor
3.6. Analysis of Pb2+ in Samples
3.7. Reproducibility and Stability of Sensor
4. Conclusions
Author Contributions
Funding
Institutional Review Board Statement
Informed Consent Statement
Data Availability Statement
Conflicts of Interest
References
- Ali, Z.; Ullah, R.; Tuzen, M.; Ullah, S.; Rahim, A.; Saleh, T.A. Colorimetric sensing of heavy metals on metal doped metal oxide nanocomposites: A review. Trends Environ. Anal. Chem. 2023, 37, e00187. [Google Scholar] [CrossRef]
- Zeng, G.M.; Zhu, Y.; Zhang, Y.; Zhang, C.; Tang, L.; Guo, P.C.; Zhang, L.H.; Yuan, Y.J.; Cheng, M.; Yang, C.P. Electrochemical DNA sensing strategy based on strengthening electronic conduction and a signal amplifier carrier of nanoAu/MCN composited nanomaterials for sensitive lead detection. Environ. Sci.-Nano 2016, 3, 1504–1509. [Google Scholar] [CrossRef]
- Chen, S.Y.; Li, Z.; Li, K.; Yu, X.Q. Small molecular fluorescent probes for the detection of lead, cadmium and mercury ions. Coord. Chem. Rev. 2021, 429, 213691. [Google Scholar] [CrossRef]
- Wang, Y.R.; Zhu, Y.; Hu, Y.; Zeng, G.M.; Zhang, Y.; Zhang, C.; Feng, C.L. How to construct DNA hydrogels for environmental applications: Advanced water treatment and environmental Analysis. Small 2018, 14, 1703305. [Google Scholar] [CrossRef]
- Wang, J.; Zhang, Z.Y.; Gao, X.; Lin, X.D.; Liu, Y.Q.; Wang, S. A single fluorophore ratiometric nanosensor based on dual-emission DNA-templated silver nanoclusters for ultrasensitive and selective Pb(2+) detection. Sens. Actuator B-Chem. 2019, 282, 712–718. [Google Scholar] [CrossRef]
- Yang, Y.; Zhang, C.; Lai, C.; Zeng, G.M.; Huang, D.L.; Cheng, M.; Wang, J.J.; Chen, F.; Zhou, C.Y.; Xiong, W.P. BiOX (X = Cl, Br, I) photocatalytic nanomaterials: Applications for fuels and environmental management. Adv. Colloid Interface Sci. 2018, 254, 76–93. [Google Scholar] [CrossRef] [PubMed]
- Ma, X.M.; Armas, S.M.; Soliman, M.; Lytle, D.A.; Chumbimuni-Torres, K.; Tetard, L.; Lee, W.H. In situ monitoring of Pb2+ leaching from the galvanic joint surface in a prepared chlorinated drinking water. Environ. Sci. Technol. 2018, 52, 2126–2133. [Google Scholar] [CrossRef]
- He, K.; Chen, G.Q.; Zeng, G.M.; Chen, A.W.; Huang, Z.Z.; Shi, J.B.; Huang, T.T.; Peng, M.; Hu, L. Three-dimensional graphene supported catalysts for organic dyes degradation. Appl. Catal. B-Environ. 2018, 228, 19–28. [Google Scholar] [CrossRef]
- Zhang, Y.; Zhu, Y.; Zeng, Z.T.; Zeng, G.M.; Xiao, R.; Wang, Y.R.; Hu, Y.; Tang, L.; Feng, C.L. Sensors for the environmental pollutant detection: Are we already there? Coord. Chem. Rev. 2021, 431, 213681. [Google Scholar] [CrossRef]
- Zhu, Y.; Zeng, G.M.; Zhang, Y.; Tang, L.; Chen, J.; Cheng, M.; Zhang, L.H.; He, L.; Guo, Y.; He, X.X.; et al. Highly sensitive electrochemical sensor using a MWCNTs/GNPs-modified electrode for lead(II) detection based on Pb2+-induced G-rich DNA conformation. Analyst 2014, 139, 5014–5020. [Google Scholar] [CrossRef]
- Jing, L.M.; Ding, Q.J.; Li, X.; Lou, J.; Liu, Z.Q.; Jiang, Y.F.; Han, W.J.; Cheng, Z. Bifunctional collagen fiber/carbon quantum dot fluorescent adsorbent for efficient adsorption and detection of Pb2+. Sci. Total Environ. 2023, 871, 161989. [Google Scholar] [CrossRef]
- Liu, Y.; Kong, L.Q.; Han, Z.S.; Yuan, R.; Chai, Y.Q. An electrochemical biosensor based on a highly loaded 3D DNA nanostructure for ultrasensitive detection of Pb2+. Sens. Actuator B-Chem. 2023, 382, 133486. [Google Scholar] [CrossRef]
- Liu, J.P.; Bi, Y.H.; Tai, W.J.; Wei, Y.; Zhang, Q.; Liu, A.N.; Hu, Q.Z.; Yu, L. The development of a paper-based distance sensor for the detection of Pb2+assisted with the target-responsive DNA hydrogel. Talanta 2023, 257, 124344. [Google Scholar] [CrossRef] [PubMed]
- Li, Y.Y.; Li, H.D.; Fang, W.K.; Liu, D.; Liu, M.H.; Zheng, M.Q.; Zhang, L.L.; Yu, H.; Tang, H.W. Amplification of the fluorescence signal with clustered regularly interspaced short palindromic repeats-Cas12a based on Au Nanoparticle-DNAzyme probe and on-site detection of Pb(2+) via the photonic crystal chip. ACS Sens. 2022, 7, 1572–1580. [Google Scholar] [CrossRef] [PubMed]
- Yu, H.X.; Alkhamis, O.; Canoura, J.; Liu, Y.Z.; Xiao, Y. Advances and challenges in small-molecule DNA aptamer isolation, characterization, and sensor development. Angew. Chem.-Int. Edit. 2021, 60, 16800–16823. [Google Scholar] [CrossRef] [PubMed]
- Li, F.Q.; Mao, X.H.; Li, F.; Li, M.; Shen, J.L.; Ge, Z.L.; Fan, C.H.; Zuo, X.L. Ultrafast DNA sensors with DNA framework-bridged hybridization reactions. J. Am. Chem. Soc. 2020, 142, 9975–9981. [Google Scholar] [CrossRef]
- Hao, C.; Wei, J.; Zong, S.; Wang, Z.; Wang, H.; Cui, Y. Highly sensitive and specific detection of silver ions using a dual-color fluorescence co-localization strategy. Analyst 2023, 148, 675–682. [Google Scholar] [CrossRef]
- Zhang, H.Q.; Li, Y.F.; Gan, F. Design and fabrication of dual functional sulfur nanodots with reducibility and fluorescence properties for sensitive and selective analysis of metal ions in environmental water samples. Sens. Actuator B-Chem. 2023, 374, 132817. [Google Scholar] [CrossRef]
- Yin, B.C.; Ye, B.C.; Tan, W.H.; Wang, H.; Xie, C.C. An allosteric dual-DNAzyme unimolecular probe for colorimetric detection of copper (II). J. Am. Chem. Soc. 2009, 131, 14624–14625. [Google Scholar] [CrossRef]
- He, K.; Zeng, Z.T.; Chen, A.W.; Zeng, G.M.; Xiao, R.; Xu, P.; Huang, Z.Z.; Shi, J.B.; Hu, L.; Chen, G.Q. Advancement of Ag-graphene based nanocomposites: An overview of synthesis and its applications. Small 2018, 14, 1800871. [Google Scholar] [CrossRef]
- Grossmann, T.N.; Roglin, L.; Seitz, O. Triplex molecular beacons as modular probes for DNA detection. Angew. Chem.-Int. Edit. 2007, 46, 5223–5225. [Google Scholar] [CrossRef]
- Zheng, J.; Li, J.S.; Jiang, Y.; Jin, J.Y.; Wang, K.M.; Yang, R.H.; Tan, W.H. Design of aptamer-based sensing platform using triple-helix molecular switch. Anal. Chem. 2011, 83, 6586–6592. [Google Scholar] [CrossRef]
- Liu, X.H.; Li, L.B.; Li, F.; Zhao, W.N.; Luo, L.J.; Bi, X.Y.; Li, X.; You, T.N. An ultra-high-sensitivity electrochemiluminescence aptasensor for Pb2+ detection based on the synergistic signal-amplification strategy of quencher abscission and G-quadruplex generation. J. Hazard. Mater. 2022, 424, 127480. [Google Scholar] [CrossRef]
- Geng, F.H.; Wang, D.D.; Feng, L.; Li, G.X.; Xu, M.T. An improved structure-switch aptamer-based fluorescent Pb(2+) biosensor utilizing the binding induced quenching of AMT to G-quadruplex. Chem. Commun. 2020, 56, 10517–10520. [Google Scholar] [CrossRef] [PubMed]
- Yi, J.H.; Xianyu, Y.L. Gold nanomaterials-implemented wearable sensors for healthcare applications. Adv. Funct. Mater. 2022, 32, 2113012. [Google Scholar] [CrossRef]
- Nejad, F.G.; Tajik, S.; Beitollahi, H.; Sheikhshoaie, I. Magnetic nanomaterials based electrochemical (bio)sensors for food analysis. Talanta 2021, 228, 122075. [Google Scholar] [CrossRef]
- Qiao, L.; Zhu, Y.; Zeng, T.J.; Zhang, Y.Y.; Zhang, M.J.; Song, K.X.; Yin, N.; Tao, Y.N.; Zhao, Y.; Zhang, Y.; et al. “Turn-off” photoelectrochemical aptasensor based on g-C3N4/WC/WO3 composites for tobramycin detection. Food Chem. 2023, 403, 134287. [Google Scholar] [CrossRef]
- Qiao, L.; Zhao, Y.; Zhang, Y.Y.; Zhang, M.J.; Tao, Y.N.; Xiao, Y.; Zeng, X.X.; Zhang, Y.; Zhu, Y. Designing a stable g-C3N4/BiVO4-based photoelectrochemical aptasensor for tetracycline determination. Toxics 2023, 11, 17. [Google Scholar] [CrossRef]
- Zhang, Y.; Zeng, G.M.; Tang, L.; Chen, J.; Zhu, Y.; He, X.X.; He, Y. Electrochemical sensor based on electrodeposited graphene-Au modified electrode and nanoAu carrier amplified signal strategy for attomolar mercury detection. Anal. Chem. 2015, 87, 989–996. [Google Scholar] [CrossRef]
- Lee, S.Y.; Moore, R.B.; Mahajan, R.L. An Al-assisted GO/rGO Janus film: Fabrication and hygroscopic properties. Carbon 2021, 171, 585–596. [Google Scholar] [CrossRef]
- Schwartz-Duval, A.S.; Sokolov, K.V. Prospecting cellular gold nanoparticle biomineralization as a viable alternative to prefabricated gold nanoparticles. Adv. Sci. 2022, 9, 2105957. [Google Scholar] [CrossRef] [PubMed]
- Hou, S.L.; Ma, J.J.; Cheng, Y.Q.; Wang, Z.F.; Yan, Y.X. Overview-gold nanoparticles-based sensitive nanosensors in mycotoxins detection. Crit. Rev. Food Sci. Nutr. 2022, 2, 1–16. [Google Scholar] [CrossRef]
- Hu, Y.W.; Cecconello, A.; Idili, A.; Ricci, F.; Willner, I. Triplex DNA nanostructures: From basic properties to applications. Angew. Chem.-Int. Edit. 2017, 56, 15210–15233. [Google Scholar] [CrossRef]
- GB5749-2006; Sanitary Standards for Drinking Water. Standards Press of China: Beijing, China, 2006.
- Jia, M.; Lu, Y.F.; Wang, R.N.; Ren, N.N.; Zhang, J.L.; Xu, C.H.; Wu, J.K. Extended GR-5 DNAzyme-based Autonomous isothermal Cascade machine: An efficient and sensitive one-tube colorimetric platform for Pb2+ detection. Sens. Actuator B-Chem. 2020, 304, 127366. [Google Scholar] [CrossRef]
- Zhang, H.N.; Huang, S.Q.; Yang, X.; Yuan, R.; Chai, Y.Q. A SERS biosensor constructed by calcined ZnO substrate with high-efficiency charge transfer for sensitive detection of Pb2+. Sens. Actuator B-Chem. 2021, 343, 130142. [Google Scholar] [CrossRef]
- Chen, M.; Hassan, M.; Li, H.H.; Chen, Q.S. Fluorometric determination of lead(II) by using aptamer-functionalized upconversion nanoparticles and magnetite-modified gold nanoparticles. Microchim. Acta 2020, 187, 85. [Google Scholar] [CrossRef]
- Suo, Z.G.; Liang, R.R.; Liu, R.K.; Wei, M.; He, B.S.; Jiang, L.Y.; Sun, X.X.; Jin, H.L. A convenient paper-based fluorescent aptasensor for high-throughput detection of Pb2+ in multiple real samples (water-soil-food). Anal. Chim. Acta 2023, 1239, 340714. [Google Scholar] [CrossRef]





| Target | Detection Limitation | Detection Range | Method | Ref. |
|---|---|---|---|---|
| Pb2+ | 35.25 pM | 0.1–200 nM | Colorimetry | [35] |
| 3.55 pM | 10 nM–100 μM | SERS | [36] | |
| 5.7 nM | 25–1400 nM | Fluorescence | [37] | |
| 6.1 nM | 0.01–10 μM | Fluorescence resonance energy transfer (FERT) | [38] | |
| 2.61 pM | 1 pM–100 μM | Electrochemistry | [12] | |
| 0.36 nM | 0.01–100 μM | Electrochemistry | This work |
| Samples | Spiked Pb2+ (μM) | Senor (μM) 1 | Recovery (%) |
|---|---|---|---|
| Tap water | 0.100 | 0.101 ± 0.07 | 101.0% |
| Xiangjiang River water | 1.000 | 0.937 ± 0.06 | 93.7% |
| Medical wastewater | 0.100 | 0.100 ± 0.08 | 100.0% |
Disclaimer/Publisher’s Note: The statements, opinions and data contained in all publications are solely those of the individual author(s) and contributor(s) and not of MDPI and/or the editor(s). MDPI and/or the editor(s) disclaim responsibility for any injury to people or property resulting from any ideas, methods, instructions or products referred to in the content. |
© 2023 by the authors. Licensee MDPI, Basel, Switzerland. This article is an open access article distributed under the terms and conditions of the Creative Commons Attribution (CC BY) license (https://creativecommons.org/licenses/by/4.0/).
Share and Cite
Gao, J.; Xu, P.; Qiao, L.; Tao, Y.; Xiao, Y.; Qin, H.; Zhu, Y.; Zhang, Y. Triplex DNA Helix Sensor Based on Reduced Graphene Oxide and Electrodeposited Gold Nanoparticles for Sensitive Lead(II) Detection. Toxics 2023, 11, 795. https://doi.org/10.3390/toxics11090795
Gao J, Xu P, Qiao L, Tao Y, Xiao Y, Qin H, Zhu Y, Zhang Y. Triplex DNA Helix Sensor Based on Reduced Graphene Oxide and Electrodeposited Gold Nanoparticles for Sensitive Lead(II) Detection. Toxics. 2023; 11(9):795. https://doi.org/10.3390/toxics11090795
Chicago/Turabian StyleGao, Jing, Piao Xu, Lu Qiao, Yani Tao, Yao Xiao, Hong Qin, Yuan Zhu, and Yi Zhang. 2023. "Triplex DNA Helix Sensor Based on Reduced Graphene Oxide and Electrodeposited Gold Nanoparticles for Sensitive Lead(II) Detection" Toxics 11, no. 9: 795. https://doi.org/10.3390/toxics11090795
APA StyleGao, J., Xu, P., Qiao, L., Tao, Y., Xiao, Y., Qin, H., Zhu, Y., & Zhang, Y. (2023). Triplex DNA Helix Sensor Based on Reduced Graphene Oxide and Electrodeposited Gold Nanoparticles for Sensitive Lead(II) Detection. Toxics, 11(9), 795. https://doi.org/10.3390/toxics11090795
