Antibiotics in Aquaculture Wastewater: Is It Feasible to Use a Photodegradation-Based Treatment for Their Removal?
Abstract
:1. Introduction
2. The Use of Antibiotics in Aquaculture and the Spreading of Antimicrobial Resistance (AMR)
3. Photolysis of Aquaculture Antibiotics: Influencing Factors
3.1. Type of Light
| Reference | Antibiotics | Irradiation | Relevant Conditions | Conclusions |
|---|---|---|---|---|
| [25] | ENR; CIP | UV and | ENR and CIP: 500 mg L−1 | CIP degraded faster with UV than with fluorescence light treatment; |
| Fluorescence | Overlying water from an eel pond | no such difference was found for ENR | ||
| [15] | TRIM; | Sunlight | River water related | t1/2 ranged from <1 to 44 days, depending on the availability of sunlight |
| ENR; SDZ | to intensive aquaculture | TRIM was not susceptible to photodegradation, but ENR and SDZ were | ||
| [27] | OMP | Simulated sunlight (450 W Xe lamp) | OMP: 36.8 mg L−1 or 368 mg L−1 | Photodegradation was higher in real samples in comparison with ultrapure water |
| Water from aquaculture | DOM increased photodegradation in relation to direct photodegradation | |||
| facilities and nearby stream | Indirect photodegradation pathway occurred by ·OH radicals, O2 attack, and reaction with 3DOM* | |||
| [28] | OXA; FLU | UV simulated | OXA and FLU: 5000 mg L−1 | Light played a major role in the degradation of both OXA and FLU |
| natural light | Water from aquaculture ponds | Temperature did not affect the photodegradation of both OXA and FLU | ||
| [29] | CIP | Simulated sunlight | CIP: 1657 mg L−1 | Due to the Cu(II) complexation, photodegradation, photolytic pathways and |
| (1000 W Xe lamp) | Ultrapure water | product distribution were altered | ||
| [30] | OTC; OXA; FLU; FLO | Wavelength range | OTC, OXA, FLU, FLO: | FLO was not degraded by photolysis |
| 300–800 nm | 1000 mg L−1 | Photolysis was responsible for about 70% of the OTC degradation in both | ||
| Deionised water, fresh | fresh and seawater and 10% of the OXA and FLU degradation in seawater | |||
| and seawater | Water pH played an important role in OTC photolysis | |||
| [31] | OTC | Simulated sunlight | OTC: 4 mg L−1 | t1/2 predicted for OTC ranged between 21 and 25 min |
| (1500 W Xe lamp) | Water from aquaculture | High pH and presence of sea salts increased the OTC photodegradation | ||
| facilities | rate in comparison with deionised water | |||
| [32] | OTC | Simulated sunlight | OTC: 4 mg L−1 | Mg2+ inhibited the formation of some OTC photoproducts observed in the |
| (1500 W Xe lamp) | Water from aquaculture | presence of Ca2+ | ||
| facilities | Two new OTC photoproducts were formed in the presence of Mg2+ | |||
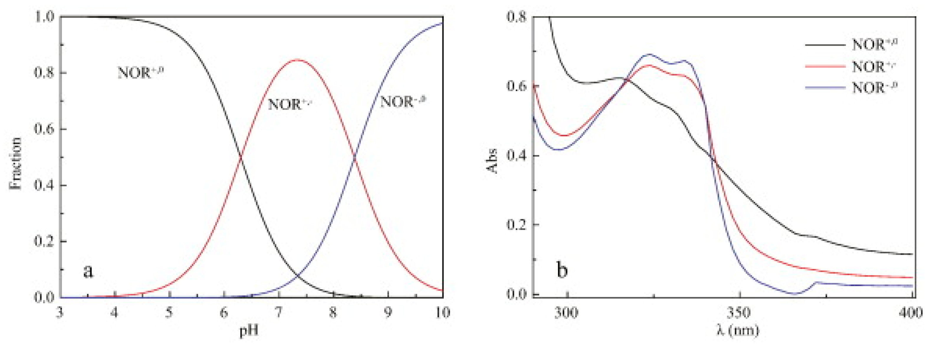
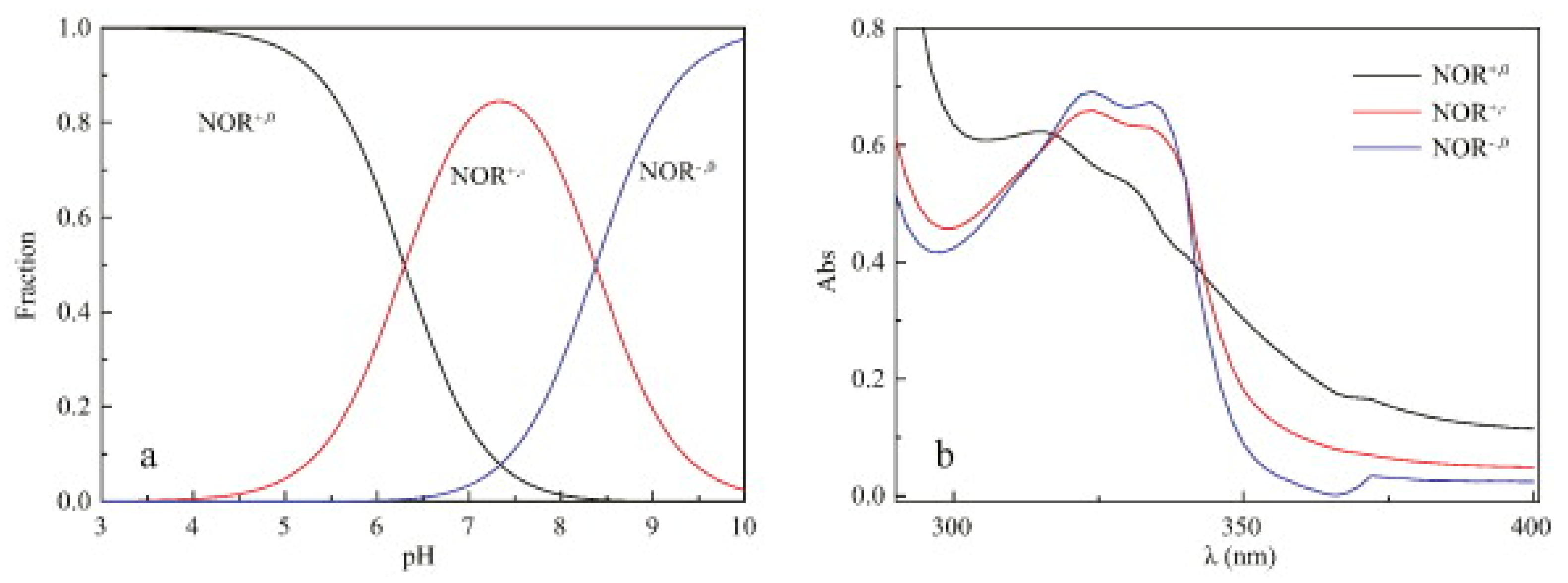
| [33] | NOR | Simulated sunlight | NOR: 1597 mg L−1 | DOM influenced the photodegradation of NOR different species |
| (350 W Xe lamp) | Ultrapure water | Influence was related with DOM concentration and type of NOR species | ||
| [34] | THI; FLO | UV-vis: 300 W | THI and FLO: 2–30 mg L−1 | The photolysis kinetics in pure water was influenced by the initial |
| high-pressure Hg | Ultrapure water | concentration of antibiotics | ||
| lamp (λ > 200 nm) | Twelve intermediates were formed | |||
| [24] | THI; FLO | UV-vis: 300 W | THI and FLO: 10–400 mg L−1 Ultrapure, sea and fresh water | Under UV-vis irradiation, antibiotics photodegraded the fastest in seawater, followed by ultrapure water and freshwater |
| high-pressure Hg | ||||
| lamp (λ > 200 nm) | Under solar (natural or simulated) sunlight, photodegradation occurred just in freshwater | |||
| Sunlight: λ > 290 nm | ||||
| Simulated sunlight: | ||||
| 1000 W Xe lamp | ||||
| [35] | OXA | Simulated sunlight (1500 W Xe lamp) | OXA: 100 and 250 mg L−1 Fresh and brackish water | Photodegradation rate constant decreased from 0.70 ± 0.02 h−1 in ultrapure water to 0.42 ± 0.01 h−1 in freshwater and to 0.172 ± 0.003 h−1 in brackish water 1O2 played an important role in OXA photodegradation process |
3.2. Presence of Ions
3.3. Presence of Dissolved Organic Matter (DOM)
3.4. Relevance of Radical Oxygen Species (ROS)
3.5. Type of Matrix: Ultrapure Water, Aquaculture Representative Waters or Real Aquaculture Waters
3.6. Temperature
3.7. pH
3.8. Salinity
3.9. Initial Concentration of Antibiotic
4. Photocatalytic Removal of Aquaculture Antibiotics from Water: Types of Photocatalysts
4.1. TiO2-Based Photocatalysts
| Reference | Antibiotics | Irradiation | Photocatalytic System | Conclusions |
|---|---|---|---|---|
| [67] | TC | UV | Calcite/TiO2 | A content of 1.5 g L−1 of catalyst, 50 mg L−1 of TC, and pH ≈ 7 were the best conditions to effectively remove TC under UV light |
| [75] | CIP | Simulated sunlight | ZnSnO3 | Co-precipitation showed better performance and stability in comparison with hydrothermal and template-assisted methods |
| The prepared photocatalyst catalysed the degradation of CIP under simulated light irradiation and the antibacterial activity of CIP was largely decreased | ||||
| [76] | OTC; OXA | Sunlight and UV | Porphyrin@TiO2 | For OXA, the introduction of TiO2 as photocatalyst on the process caused a marked increase on photodegradation |
| Under simulated solar irradiation (10 min), OTC photodegration was more than 30% larger than that of OXA | ||||
| [82] | FLO | UV | UV/Na2S2O8 | Rate constant increased linearly with increased PS concentration |
| Presence of anions adversely affected FLO degradation performance | ||||
| [83] | OTC | Visible light (20 W fluorescent lights) | UV/ZnO and UV/CuO/ZnO | UV/CuO/ZnO system was found to be more efficient than UV/ZnO |
| The 90% of OTC degradation was accomplished for 10:1 molar ratio of Zn2+/Cu2+ and 0.4 g L–1 Nanocomposite | ||||
| [84] | SMM | UV | UV/Zeolite/TiO2 | Co-existent substances present in the aquaculture wastewater inhibited the photocatalytic decomposition of SMM |
| [80] | FLU | Simulated sunlight (500 W m−2 irradiance) | Simulated solar light/TiO2 | The most important variable for FLU photodegradation was pH (optimal value ca. 6) |
| FLU was completely eliminated within 30 min of irradiation | ||||
| The 80% of mineralization was accomplished after 60 min of irradiation | ||||
| [65] | OXA; OTC | Simulated sunlight (1700 W Xe lamp) | Solar light/TiO2 | Both single and mixture antibiotics’ solutions were used |
| After complete removal of the antibiotics, photoproducts did not show antibacterial activity | ||||
| [81] | FLU; NXA | Sunlight | TiO2 | Photo-Fenton was more efficient than TiO2 in the degradation of NXA |
| Photo-Fenton | A high degree of mineralisation was achieved in short irradiation times | |||
| [85] | THI | UV | UV/H2O2 | Photodegradation rate decreased with the increase of the initial THI concentration |
| UV/persulfate | Photodegradation rate increased with increasing oxidant dosage | |||
| [86] | SMX | High pressure Xe short arc lamp | Photo-assisted | Coupling nanofiltration with photocatalysts allowed for 80% of SMX removal |
| nanofiltration | The membrane/photocatalyst system showed a good regeneration capacity | |||
| [87] | FLU; OXA; | UV-A | TiO2 | Degradation of the quinolones was studied in mono-, binary and ternary compound systems |
| NXA | Mono-compound systems showed the largest photocatalytic rates | |||
| [88] | CHL | Low-pressure mercury lamp | UV/H2O2 | Antibacterial activity was absent after treatment, even at higher antibiotic initial concentrations than those commonly found in wastewaters |
4.2. Other Photocatalysts
5. Future Challenges: A Critical Approach
- -
- Studies on antibiotics remediation by photodegradation are less than they should be—it is still needed to enlarge the scope of this area of investigation;
- -
- In the specific case of the studies on antibiotics used in aquaculture, most of them approach the problem and investigate possible solutions but do not present a real application in aquaculture waters;
- -
- Real environments are much more complex than laboratory-controlled conditions, so it would be necessary to develop computational models to predict the aquatic photochemical behavior of aquaculture antibiotics, as well as their different dissociation and/or metal complexation forms under different conditions;
- -
- Further work on antibiotics’ mixtures should be carried out since they are mostly present simultaneously in real matrices and it may be anticipated that individual and simultaneous presence may represent a different behavior;
- -
- More studies are also needed in what respects mineralization since it is crucial to understand if the photolysis/photocatalysis treatments offer the desired mineralization of the compound into CO2 and H2O;
- -
- In the same line of thinking, antibacterial activity tests should be carried out to undoubtedly determine if, in the case of incomplete mineralization, photoproducts retain the activity of the parent compound—this is vital to consider if a treatment is effective;
- -
- Another shortage in literature is the lack of studies in continuous operation mode and of upscaling studies as opposed to batch discontinuous laboratory studies—water treatments are usually implemented under continuous feeding, and it is important to scale-up the studies so as to understand if they present potential to be applied in a real situation.
6. Conclusions
Author Contributions
Funding
Institutional Review Board Statement
Informed Consent Statement
Acknowledgments
Conflicts of Interest
References
- Gunning, D.; Maguire, J.; Burnell, G. The Development of Sustainable Saltwater-Based Food Production Systems: A Review of Established and Novel Concepts. Water 2016, 8, 598. [Google Scholar] [CrossRef] [Green Version]
- Dar, A.H.; Rashid, N.; Majid, I.; Hussain, S.; Dar, M.A. Nanotechnology interventions in aqua-culture and seafood preservation. Crit. Rev. Food Sci. Nutr. 2020, 60, 1912–1921. [Google Scholar] [CrossRef] [PubMed]
- Zhao, Y.; Yang, Q.E.; Zhou, X.; Wang, F.-H.; Muurinen, J.; Virta, M.P.; Brandt, K.K.; Zhu, Y.-G. Antibiotic resistome in the livestock and aquaculture industries: Status and solutions. Crit. Rev. Environ. Sci. Technol. 2020, 1–38. [Google Scholar] [CrossRef]
- Botta, R.; Asche, F.; Borsum, J.S.; Camp, E.V. A review of global oyster aquaculture production and consumption. Mar. Policy 2020, 117, 103952. [Google Scholar] [CrossRef]
- Romero, J.; Feijoó, C.G.; Navarrete, P. Antibiotics in Aquaculture—Use, Abuse and Alternatives. InTechOpen. Available online: https://www.intechopen.com/books/health-and-environment-in-aquaculture/antibiotics-in-aquaculture-use-abuse-and-alternatives (accessed on 21 December 2020).
- FAO. 2015. Available online: http://www.fao.org/fishery/regional-aquaculture-reviews/reviews-2015/en (accessed on 14 March 2021).
- Ciji, A.; Akhtar, M.S. Nitrite implications and its management strategies in aquaculture: A review. Rev. Aquac. 2020, 12, 878–908. [Google Scholar] [CrossRef]
- Lulijwa, R.; Rupia, E.J.; Alfaro, A.C. Antibiotic use in aquaculture, policies and regulation, health and environmental risks: A review of the top 15 major producers. Rev. Aquac. 2020, 12, 640–663. [Google Scholar] [CrossRef]
- Caruso, G. Antibiotic Resistance in Fish Farming Environments: A Global Concern. J. Fish. Sci. 2016, 10, 9–13. [Google Scholar]
- Lounas, R.; Kasmi, H.; Chernai, S.; Amarni, N.; Ghebriout, L.; Meslem-Haoui, N.; Hamdi, B.; Thalassas, A. Towards Sustainable Mariculture: Some Global Trends. Int. J. Mar. Sci. 2020, 36, 447–459. [Google Scholar] [CrossRef]
- Heuer, O.E.; Kruse, H.; Grave, K.; Collignon, P.; Karunasagar, I.; Angulo, F.J. Human Health Consequences of Use of Antimicrobial Agents in Aquaculture. Clin. Infect. Dis. 2009, 49, 1248–1253. [Google Scholar] [CrossRef]
- WHO. Global Action Plan on AMR. 2015. Available online: https://www.who.int/antimicrobial-resistance/global-action-plan/en/ (accessed on 1 March 2021).
- Calisto, V.; Domingues, M.R.M.; Esteves, V.I. Photodegradation of psychiatric pharmaceuticals in aquatic environments: Kinetics and photodegradation products. Water Res. 2011, 45, 6097–6106. [Google Scholar] [CrossRef]
- Chowdhury, R.R.; Charpentier, P.A.; Ray, M.B. Photodegradation of 17β-estradiol in aquatic solution under solar irradiation: Kinetics and influencing water parameters. J. Photochem. Photobiol. A Chem. 2011, 219, 67–75. [Google Scholar] [CrossRef]
- Giang, C.N.D.; Sebesvari1, Z.; Renaud, F.; Rosendahl, I.; Minh, Q.H.; Amelung, W. Occurrence and Dissipation of the Antibiotics Sulfamethoxazole, Sulfadiazine, Trimethoprim, and Enrofloxacin in the Mekong Delta, Vietnam. PLoS ONE 2015, 10, e0131855. [Google Scholar]
- Lam, M.W.; Tantuco, K.; Mabury, S.A. PhotoFate: A new approach in accounting for the contribution of indirect photolysis of pesticides and pharmaceuticals in surface waters. Environ. Sci. Technol. 2003, 37, 899–907. [Google Scholar] [CrossRef]
- Peuravuori, J.; Pihlaja, K. Phototransformations of selected pharmaceuticals under low-energy UVA–vis and powerful UVB–UVA irradiations in aqueous solutions-the role of natural dis-solved organic chromophoric material. Anal. Bioanal. Chem. 2009, 394, 1621–1636. [Google Scholar] [CrossRef]
- Lin, A.Y.-C.; Reinhard, M. Photodegradation of common environmental pharmaceuticals and estrogens in river water. Environ. Toxicol. Chem. 2005, 24, 1303–1309. [Google Scholar] [CrossRef] [Green Version]
- Young, R.B.; Latch, D.E.; Mawhinney, D.B.; Nguyen, T.-H.; Davis, J.C.C.; Borch, T. Direct photodegradation of androstenedione and testosterone in natural sunlight: Inhibition by dis-solved organic matter and reduction of endocrine disrupting potential. Environ. Sci. Technol. 2013, 47, 8416–8424. [Google Scholar] [CrossRef]
- Carlos, L.; Mártire, D.O.; Gonzalez, M.C.; Gomis, J.; Bernabeu, A.; Amat, A.M.; Arques, A. Photochemical fate of a mixture of emerging pollutants in the presence of humic substances. Water Res. 2012, 46, 4732–4740. [Google Scholar] [CrossRef]
- Faust, B.C.; Zepp, R.G. Photochemistry of aqueous iron (III)-polycarboxylate complexes: Roles in the chemistry of atmospheric and surface waters. Environ. Sci. Technol. 1993, 27, 2517–2522. [Google Scholar] [CrossRef]
- Wu, F.; Deng, N. Photochemistry of hydrolytic iron (III) species and photoinduced degradation of organic compounds. A minireview. Chemosphere 2000, 41, 1137–1147. [Google Scholar]
- Pozdnyakov, I.; Sherin, P.; Bazhin, N.; Plyusnin, V. [Fe(Ox)3]3− complex as a photodegradation agent at neutral pH: Advances and limitations. Chemosphere 2018, 195, 839–846. [Google Scholar] [CrossRef]
- Ge, L.; Chen, J.; Qiao, X.; Lin, J.; Cai, X. Light-source-dependent effects of main constituents on photodegradation of phenicol antibiotics: Mechanism and kinetics. Environ. Sci. Technol. 2009, 43, 3101–3107. [Google Scholar] [CrossRef]
- Lin, J.-S.; Pan, H.-Y.; Liu, S.-M.; Lai, H.T. Effects of light and microbial activity on the degra-dation of two fluoroquinolone antibiotics in pond water and sediment. J. Environ. Sci. Health B 2010, 45, 456–465. [Google Scholar] [CrossRef]
- Sturini, M.; Speltini, A.; Maraschi, F.; Pretali, L.; Profumo, A.; Fasani, E.; Albini, A.; Migliavacca, R.; Nucleo, E. Photodegradation of fluoroquinolones in surface water and antimicrobial activity of the photoproducts. Water Res. 2012, 46, 5575–5582. [Google Scholar] [CrossRef]
- Guerard, J.J.; Chin, Y.-P. Photodegradation of Ormetoprim in Aquaculture and Stream-Derived Dissolved Organic Matter. J. Agric. Food Chem. 2012, 60, 9801–9806. [Google Scholar] [CrossRef]
- Lai, H.-T.; Lin, J.-J. Degradation of oxolinic acid and flumequine in aquaculture pond waters and sediments. Chemosphere 2009, 75, 462–468. [Google Scholar] [CrossRef]
- Wei, X.; Chen, J.; Xie, Q.; Zhang, S.; Li, Y.; Zhang, Y.; Xie, H. Photochemical behavior of anti-biotics impacted by complexation effects of concomitant metals: A case for ciprofloxacin and Cu(II). Environ. Sci. Process. Impacts 2015, 17, 1220–1227. [Google Scholar] [CrossRef]
- Pouliquen, H.; Delépée, R.; Larhantec-Verdier, M.; Morvan, M.-L.; Bris, H.L. Comparative hydrolysis and photolysis of four antibacterial agents (oxytetracycline, oxolinic acid, flumequine and florfenicol) in deionised water, freshwater and seawater under abiotic conditions. Aquaculture 2007, 262, 23–28. [Google Scholar] [CrossRef]
- Leal, J.F.; Esteves, V.I.; Santos, E.B.H. Use of sunlight to degrade oxytetracycline in marine aquaculture’s waters. Environ. Pollut. 2016, 213, 932–939. [Google Scholar] [CrossRef]
- Leal, J.F.; Esteves, V.I.; Santos, E.B.H. Solar photodegradation of oxytetracycline in brackish aquaculture water: New insights about effects of Ca2+ and Mg2+. J. Photochem. Photobiol. A Chem. 2019, 372, 218–225. [Google Scholar] [CrossRef]
- Liang, C.; Zhao, H.; Deng, M.; Quan, X.; Chen, S.; Wang, H. Impact of dissolved organic matter on the photolysis of the ionizable antibiotic norfloxacin. J. Environ. Sci. 2015, 27, 115–123. [Google Scholar] [CrossRef]
- Li, K.; Zhang, P.; Ge, L.; Ren, H.; Yu, C.; Chen, X.; Zhao, Y. Concentration-dependent photo-degradation kinetics and hydroxyl-radical oxidation of phenicol antibiotics. Chemosphere 2014, 111, 278–282. [Google Scholar] [CrossRef]
- Louros, V.L.D.; Silva, C.P.; Nadais, H.; Esteves, V.I.; Lima, D.L.D. Oxolinic acid in aquaculture waters: Can natural attenuation through photodegradation decrease its concentration? Sci. Total. Environ. 2020, 749, 141661. [Google Scholar] [CrossRef]
- Oliveira, C.; Lima, D.L.D.; Silva, C.P.; Calisto, V.; Otero, M.; Esteves, V.I. Photodegradation of sulfamethoxazole in environmental samples: The role of pH, organic matter and salinity. Sci. Total. Environ. 2019, 648, 1403–1410. [Google Scholar] [CrossRef]
- Wang, H.; Yao, H.; Sun, P.; Li, D.; Huang, C.-H. Transformation of Tetracycline Antibiotics and Fe(II) and Fe(III) Species Induced by Their Complexation. Environ. Sci. Technol. 2016, 50, 145–153. [Google Scholar] [CrossRef]
- McNeill, K.; Canonica, S. Triplet state dissolved organic matter in aquatic photochemistry: Reaction mechanisms, substrate scope, and photophysical properties. Environ. Sci. Process. Impacts 2016, 18, 1381–1399. [Google Scholar] [CrossRef] [Green Version]
- Sharpless, C.M.; Blough, N.V. The importance of charge-transfer interactions in determining chromophoric dissolved organic matter (CDOM) optical and photochemical properties. Environ. Sci. Process. Impacts 2014, 16, 654–671. [Google Scholar] [CrossRef]
- Aguer, J.P.; Richard, C.; Andreux, F. Effect of light on humic substances: Production of reactive species. Analusis 1999, 27, 387–389. [Google Scholar] [CrossRef] [Green Version]
- Silva, C.P.; Lima, D.L.D.; Otero, M.; Esteves, V.I. Photosensitized Degradation of 17 β-estradiol and 17 α-ethinylestradiol: Role of Humic Substances Fractions. J. Environ. Qual. 2016, 45, 693–700. [Google Scholar] [CrossRef]
- Silva, C.P.; Lima, D.L.D.; Groth, M.B.; Otero, M.; Esteves, V.I. Effect of natural aquatic humic substances on the photodegradation of estrone. Chemosphere 2016, 145, 249–255. [Google Scholar] [CrossRef]
- Oliveira, C.; Lima, D.L.D.; Silva, C.P.; Otero, M.; Esteves, V.I. Photodegradation behaviour of estriol: An insight on natural aquatic organic matter influence. Chemosphere 2016, 159, 545–551. [Google Scholar] [CrossRef]
- Louros, V.L.; Silva, C.P.; Nadais, H.; Esteves, V.I.; Lima, D.L.D. Photodegradation of sulfadiazine in different aquatic environments—Evaluation of influencing factors. Environ. Res. 2020, 188, 109730. [Google Scholar] [CrossRef]
- Brezonik, P.L.; Fulkerson-Brekken, J. Nitrate-Induced Photolysis in Natural Waters: Controls on Concentrations of Hydroxyl Radical Photo-Intermediates by Natural Scavenging Agents. Environ. Sci. Technol. 1998, 32, 3004–3010. [Google Scholar] [CrossRef]
- Chen, Y.; Zhang, K.; Zuo, Y. Direct and indirect photodegradation of estriol in the presence of humic acid, nitrate and iron complexes in water solutions. Sci. Total. Environ. 2013, 463, 802–809. [Google Scholar] [CrossRef] [PubMed]
- Ge, L.; Na, G.; Zhang, S.; Li, K.; Zhang, P.; Ren, H.; Yao, Z. New insights into the aquatic pho-tochemistry of fluoroquinolone antibiotics: Direct photodegradation, hydroxyl-radical oxidation, and antibacterial activity changes. Sci. Total. Environ. 2015, 527, 12–17. [Google Scholar] [CrossRef] [PubMed]
- Cacciari, D.; Reynoso, E.; Spesia, M.B.; Criado, S.; Biasutti, M.A. Vancomycin-sensitized pho-tooxidation in the presence of the natural pigment vitamin B2: Interaction with excited states and photogenerated ROS. Redox Rep. 2017, 22, 166–175. [Google Scholar] [CrossRef] [PubMed] [Green Version]
- Ge, L.; Zhang, P.; Halsall, C.; Li, Y.; Chen, C.-E.; Li, J.; Sun, H.; Yao, Z. The importance of reactive oxygen species on the aqueous phototransformation of sulfonamide antibiotics: Kinetics, pathways, and comparisons with direct photolysis. Water Res. 2019, 149, 243–250. [Google Scholar] [CrossRef] [PubMed]
- Hao, Z.; Guo, C.; Lv, J.; Zhang, Y.; Zhang, Y.; Xu, J. Kinetic and mechanistic study of sulfadimidine photodegradation under simulated sunlight irradiation. Environ. Sci. Eur. 2019, 31, 40. [Google Scholar] [CrossRef]
- Chen, Y.; Hu, C.; Qu, J.; Yang, M. Photodegradation of tetracycline and formation of reactive oxygen species in aqueous tetracycline solution under simulated sunlight irradiation. J. Photochem. Photobiol. A Chem. 2008, 197, 81–87. [Google Scholar] [CrossRef]
- Leal, J.F.; Esteves, V.I.; Santos, E.B.H. Does light-screening by humic substances completely explain their retardation effect on contaminants photo-degradation? J. Environ. Chem. Eng. 2015, 3, 3015–3019. [Google Scholar] [CrossRef]
- Li, Y.; Rashid, A.; Wang, H.; Hu, A.; Lin, L.; Yu, C.-P.; Chen, M.; Sun, Q. Contribution of biotic and abiotic factors in the natural attenuation of sulfamethoxazole: A path analysis approach. Sci. Total. Environ. 2018, 633, 1217–1226. [Google Scholar] [CrossRef]
- Doll, T.E.; Frimmel, F.H. Fate of pharmaceuticals-photodegradation by simulated solar UV-light. Chemosphere 2003, 52, 1757–1769. [Google Scholar] [CrossRef]
- Jürgens, M.D.; Holthaus, K.I.E.; Johnson, A.C.; Smith, J.J.L.; Hetheridge, M.; Williams, R.J. The potential for estradiol and ethinylestradiol degradation in English rivers. Environ. Toxicol. Chem. 2002, 21, 480–488. [Google Scholar] [CrossRef]
- Liu, B.; Wu, F.; Deng, N.S. UV-light induced photodegradation of 17α-ethynylestradiol in aqueous solutions. J. Hazard. Mater. 2003, 98, 311–316. [Google Scholar] [CrossRef]
- Liu, B.; Liu, X.L. Direct photolysis of estrogens in aqueous solutions. Sci. Total. Environ. 2004, 320, 269–274. [Google Scholar] [CrossRef] [PubMed]
- Neamtu, M.; Frimmel, F.H. Photodegradation of endocrine disrupting chemical nonylphenol by simulated solar UV-irradiation. Sci. Total. Environ. 2006, 369, 295–306. [Google Scholar] [CrossRef] [PubMed]
- An, Y.; De Ridder, D.J.; Zhao, C.; Schoutteten, K.; Vanden, B.; Zheng, H.; Chen, G.; Vanhaecke, L. Adsorption and photocatalytic degradation of pharmaceuticals and pesticides by carbon doped-TiO2 coated on zeolites under solar light irradiation. Water Sci. Technol. 2016, 73, 2868–2881. [Google Scholar] [CrossRef] [Green Version]
- Cuervo, L.; Wielens, B.R.; Salmoria, A.D.; Dallegrave, A.; Ost, F.; Lavayen, V.T.; Sirtori, C. Degradation of pharmaceuticals in different water matrices by a solar homo/heterogeneous photo-Fenton process over modified alginate spheres. Environ. Sci. Pollut. Res. 2019, 26, 6532–6544. [Google Scholar] [CrossRef] [PubMed]
- De la Cruz, R.F.; Dantas, J.; Giménez, S.; Esplugas, N. Photolysis and TiO2 photocatalysis of the pharmaceutical propranolol: Solar and artificial light. Appl. Catal. B Environ. 2013, 130, 249–256. [Google Scholar] [CrossRef]
- Perini, J.A.L.; Tonetti, A.L.; Vidal, C.; Montagner, C.C.; Nogueira, R.F.P. Simultaneous degra-dation of ciprofloxacin, amoxicillin, sulfathiazole and sulfamethazine, and disinfection of hospital effluent after biological treatment via photo-Fenton process under ultraviolet germicidal irradiation. Appl. Catal. B Environ. 2018, 224, 761–771. [Google Scholar] [CrossRef] [Green Version]
- Tzeng, T.-W.; Wang, S.-L.; Chen, C.-C.; Tan, C.-C.; Liu, Y.-T.; Chen, T.-Y.; Tzou, Y.-M.; Chene, C.C.; Hung, J.T. Photolysis and photocatalytic decomposition of sulfamethazine antibiotics in an aqueous solution with TiO2. RSC Adv. 2016, 6, 69301–69310. [Google Scholar] [CrossRef]
- Yang, X.; Chen, Z.; Zhao, W.; Liu, C.; Qian, X.; Zhang, M.; Wei, G.; Khan, F.; Ng, Y.H.; Ok, Y.S. Recent advances in photodegradation of antibiotic residues in water. Chem. Eng. J. 2021, 405, 126806. [Google Scholar] [CrossRef]
- Pereira, J.H.O.S.; Reis, A.C.; Queirós, D.; Nunes, O.C.; Borges, M.T.; Vilar, V.J.P.; Boaventura, R.A.R. Insights into solar TiO2-assisted photocatalytic oxidation of two antibiotics employed in aquatic animal production, oxolinic acid and oxytetracycline. Sci. Total. Environ. 2013, 463, 274–283. [Google Scholar] [CrossRef]
- Ameta, R.; Solanki, M.S.; Benjamin, S.; Ameta, S.C. Photocatalysis in Advanced Oxidation Processes for Wastewater Treatment: Emerging Green Chemical Technology. Photocatalysis 2018, 6, 135. [Google Scholar]
- Belhouchet, N.; Hamdia, B.; Chenchouni, H.; Bessekhouad, Y. Photocatalytic degradation of tetracycline antibiotic using new calcite/titania nanocomposites. J. Photochem. Photobiol. A Chem. 2019, 372, 196–205. [Google Scholar] [CrossRef]
- Fontana, K.B.; Lenzi, G.G.; Seára, E.C.R.; Chaves, E.S. Comparison of photocatalysis and pho-tolysis processes for arsenic oxidation in water. Ecotoxicol. Environ. Saf. 2018, 151, 127–131. [Google Scholar] [CrossRef] [PubMed]
- Velempini, T.; Pillay, P.K. Recent developments in the use of metal oxides for photocatalytic degradation of pharmaceutical pollutants—A review. Mater. Today Chem. 2021, 19, 100380. [Google Scholar] [CrossRef]
- Babić, S.; Ćurković, L.; Ljubas, D.; Ćizmić, M. TiO2 assisted photocatalytic degradation of macrolide antibiotics. Curr. Opin. Green Sustain. Chem. 2017, 6, 34–41. [Google Scholar] [CrossRef]
- Bagheri, S.; Termehyousefi, A.; Do, T.O. Photocatalytic pathway toward degradation of environmental pharmaceutical pollutants: Structure, kinetics and mechanism approach. Catal. Sci. Technol. 2017, 7, 4548–4569. [Google Scholar] [CrossRef]
- Boxi, S.S.; Paria, S. Visible light induced enhanced photocatalytic degradation of organic pollutants in aqueous media using Ag doped hollow TiO2 nanospheres. RSC Adv. 2015, 5, 37657–37668. [Google Scholar] [CrossRef]
- Wang, P.; Zhou, T.; Wang, R.; Lim, T.-T. Carbon-sensitized and nitrogen-doped TiO2 for photocatalytic degradation of sulfanilamide under visible-light irradiation. Water Res. 2011, 45, 5015–5026. [Google Scholar] [CrossRef]
- Antonopoulou, M.; Kosma, C.; Albanis, T.; Konstantinou, I. An overview of homogeneous and heterogeneous photocatalysis applications for the removal of pharmaceutical compounds from real or synthetic hospital wastewaters under lab or pilot scale. Sci. Total. Environ. 2021, 765, 144163. [Google Scholar] [CrossRef]
- Dong, S.; Cui, L.; Zhang, W.; Xia, L.; Zhou, S.; Russell, C.K.; Fand, M.; Feng, J.; Sun, J. Double-shelled ZnSnO3 hollow cubes for efficient photocatalytic degradation of antibiotic wastewater. Chem. Eng. J. 2020, 384, 123279. [Google Scholar] [CrossRef]
- Gaeta, M.; Sanfilippo, G.; Fraix, A.; Sortino, G.; Barcellona, M.; Conti, G.O.; Fragalà, M.E.; Ferrante, M.; Purrello, R.; D’Urso, A. Photodegradation of Antibiotics by Noncovalent Porphyrin-Functionalized TiO2 in Water for the Bacterial Antibiotic Resistance Risk Management. Int. J. Mol. Sci. 2020, 21, 3775. [Google Scholar] [CrossRef]
- Kutuzova, A.; Dontsova, T.; Kwapinski, W. Application of TiO2-Based Photocatalysts to Antibiotics Degradation: Cases of Sulfamethoxazole, Trimethoprim and Ciprofloxacin. Catalysts 2021, 11, 728. [Google Scholar] [CrossRef]
- Koltsakidou, A.; Antonopoulou, M.; Εvgenidou, Ε.; Konstantinou, I.; Lambropoulou, D. A comparative study on the photo-catalytic degradation of Cytarabine anticancer drug under Fe3+/H2O2, Fe3+/S2O82−, and [Fe(C2O4)3]3−/H2O2 processes. Kinetics, identification, and in silico toxicity assessment of generated transformation products. Environ. Sci. Pollut. Res. 2019, 26, 7772–7784. [Google Scholar] [CrossRef]
- Mirzaei, A.; Chen, Z.; Haghighat, F.; Yerushalmi, L. Removal of pharmaceuticals from water by homo/heterogonous Fenton-type processes—A review. Chemosphere 2017, 174, 665–688. [Google Scholar] [CrossRef]
- Palominos, R.; Freer, J.; Mondaca, M.A.; Mansilla, H.D. Evidence for hole participation during the photocatalytic oxidation of the antibiotic flumequine. J. Photochem. Photobiol. A Chem. 2008, 193, 139–145. [Google Scholar] [CrossRef]
- Sirtori, C.; Zapata, A.; Malato, S.; Gernjak, W.; Fernández-Alba, A.R.; Aguera, A. Solar photo-catalytic treatment of quinolones: Intermediates and toxicity evaluation. Photochem. Photobiol. Sci. 2009, 8, 644–651. [Google Scholar] [CrossRef] [PubMed]
- Gao, Y.-Q.; Gao, N.-Y.; Deng, Y.; Yin, D.-Q.; Zhang, Y.-S. Degradation of florfenicol in water by UV/Na2S2O8 process. Environ. Sci. Pollut. Res. 2015, 22, 8693–8701. [Google Scholar] [CrossRef] [PubMed]
- Liu, J.; Yu, X.; Wang, L.; Guo, M.; Tian, S.; Zhu, W. Photocatalytic degradation of oxytetracycline hydrochloride pollutants in marine aquaculture wastewater under visible light. J. Environ. Sci. Health Part A Toxic/Hazard. Subst. Environ. Eng. 2019, 54, 1423–1429. [Google Scholar] [CrossRef] [PubMed]
- Nomura, Y.; Fukahori, S.; Fukada, H.; Fujiwara, T. Removal behaviors of sulfamonomethoxine and its degradationintermediates in fresh aquaculture wastewater using zeolite/TiO2 composites. J. Hazard. Mater. 2017, 340, 427–434. [Google Scholar] [CrossRef]
- Wang, F.; Wang, W.; Yuan, S.; Wang, W.; Hu, Z.-H. Comparison of UV/H2O2 and UV/PS processes for the degradation of thiamphenicol in aqueous solution. J. Photochem. Photobiol. A Chem. 2017, 348, 79–88. [Google Scholar] [CrossRef]
- Zhang, Q.; Chen, S.; Fan, X.; Zhang, H.; Yu, H.; Quan, X. A multifunctional graphene-based nanofiltration membrane under photo-assistance for enhanced water treatment based on layer-by-layer sieving. Appl. Catal. B Environ. 2018, 224, 204–213. [Google Scholar] [CrossRef]
- Zeghioud, H.; Kamagate, M.; Coulibaly, L.S.; Rtimi, S.; Assadi, A.A. Photocatalytic degradation of binary and ternary mixtures of antibiotics: Reactive species investigation in pilot scale. Chem. Eng. Res. Des. 2019, 144, 300–309. [Google Scholar] [CrossRef] [Green Version]
- Zuorro, A.; Fidaleo, M.; Fidaleo, M.; Lavecchia, R. Degradation and antibiotic activity reduction of chloramphenicol in aqueous solution by UV/H2O2 process. J. Environ. Manag. 2014, 133, 302–308. [Google Scholar] [CrossRef] [PubMed]
- Nomura, Y.; Fukahori, S.; Fujiwara, T. Removal of sulfamonomethoxine and its transformation by products from fresh aquaculture wastewater by a rotating advanced oxidation contactor equipped with zeolite/TiO2 composite sheets. Process. Saf. Environ. Prot. 2020, 134, 161–167. [Google Scholar] [CrossRef]
- Do, T.C.M.V.; Nguyen, D.Q.; Nguyen, K.T.; Le, P.H. TiO2 and Au-TiO2 nanomaterials for rapid photocatalytic degradation of antibiotic residues in aquaculture wastewater. Materials 2019, 12, 2434. [Google Scholar] [CrossRef] [PubMed] [Green Version]
- Silva, C.P.; Pereira, D.; Calisto, V.; Martins, M.A.; Otero, M.; Esteves, V.E.; Lima, D.L.D. Biochar-TiO2 magnetic nanocomposites for photocatalytic solar-driven removal of antibiotics from aquaculture effluents. J. Environ. Manag. 2021, 294, 112937. [Google Scholar] [CrossRef]





Publisher’s Note: MDPI stays neutral with regard to jurisdictional claims in published maps and institutional affiliations. |
© 2021 by the authors. Licensee MDPI, Basel, Switzerland. This article is an open access article distributed under the terms and conditions of the Creative Commons Attribution (CC BY) license (https://creativecommons.org/licenses/by/4.0/).
Share and Cite
Silva, C.P.; Louros, V.; Silva, V.; Otero, M.; Lima, D.L.D. Antibiotics in Aquaculture Wastewater: Is It Feasible to Use a Photodegradation-Based Treatment for Their Removal? Toxics 2021, 9, 194. https://doi.org/10.3390/toxics9080194
Silva CP, Louros V, Silva V, Otero M, Lima DLD. Antibiotics in Aquaculture Wastewater: Is It Feasible to Use a Photodegradation-Based Treatment for Their Removal? Toxics. 2021; 9(8):194. https://doi.org/10.3390/toxics9080194
Chicago/Turabian StyleSilva, Carla Patrícia, Vitória Louros, Valentina Silva, Marta Otero, and Diana L. D. Lima. 2021. "Antibiotics in Aquaculture Wastewater: Is It Feasible to Use a Photodegradation-Based Treatment for Their Removal?" Toxics 9, no. 8: 194. https://doi.org/10.3390/toxics9080194
APA StyleSilva, C. P., Louros, V., Silva, V., Otero, M., & Lima, D. L. D. (2021). Antibiotics in Aquaculture Wastewater: Is It Feasible to Use a Photodegradation-Based Treatment for Their Removal? Toxics, 9(8), 194. https://doi.org/10.3390/toxics9080194

