Abstract
Simple Summary
The intestinal tract is one of the most important barriers in an organism. Cyclophosphamide can lead to the destruction of the structural integrity of the intestinal barrier, causing immunosuppression, oxidative stress, and microbiota disorders. Conversely, cow placenta extract can improve the immunity and antioxidant power of the organism, etc. Therefore, it is important to investigate the protective effects of cow placenta extract on the intestinal barrier, intestinal immune function, and intestinal microbiota caused by cyclophosphamide to provide a new approach for its clinical application in the treatment of intestinal injury caused by immunosuppression.
Abstract
Immunosuppression undermines intestinal barrier integrity. Cow placenta extract (CPE) primarily consists of active peptides with immunomodulatory and antioxidant effects. This study aimed to examine the preventive effect of CPE against intestinal damage induced by cyclophosphamide (Cy) in immunosuppressed mice. Thirty-six mice were randomly allocated into three groups: control group (C), model group (M), and treatment group (CPE). The mice in the CPE group were provided with 1500 mg/kg/day of CPE via gavage. In the last 3 days, mice in the groups M and CPE received intraperitoneal injections of 80 mg/kg/day of Cy. The results showed that CPE improved intestinal barrier function by decreasing serum d-Lactate (D-LA) levels and diamine oxidase (DAO) activity, while elevating the relative expression of Occludin, zonula occludens-1 (ZO-1), and mucin-2 (MUC-2) mRNA. Additionally, CPE improved the immune organ index and elevated the levels of secretory immunoglobulin A (sIgA), superoxide dismutase (SOD), interleukin-1beta (IL-1β), interleukin-4 (IL-4), interleukin-10 (IL-10), and tumor necrosis factor-α (TNF-α) in the intestine, thereby enhancing intestinal mucosal immune function. Furthermore, CPE improved the diversity of intestinal microbiota and increased the abundance of Candidatus_Saccharimonas, Psychrobacter, and Enterorhabdus, which promoted the proper functioning of the intestines. These findings suggest that CPE effectively ameliorates Cy-induced intestinal damage by enhancing the intestinal barrier, improving immune function, and restoring intestinal microbiota.
1. Introduction
The intestinal tract, known as the primary digesting organ and the largest immune organ, acts as the body’s primary barrier against the invasion of pathogens due to its extensive surface area and abundance of immune cells []. Nevertheless, the integrity of the intestinal barrier can be undermined by various causes, such as immunosuppression, oxidative stress, and inflammation []. Immunosuppression, in particular, compromises the integrity of the intestinal barrier, thereby enabling the transfer of pathogenic microorganisms and other deleterious substances into the intestine, which in turn leads to intestinal inflammation and microbial imbalance []. Cyclophosphamide (Cy) is frequently used to construct immunosuppression models. It suppresses cellular and humoral immunity by altering DNA structure, diminishing the quantity of lymphocytes and macrophages, and decreasing the weight of immune organs, leading to immunosuppression []. Prolonged or high-dose administration of Cy (80 or 100 mg/kg) has been shown to impair the integrity of the intestinal mucosa, disrupt the morphology of the intestinal villi, increase the permeability of the intestinal mucosal barrier [], induce oxidative damage within intestinal tissues [], and lead to immune dysfunction []. In addition, Cy can also change the intestinal microbes and increase the number of potential pathogenic bacteria []. In summary, Cy induces significant immunosuppression and impairs the normal functioning of the intestine, which is essential for animal production. Thus, it is crucial to discover appropriate pharmaceuticals to alleviate the harm inflicted by immunosuppression on the intestines.
Bioactive peptides demonstrate a broad spectrum of biological activities that beneficially impact intestinal homeostasis by modulating barrier function, immune response, and the composition of the intestinal microbiota [,,]. The placenta, often referred to as “Ziheche” in traditional Chinese medicine, is predominantly composed of bioactive peptides that have effects on promoting cell proliferation, immunoregulation, and antioxidants []. Studies have shown that porcine placenta extract can boost the immune system in mice by boosting the immune organ index and levels of immune-related cytokines []. Immunomodulatory peptides isolated from bovine placenta exhibit a dose-dependent stimulatory effect on lymphocyte proliferation []. The cow placenta is an abundant natural resource that has not been efficiently used. Thus far, we have established the optimal extraction conditions and identified the main components of cow placenta extract by mass spectrometry, which has proven to possess good antioxidative and immunomodulatory effects [,]. This is closely connected to the requirement for therapy of Cy-induced immunosuppression and intestinal injury. This work seeks to examine the protective effect of cow placenta extract (CPE) on the intestinal barrier, immunology, and microbiota in immunosuppressed mice induced by Cy. This offers a promising approach to mitigate the intestinal damage caused by immunosuppression.
2. Materials and Methods
2.1. Preparation of CPE
CPE was prepared according to the previous research methods of our group []. Cow placenta was hydrolyzed with papain, after which the supernatant was collected and freeze-dried. The components of CPE were identified by mass spectrometry technology to contain 128 peptides, with peptide lengths ranging from 7 to 25 amino acids and molecular weights in the range of 800 to 3100 Da [].
2.2. Animals and Experimental Design
Thirty-six male Kunming mice, aged 8 weeks and weighing 43.75 ± 0.19 g, were acquired from Beijing Sibeifu Biotechnology Co., Ltd. (Beijing, China). Following one week of adaptive feeding, the mice were randomly allocated into three groups (n = 12): a control group (C), a Cy model group (M), and the cow placental extract treatment group (CPE). The mice in the CPE group received 1500 mg/kg/day of CPE via gavage. Concurrently, groups C and M received an equivalent volume of physiological saline orally. The experimental period was 28 days, and in the last 3 days, groups M and CPE were administered 80 mg/kg/day [] of Cy intraperitoneally, while group C received an equivalent volume of saline injection. The selection of the CPE dosage was based on preliminary experiments conducted across four concentration gradients (500, 1000, 1500, and 2000 mg/kg). The results of the preliminary experiments are included in the Supplementary Materials.
The criteria for successful model establishment included the following: the mice exhibited decreased body weight and immune organ index, structural disruption of intestinal villi with variable lengths and sparse arrangement, reduced levels of intestinal immune-related cytokines, and an impaired intestinal barrier characterized by increased permeability. The above results were consistent with other reports [,,].
2.3. Preparation of Serum and Tissue
The mice underwent a 12 h fasting period following the final treatment and were anesthetized via inhalation of 2% isoflurane. Blood had been taken from the mouse’s eyes, permitted to stand for 30 min, and centrifuged at 4 °C and 9200× g for 5 min, after which the serum was isolated and preserved. The intestines were collected for subsequent tests by laparotomy. The spleen and thymus were collected and weighed, and the immune organ index was computed using the subsequent formula:
2.4. Measurement of Serum Cytokines Level
The levels of diamine oxidase (DAO) and d-Lactate (D-LA) in serum samples were measured according to the instructions provided with the assay kit (Shanghai Enzyme-linked, Shanghai, China).
2.5. Histomorphometry of Small Intestine
The tissues of the duodenum, jejunum, and ileum were fixed in 10% formaldehyde and later imbedded in paraffin blocks. These blocks were sliced and dyed with hematoxylin and eosin. Images were acquired using an optical microscope at a magnification of 100×. The lengths of the intestinal villi and the depths of the crypts were quantified using ImagePro Plus 6.0 software.
2.6. Determination of Cytokines, sIgA and β-DF in Jejunum Tissue
The jejunal tissue was weighed and homogenized thoroughly in a phosphate-buffered saline (PBS) glass homogenizer under ice bath conditions at a mass-to-volume ratio of 1:9. After homogenization, the supernatant was obtained using centrifugation at 4600× g for 20 min at 4 °C. The levels of superoxide dismutase (SOD), malondialdehyde (MDA), tumor necrosis factor-α (TNF-α), interleukin-1beta (IL-1β), interleukin-4 (IL-4), interleukin-10 (IL-10), secretory immunoglobulin A (sIgA), and β-DF (β-Defensins) were determined according to the instructions provided with the assay kit (Shanghai Enzyme-linked, Shanghai, China).
2.7. Determination of Intestine mRNA
Total RNA was isolated from jejunal tissue utilizing the TRIzol RNA extraction reagent (Servicebio, Wuhan, China). Subsequently, cDNA was synthesized using the FastQuant RT Kit (Servicebio, Wuhan, China) and amplified via PCR on a Bio-Rad instrument (Hercules, CA, USA). GAPDH functioned as the internal reference gene for real-time quantitative PCR analysis. The data were processed using the 2−ΔΔCT method. Primers were synthesized by Shanghai Sangon Biotech (Shanghai) Co., Ltd. (Shanghai, China). The sequences are detailed in Table 1.

Table 1.
Sequences of the primers used for RT-PCR.
2.8. Microbiota 16S rDNA Amplicon Sequencing
The whole DNA of the fecal microbiome was isolated using the CTAB method. Subsequently, PCR amplification of the microbial 16S rDNA gene’s V3–V4 region was conducted, employing the forward primer 341F (5′-CCTACGGGNGGCWGCAG-3′) and the reverse primer 805R (5′-GACTACHVGGGTATCTAATCC-3′). The quality of the resulting library was assessed using the Agilent 2100 Bioanalyzer and the Illumina library quantification kit. Paired-end sequencing (2 × 250 bp) was then performed on a NovaSeq 6000 sequencer at Lianchuan Biotech Co., Ltd. (Hangzhou, China). For microbial community analysis, the Kruskal–Wallis rank sum test was employed to identify species with significant differences between groups. Subsequently, the Wilcoxon rank sum test was conducted to determine whether all subspecies exhibiting significant differences converged at the same taxonomic level. Additionally, linear discriminant analysis (LDA) was used, along with the LEfSe algorithm, to screen for target differential species based on an LDA score ≥ 3 and p < 0.05.
2.9. Statistical Analysis
All data were expressed as mean ± standard deviation (SD). One-way analysis of variance and Duncan’s multiple range test were employed to assess the significance of differences between groups. Statistical analysis was conducted using SPSS statistical software version 23 (SPSS Inc., Chicago, IL, USA). A p-value of less than 0.05 was deemed statistically significant.
3. Results
3.1. Results of Body Weight and Immune Organ Index of Mice in Each Group
The body weight of mice increased with the duration of feeding throughout the 21 days preceding the trial, with no significant differences (p > 0.05) noted between groups (Table 2). On day 28, the body weight of group M was significantly lower (p < 0.01) than that of group C, whereas the body weight of group CPE was significantly greater (p < 0.05) than that of group M (Figure 1A). The thymus and spleen index in group M was significantly lower (p < 0.01) than that in group C, whereas the index in group CPE was significantly greater (p < 0.01) than that in group M (Figure 1B,C).

Table 2.
Changes in body weight of mice during the experiment.

Figure 1.
Test results of body weight and immune organ index in experimental mice. (A) Mouse body weight on the 28th day; (B) thymic index in each group; (C) spleen index in each group. ** indicates that group M exhibited statistical significance compared to group C. ** indicates p < 0.01; # indicates that group CPE exhibited statistical significance compared to group M. # indicates p < 0.05, ## indicates p < 0.01 (n = 12).
3.2. Detection Results of Intestinal Permeability Index in Each Group of Experimental Mice
Figure 2 illustrates the concentrations of DAO and D-LA among various groups of mice. In comparison to group C, DAO and D-LA levels exhibited a highly significant rise (p < 0.01) in group M. In comparison to group M, serum DAO levels in group CPE were dramatically reduced (p > 0.05), while D-LA levels were markedly diminished (p < 0.01).

Figure 2.
Detection results of intestinal permeability index in each group of experimental mice. (A) Diamine oxidase detection results in each group. (B) D-lactate results in each group. ** indicates that group M exhibited statistical significance compared to group C. ** indicates p < 0.01; # indicates that group CPE exhibited statistical significance compared to group M. # indicates p < 0.05, ## indicates p < 0.01 (n = 12).
3.3. Results of Intestinal Sections of Mice in Each Group
H&E staining was employed to evaluate intestine morphological and structural damage in mice (Figure 3). The intestinal mucosal tissue in the control group appeared structurally intact, with regularly distributed villi displaying distinct boundaries. Conversely, in group M, the intestinal mucosal tissue displayed damage, characterized by villi of inconsistent lengths and sparse configurations. Nonetheless, the administration of CPE enhanced the structure and morphology of the small intestine mucosal tissue to differing extents. Furthermore, the heights of duodenal and jejunal villi, along with the villus height/crypt depth ratios (V/C ratios), were significantly diminished (p < 0.01 or p < 0.05) in group M relative to group C, although the depth of the cecum crypt was dramatically increased (p < 0.05). Moreover, the height of duodenal and jejunal villi was significantly increased (p < 0.01 or p < 0.05) in group CPE relative to group M.

Figure 3.
Results of intestinal sections of mice in each group. (A) The effect of CPE on the morphological characteristics of the duodenum in each group. (B) The influence of CPE on the morphological characteristics of the jejunum in each group. (C) The influence of CPE on the morphological characteristics of the ileum in each group; scale: 100 µm, magnification: 100×. (D) The effect of CPE on the height of small intestinal villi in each group. (E) Depth of small intestinal villous crypt in each group. (F) The ratio of small intestinal villus height to crypt depth in each group. * indicates that group M exhibited statistical significance compared to group C. * indicates p < 0.05, ** indicates p < 0.01. # indicates that group CPE exhibited statistical significance compared to group M. # indicates p < 0.05, ## indicates p < 0.01 (n = 10).
3.4. Detection Results of sIgA, β-DF, Oxidation, and Cytokines in Intestinal Tissue of Mice in Each Group
As illustrated in Figure 4, the activity of SOD and the levels of sIgA, β-DF, TNF-α, IL-1β, IL-4, and IL-10 were markedly diminished (p < 0.01), while the level of MDA was dramatically elevated (p < 0.01) in group M compared with group C. The administration of CPE significantly enhanced (p < 0.01 or p < 0.05) the activity of SOD and the levels of sIgA, β-DF, TNF-α, IL-1β, IL-4, and IL-10. Despite a declining trend in MDA levels, no significant difference was observed (p > 0.05).

Figure 4.
Detection of sIgA, β-DF, and cytokines in intestinal tissue of mice in each group. (A) Detection results of sIgA in each group. (B) Detection results of β-DF in each group. (C) Detection results of SOD in each group. (D) Detection results of MDA in each group. (E) Detection results of TNF-α in each group. (F) Detection results of IL-1β in each group. (G) Detection results of IL-4 in each group. (H) Detection results of IL-10 in each group. ** indicates that group M exhibited statistical significance compared to group C. ** indicates p < 0.01. # indicates that group CPE exhibited statistical significance compared to group M. # indicates p < 0.05, ## indicates p < 0.01 (n = 12).
3.5. Detection Results of mRNA Relative Expression Levels of Intestinal Barrier Related Genes in Mice from Various Experimental Groups
To further assess the extent of damage to the intestinal barrier, we analyzed the expression of genes related to intestinal barrier function via qPCR. As illustrated in Figure 5, group M demonstrated reduced gene expression levels of ZO-1, Occludin, Claudin-1, and MUC-2 in comparison to group C (p < 0.01). The relative expression levels of ZO-1, Occludin, Claudin-1, and MUC-2 genes in group CPE were considerably elevated (p < 0.01 or p < 0.05) compared to those in group M.

Figure 5.
Detection results of relative expression levels of intestinal barrier genes and mucin 2 (MUC2) mRNA in mice from various experimental groups. ** indicates that group M exhibited statistical significance compared to group C. ** indicates p < 0.01. # indicates that group CPE exhibited statistical significance compared to group M. # indicates p < 0.05, ## indicates p < 0.01 (n = 6).
3.6. CPE Modulated the Overall Structure of Gut Microbiota in Cy-Treated Mice
Fecal samples were collected for subsequent 16S rDNA sequencing to examine gut microbiota. A total of 1,777,588 highly qualified reads were obtained, averaging 74,066 reads per sample. Operational Taxonomic Units (OTUs) were delineated using a 97% pairwise identity criteria.
As illustrated in Table 3, in comparison to group C, the Chao1, Shannon, and Simpson indices in group M exhibited an upward tendency; however, no statistically significant difference was observed (p > 0.05). The Chao1 index was markedly reduced in group CPE compared to group M (p < 0.05). Moreover, the Chao1, Shannon, and Simpson indices in the CPE group were more similar to those of the control group.

Table 3.
Alpha diversity index.
Figure 6 illustrates a markedly significant separation trend across the samples within each category. Group M exhibited a significant divergence from group C, indicating a disparity in species composition between the two groups. Furthermore, group CPE demonstrated a closer connection to group C.

Figure 6.
Beta diversity index. (A) Principal coordinates analysis (PCoA). (B) Nonmetric multidimensional scaling (NMDS). (n = 8).
As shown in Figure 7A, at the phylum level, Firmicutes, Bacteroidota, and Verrucomicrobiota were the main phyla. The relative abundances in each group were 45.61%, 27.76%, and 4.15% in group C; 37.73%, 40.30%, and 10.90% in group M; and 39.59%, 36.31%, and 3.87% in group CPE. In group M compared to group C, the relative abundance of Firmicutes decreased (p > 0.05) and Patescibacteria decreased significantly (p < 0.01), while Bacteroidota and Verrucomicrobiota increased (p > 0.05). In the CPE group, the relative abundance of Firmicutes increased (p > 0.05) compared to group M. Additionally, the relative abundance of Patescibacteria increased significantly (p < 0.05), while Bacteroidota decreased (p > 0.05) and Verrucomicrobiota also decreased (p < 0.05).

Figure 7.
Detection results of microbial community composition in each group of experimental mice. (A) Relative abundance of microbes at the phylum level. (B) Relative abundance of microbes at the genus level. * indicates that group M exhibited statistical significance compared to group C. * indicates p < 0.05, ** indicates p < 0.01. # indicates that group CPE exhibited statistical significance compared to group M. # indicates p < 0.05, ## indicates p < 0.01 (n = 8).
The distribution of gut microbiota at the genus level in each group is shown in Figure 7B. The gut microbiota of mice was made up primarily of Ligilactobacillus, Lactobacillus, Akkermansia, Lachnospiraceae_NK4A136_group, Desulfovibrio, Carnobacterium, Candidatus_Saccharimonas, Alistipes, Psychrobacter, and Dubosiella. Among all classified genera, the abundance of Ligilactobacillus was the highest (group C: 10.02%, group M: 4.80%, group CPE: 7.84%). Compared to group C, the abundance of Candidatus_Saccharimonas and Enterorhabdus was significantly reduced in group M (p < 0.01). Additionally, Carnobacterium and Psychrobacter showed a decreasing trend (0.05 < p < 0.1), while the abundances of Dubosiella and Allobaculum were significantly higher (p < 0.01 or p < 0.05). Akkermansia exhibited a trend of increase (p > 0.05). In the CPE group, there was a significant increase in the abundance of Candidatus_Saccharimonas and Psychrobacter compared to group M (p < 0.05). Conversely, Carnobacterium abundance was significantly decreased (p < 0.01), and Allobaculum abundance tended to decrease (0.05 < p < 0.1).
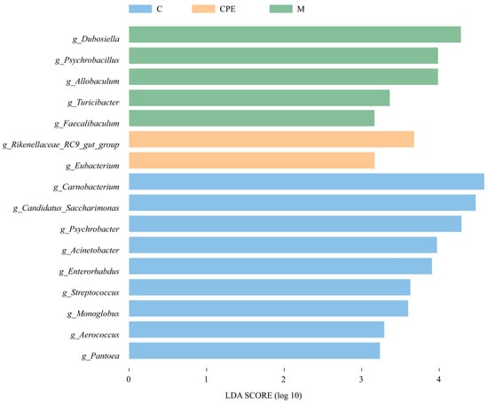
To identify the key phylotypes of gut bacteria across different groups, we analyzed species differences using LDA, combining LEfSe algorithm and p-values to assess the impact of species abundance on the variation among the groups. We screened for differential species with LDA score ≥ 3 and p < 0.05. As shown in Figure 8, group C exhibited a greater number of bacterial groups compared to group M, while group CPE had the fewest. The primary bacterial groups identified in group C included Carnobacterium, Candidatus_Saccharimonas, Psychrobacter, Acinetobacter, Enterorhabdus, Pantoea, Streptococcus, Monoglobus, and Aerococcus. The main bacterial groups identified in group M included Dubosiella, Psychrobacillus, Allobaculum, Turicibacter and Faecalibaculum. The main bacterial groups identified in group CPE included Rikenellaceae_RC9_gut_group and Eubacterium.

Figure 8.
Linear discriminant analysis score (n = 8).
4. Discussion
4.1. Effect of CPE on Body Weight in Mice
Cy can cause immunosuppression and induce body weight loss in mice [,,]. The results of this study showed a significant decrease in body weight in mice of group M after intraperitoneal injection of Cy, which aligned with the aforementioned research findings. Furthermore, the body weight of mice in the CPE-treated group was higher than that of mice in group M and was similar to the body weight of mice in the normal group, indicating that CPE mitigated Cy-induced body weight loss. This may be related to the fact that the main components of CPE are small-molecule active peptides, which can rapidly provide energy to the body by supplementing amino acids, regulating appetite, and improving intestinal villus morphology, thereby promoting growth []. For instance, shrimp peptide hydrolysates and bioactive liver peptides have been shown to improve food intake and increase body weight in immunosuppressed mice [,], which is consistent with the results of this study.
4.2. Effect of CPE on Immune Function in Mice
The thymus and spleen are essential immunological organs in the body []. A reduction in the weight of these organs is indicative of a compromised immune function [,,]. In this study, the spleen and thymus index of mice in group M were significantly reduced, indicating that an immunosuppression model was successfully established. Conversely, the thymus and spleen index of mice in group CPE were significantly higher than those in group M, suggesting that CPE promotes the recovery of spleen and thymus functions, and enhances immune function. Cytokines serve as crucial mediators and regulators of the immune response, and their secretion levels can reflect the body’s immune function []. Additionally, studies have reported that IL-4, IL-10, and TNF-α are closely associated with the production of mucosal sIgA [,]. In this experiment, intraperitoneal injection of Cy significantly reduced the levels of TNF-α, IL-1β, IL-4, IL-10, sIgA, and β-DF in the intestinal mucosa compared to normal mice, indicating a disruption of intestinal immune homeostasis. Bioactive peptides have demonstrated immunomodulatory effects. For example, ovotransferrin has been reported to promote the secretion of various cytokines (IL-4, IL-10, TNF-α, and INF-γ) and sIgA and counteract Cy-induced intestinal injury []. In this experiment, administration of CPE in mice increased the levels of TNF-α, IL-1β, IL-4, IL-10, and sIgA, indicating that CPE promoted the recovery of cytokines in the intestinal mucosa and promoted humoral immunity, thereby ameliorating CY-induced intestinal injury in mice. This is consistent with findings that CPE enhances the immune organ index, indicating that it may regulate immune cell activation and thus promote cytokine release. Although the changes in β-DF levels in the CPE-treated group did not reach statistical significance, there was a trend toward increased secretion. β-DF is primarily produced by intestinal epithelial cells []. This phenomenon may be associated with our histological analysis results, which demonstrated that Cy injections in mice caused severe intestinal tissue damage, which was partially repaired by CPE administration.
4.3. Effect of CPE on the Organization of Intestinal Mucosa in Mice
The small intestine is the primary site for nutrient digestion and absorption, and the morphology of the intestinal mucosa is a crucial indicator of intestinal health []. This study demonstrates that Cy administration significantly impacts the structural integrity of the small intestine, characterized by villus breakage, villus atrophy, and crypt destruction, indicating compromised intestinal health. In contrast, mice treated with CPE exhibited significant improvements in small intestine morphology, characterized by increased villus length, decreased crypt depth, and an elevated V/C ratio. This aligns with the observed body weight gain following CPE treatment. Moreover, compound small peptides derived from traditional Chinese medicine have demonstrated the ability to enhance intestinal mucosal morphology and augment crypt secretion function in Cy-induced immunosuppressed mice, consequently restoring normal intestinal absorption function []. In conclusion, CPE repaired villus damage, thereby regulating intestinal absorption functions and supporting the growth and development of mice.
4.4. Effects of CPE on Intestinal Oxidation Indicators in Mice
Intraperitoneal injection of CY induced oxidative damage in the intestines []. SOD and MDA are typical oxidative stress markers, which can reflect the degree of oxidative injury in the intestinal tract []. In this experiment, intraperitoneal injection of CY caused an increase in MDA levels and a decrease in SOD activity in intestines, indicating that the intestinal tract was in a state of oxidative stress. According to reports, oyster peptides have been shown to significantly increase SOD mRNA expression levels and decrease MDA levels in the intestines of immunosuppressed mice []. The results of this study indicated that CPE administration increased SOD activity in the intestines of mice, suggesting that CPE could alleviate Cy-induced oxidative damage. Previous studies had found that CPE has good antioxidant function, which could regulate oxidative stress in the body by increasing serum CAT, GSH-Px, SOD, and GSH activities and decreasing MDA levels []. However, although the difference in MDA levels in the CPE group compared to the M group was not statistically significant, it showed a decreasing trend. This might have been because MDA, as a final product of lipid oxidation, is influenced by upstream oxidative pathways [] and may have required more time to reflect the drug’s effect.
4.5. Effect of CPE on Intestinal the Barrier in Mice
DAO activity and D-LA levels can serve as indicators reflecting the integrity and degree of damage to the intestinal barrier [,]. Mucin 2 (MUC-2), produced by goblet cells, constitutes the chemical barrier adhering to epithelial surfaces, guarding against pathogenic intrusion []. Claudin-1, Occludin, and ZO-1 are the principal tight junction proteins that can maintain tight junction integrity and are crucial for maintaining intestinal barrier function []. In this study, compared to the normal group, intraperitoneal injection of Cy increased serum DAO activity and D-LA levels in mice, while the relative mRNA expression levels of ZO-1, Occludin, Claudin-1, and MUC-2 in the intestine were reduced. This finding is consistent with the results reported by Cai et al. [], indicating that Cy administration disrupts the intestinal barrier in mice. Bioactive peptides can act as trophic factors, providing energy to tight junction proteins by increasing protein synthesis []. Shrimp peptide hydrolysate restores mouse barrier integrity by restoring goblet cell populations and increasing tight junction protein production []. The results of this study showed that in the CPE treatment group, serum DAO activity and D-LA levels decreased, while the mRNA expression levels of ZO-1, Occludin, and MUC-2 in the intestine increased. This suggested that CPE enhanced the integrity of tight junctions by regulating intestinal barrier gene expression, thereby effectively alleviating Cy-induced intestinal barrier dysfunction.
4.6. Effect of CPE on the Intestinal Microbiota in Mice
The intestinal tract is a complex microbial ecosystem, wherein microbes engage in diverse interactions with the host, significantly influencing the regulation of the host’s immune system via bacterial components and metabolites []. Therefore, we studied the effect of CPE on the intestinal microbes of Cy-treated mice using 16S rDNA sequencing technology. Our study showed that significant changes in microbial community beta diversity were observed after Cy administration, which was consistent with the existing research results []. CPE can mitigate these negative effects, illustrated by the fact that the structure of the CPE group was more similar to the control group. Furthermore, CPE treatment can restore microbial community diversity.
At the phylum level, Firmicutes and the Bacteroidota were the main dominant microbes in the mouse gut [,]. In this study, compared with normal group mice, the abundance of Firmicutes in group M was reduced, the abundance of Bacteroidota was increased, and the ratio of Firmicutes/Bacteroidota (F/B) was reduced. A decrease in the F/B ratio may lead to an imbalance between regulatory T cells and Th17 cells, resulting in dysfunction of the intestinal immune system []. Additionally, the relative abundance of Patescibacteria was reduced in group M compared to group C. This organism mainly exists in anaerobic environments, so it is hypothesized that the decrease in abundance was due to oxidative stress in the intestine of Cy-injected mice in the early stage, which destroyed the anaerobic environment required for the growth of Patescibacteria. Then, in the late stage, the infection is dominated by Bacteroidota, which inhibits its proliferation. In contrast, CPE can improve the intestinal barrier function, reduce the level of oxidative stress, and maintain the anaerobic environment of the intestinal tract, which is conducive to the recovery of Patescibacteria abundance.
At the genus level, group M had a high abundance of the genera Dubosiella, Allobaculum, and Akkermansia. Cy can cause a decrease in the abundance of Akkermansia, as reported by Yue [] and Zhang []. While Akkermansia plays a role in regulating host immune responses [], it is also a mucin-degrading bacterium, and excessive levels can compromise the mucus layer []. Thus, balancing its abundance is critical to maintaining intestinal health. Furthermore, studies have shown that Allobaculum facilitates the production of short-chain fatty acids (SCFA) in the intestinal tract, which can play an anti-inflammatory role []. Dubosiella improves oxidative stress and increases beneficial bacteria such as Lactobacillus and Bifidobacterium []. This may be due to the fact that Cy was injected during the last three days of the trial in this study, and the damage to the intestinal homeostasis was shallow. The presence of beneficial bacteria may indicate an attempt by the gut microbiome to re-establish balance, thereby enhancing the gut’s resilience to damage. CPE treatment was able to increase the relative abundance of Candidatus_Saccharimonas and Psychrobacter. Candidatus_Saccharimona maintains normal gut function and plays an important role in driving the mature host immune system []. The genus Psychrobacter is beneficial for improving nutrient utilization and innate immunity in the animal gut and plays a positive role in improving gut microbial diversity []. In summary, CPE promotes the remodeling of the intestinal microbiota in immunosuppressed mice induced by Cy, but the bacterial abundance of these mice showed some novel changes compared with normal mice, and these changes need to be further investigated.
5. Conclusions
This study reports the beneficial effects of CPE in preventing intestinal damage induced by Cy in immunosuppressed mice, confirming that CPE mitigates the intestinal damage caused by Cy, raises the immune organ index, and increases the levels of intestinal immune-related cytokines, secretory sIgA, and β-DF, consequently enhancing the immune function of the intestinal mucosa. Moreover, CPE counteracts the intestinal barrier breakdown and oxidative damage caused by Cy, hence decreasing intestinal permeability. In addition, CPE mitigates the dysbiosis of gut microbiota caused by Cy and restores the balance of microbial ecology (Figure 9). This provides a new approach for its clinical use in the treatment of immunosuppression-induced intestinal damage.

Figure 9.
Cow placenta extract ameliorates cyclophosphamide-induced intestinal damage by enhancing the intestinal barrier and immune function and restoring intestinal microbes. Note: The green arrows indicate the effect of CPE treatment, and the red arrows indicate the effect of Cy administration on mice. ↑: upregulation; ↓: downregulation. The figure was created using BioRender.
Supplementary Materials
The following supporting information can be downloaded at: https://www.mdpi.com/article/10.3390/vetsci11100505/s1, Figure S1: Results of body weight and immune organ index in preliminary experimental mice; Figure S2: Results of serum DAO in preliminary experimental mice; Figure S3: Results of intestinal sIgA in preliminary experimental mice.
Author Contributions
Conceptualization, Y.Z., A.T. and Z.Z. (Zeru Zhang); methodology, L.F. and L.S.; software, A.T. and W.Z.; validation, X.D. and Y.H.; formal analysis, Y.Z. and A.T.; investigation, Z.Z. (Zeru Zhang), Z.Z. (Zhi Zeng) and W.Z.; resources, W.L., L.F. and L.S.; data curation, W.Z. and Z.Z. (Zeru Zhang); writing—original draft preparation, Y.Z., A.T. and Z.Z. (Zeru Zhang); writing—review and editing, Y.H., L.F. and L.S.; visualization, Z.Z. (Zhi Zeng) and Y.L.; supervision, L.S.; project administration, L.F. and L.S.; funding acquisition, W.L., X.D. and L.S. All authors have read and agreed to the published version of the manuscript.
Funding
This study was supported by the National Natural Science Foundation of China (32473109), the Key R&D Project of Sichuan Provincial Science and Technology Department (2024YFFK0146), the Project from Sichuan Center for Rural Development Research (CR2225), and the Key Technology Innovation Support Project for Industrial Development of Jiangsu Agri-animal Husbandry Vocational College (NSF2021ZR01).
Institutional Review Board Statement
This study was performed in strict accordance with the guidelines of the Care and Use of Laboratory Animals of China, and all procedures were approved by the Animal Care and Use Committee of Sichuan Agricultural University (No.2013-028).
Informed Consent Statement
Not applicable.
Data Availability Statement
The data presented in this study are available in the article/Supplementary Materials; further inquiries can be directed to the corresponding authors. All sequencing data are available through the NCBI Sequence Read Archive under the accession number PRJNA1166846.
Acknowledgments
Authors express thanks to all persons who contributed to this study.
Conflicts of Interest
The authors declare no conflicts of interest.
References
- Wells, J.M.; Brummer, R.J.; Derrien, M.; MacDonald, T.T.; Troost, F.; Cani, P.D.; Theodorou, V.; Dekker, J.; Meheust, A.; de Vos, W.M.; et al. Homeostasis of the gut barrier and potential biomarkers. Am. J. Physiol. Gastrointest. Liver Physiol. 2017, 312, G171–G193. [Google Scholar] [CrossRef] [PubMed]
- Groschwitz, K.R.; Hogan, S.P. Intestinal barrier function: Molecular regulation and disease pathogenesis. J. Allergy Clin. Immunol. 2009, 124, 3–20. [Google Scholar] [CrossRef] [PubMed]
- Zhou, R.; He, D.; Xie, J.; Zhou, Q.; Zeng, H.; Li, H.; Huang, L. The Synergistic Effects of Polysaccharides and Ginsenosides from American Ginseng (Panax quinquefolius L.) Ameliorating Cyclophosphamide-Induced Intestinal Immune Disorders and Gut Barrier Dysfunctions Based on Microbiome-Metabolomics Analysis. Front. Immunol. 2021, 12, 665901. [Google Scholar] [CrossRef]
- Wang, Z.; Li, Y.; Wang, C.; Xia, H.; Liang, Y.; Li, Z. Oral administration of Urtica macrorrhiza Hand.-Mazz. polysaccharides to protect against cyclophosphamide-induced intestinal immunosuppression. Exp. Ther. Med. 2019, 18, 2178–2186. [Google Scholar] [CrossRef] [PubMed]
- Huang, J.; Huang, J.; Li, Y.; Wang, Y.; Wang, F.; Qiu, X.; Liu, X.; Li, H. Sodium Alginate Modulates Immunity, Intestinal Mucosal Barrier Function, and Gut Microbiota in Cyclophosphamide-Induced Immunosuppressed BALB/c Mice. J. Agric. Food Chem. 2021, 69, 7064–7073. [Google Scholar] [CrossRef]
- Zhao, Z.-L.; Xu, X.-G.; Chang, Y.-C.; Xu, Y.-P.; Zhou, X.-Q.; Su, H.-L.; Cui, X.-H.; Wan, X.-Q.; Mao, G.-X. Protective effect of mussel polysaccharide on cyclophosphamide-induced intestinal oxidative stress injury via Nrf2-Keap1 signaling pathway. Food Sci. Nutr. 2023, 11, 4233–4245. [Google Scholar] [CrossRef]
- Li, Y.; Zheng, J.; Wang, Y.; Yang, H.; Cao, L.; Gan, S.; Ma, J.; Liu, H. Immuno-stimulatory activity of Astragalus polysaccharides in cyclophosphamide-induced immunosuppressed mice by regulating gut microbiota. Int. J. Biol. Macromol. 2023, 242, 124789. [Google Scholar] [CrossRef]
- Yang, J.; Liu, K.-X.; Qu, J.-M.; Wang, X.-D. The changes induced by cyclophosphamide in intestinal barrier and microflora in mice. Eur. J. Pharmacol. 2013, 714, 120–124. [Google Scholar] [CrossRef]
- Bao, X.; Wu, J. Impact of food-derived bioactive peptides on gut function and health. Food Res. Int. 2021, 147, 110485. [Google Scholar] [CrossRef]
- Martínez-Augustin, O.; Rivero-Gutiérrez, B.; Mascaraque, C.; Sánchez de Medina, F. Food derived bioactive peptides and intestinal barrier function. Int. J. Mol. Sci. 2014, 15, 22857–22873. [Google Scholar] [CrossRef]
- Yang, Q.; Lyu, S.; Xu, M.; Li, S.; Du, Z.; Liu, X.; Shang, X.; Yu, Z.; Liu, J.; Zhang, T. Potential Benefits of Egg White Proteins and Their Derived Peptides in the Regulation of the Intestinal Barrier and Gut Microbiota: A Comprehensive Review. J. Agric. Food Chem. 2023, 71, 13168–13180. [Google Scholar] [CrossRef] [PubMed]
- Shen, L.-H.; Fan, L.; Zhang, Y.; Zhu, Y.-K.; Zong, X.-L.; Peng, G.-N.; Cao, S.-Z. Protective Effect and Mechanism of Placenta Extract on Liver. Nutrients 2022, 14, 5071. [Google Scholar] [CrossRef] [PubMed]
- Zhou, Z.; Wang, D.; Liu, W.; He, L.; Liang, P.; Hao, J.; Sun, Q. The immunity-promoting activity of porcine placenta in mice as an immunomodulator for functional foods. Food Sci. Hum. Wellness 2022, 11, 1475–1481. [Google Scholar] [CrossRef]
- Fang, X.-P.; Xia, W.-S.; Sheng, Q.-H.; Wang, Y.-L. Purification and characterization of an immunomodulatory Peptide from bovine placenta water-soluble extract. Prep. Biochem. Biotechnol. 2007, 37, 173–184. [Google Scholar] [CrossRef]
- Shen, L.-H.; Fan, L.; Zhang, Y.; Shen, Y.; Su, Z.-T.; Peng, G.-N.; Deng, J.-L.; Zhong, Z.-J.; Wu, X.-F.; Yu, S.-M.; et al. Antioxidant Capacity and Protective Effect of Cow Placenta Extract on D-Galactose-Induced Skin Aging in Mice. Nutrients 2022, 14, 4659. [Google Scholar] [CrossRef]
- Shen, L.; Fan, L.; Luo, H.; Li, W.; Cao, S.; Yu, S. Cow placenta extract ameliorates d-galactose-induced liver damage by regulating BAX/CASP3 and p53/p21/p16 pathways. J. Ethnopharmacol. 2024, 323, 117685. [Google Scholar] [CrossRef]
- Cui, Y.; Zhang, L.; Lu, C.; Dou, M.; Jiao, Y.; Bao, Y.; Shi, W. Effects of compound small peptides of Chinese medicine on intestinal immunity and cecal intestinal flora in CTX immunosuppressed mice. Front. Microbiol. 2022, 13, 959726. [Google Scholar] [CrossRef] [PubMed]
- Xiang, X.; Wang, R.; Chen, L.; Chen, Y.; Zheng, B.; Deng, S.; Liu, S.; Sun, P.; Shen, G. Immunomodulatory activity of a water-soluble polysaccharide extracted from mussel on cyclophosphamide-induced immunosuppressive mice models. NPJ Sci. Food 2022, 6, 26. [Google Scholar] [CrossRef] [PubMed]
- Xiang, X.-W.; Zheng, H.-Z.; Wang, R.; Chen, H.; Xiao, J.-X.; Zheng, B.; Liu, S.-L.; Ding, Y.-T. Ameliorative Effects of Peptides Derived from Oyster (Crassostrea gigas) on Immunomodulatory Function and Gut Microbiota Structure in Cyclophosphamide-Treated Mice. Mar. Drugs 2021, 19, 456. [Google Scholar] [CrossRef]
- Cai, G.; Wu, C.; Mao, N.; Song, Z.; Yu, L.; Zhu, T.; Peng, S.; Yang, Y.; Liu, Z.; Wang, D. Isolation, purification and characterization of Pueraria lobata polysaccharide and its effects on intestinal function in cyclophosphamide-treated mice. Int. J. Biol. Macromol. 2022, 218, 356–367. [Google Scholar] [CrossRef]
- Liu, J.P.; Wang, J.; Zhou, S.X.; Huang, D.C.; Qi, G.H.; Chen, G.T. Ginger polysaccharides enhance intestinal immunity by modulating gut microbiota in cyclophosphamide-induced immunosuppressed mice. Int. J. Biol. Macromol. 2022, 223, 1308–1319. [Google Scholar] [CrossRef] [PubMed]
- Chen, H.; Zheng, H.; Li, T.; Jiang, Q.; Liu, S.; Zhou, X.; Ding, Y.; Xiang, X. Protective Effect of Oyster Peptides Derived From Crassostrea gigas on Intestinal Oxidative Damage Induced by Cyclophosphamide in Mice Mediated through Nrf2-Keap1 Signaling Pathway. Front. Nutr. 2022, 9, 888960. [Google Scholar] [CrossRef] [PubMed]
- Zeng, Z.; Huang, Z.; Yue, W.; Nawaz, S.; Chen, X.; Liu, J. Lactobacillus plantarum modulate gut microbiota and intestinal immunity in cyclophosphamide-treated mice model. Biomed. Pharmacother. 2023, 169, 115812. [Google Scholar] [CrossRef] [PubMed]
- Korhonen, H.; Pihlanto, A. Bioactive peptides: Production and functionality. Int. Dairy J. 2006, 16, 945–960. [Google Scholar] [CrossRef]
- Khan, A.I.; Rehman, A.U.; Farooqui, N.A.; Siddiqui, N.Z.; Ayub, Q.; Ramzan, M.N.; Wang, L.; Xin, Y. Effects of Shrimp Peptide Hydrolysate on Intestinal Microbiota Restoration and Immune Modulation in Cyclophosphamide-Treated Mice. Molecules 2022, 27, 1720. [Google Scholar] [CrossRef]
- Chen, C.; Su, X.; Hu, Z. Immune promotive effect of bioactive peptides may be mediated by regulating the expression of SOCS1/miR-155. Exp. Ther. Med. 2019, 18, 1850–1862. [Google Scholar] [CrossRef]
- Lee, H.B.; Son, S.U.; Lee, J.E.; Lee, S.H.; Kang, C.H.; Kim, Y.S.; Shin, K.S.; Park, H.Y. Characterization, prebiotic and immune-enhancing activities of rhamnogalacturonan-I-rich polysaccharide fraction from molokhia leaves. Int. J. Biol. Macromol. 2021, 175, 443–450. [Google Scholar] [CrossRef]
- Wang, Y.-K.; He, H.-L.; Wang, G.-F.; Wu, H.; Zhou, B.-C.; Chen, X.-L.; Zhang, Y.-Z. Oyster (Crassostrea gigas) hydrolysates produced on a plant scale have antitumor activity and immunostimulating effects in BALB/c mice. Mar. Drugs 2010, 8, 255–268. [Google Scholar] [CrossRef]
- Wang, Y.; Qi, Q.; Li, A.; Yang, M.; Huang, W.; Xu, H.; Zhao, Z.; Li, S. Immuno-enhancement effects of Yifei Tongluo Granules on cyclophosphamide-induced immunosuppression in Balb/c mice. J. Ethnopharmacol. 2016, 194, 72–82. [Google Scholar] [CrossRef]
- Gao, S.; Hong, H.; Zhang, C.; Wang, K.; Zhang, B.; Han, Q.-a.; Liu, H.; Luo, Y. Immunomodulatory effects of collagen hydrolysates from yak (Bos grunniens) bone on cyclophosphamide-induced immunosuppression in BALB/c mice. J. Funct. Foods 2019, 60, 103420. [Google Scholar] [CrossRef]
- Zuo, T.; Cao, L.; Sun, X.; Li, X.; Wu, J.; Lu, S.; Xue, C.; Tang, Q. Dietary squid ink polysaccharide could enhance SIgA secretion in chemotherapeutic mice. Food Funct. 2014, 5, 3189–3196. [Google Scholar] [CrossRef]
- Mantis, N.J.; Rol, N.; Corthésy, B. Secretory IgA’s complex roles in immunity and mucosal homeostasis in the gut. Mucosal Immunol. 2011, 4, 603–611. [Google Scholar] [CrossRef] [PubMed]
- Zhu, G.; Luo, J.; Du, H.; Jiang, Y.; Tu, Y.; Yao, Y.; Xu, M. Ovotransferrin enhances intestinal immune response in cyclophosphamide-induced immunosuppressed mice. Int. J. Biol. Macromol. 2018, 120, 1–9. [Google Scholar] [CrossRef] [PubMed]
- Fu, Q.; Lin, Q.; Chen, D.; Yu, B.; Luo, Y.; Zheng, P.; Mao, X.; Huang, Z.; Yu, J.; Luo, J.; et al. β-defensin 118 attenuates inflammation and injury of intestinal epithelial cells upon enterotoxigenic Escherichia coli challenge. BMC Vet. Res. 2022, 18, 142. [Google Scholar] [CrossRef] [PubMed]
- Shi, H.; Chang, Y.; Gao, Y.; Wang, X.; Chen, X.; Wang, Y.; Xue, C.; Tang, Q. Dietary fucoidan of Acaudina molpadioides alters gut microbiota and mitigates intestinal mucosal injury induced by cyclophosphamide. Food Funct. 2017, 8, 3383–3393. [Google Scholar] [CrossRef]
- Cai, G.; Wu, Y.; Wusiman, A.; Gu, P.; Mao, N.; Xu, S.; Zhu, T.; Feng, Z.; Liu, Z.; Wang, D. Alhagi honey polysaccharides attenuate intestinal injury and immune suppression in cyclophosphamide-induced mice. Food Funct. 2021, 12, 6863–6877. [Google Scholar] [CrossRef]
- Ayala, A.; Muñoz, M.F.; Argüelles, S. Lipid peroxidation: Production, metabolism, and signaling mechanisms of malondialdehyde and 4-hydroxy-2-nonenal. Oxid. Med. Cell. Longev. 2014, 2014, 360438. [Google Scholar] [CrossRef]
- Ma, L.; Luo, Z.; Huang, Y.; Li, Y.; Guan, J.; Zhou, T.; Du, Z.; Yong, K.; Yao, X.; Shen, L.; et al. Modulating gut microbiota and metabolites with dietary fiber oat β-glucan interventions to improve growth performance and intestinal function in weaned rabbits. Front. Microbiol. 2022, 13, 1074036. [Google Scholar] [CrossRef]
- Cai, J.; Chen, H.; Weng, M.; Jiang, S.; Gao, J. Diagnostic and Clinical Significance of Serum Levels of D-Lactate and Diamine Oxidase in Patients with Crohn’s Disease. Gastroenterol. Res. Pract. 2019, 2019, 8536952. [Google Scholar] [CrossRef]
- Kurashima, Y.; Goto, Y.; Kiyono, H. Mucosal innate immune cells regulate both gut homeostasis and intestinal inflammation. Eur. J. Immunol. 2013, 43, 3108–3115. [Google Scholar] [CrossRef]
- Zhuang, Y.; Wu, H.; Wang, X.; He, J.; He, S.; Yin, Y. Resveratrol Attenuates Oxidative Stress-Induced Intestinal Barrier Injury through PI3K/Akt-Mediated Nrf2 Signaling Pathway. Oxid. Med. Cell. Longev. 2019, 2019, 7591840. [Google Scholar] [CrossRef] [PubMed]
- Thomas, P.D.; Nichols, T.W.; Angstadt, A.R. Dietary bioactive peptides in maintaining intestinal integrity and function. Am. J. Gastroenterol. 2001, 96, S311. [Google Scholar] [CrossRef]
- Ramakrishna, B.S. Role of the gut microbiota in human nutrition and metabolism. J. Gastroenterol. Hepatol. 2013, 28 (Suppl. S4), 9–17. [Google Scholar] [CrossRef] [PubMed]
- Kong, X.; Duan, W.; Li, D.; Tang, X.; Duan, Z. Effects of Polysaccharides From Auricularia auricula on the Immuno-Stimulatory Activity and Gut Microbiota in Immunosuppressed Mice Induced by Cyclophosphamide. Front. Immunol. 2020, 11, 595700. [Google Scholar] [CrossRef]
- Ying, M.; Yu, Q.; Zheng, B.; Wang, H.; Wang, J.; Chen, S.; Nie, S.; Xie, M. Cultured Cordyceps sinensis polysaccharides modulate intestinal mucosal immunity and gut microbiota in cyclophosphamide-treated mice. Carbohydr. Polym. 2020, 235, 115957. [Google Scholar] [CrossRef] [PubMed]
- López, P.; de Paz, B.; Rodríguez-Carrio, J.; Hevia, A.; Sánchez, B.; Margolles, A.; Suárez, A. Th17 responses and natural IgM antibodies are related to gut microbiota composition in systemic lupus erythematosus patients. Sci. Rep. 2016, 6, 24072. [Google Scholar] [CrossRef]
- Yue, Y.; Yang, H.J.; Zhang, T.; Li, C.; Kim, M.J.; Kim, K.-N.; Park, S. Porcine Brain Enzyme Hydrolysate Enhances Immune Function and Antioxidant Defense via Modulation of Gut Microbiota in a Cyclophosphamide-Induced Immunodeficiency Model. Antioxidants 2024, 13, 476. [Google Scholar] [CrossRef] [PubMed]
- Zhang, X.; Li, Y.; Zhu, K.; Li, C.; Zhao, Q.; Gu, F.; Xu, F.; Chu, Z. Microbiome-Metabolomic Analysis Revealed the Immunoprotective Effects of the Extract of Vanilla planifolia Andrew (EVPA) on Immunosuppressed Mice. Foods 2024, 13, 701. [Google Scholar] [CrossRef]
- Zhai, Q.; Feng, S.; Arjan, N.; Chen, W. A next generation probiotic, Akkermansia muciniphila. Crit. Rev. Food Sci. Nutr. 2019, 59, 3227–3236. [Google Scholar] [CrossRef]
- Haskey, N.; Ye, J.; Estaki, M.; Verdugo Meza, A.A.; Barnett, J.A.; Yousefi, M.; Birnie, B.W.; Gruenheid, S.; Ghosh, S.; Gibson, D.L. A Mediterranean-like fat blend protects against the development of severe colitis in the mucin-2 deficient murine model. Gut. Microbes 2022, 14, 2055441. [Google Scholar] [CrossRef]
- Ma, Q.; Li, Y.; Wang, J.; Li, P.; Duan, Y.; Dai, H.; An, Y.; Cheng, L.; Wang, T.; Wang, C.; et al. Investigation of gut microbiome changes in type 1 diabetic mellitus rats based on high-throughput sequencing. Biomed. Pharmacother. 2020, 124, 109873. [Google Scholar] [CrossRef] [PubMed]
- Liu, T.-H.; Wang, J.; Zhang, C.-Y.; Zhao, L.; Sheng, Y.-Y.; Tao, G.-S.; Xue, Y.-Z. Gut microbial characteristical comparison reveals potential anti-aging function of Dubosiella newyorkensis in mice. Front. Endocrinol. 2023, 14, 1133167. [Google Scholar] [CrossRef] [PubMed]
- Huang, Y.; Li, M.; Zhou, L.; Xu, D.; Qian, F.; Zhang, J.; Zhou, X. Effects of Qingluo Tongbi Decoction on Gut Flora of Rats with Adjuvant-Induced Arthritis and the Underlying Mechanism. Evid.-Based Complement. Altern. Med. 2019, 2019, 6308021. [Google Scholar] [CrossRef] [PubMed]
- Zhao, F.; Guo, M.; Zhang, M.; Duan, M.; Zheng, J.; Liu, Y.; Qiu, L. Sub-lethal concentration of metamifop exposure impair gut health of zebrafish (Danio rerio). Chemosphere 2022, 303, 135081. [Google Scholar] [CrossRef]
Disclaimer/Publisher’s Note: The statements, opinions and data contained in all publications are solely those of the individual author(s) and contributor(s) and not of MDPI and/or the editor(s). MDPI and/or the editor(s) disclaim responsibility for any injury to people or property resulting from any ideas, methods, instructions or products referred to in the content. |
© 2024 by the authors. Licensee MDPI, Basel, Switzerland. This article is an open access article distributed under the terms and conditions of the Creative Commons Attribution (CC BY) license (https://creativecommons.org/licenses/by/4.0/).