Abstract
Antifungal efficacy of Azotobacter salinestris against trichothecene-producing Fusarium spp. was investigated in maize, sorghum, and wheat. The three cereals were subjected to four treatments as control (T1), Fusarium alone (T2), combination of Fusarium and A. salinestris treatment (T3), and only A. salinestris (T4). All the treatments were evaluated for total mass of seedlings, root and shoot length, seed germination, and vigor index (VI), and extent of rhizoplane colonization by A. salinestris was investigated. Further, greenhouse studies were conducted to learn the efficacy of A. salinestris in vivo conditions. Antifungal efficacy was tested by the dual-culture method which resulted in significant reduction in Fusarium growth. Infection by Fusarium was reduced up to 50% in treated cereals such as maize, sorghum, and wheat, and there was also significant increase in seedling mass in the three hosts. Maize showed the highest VI (1859.715), followed by sorghum (1470.84), and wheat (2804.123) with A. salinestris treatment. In addition, seed germination was enhanced to 76% in maize, 69% in sorghum, and 68% in wheat, respectively. Efficacy of rhizoplane colonization showed successful isolation of A. salinestris with high CFU rate, and furthermore, significant colonization inhibition by Fusarium spp. was observed. In the greenhouse conditions, on the 45th day of the experimental set-up, the highest shoot length/root length recorded in maize was 155.70/70.0 cm, in sorghum 165.90/48.0 cm, and in wheat 77.85/56.0 cm, and the maximum root mass recorded was 17.53 g in maize, 4.52 g in sorghum, and 1.90 g in wheat. Our present study showed that seed treatment by A. salinestris, may be used as an alternate biocontrol method against Fusarium infection in maize, sorghum, and wheat.
Keywords:
Azotobacter; biocontrol; maize; sorghum; wheat; Fusarium; fungal infection; seed treatments 1. Introduction
Cereal crops are an essential nutritional source for the worldwide population, and they are of great economic importance both as food and feed [1]. Grain industries generate many cereal-based products. Higher incidence of infection in cereals occurs either in the field or during post-processing of the food grains, which has become a threat for the food market’s ability to produce quality products. Toxigenic fungal pathogens including Fusarium, Aspergillus, and Alternaria spp. are responsible for many diseases and economic losses [2].
Among the different fungal pathogens, Fusarium spp. are widespread pathogens affecting grains (maize, sorghum, wheat, barley, oats, rye, etc.) and this results in reduction of crop yield to the extent of 10–40% worldwide [3]. Fusarium spp. are either seed- or soil-borne, causing diseases such as ear rot in maize, stalk rot in wheat, and head blight (scab) in small-grain cereals. In addition to their direct impact on cereals, Fusarium spp. can also produce mycotoxins such as deoxynivalenol (DON), fumonisins, moniliformin, fusarins, and zearalenone in the infected ears and kernels [1,4]. Fusarium toxins are known to possess carcinogenic and toxigenic properties in farm livestock and humans [5]. There is evidence proving that mycotoxin problems have resulted in destruction of crops, leading to significant imbalance in the food chain, ultimately affecting the economy of countries worldwide [6]. Among the Fusarium toxins, trichothecene is the major mycotoxin, commonly found in cereals and cereal-based foods. Colonization of cereals by trichothecene-producing Fusarium spp. on grains and food products causes discolorations, decreased germination and vigor, heating, mustiness, dry matter loss of the grain, and deterioration in nutritional quality, ultimately resulting in economic loses [7]. Fusarium spp. colonization in cereals, feed, and related products is also associated with potential human and animal health risks and leads to food-borne intoxication, especially among farm animals [8]. Early detection of phytopathogens growth and their control in cereals during both pre- and post-harvest is of great importance [9,10].
Different fungicides and chemical agents are available in the market to control infection of cereals by Fusarium spp. However, long-term use of synthetic fungicides has many disadvantages: gradual aggravation of soil fertility, development of pathogen resistance to fungicides, inability to reach the roots of mature plants, rapid degradation in soil, and the need for repeated applications are associated with the use of fungicides and chemicals as antifungal agents [11]. Therefore, there is a need for the development of alternative and environmentally safe methods of control against toxigenic fungal pathogens and to increase yields while producing quality cereals. In recent years, biological control of Fusarium spp. using antagonistic bacteria is gaining importance, since this biological control agent is sustainable, safe, and environmentally friendly [12,13,14].
Plant-growth-promoting rhizobacteria (PGPR) are a heterogeneous group of bacteria that enhance plant growth by direct or indirect mechanisms. They are present in the rhizosphere, at root surfaces, and are also associated with soil-borne pathogen restrictions by induction of systemic resistance, phytohormone production, and quorum sensing [15]. These bacteria also promote beneficial plant–microbe symbioses and interfere with toxins production by the pathogens [15]. A large variety of bacteria including species belonging to Pseudomonas, Azospirillum, Azotobacter, Klebsiella, Alcaligens, Arthobacter, Bacillus, Enterobacter, Lysobacter, and Serratia are reported to improve plant growth [16,17,18]. Understanding the diversity of PGPR in the rhizosphere as well as their colonization ability and mechanism of action makes them useful in management practices [19]. Accordingly, post-harvest Penicillium spp. and Rhizopus stolonifera, in tomato disease management by PGPR Bacillus subtilis, were reported by Punja et al. [20].
Among PGPR, the genus Azotobacter is currently being applied in agricultural crops for plant growth enhancement, seed germination, and control of soil-borne pathogens. Azotobacter spp. can tolerate extreme environmental conditions and can survive by producing cysts. Azotobacter salinestris, Azotobacter vinelandii, and Azotobacter chroococum are a few well-known species isolated and identified from different types of soil. These organisms have also been reported to degrade pesticides, fix atmospheric nitrogen (N2), and produce plant growth hormones such as indole acetic acid and gibberellic acid, and are known for their antagonistic activity against phytopathogenic fungi, which helps in disease management of various crops [13,14].
The present study was carried out with the following objectives: (a) to investigate A. salinestris efficacy in controlling Fusarium acuminatum, Fusarium avenaceum, Fusarium crookwellense, Fusarium culmorum, Fusarium equiseti, Fusarium graminearum, Fusarium nivale, Fusarium poae, Fusarium sambucinum, and Fusarium sporotrichioides which are known for trichothecene production in maize, sorghum, and wheat; (b) to evaluate the efficacy of A. salinestris in improving total mass of seedlings, root and shoot length, and seed germination (VI) in maize, sorghum, and wheat grains; and (c) to evaluate the extent of rhizoplane colonization by A. salinestris in maize, sorghum, and wheat treated with trichothecene-producing Fusarium spp.
2. Materials and Methods
2.1. Strain and Culture Conditions
Fusarium spp. such as F. sporotrichioides, F. crookwellense, F. graminearum, F. poae, F. sambucinum, F. culmorum, F. acuminatum, F. avenaceum, F. nivale, and F. equiseti as shown (Table 1), were isolated from cereals such as maize (Zea mays), sorghum (Sorghum bicolor), and wheat (Triticum aestivum) collected from different geographical areas in Karnataka state, India. All the Fusarium isolates were identified up to the species level by microscopic and molecular methods. The ability of Fusarium isolates to produce trichothecenes was confirmed by thin-layer chromatography (TLC) [21] and liquid chromatography mass spectrometry (LCMS).
Table 1.
Fusarium isolates (Nagaraja et al., 2016 [21]).
A. salinestris strain AZT 31 was isolated from soil samples from a paddy field. The strain was identified to the species level using the above methods. The identification was further confirmed by DNA barcoding using part of the 16S ribosomal DNA. The sequence reads were submitted to Gen Bank, NCBI, with accession No JX262176 [22].
The isolated fungal and bacterial species were maintained in glycerol stocks at 4 °C. Fungal isolates were subcultured on potato dextrose agar (PDA) and A. salinestris on Waksman selective media (10.0 g/L Mannitol, 5.0 g/L CaCO3, 0.5 g/L K2HPO4, 0.2 g/L MgSO4, 0.2 g/L NaCl, traces of MnSO4, FeCL3 20 g/L Agar).
2.2. Inoculum Preparation
2.2.1. Bacterial Cell Suspension
Waksman broth (50 mL) was inoculated with two loops full of 3-day-old A. salinestris culture and incubated for 48 h at 34 °C. After incubation, bacterial cells were collected by centrifugation (7155 g, 15 min, 4 °C) and were resuspended in 1X phosphate saline buffer (137 mM NaCl, 2.7 mM KCl, 10 mM Na2HPO4, 1.8 mM KH2PO4) at pH 7.2. Bacterial cell suspension was adjusted to 109 CFU/mL by following standard serial dilution and absorbance studies.
2.2.2. Fungal Spore Preparation
In total, 100 mL of potato dextrose broth (PDB) was prepared in a 250 mL Erlenmeyer flask for sporulation of all tested fungal strains. A fungal disk (5 mm) from pure culture of each Fusarium sp. was inoculated into the PDB flask using a sterile cork borer [3]. The flasks containing the PDB cultures were incubated at 25 ± 2 °C for 4 days on a shaker incubator (100 rpm) for 12 h, with alternate light and dark conditions. Fungal spores were harvested, and spore concentration was standardized to 107 spores/mL in 5% NaCl using a hemocytometer [23].
2.3. Seed Treatment
Maize, sorghum, and wheat grains were treated with sodium hypochlorite as the method described by Nagaraja et al. [21]. Fifty grams of each seed sample was surface-sterilized with 4% sodium hypochlorite followed by washing with sterile water to remove surface contaminants. Each seed sample was subjected to four different treatments as mentioned (Table 2). Each seed sample was soaked in 50 mL of sterile water in 100 mL Erlenmeyer flask, which acted as control (T1). Treatments T2 and T4 consisted of soaking each seed sample with 50 mL of fungal spore suspension and A. salinestris cell suspension, respectively. Treatment T3 was conducted by soaking each seed sample in a mixture of 25 mL each of bacterial cell and fungal spore suspensions, in 100 mL Erlenmeyer flasks. All the treated samples were incubated for 2 h at 28 °C in a shaker incubator, at 100 rpm, for uniform coating of the tested organisms (Table 1 and Table 2). The experiment was conducted in duplicates.
Table 2.
Seed treatments.
2.4. In Vitro Studies of A. salinestris against Fusarium spp.
2.4.1. Antagonistic Activity of A. salinestris Investigated by Dual-Culture Method
Antagonistic efficiency of A. salinestris against mycelial growth of phytopathogenic Fusarium spp. as indicated (Table 1) was studied by measuring the zone of inhibition on modified Waksman media and PDB at 1:1, v/v, following the modified protocol of Daniel et al. [24]. A. salinestris culture at cell concentration of 109 CFU/mL was streaked horizontally at the center of the Petri plates and incubated at 24 ± 2 °C, for 42 h. After the growth of bacterial colonies, a 5 mm agar disk from a fresh culture of Fusarium spp. (Table 1) was placed perpendicularly on either side of the bacterial margin. Plates without the antagonist bacteria and inoculated with the fungal agar disc served as control. All treated and untreated plates were incubated at 24 ± 2 °C for 3 to 5 days. The zone of inhibition was measured using a ruler from the edge of the bacterial margin to the edge of each respective fungal colony. The experiment was carried out in triplicates.
2.4.2. Effect of Azotobacter against Fusarium spp. and Infection Incidence
This assay was conducted to study the influence of A. salinestris in controlling the severity of Fusarium spp. in these cereals. Infection incidence (%) in maize, sorghum, and wheat discovered by using the standard blotter method is indicated (Table 1). One hundred seeds from each sample were surface-sterilized and subjected to T1, T2, T3, and T4 treatments (Table 2). Seeds were placed in sterilized Petri plates and incubated at 23 ± 2 °C for 5 days. Treated seeds were visualized for fungal growth using a stereo-binocular microscope and a compound microscope (Labomed). Further infection incidence was confirmed by visualizing their morphological characteristics such as micro conidia, macro conidia, and chlamydospores, respectively, with reference to Leslie and Summerell. The infection was calculated using the standard formula [21]. Experiment was carried out in triplicates.
2.4.3. Effect of A. salinestris against Vigor Index of Maize, Sorghum, and Wheat
The VI parameter of maize, sorghum, and wheat grains was studied using the paper towel method. Fifty seeds from each cereal grain were subjected to T1, T2, T3, and T4 treatments as shown (Table 2), and placed separately on a moist germination sheet, overlaid with another layer of similar sheet (31 cm W × 45 cm L grade 1 paper towel) and rolled tightly. The experimental set-up was carried out in duplicates. Tightly rolled sheets were incubated at an inclined position in a growth chamber for 7 days at 28 °C. Moisture was provided to avoid drying of seedlings. The experiment was carried out in triplicates. The VI growth such as root and shoot length parameters, percentage of germination, root length, shoot length (cm), and total seedlings mass (grams) were recorded and the VI was calculated using the formula [17]:
VI = (mean root length + mean shoot length) × % germination.
2.5. Effect of A. salinestris against Root Colonization of Cereal by Fusarium spp.
Twenty seeds of maize, sorghum, and wheat from T1, T2, T3, and T4 treatments (Table 2) were each sown in a germination tray, each containing 50 cups (plastic trays of 5 cm × 5 cm size) filled with field soil (mixture of red soil, sand, and brown soil) and coco peat (procured from the nursery). Each tray was incubated in a growth chamber at 28 °C for 20 days with 12 h of light and 12 h of dark, with the addition of frequent sterilized distilled water. Following incubation, 20-day-old germinated seedlings were uprooted, and one gram of roots representing the entire rhizospheric region along with its soil was used for analysis. The roots were washed in 10 mL of sterile PBS for 15 min, and eluant was collected. A total of 1 mL of PBS from the collecting tube was serially diluted up to 10−6 dilution. In total, 100 µL of the 10−6 dilution sample was inoculated onto Waksman agar and incubated at 34 °C for 24–48 h for expression and isolation of Azotobacter. In total, 100 µL of 103 dilutions was inoculated in 2.5 ppm malachite green agar (MGA) 2.5 ppm and 100 µL of 103 dilutions was inoculated in potato dextrose chloramphenicol agar (PDCA), which were incubated as mentioned above for isolation of Fusarium spp. [25]. The microscopic identifications were performed by observing its micro and macro conidia and chlamydospores for respective fungal pathogens according to Leslie and Summerell [26]. The total colony counts of bacteria were performed by the plate count method using a cubic colony counter and were expressed as Log10 CFU g−1 for each cereal root sample. The experiment was carried out in triplicates.
2.6. In Planta Antagonistic Activity of A. salinestris against Fusarium spp.
Based on our in-vivo experimental data, five prominent cereal contaminants of Fusarium spp. such as F. sporotrichioides, F. crookwellense, F. graminearum, F. poae, and F. culmorum were selected for the greenhouse studies. Ten seeds from wheat, maize, and sorghum were randomly selected and treated with A. salinestris by seed coating, followed by planting at 4 cm deep in sprouting nursery poly bags (10 cm W × 30 cm L) filled with 3/4th of field soil. Each bag was topped with 25 g of coco peat, a natural fiber made of coconut husk, consistent and easy to handle. The coco peat also serves as a very good seed sowing medium which retains moisture up to eight times its volume and acts as a perfect soil conditioner. Additional moisture content for the germination process was maintained by regular watering. The shoot length of the three treated cereal samples in each treatment was measured at growth intervals of 15, 30, and 45 days after sowing. Untreated samples served as control (Table 2). After forty-five days of seed sowing, treated and untreated plants were uprooted, and their root length and total root mass were measured. The experiment was repeated in duplicates.
2.7. Statistical Analysis
All growth parameters of maize, sorghum, and wheat in different treatments such as in vitro and in vivo studies were analyzed by one-way analysis of variance (ANOVA). The software used was SYATAT-Sigma Stat for Windows version 3.1 (SPSS, 2.0). Significant difference was determined at p ≤ 0.05. Mean and standard errors represented are the values of triplicates. Graphs were constructed with the GraphPad Prism 5 program.
3. Results
3.1. In Vitro Studies of A. salinestris against Fusarium spp.
3.1.1. Antagonistic Activity of A. salinestris Investigated by Dual-Culture Method
In the present study, the anti-fungal efficacy of A. salinestris in controlling trichothecene-producing Fusarium species was investigated using the dual-culture technique, as a preliminary study. Our assay showed that among the ten Fusarium spp. tested (Table 1), the growth of five Fusarium species, namely F. sporotrichioides, F. crookwellense, F. graminearum, F. poae, and F. culmorum was inhibited by the presence of A. salinestris (Figure 1) based on the fungal growth and zone of inhibition.
Figure 1.
Dual-culture plate assay showing mycelia inhibition by A. salinestris against different Fusarium spp. Note: (1) F. sporotrichioides +++ (2) F. crookwellense +++ (3) F. graminearum +++ (4) F. nivale + (5) F. culmorum +++ (6) F. sambucinum + (7) F. poae ++ (8) F. avenaceum + (9) F. acuminatum +++ (10) F. equiseti ++. [Good inhibition +++; Moderate inhibition ++; Less inhibition +].
3.1.2. Effect of Azotobacter against Fusarium spp. and Infection Incidence in Cereals
The ability of A. salinestris to reduce the growth of Fusarium spp. and colonization in maize, sorghum, and wheat was tested by the infection incidence (%) assay. Our results showed that A. salinestris significantly decreased the Fusarium spp. infection. Infection incidence in grains (T2) was recorded up to 90–96% in maize, 91–98% in sorghum, and 84–90% in wheat. Treatment with A. salinestris (T3) significantly reduced the infection incidence up to 35.5% in all three cereals. In maize, infection incidence was more effective by F. crookwellense and F. culmorum, with an infection incidence up to 20 and 23%, respectively. In sorghum, infection incidence by F. sambucinum was reduced by 26% when treated with A. salinestris. In wheat seedlings, when treated with A. salinestris, infection incidence by F. sambucinum was reduced by 29% (Figure 2).
Figure 2.
Infection incidence (%) of Fusarium in treated seedlings under different treatments. Note: T1—Control, T2—Fusarium spp., T3—A. salinestris + Fusarium spp., T4—A. salinestris. Values are mean and deviations of ten samples.
3.1.3. Effect of A. salinestris against Vigor Index of Maize, Sorghum, and Wheat
The efficacy of A. salinestris treatment against VI, under in situ, was evaluated. Our results showed that the VI of maize, sorghum, and wheat seedlings increased significantly when in a combination of A. salinestris and Fusarium (T3), compared to the control (T1) and when only Fusarium (T2) was used in each treatment (Table 2). However, in the treatment where only A. salinestris (T4) was used, a three-fold increase in root and shoot length was recorded.
In our untreated sample (T1), the VI range of maize, sorghum, and wheat, recorded, was 1090.54–1183.67, 1141.18–1572.33, and 2080.62–2144.55, respectively. When only Fusarium (T2) was used, the VI range recorded was 161.22–488.13 in maize, 455.06–620.29 in sorghum, and 358.30–670.31 in wheat. The combination of A. salinestris and Fusarium (T3) exhibited the highest VI of 1829.79 in maize treated with F. acuminatum. The lowest VI of 1242.87 was observed in maize treated with F. culmorum alone.
In sorghum, the highest VI of 1449.22 was recorded in the treatment with F. graminearum and the lowest VI recorded was 1115.71 in the treatment with F. equiseti. In wheat, the highest VI of 2790.64 was achieved in the treatment with F. nivale whereas the lowest VI of 1510.53 was recorded in the treatment with F. culmorum. When A. salinestris was used alone (T4) in maize, sorghum, and wheat, the VI ranges recorded were 2822.76–3550.03, 2841.04–3324.71, and 4106–5423.75, respectively (Figure 3). The VI response in all these treatments was highest in sorghum treated with A. salinestris, followed by wheat and maize.
Figure 3.
Effect of A. salinestris on vigor index (VI) of maize, sorghum, and wheat grains artificially inoculated with different Fusarium spp. Note: T1—Control, T2—Fusarium spp., T3—A. salinestris + Fusarium spp., T4—A. salinestris. Values are mean and deviations of ten samples.
3.1.4. Effect of A. salinestris against Weight of Cereals under Different Treatments
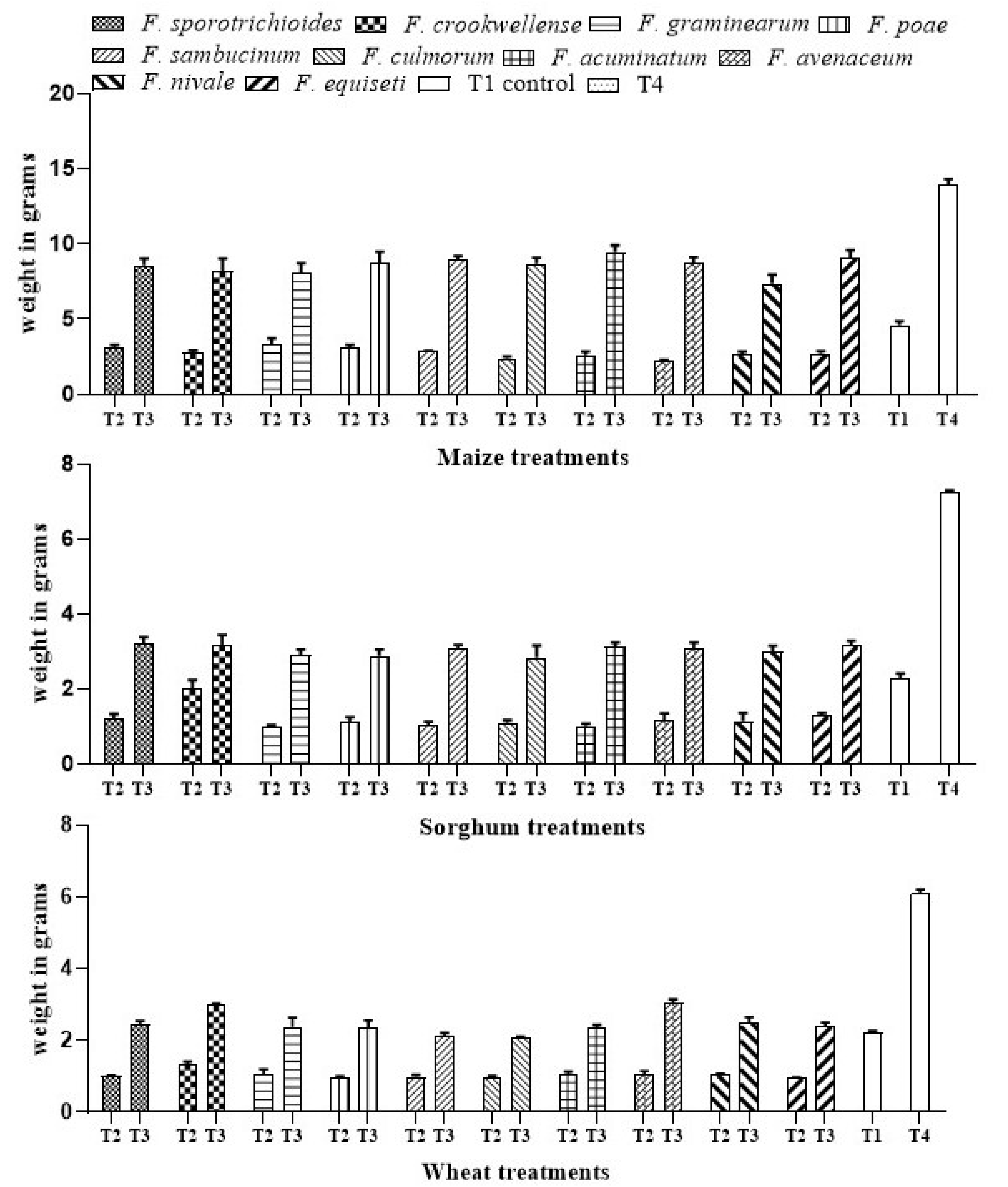
The effect of A. salinestris on the total mass of maize, sorghum, and wheat seedlings was also evaluated. In our control (T1), total mass of maize, sorghum, and wheat seedling ranged at 4.48–4.60 g, 2.20–2.29 g, and 2.13–2.23 g, respectively. When treated with only Fusarium spores (T2), the total seedlings mass ranged at 2.20–3.35 g in maize, 0.975–2.01 g in sorghum, and 0.95–1.35 g in wheat. In contrast, when treated with both A. salinestris and Fusarium (T3), a significant increase in the seedlings mass was observed at the extent of 7.38–9.46 g in maize, 2.82–3.19 g in sorghum, and 2.07–3.06 g in wheat, respectively. In the treatment where A. salinestris alone (T4) was used, the total seedling mass in maize, sorghum, and wheat seedlings ranged at 11.19–13.96 g, 6.354–7.325 g, and 5.851–6.09 g, respectively (Figure 4). With A. salinestris treatment, the total seedlings mass was highest in maize followed by sorghum and wheat seedlings.
Figure 4.
Weight of maize, sorghum, and wheat seedlings under different treatments. Note: T1—Control, T2—Fusarium spp., T3—A. salinestris + Fusarium spp., T4—A. salinestris. Values are mean and standard deviations of ten samples.
3.1.5. Effect of A. salinestris Treatment on Percentage of Germination in Cereal Grains
The effect of A. salinestris on germination percentage in maize, sorghum, and wheat was evaluated. In our control (T1), the percentage of germination in maize, sorghum, and wheat was 80.6, 82, and 74%, respectively. In the treatment where Fusarium spp. alone (T2) was used, approximately 40% reduction in germination in all the three cereals was observed. In the treatment where a combination of A. salinestris and Fusarium (T3) was used, a significant increase in germination was observed: 72% in maize, 65% in sorghum, and 66% in wheat. In the treatment where A. salinestris alone (T4) was used, the germination percentage reached 98% (Figure 5), and the germination percentage recorded in all the cereals was approx. 91%.
Figure 5.
Effect of A. salinestris treatment on germination percentage (%) of maize, sorghum, and wheat. Note: T1—Control, T2—Fusarium spp., T3—A. salinestris + Fusarium spp., T4—A. salinestris. Values are mean and standard deviations of ten samples.
3.1.6. Effect of A. salinestris against Root Colonization of Cereals by Fusarium spp.
The extent of resistance provided by A. salinestris against trichothecene-producing Fusarium spp. was tested by inoculating spores in the rhizosphere of maize, sorghum, and wheat (Table 2), prior to and after transplanting the seedlings in the germination trays as explained above. The total fungal counts of Fusarium (106 spores) in treated seeds of maize (T2) were ~6 × 107 CFU/mL, and after A. salinestris treatment (T3) to the seedlings, a reduction in fungal count of ~1.2 × 107 CFU/mL was recorded. The range of fungal count obtained with the combination of both A. salinestris and Fusarium (T3) treatment, among all the cereals, was 2 × 107–4 × 107 CFU/mL. The lowest fungal spore count in the rhizosphere was with F. sporotrichioides in maize and wheat and with F. graminearum in sorghum. The total spore count of 4.8 × 107–6 × 107 CFU/mL was recorded with A. salinestris (T4) treatment in the rhizosphere. Bacteria and fungi were absent in untreated samples (T1) which served as control around the rhizosphere soil of all three cereals tested (Figure 6).
Figure 6.
Total count of Fusarium spp. isolated from rhizoplane soil of maize, sorghum, and wheat seedlings.
3.2. In Planta Studies of A. salinestris against Fusarium spp.
Effect of Antagonistic Activity of A. salinestris against Fusarium spp.
Experiments were carried out in the greenhouse to assess the antifungal effect of A. salinestris against the shoot length of maize, sorghum, and wheat. The shoot lengths in the control (T1) on the 45th day of treatment were 86.30 cm, 86.25 cm, and 64.50 cm in maize, sorghum, and wheat, respectively. The shoot length with Fusarium alone (T2) on the 45th day was 53.50–63.26 cm in maize, 44.15–58.55 cm in sorghum, and 34.05–42.05 cm in wheat (Supplementary Figure S1). There was a significant progressive increase in shoot length in the presence of both Fusarium and A. salinestris (T3) rather than in the control (T1) and when Fusarium spores were used on their own (T2) after 15, 30, and 45 days of germination (Figure 7). The maximum shoot length recorded was also seen in the combination of both A. salinestris and Fusarium (T3) treatment, with 147.70 cm shoot length in maize infected with F. culmorum, 165.90 cm in sorghum infected with F. graminearum, and 77.85 cm in wheat infected with F. sporotrichioides (Figure 8).
Figure 7.
Effect of A. salinestris on growth of maize, sorghum, and wheat grains, artificially inoculated with selected Fusarium spp. grown for 30 days in potting experiments under greenhouse conditions. Note: M, S, and W represent maize, sorghum, and wheat, respectively. T1 and T2 treatments are the same as described in Table 2, where T3 treatment for M1, S1, and W1 was A. salinestris + F. sporotrichioides; T3 treatment for M2, S2, and W2 was with A. salinestris + F. crookwellense; T3 treatment for M3, S3, and W3 was A. salinestris + F. graminearum; T3 treatment for M4, S4, and W4: A. salinestris + F. poae; and T3 treatment for M5, S5, and W5 was: A. salinestris + F. culmorum.
Figure 8.
Effect of A. salinestris on shoot length of maize, sorghum, and wheat grains under greenhouse conditions after 15, 30, and 45 days of interval. Note: (A) maize, (B) sorghum, and (C) wheat. Values are the means with standard deviation of 10 samples.
Root length/total root mass of these cereals was measured at 45 days after growth. The maximum root length/total root mass recorded in our control (T1) was 27 cm/2.41 g, 20 cm/1.61 g, and 16 cm/0.56 g in maize, sorghum, and wheat, respectively. In treatment with Fusarium spores alone (T2), root lengths ranged at 22–26 cm in maize, 16–19 cm in sorghum, and 12–16 cm in wheat, respectively. The root mass recorded ranged at 0.69–0.78 g in maize, 1.30–1.60 g in sorghum, and 0.42–0.75 g in wheat, respectively. In our combination of A. salinestris and Fusarium treatment (T3), we observed a significant root length/total root mass rather than in T1 and T2, and the maximum root length/total root mass recorded was 70 cm/17.53 g in maize, 48 cm/4.52 g in sorghum, and 56 cm/1.90 g in wheat, respectively (Figure 9).
Figure 9.
Root length (RL) and root weight (RW) of maize, sorghum, and wheat seedlings after different treatments in greenhouse studies by pot experiments on the 45th day of planting. Note: T1-Sterile water, T2-Fusarium spores; T3-Fusarium species + A. salinestris.
4. Discussion
Plant-growth-promoting rhizobacteria (PGPR) can act as an alternative source to chemical fertilizer and it is also eco-friendly and possesses a few beneficial properties. The PGPR bacterial strains are applied to crops of economic value as they stimulate and promote plant growth by biosynthesis of growth regulators at root interface and enhance soil fertility [27,28]. Previous studies indicated PGPR potential in the production of indoleacetic acid (IAA), ammonia (NH3), siderophore, and phosphate solubilization [29].
Decrease in Fusarium count with treatment with PGPR strains was reported previously. PGPR strains of Azotobacter spp., Arthrobacter spp., Pseudomonas spp., and Bacillus spp. were screened against fumonisin-producing F. verticillioides in maize rhizosphere [30]. In our present study, the antifungal efficacy of A. salinestris against trichothecene-producing Fusarium spp., isolated from cereals, was observed. Roots are important for the uptake of nutrients for plant metabolism and growth. A. salinestris, in our study, enhanced the root activities by increasing length and total root mass. Results of our infection incidence assay (Figure 2) clearly indicated that A. salinestris reduced the ability of Fusarium spp. to infect and colonize maize, wheat, and sorghum grains. On the other hand, the growth inhibition assay, in dual-culture plates, in which we used ten different species of Fusarium (Table 1), indicated that not all Fusarium spp. had their growth inhibited by A. salinestris. However, in the control (T1) and in the treatment where A. salinestris alone (T4) was not inoculated with any Fusarium spp., we observed very low infection incidence in all three cereals when compared to the treatment with Fusarium spores alone (T2), and in the treatment with a combination of Fusarium spores and A. salinestris (T3). Our results may be attributed to possible cross-contamination or growth of natural seed-borne microflora, since the grains were not autoclaved for the complete removal of seed-borne microflora. Grains were not autoclaved to maintain the viability of the grains. We also observed a decrease in Fusarium concentration in the rhizospheric region of maize, sorghum, and wheat. Chauhan et al. [31] reported the anti-fungal efficacy of Azotobacter chroococum against Rhizoctonia solani in cotton and rice. Furthermore, Bacillus spp., A. nigrescens and Pseudomonas putida were observed to exhibit antagonistic effect on seed-borne pathogenic fungi and to reduce associated mycotoxin contamination in seeds [17,18]. It was also reported that these bacteria, under greenhouse conditions, enhanced root length, shoot length, percent germination, VI, and mass of the seedlings [17,18]. These reports corroborate our study, in that seed treatment of maize, sorghum, and wheat with A. salinestris significantly increased the VI, germination (%), and root and shoot lengths under greenhouse conditions.
In other studies, the ability of Bacillus amyloliquefaciens and Microbacterium oleivorans in reduction of F. verticillioides population and fumonisin production in maize rhizosphere and cobs at field level has been reported [32]. The ability of Bacillus spp. in preventing rhizosphere and endorhizosphere colonization of F. verticillioides in maize root has also been described [33]. Application of Bacillus spp. and Pseudomonas spp. has been shown to enhance the growth and yield in maize [34,35]. PGPR Azotobacter and other bacterial species, as potent biocontrol agents, positively influence plant-growth-promoting properties in different crops [22,36]. Furthermore, PGPR Azotobacter and Azospirillum have been shown to promote growth and nutrient uptake in field trials in maize [37]. These reports are in agreement with our present results which show antifungal activity of A. salinestris against Fusarium spp. in promoting seed germination up to 91% and root and shoot lengths up to 70 cm. In addition, A. salinestris was also observed to inhibit Fusarium spp. infection on seed treatment in maize, wheat, and sorghum with A. salinestris.
In addition, in our present study, we have demonstrated that pretreatment of maize, sorghum, and wheat seeds with A. salinestris can antagonize trichothecene-producing Fusarium spp. and inhibit their growth. Our potting experiments, with these cereal seeds, treated with a combination of Fusarium spores and A. salinestris (T3) under greenhouse conditions, revealed that A. salinestris increased total root and shoot lengths compared to Fusarium spores when used on its own (T2) and sterile water (T1) treatments. Our findings are in agreement with those of Pereira et al. [32,38]. The authors demonstrated that maize seeds treated with PGPR strains reduced infection incidence by F. verticillioides and controlled mycotoxin production at the field level [32,38]. Our results are also in accordance with those obtained by Egamberdiyeva [39], and they also described the synergistic efficacy of PGPR Pseudomonas alcaligenes, Bacillus polymyxa, and Mycobacterium phlei applied to two different soil types with maize, and observed the enhanced stimulatory growth in maize seedlings at different soil conditions [39]. Treatment of maize, wheat, canola, and other cereal crops with PGPR Azospirillum, Bacillus, Pseudomonas, and Enterobacter caused a stimulatory effect on crop growth in field and laboratory trials [40,41]. It was also reported that PGPR Azospirillum brasilense produces IAA, used as PGPR for enhancing plant growth [42]. Similar results were obtained by Kumar et al. [43] when maize seeds treatment with Azospirillum and Azotobacter significantly increased plant VI, germination index, and total mass of maize seedlings. Previous reports so far clearly indicate the importance of A. salinestris with a prominent attribute of PGPR properties, leading to an increase in root and shoot lengths, VI, and total mass of seedling in cereals. Our present investigation has shown the potential of A. salinestris as a biological control agent against toxigenic Fusarium spp. Our study, paves the way for an alternate and safe control method in place of synthetic chemicals against Fusarium infection and disease management in maize, sorghum, and wheat. Furthermore, this study proved that A. salinestris can be successfully used as a seed bioprotectant to control trichothecene-producing Fusarium spp. associated with these economically important crops such as maize, sorghum, and wheat which are widely used across the globe.
5. Conclusions
Biocontrol methods are emerging as significant alternatives in place of chemical pesticides for disease management in field crops. Furthermore, application of such biocontrol agents is always safer and more environmentally friendly. In addition, with the use of biocontrol methods, management tools and procedures need to be strictly followed to facilitate the effective preservation of stored commodities, with minimum loss in both quality and quantity [44,45]. Our future study plans to focus on field trials in order to validate our reports on large-scale applications in these economically important crops.
Supplementary Materials
The following supporting information can be downloaded at: https://www.mdpi.com/article/10.3390/jof8050473/s1, Figure S1: Pot experiment showing the effect of A. salinestris on shoot length of cereals. (A) Maize, (B) Sorghum, and (C) Wheat.
Author Contributions
H.N. and M.Y.S. designed and performed the experiments, analyzed the data, and prepared the manuscript; Y.S.A. and G.C. contributed to the manuscript revision and performed certain experiments; P.N.A. was responsible for co-supervising, coordinating, editing, correcting, and funding acquisition; N.D. was responsible for reviewing and editing; M.K.N. and K.A. contributed to the manuscript revision and overall support of this study. All authors have read and agreed to the published version of the manuscript.
Funding
This research received no external funding.
Institutional Review Board Statement
Not applicable.
Informed consent statement
Not applicable.
Data Availability Statement
Not applicable.
Acknowledgments
We sincerely acknowledge the University Grants Commission (UGC), Ministry of Human Resources and Development, Government of India for granting Fellowship to peruse this research. We are thankful to the Institution of Excellency (IOE), University of Mysore for providing technical support. We are also thankful to University of Agricultural Science, Raichur for providing all the necessary facilities to carry out this research. We thank Kristen Roberson and Hannah Newman at Kennesaw State University Writing Centre, Kennesaw, USA, for professional editing of the manuscript.
Conflicts of Interest
The authors confirm that they have no conflict of interest with respect to the work described in this manuscript.
References
- Bottalico, A. Fusarium diseases of cereals: Species complex and related mycotoxin profiles, in Europe. J. Plant Pathol. 1998, 80, 85–103. [Google Scholar]
- Murray, G.M.; Brennan, J.P. Estimating disease loss to the Australian wheat industry. Australas. Plant Pathol. 2009, 38, 558–570. [Google Scholar] [CrossRef]
- Nelson, P.E.; Toussoun, T.A.; Marasas, W.F.O. Fusarium Species: An Illustrated Manual for Identification; Pennsylvania State University Press: University Park, PA, USA, 1983. [Google Scholar]
- Bensassi, F.; Zaied, C.; Abid, S.; Hajlaoui, M.R.; Bicha, H. Occurrence of deoxynivalenol in durum wheat in Tunisia. Food Control 2010, 21, 281–285. [Google Scholar] [CrossRef]
- Gelderblom, W.C.A.; Jaskiewicz, K.; Marasas, W.F.O.; Thiel, P.G. Fumonisins—Novel mycotoxins with cancer-promoting activity produced by Fusarium moniliforme. Appl. Environ. Microbiol. 1988, 54, 1806–1811. [Google Scholar] [CrossRef] [Green Version]
- Fandohan, P.; Hell, K.; Marasas, W.F.O.; Wingfield, M.J. Infection of maize by Fusarium species and contamination with fumonisin in Africa. Afr. J. Biotechnol. 2003, 2, 570–579. [Google Scholar]
- Chrestensen, C.M.; Aufmann, K.H.H. Grain Storage. The Role of Fungi in Quality Loss; University of Minnesota Press: Minneapolis, MN, USA, 1969; pp. 36–108. [Google Scholar]
- Yazar, S.; Omurtag, G.Z. Fumonisins, trichothecenes and zearalenone in cereals. Int. J. Mol. Sci. 2008, 9, 2062–2090. [Google Scholar] [CrossRef]
- Deepa, N.; Premila Achar, N.; Sreenivasa, M.Y. Current perspectives of biocontrol agents for management of Fusarium verticillioides and its fumonisin in cereals—A review. J. Fungi 2021, 7, 776. [Google Scholar]
- Deepa, N.; Adkar-Purushothama, C.R.; Sreenivasa, M.Y. Chapter 6: “Molecular Technologies for the Early Detection of Fungal Phytopathogens Associated with Cereal Crops”. Microbial Genomic Technologies to Combat the Problems of Farming Lands. In Microbes in Land Use Change Management; Elsevier: Amsterdam, The Netherlands, 2021; pp. 137–154. [Google Scholar]
- Ayala, S.; Prakasa Rao, E.V.S. Perspectives of soil fertility management with a focus on fertilizer use for crop productivity. Curr. Sci. 2002, 82, 797–807. [Google Scholar]
- Mousa, M.A.; Abo-Elyousr, K.A.; Abdel Alal, A.M.; Alshareef, N.O. Management Fusarium wilt disease in tomato by combnation of Bacillus amyloliquifaciens and peppermint oil. Agronomy 2021, 11, 2536. [Google Scholar] [CrossRef]
- Madriz-Ordeñana, K.; Pazarlar, S.; Jørgensen, H.J.L.; Nielsen, T.K.; Zhang, Y.; Nielsen, K.L.; Hansen, L.H.; Thordal-Christensen, H. The Bacillus cereus strain EC9 primers the plant immune system for superior biocontrol of F. oxysporum. Plants 2022, 11, 687. [Google Scholar] [CrossRef]
- de Fátima Dias Diniz, G.; Cota, L.V.; Figueiredo, J.E.F.; Aguiar, F.M.; da Silva, D.D.; de Paula Lana, U.G.; Dos Santos, V.L.; Marriel, I.E.; de Oliveira-Paiva, C.A. Antifungal activity of bacterial strains from maize silks against Fusarium. Arch. Microbiol. 2022, 81, 204. [Google Scholar] [CrossRef] [PubMed]
- Dey, R.; Pal, K.K.; Bhatt, D.M.; Chauhan, S.M. Growth promotion and yield enhancement of peanut (Arachis hypogaea L.) by application of plant growth-promoting rhizobacteria. Microbiol. Res. 2004, 159, 371–394. [Google Scholar] [CrossRef] [PubMed]
- Bhattacharyya, P.N.; Jha, D.K. Plant growth-promoting rhizobacteria (PGPR): Emergence in agriculture. World J. Microbiol. Biotechnol. 2012, 28, 1327–1350. [Google Scholar] [CrossRef] [PubMed]
- Nagaraja, H.; Chennappa, G.; Rakesh, S.; Naik, M.K.; Amaresh, Y.S.; Sreenivasa, M.Y. Antifungal activity of Azotobacter nigricans against trichothecene producing Fusarium species associated with cereals. Food Sci. Biotechnol. 2016, 25, 1197–1204. [Google Scholar] [CrossRef]
- Aiyaz, M.; Divakar, S.T.; Nayaka, S.C.; Hariprasad, P.; Niranjana, S.R. Application of beneficial rhizospheric microbes for the mitigation of seed- borne mycotoxigenic fungal infection and mycotoxins in maize. Biocontrol Sci. Technol. 2015, 25, 1105–1119. [Google Scholar] [CrossRef]
- Bharadwaj, D.; Ansari, M.W.; Sahoo, R.; Tuteja, N. Biofertilizers function as key player in sustainable agriculture by improving soil fertility, plant tolerance and crop productivity. Microb. Cell Factories 2014, 13, 66. [Google Scholar] [CrossRef] [Green Version]
- Punja, Z.K.; Rodriguez, G.; Tirajoh, A. Effects of Bacillus subtilis strain QST 713 and storage temperatures on post-harvest disease development on greenhouse tomatoes. Crop Prot. 2016, 84, 98–104. [Google Scholar] [CrossRef]
- Nagaraja, H.; Chennappa, G.; Poorna Chandra Rao, K.; Mahadev Prasad, G.; Sreenivasa, M.Y. Diversity of toxic and phytopathogenic Fusarium species occurring on cereals grown in Karnataka state, India. 3 Biotech 2016, 6, 57. [Google Scholar] [CrossRef] [Green Version]
- Chennappa, G.; Adkar-Purushotama, C.R.; Suraj, U.; Tamilvendan, K.; Sreenivasa, M.Y. Pesticide tolerant Azotobacter isolates from paddy growing areas of northern Karnataka, India. World J. Microbiol. Biotechnol. 2013, 30, 1–7. [Google Scholar] [CrossRef]
- Peraira, P.; Nesci, A.; Etcheverry, M.G. Efficacy of bacterial seed treatment for the control of Fusarium verticillioides in maize. BioControl 2009, 54, 103–111. [Google Scholar] [CrossRef]
- Daniel, F.; Castillo, H.; Maria, A. In Vitro Antagonist Action of Trichoderma Strains against Sclerotinia sclerotiorum and Sclerotium cepivorum. Am. J. Agric. Biol. Sci. 2011, 6, 410–417. [Google Scholar]
- Bragulat, M.R.; Martınez, E.; Castella, G.; Cabanes, F.J. Selective efficacy of culture media recommended for isolation and enumeration of Fusarium spp. J. Food Prot. 2004, 67, 207–211. [Google Scholar] [CrossRef] [PubMed]
- Leslie, J.F.; Summerell, B.A. The Fusarium Laboratory Manual, 1st ed.; Blackwell Publishing Professional: Hoboken, NJ, USA, 2006; pp. 8–240. [Google Scholar]
- Tang, A.; Harana, A.O.; Ab Majid, M.N.; Jalloh, M.B. Effects of selected functional bacteria on maize growth and nutrient use efficiency. Microorganisms 2020, 8, 854. [Google Scholar] [CrossRef] [PubMed]
- Wu, S.C.; Cao, Z.H.; Li, Z.G.; Cheung, K.C.; Wong, M.H. Effects of biofertilizer containing N-fixer, P and K solubilizers and AM fungi on maize growth: A greenhouse trial. Geoderma 2005, 125, 155–166. [Google Scholar] [CrossRef]
- Aasfar, A.; Bargez, A.; Yaakoubi, K.; Hilali, A.; Bennis, I.; Zeroual, Y.; Kadmiu, I.M. Nitrogen fixing Azotobacter species as potential soil biological enhancers for crops nutrition and yield stability. Front. Microbiol. 2021, 12, 354. [Google Scholar] [CrossRef]
- Cavaglieri, L.R.; Passone, A.; Etcheverry, M.G. Correlation between screening procedures to select root endophytes for biological control of Fusarium verticillioides in Zea mays L. Biol. Control 2004, 31, 259–267. [Google Scholar] [CrossRef]
- Chauhan, S.; Wadhwa, K.; Vasudeva, M.; Narula, N. Potential of Azotobacter spp. as biocontrol agents against Rhizoctonia solani and Fusarium oxysporum in cotton (Gossypium hirsutum), guar (Cyamopsis tetragonoloba) and tomato (Lycopersicum esculentum). Arch. Agron. Soil Sci. 2012, 58, 1365–1385. [Google Scholar] [CrossRef]
- Pereira, P.; Nesci, A.; Etcheverry, M. Effects of biocontrol agents on Fusarium verticillioides count and fumonisin content in the maize agroecosystem, Impact on rhizospheric bacterial and fungal groups. Biol. Control 2007, 42, 281–287. [Google Scholar] [CrossRef]
- Cavaglieri, L.; Orlando, J.; Rodríguez, M.I. Biocontrol of Bacillus subtilis against Fusarium verticillioides in vitro and at the maize root level. Res. Microbiol. 2005, 156, 748–754. [Google Scholar] [CrossRef]
- Kokalis-Burelle, N.; Kloepper, J.W.; Reddy, M.S. Plant growth-promoting rhizobacteria as transplant amendments and their effects on indigenous rhizosphere microorganisms. Appl. Soil Ecol. 2006, 31, 91–100. [Google Scholar] [CrossRef]
- Kloepper, J.W.; Ryu, C.M.; Zhang, S. Induced resistance and promotion of plant growth by Bacillus spp. Phytopathology 2004, 94, 1259–1266. [Google Scholar] [CrossRef] [PubMed] [Green Version]
- Vessey, J. Plant growth promoting rhizobacteria as biofertilizers. Plant Soil. 2003, 255, 571–586. [Google Scholar] [CrossRef]
- Biari, A.; Gholami, A.; Rahmani, H.A. Growth promotion and enhanced nutrient uptake of maize (Zea maya L.) by application of plant growth promoting rhizobacteria in arid region of Iran. J. Biol. Sci. 2008, 8, 1015–1020. [Google Scholar] [CrossRef] [Green Version]
- Pereira, P.; Nesci, A.; Castillo, C.; Etcheverry, M. Impact of bacterial biological control agents on fumonisin B1 content and Fusarium verticillioides infection of field-grown maize. Biol. Control 2010, 53, 258–266. [Google Scholar] [CrossRef]
- Egamberndiyeva, D. The effect of plant growth promoting bacteria on growth and nutrient uptake of maize in two different soils. Appl. Soil Ecol. 2007, 36, 184–189. [Google Scholar] [CrossRef]
- Gao, C.; El-Sauah, A.M.; Ali, D.F.I.; Hamoud, Y.A.; Shaghalah, H.; Sheteiuy, M.J. The integration of bio and organic fertilizers improve plant growth grain yield quality and metabolism of hybrid maize (Zea mays). Agronomy 2020, 10, 319. [Google Scholar] [CrossRef] [Green Version]
- Sharma, A.; Johri, B.N. Growth promoting influence of siderophore-producing Pseudomonas strains GRP3A and PRS9 in maize (Zea mays L.) under iron limiting conditions. Microbiol. Res. 2003, 158, 243–248. [Google Scholar] [CrossRef]
- Ona, O.; Smith, I.; Gysegom, P.; Bernaerts, K.; Impe, J.V.; Prinen, E.; Vanderleyden, J. Effect of pH on Indole-3-aceticacid (IAA) biosynthesis of Azospirillum brailense sp7. Symbiosis 2003, 35, 199–208. [Google Scholar]
- Kumar, B.; Dubey, R.C.; Maheshwari, D.K. Biocontrol of Macrophomina Phaseolina: Prospects and Constraints. In Microbial Diversity: Current Perspectives and Potential Applications; Satyanarayana, T., Jorhi, B.N., Eds.; International Research Publication House: New Delhi, India, 2005; pp. 471–492. [Google Scholar]
- Deepa, N.; Sreenivasa, M.Y. Chapter 13: “Biocontrol Strategies for Effective Management of Phytopathogenic Fungi Associated with Cereals”. In New and Future Developments in Microbial Biotechnology and Bioengineering-Microbial Biotechnology in Agro-Environmental Sustainability; Elsevier: Amsterdam, The Netherlands, 2019; pp. 177–189. [Google Scholar]
- Deepa, N.; Sreenivasa, M.Y. Chapter 9: “Sustainable Approaches for Biological Control of Mycotoxigenic Fungi and Mycotoxins in Cereals”. In Use of Microbial Bio-Fertilizers Technology in Agro-Environmental Sustainability- Recent Trends in Biological Control Mycotoxigenic Fungi in Cereals; Elsevier: Amsterdam, The Netherlands, 2019; pp. 149–161. [Google Scholar]
Publisher’s Note: MDPI stays neutral with regard to jurisdictional claims in published maps and institutional affiliations. |
© 2022 by the authors. Licensee MDPI, Basel, Switzerland. This article is an open access article distributed under the terms and conditions of the Creative Commons Attribution (CC BY) license (https://creativecommons.org/licenses/by/4.0/).








