Abstract
Downy mildew, caused by Plasmopara viticola, is one of the most destructive diseases affecting grapevines, particularly in areas with bioclimatic conditions that favor its development, such as northwestern Spain. This study examined the presence of P. viticola sporangia in three vineyards located in two distinct bioclimatic regions (ultra-oceanic and subcontinental) over two consecutive years (2023 and 2024) using Hirst-type volumetric samplers. The relationship between P. viticola and grapevine phenology, along with meteorological variables, was analyzed to help develop effective strategies for managing this disease. Spearman correlation analysis showed that temperature was the most influential variable in all vineyards. However, water-related variables (relative humidity and precipitation) showed stronger correlations in the ultra-oceanic vineyard, which also had the highest sporangium concentrations. Principal Component Analysis revealed that sporangium concentrations in the ultra-oceanic region were most strongly associated with relative humidity and wind speed. In contrast, sporangium concentrations in the subcontinental vineyards were more closely related to temperature, dew point, and wind speed (in Alongos), as well as wind speed (in Alongos and Cenlle). PCA results clearly differentiated the two bioclimatic zones. These findings provide valuable insights that can improve downy mildew management in vineyards in northwestern Spain.
1. Introduction
The grapevine (Vitis vinifera L.) is known for its significant agricultural and economic value in various geographical regions [1], with Spain being the world’s leading wine exporter by volume and the third by value [2,3]. The northwestern region of the country has over 33,200 hectares of vineyards, with the vast majority of wine production centered in the provinces of Ourense and Pontevedra [4]. The bioclimatic conditions in this area are characterized by high humidity, abundant rainfall, and moderate temperatures, all propitious to the development of downy mildew (Plasmopara viticola) on grapevines, one of the most devastating diseases affecting these crops [5,6,7]. Downy mildew epidemics result in both direct and indirect yield losses, including reduced photosynthetic activity in affected leaves, the premature defoliation of vines, and the rotting of inflorescences, shoots, and clusters [8].
The causal agent of this disease is the oomycete Plasmopara viticola (Berk. & M.A. Curtis) Berl. & De Toni, which was brought to Europe in 1878 from North America through rootstock of American wild grapevines resistant to phylloxera [9]. P. viticola is an obligate parasite belonging to the family Peronosporaceae, the order Peronosporales, and the class Peronosporomycetes [10]. During the vegetative period of grapevine development, P. viticola completes its life cycle, which is governed by oospores and sporangia. In early spring, zoospores released from macrosporangia, formed by the germination of oospores, are dispersed by rain and wind onto new leaves and shoots, eventually reaching the grape clusters. New zoospores are produced through asexual reproduction, continuously infecting fresh tissues throughout the growing season [11]. Moreover, evidence shows that the survival of the inoculum in plant debris allows it to germinate in successive crops, complicating the eradication of the disease [12]. All grapevine varieties are susceptible to this disease, although the degree of susceptibility varies among them [13,14]. However, genetic diversity analysis has revealed distinct patterns between populations in different geographical regions, highlighting the influence of historical introductions and local environmental conditions [15].
The traditional and most effective method for controlling downy mildew is the periodic application of copper-based formulations, although other types of phytosanitary products, operating either on contact or systemically, have been developed [16]. However, the European Union has established restrictions on the prolonged use of these phytosanitary products due to their potential to promote the emergence of pathogen-resistant strains [6], as well as their negative impact on soil and water quality, which can ultimately affect human health [17,18,19]. There is therefore an increasing need for research into the alternative management of cryptogamic diseases that minimizes the use of these products [20]. Cultivation practices, such as planting grapevines in open, well-ventilated layouts rather than compact ones; managing cover vegetation; employing specific pruning techniques; and ensuring the appropriate handling of pruning residues, represent some alternatives for disease prevention [21,22].
Given that P. viticola sporangia are the main focus for monitoring infection, aerobiological studies that continuously detect their presence and correlate it with meteorological variables are a useful tool for detecting and reducing the spread of the disease [23,24]. Various studies in Spain have described these relationships; however, they differ between years and regions. There are wine-making regions where studies on the detection of P. viticola sporangia in the air are limited, such as the region of the Rías Baixas [13,25,26,27]. The aim of this study was to evaluate the influence of meteorological variables on the aerial concentration of Plasmopara viticola sporangia in two different bioclimatic regions of northwest Spain during the grapevine vegetative cycle.
2. Materials and Methods
2.1. Location and Climatic Characteristics of the Study Area
The study was conducted in three vineyards in northwestern Spain: Areeiro (42°24′13″ N, 8°40′18″ W), Alongos (42°20′03″ N, 7°57′48″ W), and Cenlle (42°18′56″ N, 8°06′03″ W) (Figure 1). This region is strongly influenced by maritime conditions, which diminish as one heads inland toward the east and the distance from the coast increases [28].
Figure 1.
Location of the study vineyards: Areeiro, Alongos, and Cenlle.
Areeiro is located in the Rías Baixas region and biogeographically belongs to the Eurosiberian region. Many of the vineyards are situated close to the coast, creating a microclimate with high humidity, mild temperatures, and frequent rainfall. The traditional cultivation system is in elevated training trellises, structures that lift the vines off the ground to prevent diseases induced by humidity. These systems also provide optimal sun exposure and ventilation. The climate is Atlantic oceanic, with mild winters and precipitation throughout the year, falling to a minimum in the summer [29].
Alongos and Cenlle are located in O Ribeiro, Ourense Province, in the Miño River basin, a region characterized by rugged terrain with fertile valleys and gentle hills. Biogeographically, their location is in a transitional zone between the Eurosiberian and Mediterranean regions [30]. The landscape is dominated by vineyards extending across terraced slopes, utilizing traditional cultivation systems that maximize the use of the hilly terrain and optimize solar exposure. The climate is oceanic with a Mediterranean influence, with mild, wet winters and warmer, drier summers compared to the coastal areas [28].
2.2. Phenological and Aerobiological Study
This study was carried out during the active grapevine growing seasons in 2023 and 2024, focusing on phenological research and sampling P. viticola sporangia in the vineyards using aerobiological methods.
For the phenological study, the most characteristic grapevine varieties of each wine-producing region were selected: Albariño in Areeiro and Treixadura in Cenlle and Alongos. The Biologische Bundesanstalt, Bundessortenamt und Chemische Industrie (BBCH) scale proposed by Meier [31] was followed. In each vineyard, 20 plants were selected to monitor six phenological stages (PS): PS 0 (bud development), PS 1 (leaf development), PS 5 (inflorescence emergence), PS 6 (flowering), PS 7 (development of fruit), and PS 8 (ripening of berries). To determine these stages, weekly visits were made to each vineyard, with two visits per week during the flowering stage (PS 6). The start date of each phenological stage was recorded as the date when 50% of the studied plants were observed in that stage.
Fungal propagule samples were collected using Lanzoni VPPS-2000 model volumetric collectors (Lanzoni Manufacturing, Bologna, Italy) [32], placed 2 m above ground level to avoid obstruction by vine growth. The samplers were calibrated to a flow rate of 10 L/min. For sample processing, the authors applied the Spanish Aerobiological Network protocol [33]. Air samples were trapped in a cylindrical drum covered with Melinex tape previously coated with a 2% silicone solution. In the laboratory, this tape was divided into seven sections, and microscope slides were prepared using glycerinated gelatin with 1% basic fuchsin as the preparation medium. Aerobiological preparations were analyzed under a light optical microscope (OLYMPUS BX50F, Tokyo, Japan) at 400× magnification. P. viticola sporangia were identified as hyaline, ovoid structures, wider at the apex, with lengths ranging from 17 to 40 μm and thicknesses from 10 to 20 μm. The results were expressed as daily sporangium concentration per cubic meter of air (sporangia/m3) using the terminology proposed by Galán et al. [34].
2.3. Meteorological Data
The meteorological data used in this study were recorded by a HOBO meteorological station (ONSET HOBO USB Micro Station Data Logger) located at each vineyard. The daily meteorological variables recorded were average temperature (AvgT, °C), maximum temperature (MaxT, °C), minimum temperature (MinT, °C), relative humidity (RH, %), and dew point (Dp, °C). Precipitation (Rain, L/m2) and wind speed (Ws, km/h) data were obtained from the nearest meteorological stations in the MeteoGalicia network (http://www.meteogalicia.gal/, accessed on 28/11/2024).
To classify the regions where the vineyards are located (Rías Baixas and O Ribeiro), the Currey continentality index [35] was used. This index is calculated based on thermal amplitude and latitude:
where:
Kcu = Am/(1 + (ϕ/3))
- Kcu = Currey index;
- Am = thermal amplitude;
- ϕ = latitude.
2.4. Statistical Analysis
To evaluate the degree of association between meteorological variables and the concentrations of P. viticola sporangia up to 7 days prior, the non-parametric Spearman correlation test was performed. Three periods were considered for the analysis: the 2023 season, the 2024 season, and both seasons combined. The significance levels for the confidence intervals were set at 95% (p < 0.05) and 99% (p < 0.01).
Additionally, a Principal Component Analysis (PCA) was conducted to identify differences in sporangium concentrations between bioclimatic regions and to analyze the influence of all variables on sporangium concentrations in each area. Statistical analyses were performed using IBM SPSS Statistics 24 software.
3. Results
3.1. Grapevine Phenology Cycle and P. viticola Concentrations
The duration of the grapevine growing cycle in all vineyards was similar in both years, with an average duration of 170 days, the exception being Alongos in 2023, where it was shorter, lasting 142 days. Considering both growing seasons, the average duration was longer in Cenlle (177 days) and Areeiro (175 days) than in Alongos (159 days). In 2024 (179 days), the growing cycle was longer than in 2023 (161 days) in all three vineyards (Table 1).
Table 1.
Dates and duration of the phenological study.
The duration of the phenological stages showed variations across all locations and years (Table 2). In all study vineyards, the longest phenological stage was fruit development (PS 7), lasting 74 days in Areeiro, 72 days in Alongos, and 68 days in Cenlle. The next longest stage was the ripening of berries (PS 8), which lasted 64 days in Areeiro, 51 days in Alongos, and 60 days in Cenlle, using the average value for both growing seasons.
Table 2.
Start date of the phenological stages (PS 0—bud development, PS 1—leaf development, PS 5—inflorescence emergence, PS 6—flowering, PS 7—development of fruit, and PS 8—ripening of berries) in the three vineyards in 2023 and 2024, the sum of Plasmopara viticola daily concentrations (SSIn, sporangia/m3) over each phenological stage, the peak maximum daily concentration (Peak, sporangia/m3), and the total sporangium concentration in each study period (Total, sporangia).
The P. viticola total concentration showed notable differences between the different vineyards and sampling years. In 2023, Areeiro yielded 53,447 sporangia/m3, whereas Alongos yielded 2483 sporangia/m3 and Cenlle 1581 sporangia/m3 (Table 2). In 2024, there was a considerable decrease compared to the previous year, with a 37% reduction at Areeiro, 47% at Alongos, and 71% at Cenlle (Table 2).
In terms of temporal distribution, P. viticola sporangia were recorded at all phenological stages in both years and all vineyards (Table 2 and Figure 2). The highest concentrations in Areeiro were recorded during the flowering (PS 6) and fruit development (PS 7) stages in 2023. However, in 2024, peaks were observed during the fruit development stage and the ripening of berries (PS 7 and 8, respectively). In Alongos and Cenlle, in both growing seasons, the highest concentration of sporangia was observed during the fruit development stage (PS 7). In general, the days with the highest concentration of P. viticola sporangia in the three vineyards were mainly recorded during the fruit development and ripening stages (PS 7, PS 8).
Figure 2.
Phenology (upper lines: PS 0—bud development, PS 1—leaf development, PS 5—inflorescence emergence, PS 6—flowering, PS 7—development of fruit, and PS 8—ripening of berries), Plasmopara viticola daily concentrations (gray area), average temperature (lines), and rainfall (bars) during the years of study. In order to facilitate the comprehension of the graphics, Plasmopara viticola sporangium concentrations were divided by three in the 2023 graphs. (a) Areeiro 2023–2024, (b) Alongos 2023–2024, and (c) Cenlle 2023–2024.
In 2023 in Areeiro, several daily peaks were recorded: 7 June (1045 sporangia/m3), 13 June (1474 sporangia/m3), and 7 and 24 July (1193 and 1454 sporangia/m3), all during the fruit development stage (PS 7). Additionally, between 28 May and 1 June, 17,303 sporangia/m3 were recorded, representing 33% of the total annual count in just five days. However, the maximum peak in Areeiro occurred during the flowering stage (PS 6) on 29 May 2023, with 5604 sporangia/m3. In 2024, in the same vineyard, several days with values over 1000 sporangia/m3 were also recorded during both PS 7 and PS 8.
In the Alongos vineyard, the maximum daily concentrations were lower, with notable peaks of 455 sporangia/m3 on 23 June 2023 and 117 sporangia/m3 on 9 July 2024, both during the fruit development stage (PS 7).
3.2. Meteorological Parameters During the Study
The meteorological conditions in the three vineyards showed marked location-related differences. The continentality index for Areeiro (Kcu = 0.43) classifies this area as ultra-oceanic due to its lower thermal amplitude. The inland area, where Alongos and Cenlle are located, is classified as subcontinental, with Kcu values of 1.5177 and 1.6511, respectively.
Analysis of the meteorological data showed that the average and minimum temperatures did not exhibit significant differences among the three locations over the study period. However, the maximum temperature varied between 26 and 27 °C in Alongos and Cenlle, while in Areeiro, it ranged between 23 and 24 °C (Table 3). On the other hand, all climatic variables contributing to ambient humidity were higher in Areeiro compared to the other two vineyards. The average precipitation over both years was 475 L/m2 in Areeiro, compared to 247 L/m2 in Alongos and 321 L/m2 in Cenlle. Similarly, the average relative humidity was 83% in Areeiro, in contrast to 70% in Alongos and 75% in Cenlle. In terms of the average dew point, Areeiro recorded 14 °C, while Alongos and Cenlle were approximately 1 degree lower. Wind speed was also higher in Areeiro compared to that in Alongos and Cenlle (3.7 km/h in Areeiro vs. <1 km/h in Alongos and Cenlle). When comparing both growing seasons, 2023 was slightly warmer and less rainy than 2024 in all three vineyards (Table 3).
Table 3.
Meteorological variables (MaxT °C—maximum temperature, MinT °C—minimum temperature, AvgT °C—mean temperature, RH %—relative humidity, Dp °C—dew point, and Ws Km/h—wind speed) and total precipitation (Rain—L/m2) in the three vineyards (2023 and 2024).
Analysis of the meteorological data averaged by phenological stage (Table S1) reveals that the highest average temperatures occurred during the summer months (PS 8), ranging from 19.98 °C in Areeiro to 23.81 °C in Alongos, in both cases during the 2024 growing season. The lowest minimum temperature values were recorded during the leaf development stage (PS 1), ranging from 5.23 °C in Alongos to 8.52 °C in Areeiro in 2023. As far as rainfall is concerned, in 2023, all three vineyards recorded the highest precipitation during the fruit development stage (PS 7), with values over 100 L/m2. In 2024, precipitation was higher during the bud development stage (PS 0), with 79.73 L/m2 in Alongos and more than 100 L/m2 in Areeiro and Cenlle.
3.3. Meteorological Influence on P. viticola Sporangia
Among the meteorological variables studied, temperature had the greatest influence on the P. viticola sporangium concentration in three vineyards, regardless of the study period (Table 4 and Table S2).
Table 4.
Spearman correlation test results comparing Plasmopara viticola concentration (sporangia/m3) and the meteorological variables recorded (MaxT—maximum, MinT—minimum, and AvgT—average temperature (°C); Rain—rainfall (mm), Ws—wind speed (km/h); RH—relative humidity (%); and Dp—dew point (°C)) (signification level: p < 0.01 **, p < 0.05 *). Only the values of the correlations with the highest r values for each variable are shown.
In particular, the average temperature from the seven preceding days in Areeiro (r = 0.626, 2024) and the same-day temperature in Alongos (r = 0.627, in 2023) showed the strongest correlations. Similar r values were also observed for the dew point, with mostly positive correlations. In general, the influence of variables related to water (precipitation and relative humidity) was weaker, showing both positive and negative correlations at different periods. Similar relationships were observed between the detected concentrations and wind speed (Table 4 and Table S2).
Analysis of the correlation results by vineyard revealed that in the ultra-oceanic area (Areeiro), the mean temperature generally exhibited stronger correlations than the maximum or minimum temperatures, with positive correlations in all study periods. Overall, the r value for both the maximum and mean temperatures increased when considering the influence of previous days, reaching its peak seven days before. The temperature on previous days had a greater influence than the temperature on the day of measurement on the P. viticola presence in the air. By contrast, the relationship with the dew point on previous days was weaker than that on the same day. Precipitation showed a negative correlation when analyzing the 2024 data, with r values increasing when considering the influence of previous days. Relative humidity correlated positively with sporangium concentration in 2023. However, in 2024, significant correlations were negative.
In the subcontinental area (Cenlle and Alongos), temperature was also the most influential variable, with correlation results consistently stronger in Alongos than in Cenlle. What was notable about the temperature influence in the transition zone was that it showed a positive correlation in 2023 and a negative one in 2024. After temperature, the dew point and wind speed were the factors exhibiting the highest r values. With regard to wind speed, a similar pattern was observed in both vineyards: a negative influence in 2023 and a positive one in the preceding days in Alongos in 2024. By contrast, relative humidity and precipitation had significantly weaker correlations with the P. viticola sporangium concentration. Relative humidity always showed a positive influence, while rainfall had variable effects.
When the correlations were compared across both seasons (2023 and 2024), a general trend toward a decrease in the significance and strength of the correlations with meteorological factors became evident. In the ultra-oceanic area, correlations with temperature and dew point (both on the same day and up to seven before days) remained significant and positive. Relative humidity and precipitation on the same day and previous days showed less influence when combining seasons than when the years were analyzed separately. In the vineyards in the subcontinental area, maximum temperature only showed significant correlations with sporangia on the same day. Taking the dataset for each location separately, in Alongos, most correlations were positive and significant, with minimum temperature, mean temperature, and dew point maintaining their significance, although with lower r values. However, in Cenlle, for these same variables, correlations were only present on the same day and the preceding day, and for dew point, for the two preceding days. Relative humidity lost its strength when both years were considered together, although the correlation remained positive. With regard to leaf humidity, significant correlations were only found in Areeiro one and seven days before. Wind speed from four and seven days prior had a positive influence in Areeiro, while in Cenlle, it had a negative influence across all the evaluated days.
3.4. Principal Component Analysis
To determine the relationship between the concentrations of P. viticola sporangia recorded in the three vineyards, a principal component analysis was conducted. Principal component 1 (PC1) and principal component 2 (PC2) accounted for approximately 74% of the variance in the data. PC1 grouped the sporangium concentrations from the Alongos and Cenlle vineyards, while those from Areeiro were placed in PC2 (Figure 3).
Figure 3.
Results of the principal component analysis applied to Plasmopara viticola concentrations in the vineyards of Areeiro, Alongos, and Cenlle. Factor 1 = Principal Component 1; Factor 2 = Principal Component 2.
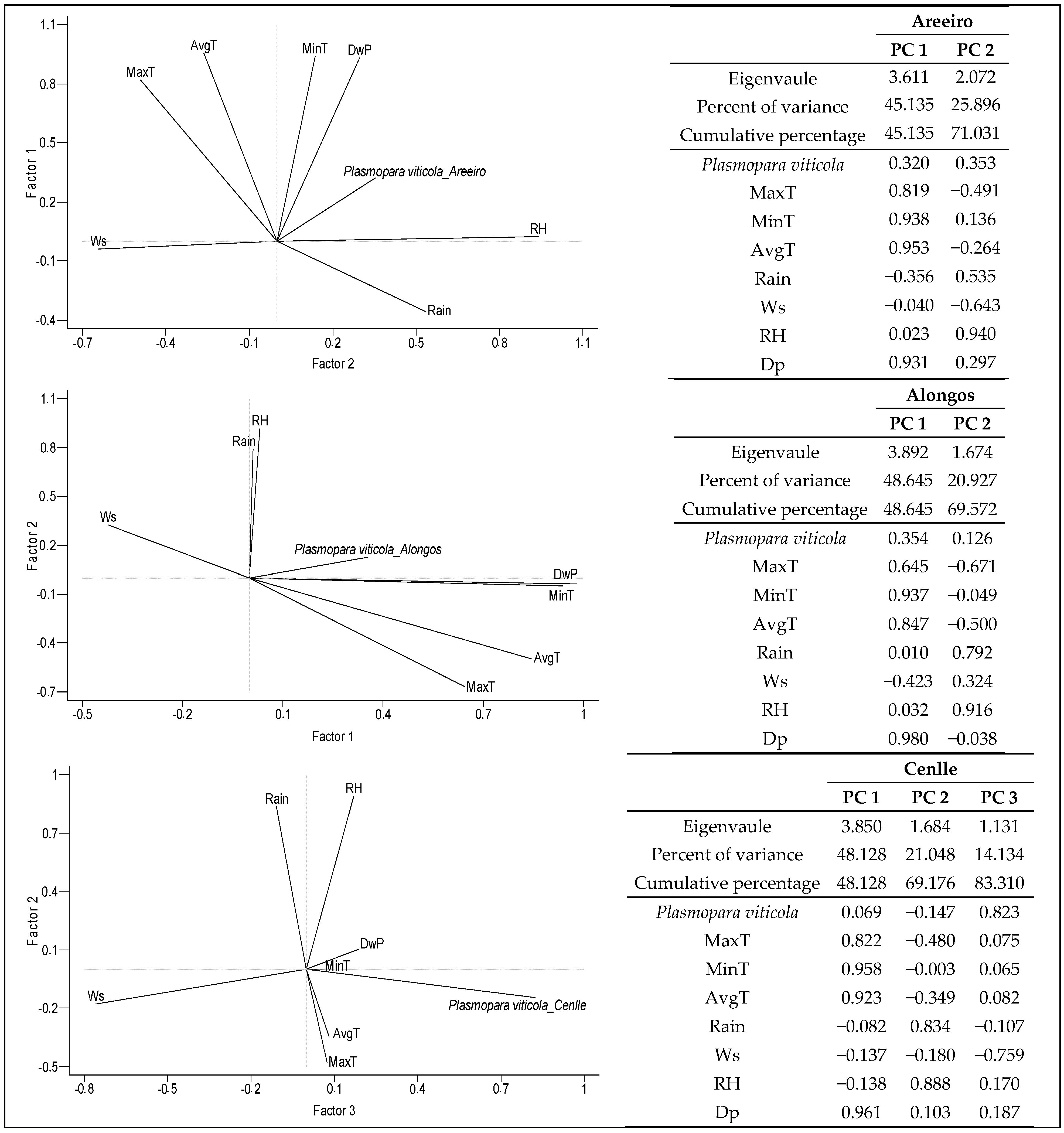
In order to identify the meteorological factors that most influence the variation in P. viticola sporangium concentrations across the different vineyards, three additional PCAs were performed, one for each study area. The PCA for Cenlle grouped the data into three principal components, while the PCA for Areeiro and Alongos grouped the data into two components. In both Areeiro and Alongos, the two components accounted for a similar percentage of the data variance, close to 70%. In contrast, the three components from the Cenlle PCA accounted for 83.3% of the data variance (Figure 4).
Figure 4.
Principal component analysis (PCA) results for the three locations: Areeiro, Alongos, and Cenlle. Factor 1 = PC 1, Factor 2 = PC 2, and Factor 3 = PC 3. MaxT—maximum temperature, MinT—minimum temperature, AvgT—average temperature, Dp—dew point, Rain—rainfall, RH—relative humidity, and Ws—wind speed.
With regard to the distribution of meteorological variables in the different principal components, it was observed that the P. viticola concentration in the ultra-oceanic area (Areeiro) was more strongly associated with component 2, which also grouped relative humidity, rain, and wind speed (Figure 4). Meanwhile, the sporangium concentration in Alongos was more closely associated with component 1, where temperature (maximum, minimum, and average), dew point, and wind speed (with a weaker and negative association) were highlighted. Finally, the sporangium concentration in Cenlle and wind speed were grouped in component 3. These results are consistent with the findings from the Spearman correlation analysis when considering both years (2023 and 2024) together.
Finally, when we took into account the grouping of the meteorological variables analyzed with the PCA, it was observed that the maximum, minimum, and average temperatures, as well as the dew point, were grouped in the same component across all three vineyards, always in the component that accounted for the highest variability (Figure 4). Precipitation was found in the second component, both in the ultra-oceanic vineyard and in the subcontinental vineyards. In the latter, relative humidity was grouped with precipitation in all study areas (Figure 4).
4. Discussion
Knowledge of grapevine phenology over several seasons is essential for ascertaining the characteristics of wine-growing regions. This information enables the effective planning of agricultural tasks and the application of phytosanitary products [36,37]. Furthermore, aerobiological studies of these crops help to optimize harvest yields and to improve the quality of the final product [38].
The main factors that influence the vegetative activity of the vine and the development of its various phenological stages are meteorological in nature, although agricultural management also plays a role [39,40]. The average duration of the grapevine cycle in this study is consistent with that in other studies carried out in the northwest Iberian Peninsula [5,26]. The shortest vegetative cycle throughout the study period was observed in 2023 at the Alongos vineyard. This difference was mainly due to a shortening of PS 8 by 11–14 days compared to that in Cenlle and Areeiro. This may have been caused by temperature variations, which are a key factor for grapevine development in temperate regions [25,41]. In this regard, maximum and average temperatures during this stage were higher in Alongos, and other variables related to humidity were lower. This may have influenced earlier ripening, since the heat dries the soil and stops fruit growth [42].
The meteorological conditions in the three vineyards favored the presence and spread of P. viticola sporangia in the air during the vine growth cycle. For downy mildew to develop in vineyards, climatic conditions are crucial in determining the prevalence and severity of the disease [5]. During spring rains, oospores germinate. These oospores (or the zoospores produced) are transported by rain or wind to the lower leaves, where they penetrate with the help of free water and initiate disease. Once the mycelium develops, sporangiophores emerge through the stomata, releasing sporangia that are carried by the wind and rain to other healthy plants [43]. Oospore germination requires soil temperatures around 12–13 °C and moisture, while the conditions for P. viticola sporulation include a minimum temperature of 13 °C, an optimal temperature of 19 °C, relative humidity higher than 95%, and around 4 h of darkness [44]. In both the vineyard located in the ultra-oceanic area (Areeiro) and the two in the subcontinental area (Cenlle and Alongos), the average relative humidity was above 69%, and the average temperature ranged between 17.12 °C and 19.11 °C, conditions propitious to the presence of the pathogen. However, the sporangium concentration was significantly higher in Areeiro, which distinguishes this vineyard from the others based on the PCA results. This variation may be attributable to the higher average values of relative humidity, accumulated rainfall, and wind speed in Areeiro. Furthermore, the Albariño variety cultivated in Areeiro is more susceptible to downy mildew than the Treixadura variety found in Cenlle and Alongos. Boso et al. [45] conducted a study where they confirmed that the Albariño variety grown in Rías Baixas is more susceptible than the Treixadura variety from O Ribeiro. This could be due to Albariño’s compact bunches, which can retain moisture and hinder ventilation, while Treixadura bunches are looser.
In Areeiro, the peaks of P. viticola sporangium concentration took place during flowering in 2023 and during the ripening of berries in 2024, coinciding with the most critical stages for the development of downy mildew [46]. In this same vineyard, where the highest sporangium concentration in the entire study was recorded (29 May 2023, during GS6), rainfall, daily relative humidity above 85%, and daily average temperatures ranging between 15.99 °C and 17.47 °C were recorded over the three preceding days. The secondary peaks were also characterized by rainfall in the preceding days and daily average temperatures above 18.00 °C, although relative humidity was slightly lower (around 77%). In Alongos and Cenlle, both the maximum concentration peak and the secondary peaks occurred during stage 7 (development of fruit) in both years. In all cases, there were episodes of rainfall, daily relative humidity above 65%, and daily average temperatures exceeding 17.00 °C. These meteorological conditions may have favored the sporulation and viability of the sporangia and thus the increase in their concentrations in the air [47]. In fact, the viability of these asexual propagules is a critical biological and epidemiological trait influencing the development and spread of the disease [48].
Meanwhile, a comparison of concentrations between years shows that although the accumulated rainfall and average relative humidity were generally lower in 2023 than in 2024, the slight increases in temperature (maximum, minimum, and average) in 2023 might have positively influenced the presence of P. viticola sporangia in the air. Indeed, the correlations demonstrated that temperature was the meteorological variable that most influenced the sporangium concentrations in the vineyards, especially in Alongos and Cenlle, when analyzing the influence of all variables in the PCA. These findings are consistent with those reported by [26] in the O Ribeiro wine-growing region of northwestern Spain, where variations in the positivity/negativity of correlation were also observed between different study years. For this same region, Bracero et al. [49] demonstrated that the temperatures on preceding days have a greater influence on sporangium concentrations in the air than those on the day of sampling. This finding acts as an aid for the timely prediction of infection in plants, allowing for the efficient use of phytosanitary products.
Among the variables related to humidity, dew point had one of the strongest influences on P. viticola sporangium concentration, both in the Spearman correlation analysis and in the PCA for the three vineyards. This aligns with results from other studies in the southern Iberian Peninsula [49]. The positive relationship is due to the fact that dew point generates the necessary humidity on the leaf for zoospores to penetrate the stomata and simultaneously promotes the release of sporangia from the sporangium stalks [50]. This humidity can also be generated by rainfall and the relative humidity on previous days, which generally correlated positively in this study. In Areeiro, the bioclimatic area with the highest average relative humidity values, the PCA revealed that this variable was the one most contributing to sporangium concentrations. In this regard, other authors have pointed out that sporangia are only released during rainfall, which is why they are abundant during these periods [5,51]. By contrast, same-day rainfall decreased sporangium concentrations due to the effect of atmospheric washout [52]. This same effect may explain the negative correlations with both variables in the ultra-oceanic area, where rainfall is more frequent.
Wind speed was not always correlated with the sporangium presence, nor in the same way. In other studies in northwestern Spain, it has been shown that no correlation exists between these variables over the course of the preceding days, although when a correlation is detected, it is positive [5,27]. The PCA confirmed that wind speed played an important role in the dispersion and detection of sporangia in all the vineyards. Cortiñas et al. [26] found that both variables were present in the same component but in opposite directions. Wind disturbance, while aiding in the dispersion of propagules, also promotes mixing and dilution, which may be a likely cause for the inverse relationship in the years when it was detected [53].
The detection of airborne P. viticola sporangia is valuable for identifying infection events. Information about the presence of sporangia, combined with an understanding of the meteorological factors that promote their development and, therefore, the spread of the disease, is essential, as it facilitates disease control. In fact, controlling the disease requires a significant amount of plant protection products [54]. Copper compounds, which are commonly used in the vineyards examined in this study to combat the spread of P. viticola, are also widely employed in viticulture to reduce sporangium concentrations to acceptable levels [44]. These treatments help to control the spread of the pathogen, thereby minimizing crop damage. Although numerous alternatives to copper-based treatments have been investigated to control P. viticola, the issue remains unresolved [55], and copper continues to be one of the most commonly used treatments against downy mildew, despite its environmental impacts due to soil accumulation [56]. However, the use of these products could be reduced by combining aerobiological techniques with phenological studies, enabling the more efficient and precise application of plant protection products [26,27,38].
This is a preliminary study, and more years of research are needed to develop predictive models for sporangium concentrations that would allow for the development of an early warning system. With additional data, more reliable results can be achieved, enabling the adaptation of predictive models to specific bioclimatic zones. This would facilitate early decision-making based on weather forecasts, leading to more effective and sustainable disease management. Consequently, the overall chemical treatment load can be reduced and the environmental impact minimized.
5. Conclusions
Grapevine diseases, such as downy mildew, can diminish or even destroy the harvest of a season, especially in regions where the climatic conditions are favorable for the development of these diseases. The present aerobiological study of P. viticola sporangia emphasizes the significance of climatic conditions in vineyards in the northwest of Spain, particularly the role of temperature and rainfall in the days preceding sporangium detection. These factors had a slight but distinct impact on the spread of downy mildew in the two studied bioclimatic zones.
Furthermore, the use of aerobiological samplers that allow for the detection of sporangium concentration, which causes fungal diseases in the vine, is very helpful for implementing an effective integrated pest management strategy. This enables the early detection of the disease, providing enough time for prompt intervention to halt the development of the disease and, therefore, its undesirable effects on the final production.
Supplementary Materials
The following supporting information can be downloaded at: https://www.mdpi.com/article/10.3390/horticulturae11030228/s1, Table S1: Main meteorological parameters (MaxT—maximum temperature, MinT—minimum temperature, AvgT—average temperature, Dp—dew point, Rain—rainfall, RH—relative humidity, and Ws—wind speed) averaged by phenological stage (PS 0—bud development, PS 1—leaf development, PS 5—inflorescence emergence, PS 6—flowering, PS 7—development of fruit, and PS 8—ripening of berries) for the studied grapevine seasons (2023 and 2024); Table S2: Spearman correlation test results comparing Plasmopara viticola concentrations (sporangia/m3) to recorded meteorological variables (MaxT—maximum, MinT—minimum, and AvgT—average temperature (°C), Rain—rainfall (mm), Ws—wind speed (km/h), RH—relative humidity (%), and Dp—dew point (°C)) (significance level: p < 0.01 **, p < 0.05 *).
Author Contributions
Conceptualization, M.F.-G. and F.J.R.-R.; methodology, M.F.-G. and M.J.A.; formal analysis, L.C., M.F.-G., M.J.A., K.C.S.E., R.P.O. and F.J.R.-R.; investigation, L.C., K.C.S.E. and R.P.O.; data curation, L.C. and M.F.-G.; writing—original draft preparation, L.C.; writing—review and editing, L.C., M.F.-G., M.J.A., K.C.S.E., R.P.O. and F.J.R.-R.; visualization, L.C. and M.F.-G.; supervision, M.F.-G., M.J.A. and F.J.R.-R.; funding acquisition, F.J.R.-R. All authors have read and agreed to the published version of the manuscript.
Funding
This research received no external funding.
Data Availability Statement
The raw data supporting the conclusions of this article will be made available by the authors on request.
Acknowledgments
Lucía Carrera received a Predoctoral Grant PRE2021-098872, financed by the Ministry of Science and Innovation. Kenia C. Sánchez Espinosa is a beneficiary of the Predoctoral Grant PREUVIGO-23 from the University of Vigo, Spain. This work was supported by the Project “Sustainability of vineyard production: decrease of external inputs, enhance soil biodiversity and increase crop performance” (reference: PID2020-116764RB-I00). The Xunta de Galicia (Spain) provided financial support through recognition as a Competitive Reference Group (ED431C 2023/19, GI-1809 BIOAPLIC), and GISA/BV2 research group.
Conflicts of Interest
The authors declare no conflicts of interest.
References
- Alston, J.M.; Sambucci, O. Grapes in the World Economy. In The Grape Genome; Cantu, D., Walker, M.A., Eds.; Springer: Cham, Switzerland, 2019; pp. 1–24. [Google Scholar]
- Fraga, H. Viticulture and Winemaking under Climate Change. Agronomy 2019, 9, 783. [Google Scholar] [CrossRef]
- INFOVI. Información Del Sector Vitivinícola. Available online: https://www.mapa.gob.es/es/agricultura/temas/producciones-agricolas/vitivinicultura/ (accessed on 10 December 2024).
- Organización Interprofesional del Vino de España (OIVE). La Relevancia Económica Del Sector Vitivinícola en Galicia; Organización Interprofesional del Vino de España (OIVE): Madrid, Spain, 2023. [Google Scholar]
- Fernández-González, M.; Rodríguez-Rajo, F.J.; Jato, V.; Aira, M.J. Incidence of Fungals in a Vineyard of the Denomination of Origin Ribeiro (Ourense-North-Western Spain). Ann. Agric. Environ. Med. 2009, 16, 263–271. [Google Scholar] [PubMed]
- Rhouma, A.; Hajji-Hedfi, L.; Atallaoui, K.; Chihani-Hammas, N.; Godwin Okon, O. Biology, Diversity, Detection and Management of Plasmopara viticola Causing Downy Mildew of Grapevine (Vitis spp.). Asian J. Mycol. 2024, 7, 37–50. [Google Scholar]
- Clippinger, J.I.; Dobry, E.P.; Laffan, I.; Zorbas, N.; Hed, B.; Campbell, M.A. Traditional and Emerging Approaches for Disease Management of Plasmopara viticola, Causal Agent of Downy Mildew of Grape. Agriculture 2024, 14, 406. [Google Scholar] [CrossRef]
- Caffi, T.; Legler, S.E.; González-Domínguez, E.; Rossi, V. Effect of Temperature and Wetness Duration on Infection by Plasmopara viticola and on Post-Inoculation Efficacy of Copper. Eur. J. Plant Pathol. 2016, 144, 737–750. [Google Scholar] [CrossRef]
- Rumbou, A.; Gessler, C. Genetic Dissection of Plasmopara viticola Population from a Greek Vineyard in Two Consecutive Years. Eur. J. Plant Pathol. 2004, 110, 379–392. [Google Scholar] [CrossRef]
- Mycobank. Fungal Databases, Nomenclature & Species Banks. Available online: https://www.mycobank.org/ (accessed on 11 December 2024).
- Valleggi, L.; Carella, G.; Perria, R.; Mugnai, L.; Stefanini, F.M. A Bayesian Model for Control Strategy Selection against Plasmopara viticola Infections. Front. Plant Sci. 2023, 14, 1117498. [Google Scholar] [CrossRef] [PubMed]
- Armijo, G.; Schlechter, R.; Agurto, M.; Muñoz, D.; Nuñez, C.; Arce-Johnson, P. Grapevine Pathogenic Microorganisms: Understanding Infection Strategies and Host Response Scenarios. Front. Plant Sci. 2016, 7, 382. [Google Scholar] [CrossRef] [PubMed]
- Boso, S.; Alonso-Villaverde, V.; Gago, P.; Santiago, J.L.; Martínez, M.C. Susceptibility to Downy Mildew (Plasmopara viticola) of Different Vitis Varieties. Crop Prot. 2014, 63, 26–35. [Google Scholar] [CrossRef]
- Gaforio, L.; Cabello, F.; Muñoz Organero, G. Evaluation of Resistance to Downy Mildew in Grape Varieties Grown in a Spanish Collection. Vitis J. Grapevine Res. 2015, 54, 187–191. [Google Scholar]
- Gouveia, C.; Santos, R.B.; Paiva-Silva, C.; Buchholz, G.; Malhó, R.; Figueiredo, A. The Pathogenicity of Plasmopara viticola: A Review of Evolutionary Dynamics, Infection Strategies and Effector Molecules. BMC Plant Biol. 2024, 24, 327. [Google Scholar] [CrossRef]
- Puelles, M.; Arbizu-Milagro, J.; Castillo-Ruiz, F.J.; Peña, J.M. Predictive Models for Grape Downy Mildew (Plasmopara viticola) as a Decision Support System in Mediterranean Conditions. Crop Prot. 2024, 175, 106450. [Google Scholar] [CrossRef]
- Ortega Rioja, P. Assessment of Different Strategies to Reduce Environmental Fungicide. Ph.D. Thesis, Universitat Politècnica de Catalunya, Barcelona, Spain, 2024. [Google Scholar]
- Silva, V.; Mol, H.G.J.; Zomer, P.; Tienstra, M.; Ritsema, C.J.; Geissen, V. Pesticide Residues in European Agricultural Soils—A Hidden Reality Unfolded. Sci. Total Environ. 2019, 653, 1532–1545. [Google Scholar] [CrossRef] [PubMed]
- Llamazares De Miguel, D.; Mena-Petite, A.; Díez-Navajas, A.M. Toxicity and Preventive Activity of Chitosan, Equisetum arvense, Lecithin and Salix Cortex Against Plasmopara viticola, the Causal Agent of Downy Mildew in Grapevine. Agronomy 2022, 12, 3139. [Google Scholar] [CrossRef]
- Pertot, I.; Caffi, T.; Rossi, V.; Mugnai, L.; Hoffmann, C.; Grando, M.S.; Gary, C.; Lafond, D.; Duso, C.; Thiery, D.; et al. A Critical Review of Plant Protection Tools for Reducing Pesticide Use on Grapevine and New Perspectives for the Implementation of IPM in Viticulture. Crop Prot. 2017, 97, 70–84. [Google Scholar] [CrossRef]
- Fernandes de Oliveira, A.; Serra, S.; Ligios, V.; Satta, D.; Nieddu, G. Assessing the Effects of Vineyard Soil Management on Downy and Powdery Mildew Development. Horticulturae 2021, 7, 209. [Google Scholar] [CrossRef]
- Mesguida, O.; Haidar, R.; Yacoub, A.; Dreux-Zigha, A.; Berthon, J.Y.; Guyoneaud, R.; Attard, E.; Rey, P. Microbial Biological Control of Fungi Associated with Grapevine Trunk Diseases: A Review of Strain Diversity, Modes of Action, and Advantages and Limits of Current Strategies. J. Fungi 2023, 9, 638. [Google Scholar] [CrossRef]
- Hasanaliyeva, G.; Si Ammour, M.; Yaseen, T.; Rossi, V.; Caffi, T. Innovations in Disease Detection and Forecasting: A Digital Roadmap for Sustainable Management of Fruit and Foliar Disease. Agronomy 2022, 12, 1707. [Google Scholar] [CrossRef]
- Hui, W.; Shuyi, Y.; Wei, Z.; Junbo, P.; Haiyun, T.; Chunhao, L.; Jiye, Y. Modeling the Dynamic Changes in Plasmopara viticola Sporangia Concentration Based on LSTM and Understanding the Impact of Relative Factor Variability. Int. J. Biometeorol. 2023, 67, 993–1002. [Google Scholar] [CrossRef] [PubMed]
- Martínez-Bracero, M.; González-Fernández, E.; Wójcik, M.; Alcázar, P.; Fernández-González, M.; Kasprzyk, I.; Rodríguez-Rajo, F.J.; Galán, C. Airborne Fungal Phytopathological Spore Assessment in Three European Vineyards from Different Bioclimatic Areas. Aerobiologia 2020, 36, 715–729. [Google Scholar] [CrossRef]
- Rodríguez, J.A.C.; Fernández-González, E.; Fernández-González, M.; Vázquez-Ruiz, R.A.; Aira, M.J. Fungal Diseases in Two North-West Spain Vineyards: Relationship with Meteorological Conditions and Predictive Aerobiological Model. Agronomy 2020, 10, 219. [Google Scholar] [CrossRef]
- Fernández-González, M.; Piña-Rey, A.; González-Fernández, E.; Aira, M.J.; Rodriguez-Rajo, F.J. First Assessment of Goidanich Index and Aerobiological Data for Plasmopara viticola Infection Risk Management in North-West Spain. J. Agric. Sci. 2019, 157, 129–139. [Google Scholar] [CrossRef]
- Blanco-Ward, D.; García Queijeiro, J.M.; Jones, G.V. Spatial Climate Variability and Viticulture in the Miño River Valley of Spain. Vitis J. Grapevine Res. 2007, 46, 63. [Google Scholar]
- Lorenzo, M.N.; Taboada, J.J.; Lorenzo, J.F.; Ramos, A.M. Influence of Climate on Grape Production and Wine Quality in the Rías Baixas, North-Western Spain. Reg. Environ. Change 2013, 13, 887–896. [Google Scholar] [CrossRef]
- Fernández-González, M.; Lara, B.; González-Fernández, E.; Rojo, J.; Pérez-Badia, R.; Rodríguez-Rajo, F.J. Pinus Pollen Emission Patterns in Different Bioclimatic Areas of the Iberian Peninsula. Forests 2021, 12, 688. [Google Scholar] [CrossRef]
- Meier, U. Growth Stages of Mono and Dicotyledonous Plants. In BBCH Monograph, 2nd ed.; Federal Biological Research Centre for Agriculture and Forestry: Bonn, Germany, 2001; ISBN 9783955470715. [Google Scholar]
- Hirst, J.M. An Automatic Volumetric Spore Trap. Ann. Appl. Biol. 1952, 39, 257–265. [Google Scholar] [CrossRef]
- Galán, C.; Cariñanos, P.; Alcázar, P.; Domínguez, E. Manual de Calidad y Gestión de La Red Española de Aerobiología; Servicio de Publicaciones de la Universidad de Córdoba: Córdoba, Spain, 2007; ISBN 9788469063545. [Google Scholar]
- Galán, C.; Ariatti, A.; Bonini, M.; Clot, B.; Crouzy, B.; Dahl, A.; Fernandez-González, D.; Frenguelli, G.; Gehrig, R.; Isard, S.; et al. Recommended Terminology for Aerobiological Studies. Aerobiologia 2017, 33, 293–295. [Google Scholar] [CrossRef]
- Currey, D.R. Continentality of Extratropical Climates. Ann. Assoc. Am. Geogr. 1974, 64, 268–280. [Google Scholar] [CrossRef]
- Mariani, L.; Failla, O.; Dal Monte, G.; Facchinetti, D. IPHEN: A Model for Real Time Production of Grapevine Phenological Maps. In Proceedings of the Climate and Viticulture Congress, Zaragoza, Spain, 10–14 July 2007; pp. 272–278. [Google Scholar]
- Verdugo-Vásquez, N.; Acevedo-Opazo, C.; Valdés-Gómez, H.; Araya-Alman, M.; Ingram, B.; García de Cortázar-Atauri, I.; Tisseyre, B. Spatial Variability of Phenology in Two Irrigated Grapevine Cultivar Growing Under Semi-Arid Conditions. Precis. Agric. 2016, 17, 218–245. [Google Scholar] [CrossRef]
- Cortiñas, J.A.; Fernández-González, M.; Vázquez-Ruiz, R.A.; Aira, M.J.; Rodríguez-Rajo, F.J. The Understanding of Phytopathogens as a Tool in the Conservation of Heroic Viticulture Areas. Aerobiologia 2022, 38, 177–193. [Google Scholar] [CrossRef]
- Santos, J.A.; Malheiro, A.C.; Karremann, M.K.; Pinto, J.G. Statistical Modelling of Grapevine Yield in the Port Wine Region under Present and Future Climate Conditions. Int. J. Biometeorol. 2011, 55, 119–131. [Google Scholar] [CrossRef] [PubMed]
- Vasylenko, O.; Kondratenko, T.; Havryliuk, O.; Andrusyk, Y.; Kutovenko, V.; Dmytrenko, Y.; Grevtseva, N.; Marchyshyna, Y. The Study of the Productivity Potential of Grape Varieties According to the Indicator of Functional Activity of Leaves. Slovak J. Food Sci. 2021, 15, 639–647. [Google Scholar] [CrossRef] [PubMed]
- Parker, A.; de Cortázar-Atauri, I.G.; Chuine, I.; Barbeau, G.; Bois, B.; Boursiquot, J.M.; Cahurel, J.Y.; Claverie, M.; Dufourcq, T.; Gény, L.; et al. Classification of Varieties for Their Timing of Flowering and Veraison Using a Modelling Approach: A Case Study for the Grapevine Species Vitis vinifera L. Agric. For. Meteorol. 2013, 180, 249–264. [Google Scholar] [CrossRef]
- Leeuwen, C.; Van Barbe, J.; Garbay, J.; Gowdy, M.; Lytra, G.; Plantevin, M.; Pons, A.; Thibon, C. La Madurez Aromática Puede Ser El Tipo de Madurez Con Mayor Impacto En La Tipicidad Del Vino Tinto. Parte II: Factores Del Terroir y Prácticas de Manejo Que Afectan La Madurez Aromática; IVES Technical Reviews, Viña & Vino: Villenave d’Ornon, France, 2023; pp. 1–2. [Google Scholar]
- Agrios, G.N. Plant Pathology, 3rd ed.; Academic Press: New York, NY, USA, 2012. [Google Scholar]
- Gessler, C.; Pertot, I.; Perazzolli, M. Plasmopara viticola: A Review of Knowledge on Downy Mildew of Grapevine and Effective Disease Management. Phytopathol. Mediterr. 2011, 50, 3–44. [Google Scholar]
- Boso, S.; Gago, P.; Santiago, J.L.; Fuente, M.D.; La Martínez, M.C. Factors Affecting the Vineyard Populational Diversity of Plasmopara viticola. Plant Pathol. J. 2019, 35, 125–136. [Google Scholar] [CrossRef] [PubMed]
- Fernández-González, M.; Escuredo, O.; Rodríguez-Rajo, F.J.; Aira, M.J.; Jato, V. Prediction of Grape Production by Grapevine Cultivar Godello in North-West Spain. J. Agric. Sci. 2011, 149, 725–736. [Google Scholar] [CrossRef]
- Kennelly, M.M.; Gadoury, D.M.; Wilcox, W.F.; Magarey, P.A.; Seem, R.C. Primary Infection, Lesion Productivity, and Survival of Sporangia in the Grapevine Downy Mildew Pathogen Plasmopara viticola. Phytopathology 2007, 97, 512–522. [Google Scholar] [CrossRef] [PubMed]
- Hong, C.F.; Scherm, H. A Spectrophotometric Approach for Determining Sporangium and Zoospore Viability of Plasmopara viticola. J. Phytopathol. 2020, 168, 297–302. [Google Scholar] [CrossRef]
- Martínez-Bracero, M.; Alcázar, P.; Velasco-Jiménez, M.J.; Galán, C. Fungal Spores Affecting Vineyards in Montilla-Moriles Southern Spain. Eur. J. Plant Pathol. 2019, 153, 1–13. [Google Scholar] [CrossRef]
- Caffi, T.; Legler, S.E.; Rossi, V.; Bugiani, R. Evaluation of a Warning System for Early-Season Control of Grapevine Powdery Mildew. Plant Dis. 2012, 96, 104–110. [Google Scholar] [CrossRef]
- Magyar, D.; Frenguelli, G.; Bricchi, E.; Tedeschini, E.; Csontos, P.; Li, D.W.; Bobvos, J. The Biodiversity of Air Spora in an Italian Vineyard. Aerobiologia 2009, 25, 99–109. [Google Scholar] [CrossRef]
- Albelda, Y.; Rodríguez-Rajo, F.J.; Jato, V.; Aira, M.J. Concentraciones Atmosfericas De Propagulos Fungicos En Viñedos Del Ribeiro (Galicia, España). Boletín Micológico 2005, 20, 1–8. [Google Scholar] [CrossRef]
- Roy, S.; Gupta Bhattacharya, S. Airborne Fungal Spore Concentration in an Industrial Township: Distribution and Relation with Meteorological Parameters. Aerobiologia 2020, 36, 575–587. [Google Scholar] [CrossRef]
- Dagostin, S.; Schärer, H.J.; Pertot, I.; Tamm, L. Are There Alternatives to Copper for Controlling Grapevine Downy Mildew in Organic Viticulture? Crop Prot. 2011, 30, 776–788. [Google Scholar] [CrossRef]
- De La Fuente, M.; Fernández-Calviño, D.; Tylkowski, B.; MMontornes, J.; Olkiewicz, M.; Pereira, R.; Cachada, A.; Caffi, T.; Fedele, G.; De Herralde, F. Alternatives to Cu Applications in Viticulture: How R&D Projects Can Provide Applied Solutions, Helping to Establish Legislation Limits. In Grapes and Wine; IntechOpen: London, UK, 2022. [Google Scholar] [CrossRef]
- Komárek, M.; Čadková, E.; Chrastný, V.; Bordas, F.; Bollinger, J.C. Contamination of Vineyard Soils with Fungicides: A Review of Environmental and Toxicological Aspects. Environ. Int. 2010, 36, 138–151. [Google Scholar] [CrossRef] [PubMed]
Disclaimer/Publisher’s Note: The statements, opinions and data contained in all publications are solely those of the individual author(s) and contributor(s) and not of MDPI and/or the editor(s). MDPI and/or the editor(s) disclaim responsibility for any injury to people or property resulting from any ideas, methods, instructions or products referred to in the content. |
© 2025 by the authors. Licensee MDPI, Basel, Switzerland. This article is an open access article distributed under the terms and conditions of the Creative Commons Attribution (CC BY) license (https://creativecommons.org/licenses/by/4.0/).



