Robust PCA with Lw,∗ and L2,1 Norms: A Novel Method for Low-Quality Retinal Image Enhancement
Abstract
1. Introduction
2. Methods
2.1. RPCA with and Norms
2.2. The and Norms Method
2.3. Parameter Estimation
| Algorithm 1 ADMM for RPCA with and norms. |
| Output Data Matrix , , , , , |
| While not converged Do |
| Update: using (7) |
| Update: using (10) |
| Update: using (13) |
| Update: using (14) |
| Update: using (15) |
| End while |
| Outputs: ,, |
2.4. Numerical Evaluation Criterion
3. Datasets
3.1. EyeQ Retinal Image Data
3.2. Kaggle Cataract Retinal Image Data
3.3. High-Resolution Fundus Retinal Image Data
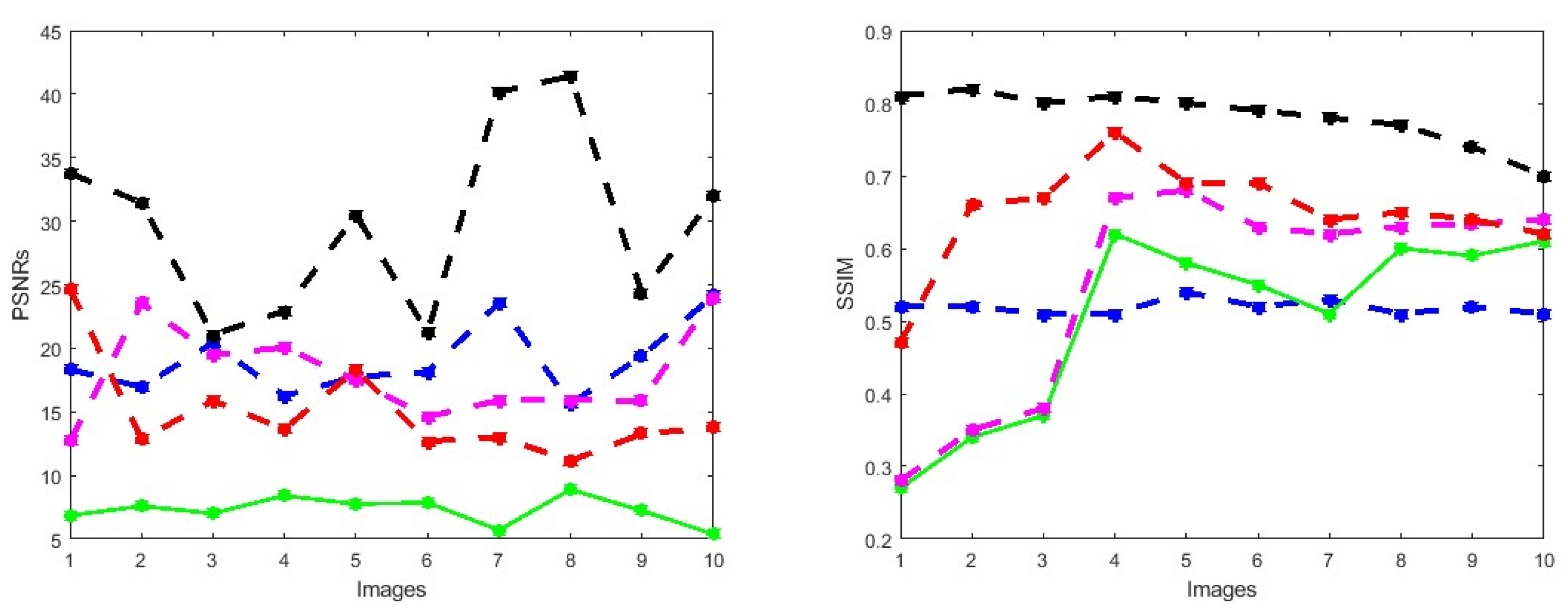
4. Results
4.1. Degraded Retinal Image Data Analysis
4.2. Cataract Retinal Image Data Analysis
4.3. HRF Image Database
5. Discussion and Conclusions
Author Contributions
Funding
Institutional Review Board Statement
Informed Consent Statement
Data Availability Statement
Acknowledgments
Conflicts of Interest
Abbreviations
| MDPI | Multidisciplinary Digital Publishing Institute |
| ADMM | Alternating Direction Method of Multipliers |
| CLAHE | Contrast Limited Adaptive Histogram Equalization |
| LLIEM | Low Light Image Enhancement Method |
| RPCA | Robust Principal Component Analysis |
| PSNRs | Peak Signal-to-Noise Ratio |
| SSIMs | Structural Similarity Index |
| EyeQ | Eye Quality |
| HIEA | Hybrid Image Enhancement Algorithm |
| WNNM | Weighted Nuclear Norm Minimization |
| TLLR | Tensor Low-Rank Representation |
| VIF | Visual Information Fidelity |
| PCC | Pearson correlation coefficient |
References
- Pratap, T.; Kokil, P. Deep neural network based robust computer-aided cataract diagnosis system using fundus retinal images. Biomed. Signal Process. Control 2021, 70, 102–985. [Google Scholar] [CrossRef]
- Devi, Y.A.S.; Kamsali, M.C. Retinal Image Contrast Enhancement through Pixel Collaboration in Spatial Domain. Int. J. Intell. Eng. Syst. 2022, 15, 500â. [Google Scholar]
- Gonzalez-Amador, E.; Arines, J.; Charlón, P.; Garcia-Porta, N.; Abraldes, M. Improvement of retinal images affected by cataracts. Photonics 2022, 9, 251. [Google Scholar] [CrossRef]
- Ren, K.C.; Longdan, W.; Minjie, G.G.; Chen, Q. An improved U-net based retinal vessel image segmentation method. Heliyon 2022, 8, 10. [Google Scholar] [CrossRef] [PubMed]
- Singh, V.; Verma, N.K.; Cui, Y. Type-2 fuzzy PCA approach in extracting salient features for molecular cancer diagnostics and prognostics. IEEE Trans. Nanobioscience 2019, 18, 482–489. [Google Scholar] [CrossRef] [PubMed]
- Qureshi, I.; Ma, J.; Shaheed, K. A hybrid proposed fundus image enhancement framework for diabetic retinopathy. Algorithms 2019, 12, 14. [Google Scholar] [CrossRef]
- Zhu, W.; Qiu, P.; Farazi, M.; Nandakumar, K.; Dumitrascu, O.M.; Wang, Y. Optimal transport guided unsupervised learning for enhancing low-quality retinal images. In Proceedings of the IEEE 20th International Symposium on Biomedical Imaging (ISBI), Cartagena, Colombia, 17–21 April 2023; pp. 1–5. [Google Scholar]
- Fu, Y.; Wang, W.; Wang, C. Image change detection method based on RPCA and low-rank decomposition. In Proceedings of the 35th Chinese Control Conference (CCC), Chengdu, China, 27–29 July 2016; pp. 9412–9417. [Google Scholar]
- Baghaie, A.; D’souza, R.M.; Yu, Z. Sparse and low rank decomposition based batch image alignment for speckle reduction of retinal OCT images. In Proceedings of the 12th International Symposium on Biomedical Imaging (ISBI), Prague, Czech Republic, 13–16 April 2016; pp. 226–230. [Google Scholar]
- Gu, Z.; Cheng, J.; Fu, H.; Zhou, K.; Hao, H.; Zhao, Y.; Zhang, T.; Gao, S.; Liu, J. Ce-net: Context encoder network for 2nd medical image segmentation. IEEE Trans. Med. Imaging 2019, 38, 2281–2292. [Google Scholar] [CrossRef] [PubMed]
- Fu, H.; Cheng, J.; Xu, Y.; Wong, D.W.K.; Liu, J.; Cao, X. Joint optic disc and cup segmentation based on multi-label deep network and polar transformation. IEEE Trans. Med. Imaging 2018, 37, 1597–1605. [Google Scholar] [CrossRef]
- Staal, J.; Abràmoff, M.D.; Niemeijer, M.; Viergever, M.A.; Van Ginnek, B. Ridge-based vessel segmentation in color images of the retina. IEEE Trans. Med. Imaging 2004, 23, 501–509. [Google Scholar] [CrossRef]
- Yang, J.; Yu, K.; Gong, Y.; Huang, T. Linear spatial pyramid matching using sparse coding for image classification. In Proceedings of the IEEE Conference on Computer Vision and Pattern Recognition, Miami, FL, USA, 20–25 June 2009; pp. 1794–1801. [Google Scholar]
- Agarwal, S.; Roth, D. Learning a sparse representation for object detection. In Proceedings of the Computer Vision—ECCV 2002: 7th European Conference on Computer Vision, Copenhagen, Denmark, 28–31 May 2002; Volume 23, pp. 113–127. [Google Scholar]
- Li, J.; Gsaxner, C.; Pepe, A.; Schmalstieg, D.; Kleesiek, J.; Egger, J. Sparse convolutional neural networks for medical image analysis. TechRxiv 2023. [Google Scholar] [CrossRef]
- Bindhya, P.; Jegan, C.; Raj, V. A Review on Methods of Enhancement And Denoising in Retinal Fundus Images. Int. J. Comput. Sci. Eng. 2020, 8, 1–9. [Google Scholar]
- Ashanand; Kaur, M. Retinal Image Enhancement for Detection of Medical Complications. Smart Energy Adv. Power Technol. Sel. Proc. ICSEAPT 2022, 2, 667–694. [Google Scholar]
- Zhang, R.; Nie, F.; Li, X.; Wei, X. Feature selection with multi-view data: A survey. Inf. Fusion 2019, 50, 158–167. [Google Scholar] [CrossRef]
- Lakshminarayanan, V.; Kheradfallah, H.; Sarkar, A.; Jothi Balaji, J. Automated detection and diagnosis of diabetic retinopathy: A comprehensive survey. J. Imaging 2021, 7, 165. [Google Scholar] [CrossRef] [PubMed]
- Dumitrascu, O.M.; Zhu, W.; Qiu, P.; Nandakumar, K.Y. Automated Retinal Imaging Analysis for Alzheimers Disease Screening. In Proceedings of the IEEE International Symposium on Biomedical Imaging: From Nano to Macro, Chicago, IL, USA, 30 March–2 April 2011. [Google Scholar]
- Lenka, S.; Lazarus, M.Z.; Behera, S.R. Glaucoma Detection Based on Specularity Removal Low Rank Model from Retinal Fundus Images. ECTI Trans. Comput. Inf. Technol. 2023, 17, 330–342. [Google Scholar]
- Singh, L.K.; Pooja, G.; Hitendra, K.M.; Bhadoria, R.S. An enhanced deep image model for glaucoma diagnosis using feature-based detection in retinal fundus. Med. Biol. Eng. Comput. 2021, 59, 333–353. [Google Scholar] [CrossRef] [PubMed]
- Fu, H.; Zhao, Y.; Yap, P.; Schönlieb, C.; Frangi, A.F. Guest Editorial Special Issue on Geometric Deep Learning in Medical Imaging. IEEE Trans. Med. Imaging 2023, 42, 332–335. [Google Scholar] [CrossRef]
- Alom, M.Z.; Yakopcic, C.; Hasan, M.; Taha, T.M.; Asari, V.K. Recurrent residual U-Net for medical image segmentation. J. Med. Imaging 2019, 6, 014006. [Google Scholar] [CrossRef]
- Ren, W.; Liu, S.; Ma, L.; Xu, Q.; Xu, X.; Cao, X.; Du, J.; Yang, M. Low-light image enhancement via a deep hybrid network. IEEE Trans. Image Process. 2019, 28, 4364–4375. [Google Scholar] [CrossRef]
- Abbood, S.H.; Hamed, H.N.A.; Rahim, M.S.M.; Rehman, A.S.T.; Bahaj, S.A. Hybrid retinal image enhancement algorithm for diabetic retinopathy diagnostic using deep learning model. IEEE Access 2022, 10, 73079–73086. [Google Scholar] [CrossRef]
- Zhu, W.; Qiu, P.; Dumitrascu, O.M.; Sobczak, J.M.; Farazi, M.Y.Z.; Nandakumar, K.; Wang, Y. OTRE: Where optimal transport guided unpaired image-to-image translation meets regularization by enhancing. In Proceedings of the International Conference on Information Processing in Medical Imaging, San Carlos de Bariloche, Argentina, 18–23 June 2023; pp. 415–427. [Google Scholar]
- Liu, H.; Li, H.; Fu, H.; Xiao, R.; Gao, Y.; Hu, Y.; Liu, J. Degradation-invariant enhancement of fundus images via pyramid constraint network. In Proceedings of the International Conference on Medical Image Computing and Computer-Assisted Intervention, Singapore, 18–22 September 2022; pp. 507–516. [Google Scholar]
- Liu, F.; Huang, W. ESDiff: A joint model for low-quality retinal image enhancement and vessel segmentation using a diffusion model. Biomed. Opt. Express 2023, 14, 6563–6578. [Google Scholar] [CrossRef] [PubMed]
- Kushol, R.; Kabir, M.H.; Abdullah-Al-Wadud, M.; Islam, M.S. Retinal blood vessel segmentation from fundus image using an efficient multiscale directional representation technique Bendlets. Math. Biosci. Eng. 2020, 17, 7751–7771. [Google Scholar] [CrossRef] [PubMed]
- Oh, E.J.; Hwang, Y.; Han, Y.; Choi, T.; Lee, G.; Kim, W.H. TaeRESToring Clarity: Unpaired Retina Image Enhancement Using Scattering Transform. In Proceedings of the International Conference on Medical Image Computing and Computer-Assisted Intervention, Vancouver, BC, Canada, 8–12 October 2023; Volume 14, pp. 470–480. [Google Scholar]
- Wang, G.; Ye, J.C.; Mueller, K.; Fessler, J.A. Image reconstruction is a new frontier of machine learning. IEEE Trans. Med. Imaging 2018, 37, 1289–1296. [Google Scholar] [CrossRef] [PubMed]
- Albattah, W.; Nawaz, M.; Javed, A.; Masood, M.; Albahli, S. A novel deep learning method for detection and classification of plant diseases. Complex Intell. Syst. 2022, 37, 1–18. [Google Scholar] [CrossRef]
- Aurangzeb, K.; Alharthi, R.S.; Haider, S.I.; Alhussein, M. An efficient and light weight deep learning model for accurate retinal vessels segmentation. IEEE Access 2022, 11, 23107–23118. [Google Scholar] [CrossRef]
- Harine, M.; Kumar, A.; Gopinath, P.; Sasikala, S. Fundus Image Enhancement Using Hybrid Deep Learning Approaches. In Proceedings of the 1st International Conference on Innovations in High Speed Communication and Signal Processing, Bhopal, India, 4–5 March 2023; pp. 347–352. [Google Scholar]
- Goutam, B.; Hashmi, M.F.; Geem, Z.W.; Bokde, N.D. A comprehensive review of deep learning strategies in retinal disease diagnosis using fundus images. IEEE Trans. Med. Imaging 2022, 10, 57796–57823. [Google Scholar] [CrossRef]
- Valente, J.; António, J.; Mora, C.; Jardim, S. Developments in image processing using deep learning and reinforcement learning. J. Imaging 2023, 9, 207. [Google Scholar] [CrossRef] [PubMed]
- Fan, F.; Xiong, J.; Li, M.; Wang, G. On interpretability of artificial neural networks: A survey. IEEE Trans. Radiat. Plasma Med. Sci. 2021, 5, 741–760. [Google Scholar] [CrossRef]
- Soomro, T.A.; Afifi, A.J.; Shah, A.A.; Soomro, S.; Baloch, G.A.; Zheng, L.; Yin, M.; Gao, J. Impact of image enhancement technique on CNN model for retinal blood vessels segmentation. IEEE Access 2019, 7, 158183–158197. [Google Scholar] [CrossRef]
- He, Y.; Zheng, Y.; Zhao, Y.; Ren, Y.; Lian, J.; Gee, J. Retinal image denoising via bilateral filter with a spatial kernel of optimally oriented line spread function. Comput. Math. Methods Med. 2017, 2017, 1769834. [Google Scholar] [CrossRef]
- Singh, N.; Kaur, L.; Singh, K. Histogram equalization techniques for enhancement of low radiance retinal images for early detection of diabetic retinopathy. Eng. Sci. Technol. Int. J. 2019, 22, 736–745. [Google Scholar] [CrossRef]
- Singh, A.; Chougule, A.; Narang, P.; Chamola, V.; Yu, F.R. Low-light image enhancement for UAVs with multi-feature fusion deep neural networks. IEEE Geosci. Remote Sens. Lett. 2022, 19, 1–5. [Google Scholar] [CrossRef]
- Barros, D.M.; Moura, J.C.; Freire, C.R.; Taleb, A.C.; Valentim, R.A.; Morais, P.S. Machine learning applied to retinal image processing for glaucoma detection: Review and perspective. Biomed. Eng. Online 2020, 19, 1–21. [Google Scholar] [CrossRef] [PubMed]
- Xian, Y.; Zhao, G.; Wang, C.; Chen, X.; Dai, Y. A Novel Hybrid Retinal Blood Vessel Segmentation Algorithm for Enlarging the Measuring Range of Dual-Wavelength Retinal Oximetry. Photonics 2023, 10, 722. [Google Scholar] [CrossRef]
- Kandpal, A.; Jain, N. Retinal image enhancement using edge-based texture histogram equalization. In Proceedings of the International Conference on Signal Processing and Integrated Networks (SPIN), Noida, India, 27–28 February 2020; pp. 477–482. [Google Scholar]
- Rosas-Romero, R.; Martínez-Carballido, J.; Hernández-Capistrán, J.; Uribe-Valencia, L.J. A method to assist in the diagnosis of early diabetic retinopathy: Image processing applied to detection of microaneurysms in fundus images. Comput. Med. Imaging Graph. 2015, 44, 41–53. [Google Scholar] [CrossRef] [PubMed]
- Foracchia, M.; Grisan, E.; Ruggeri, A. Luminosity and contrast normalization in retinal images. Med. Image Anal. 2005, 9, 179–190. [Google Scholar] [CrossRef] [PubMed]
- Gao, S.; Zhang, M.; Zhao, Q.; Zhang, X.; Li, Y. Underwater image enhancement using adaptive retinal mechanisms. Med. Image Anal. 2019, 28, 5580–5595. [Google Scholar] [CrossRef] [PubMed]
- Setiawan, A.W.; Mengko, T.R.; Santoso, O.S.; Suksmono, A.B. Color retinal image enhancement using CLAHE. In Proceedings of the International Conference on ICT for Smart Society, Bandung, Indonesia, 13–14 June 2013; pp. 1–3. [Google Scholar]
- Joshi, G.D.; Sivaswamy, J. Colour retinal image enhancement based on domain knowledge. In Proceedings of the IEEE Sixth Indian Conference on Computer Vision, Graphics & Image Processing, Bhubaneswar, India, 16–19 December 2008; pp. 591–598. [Google Scholar]
- Wang, S.; Jin, K.; Lu, H.; Cheng, C.; Ye, J.; Qian, D. Human visual system-based fundus image quality assessment of portable fundus camera photographs. IEEE Trans. Med. Imaging 2015, 35, 1046–1055. [Google Scholar] [CrossRef]
- Jiang, Y.; Wang, Y.; Li, S.; Zhang, Y.; Zhao, M.; Gao, Y. Event-based low-illumination image enhancement. IEEE Trans. Multimed. 2023, 26, 1920–1931. [Google Scholar] [CrossRef]
- Candès, E.J.; Li, X.; Ma, Y.; Wright, J. Robust principal component analysis? J. ACM 2011, 58, 1–37. [Google Scholar] [CrossRef]
- Li, R.; Pan, J.; Si, Y.; Yan, B.; Hu, Y.; Qin, H. Specular reflections removal for endoscopic image sequences with adaptive-RPCA decomposition. IEEE Trans. Med. Imaging 2019, 39, 328–340. [Google Scholar] [CrossRef] [PubMed]
- Zhou, X.; Yang, C.; Zhao, H.; Yu, W. Low-rank modeling and its applications in image analysis. ACM Comput. Surv. 2014, 47, 1–33. [Google Scholar] [CrossRef]
- Hamlomo, S.; Atemkeng, M.; Brima, Y.; Nunhokee, C.; Baxter, J. Advancing Low-Rank and Local Low-Rank Matrix Approximation in Medical Imaging: A Systematic Literature Review and Future Directions. arXiv 2024, arXiv:2402.14045. [Google Scholar]
- Wright, J.; Ganesh, A.; Rao, S.; Peng, Y.; Ma, Y. Robust principal component analysis: Exact recovery of corrupted low-rank matrices via convex optimization. In Advances in Neural Information Processing Systems 22 (NIPS 2009); Curran Associates, Inc.: Red Hook, NY, USA, 2009; Volume 22, Available online: https://papers.nips.cc/paper_files/paper/2009/hash/c45147dee729311ef5b5c3003946c48f-Abstract.html (accessed on 16 June 2024).
- Kopriva, I.; Shi, F.; Chen, X. Enhanced low-rank+ sparsity decomposition for speckle reduction in optical coherence tomography. J. Biomed. Opt. 2016, 21, 076008. [Google Scholar] [CrossRef]
- Likassa, H.T.; Fang, W.H.; Chuang, Y. Modified robust image alignment by sparse and low rank decomposition for highly linearly correlated data. In Proceedings of the 3rd International Conference on Intelligent Green Building and Smart Grid, Yilan, Taiwan, 22–25 April 2018; pp. 1–4. [Google Scholar]
- Likassa, H.T.; Xian, W.; Tang, X. New robust regularized shrinkage regression for high-dimensional image recovery and alignment via affine transformation and tikhonov regularizationa. Int. J. Math. Math. Sci. 2020, 2020, 1286909. [Google Scholar] [CrossRef]
- Likassa, H.T.; Xia, Y.; Gotu, B. An Efficient New Robust PCA Method for Joint Image Alignment and Reconstruction via the Norms and Affine Transformation. Sci. Program. 2022, 2022, 5682492. [Google Scholar] [CrossRef]
- Likassa, H.T.; Fang, W.; Leu, J. Robust image recovery via affine transformation and L2,1 norm. IEEE Access 2019, 7, 125011–125021. [Google Scholar] [CrossRef]
- Wahlberg, B.; Boyd, S.; Annergren, M.; Wang, Y. An ADMM algorithm for a class of total variation regularized estimation problems. IFAC Proc. Vol. 2012, 45, 83–88. [Google Scholar] [CrossRef]
- Zhou, P.; Lu, C.; Feng, J.; Lin, Z.; Yan, S. Tensor low-rank representation for data recovery and clustering. IEEE Trans. Pattern Anal. Mach. Intell. 2019, 43, 1718–1732. [Google Scholar] [CrossRef]
- Cheng, J. Sparse range-constrained learning and its application for medical image grading. IEEE Trans. Med. Imaging 2018, 37, 2729–27382. [Google Scholar] [CrossRef]
- Gao, Q.; Zhang, P.; Xia, W.; Xie, D.; Gao, X.; Tao, D. Enhanced tensor RPCA and its application. IEEE Trans. Pattern Anal. Mach. Intell. 2020, 43, 2133–2140. [Google Scholar] [CrossRef] [PubMed]
- Gong, W.; Xu, W.; Wu, L.; Xie, X.; Cheng, Z. Intrinsic image sequence decomposition using low-rank sparse model. IEEE Access 2018, 7, 4024–4030. [Google Scholar] [CrossRef]
- Wang, L.; Wang, Y.; Wang, S.; Liu, Y.; Hu, Y.; Chen, L.; Chen, H. Global Weighted Tensor Nuclear Norm for Tensor Robust Principal Component Analysis. arXiv 2022, arXiv:2209.14084. [Google Scholar]
- Likassa, H.T.; Fang, W.H. Robust regression for image alignment via subspace recovery techniques. In Proceedings of the 2018 VII International Conference on Network, Communication and Computing, Maui, HI, USA, 5–8 March 2018; pp. 288–293. [Google Scholar]
- Lin, Z.; Chen, M.; Ma, Y. The augmented lagrange multiplier method for exact recovery of corrupted low-rank matrices. arXiv 2010, arXiv:1009.5055. [Google Scholar]
- Liu, G.; Lin, Z.; Yu, Y. Robust subspace segmentation by low-rank representation. In Proceedings of the 27th International Conference on Machine Learning, Haifa, Israel, 21–24 June 2010; pp. 663–670. [Google Scholar]
- Peng, Y.; Ganesh, A.; Wright, J.; Xu, W.; Ma, Y. RASL: Robust alignment by sparse and low-rank decomposition for linearly correlated images. IEEE Trans. Pattern Anal. Mach. Intell. 2012, 34, 2233–2246. [Google Scholar] [CrossRef] [PubMed]
- Wei, X.; Shen, H.; Li, Y.; Tang, X.; Wang, F.; Kleinsteuber, M.; Murphey, Y.L. Reconstructible nonlinear dimensionality reduction via joint dictionary learning. IEEE Trans. Neural Netw. Learn. Syst. 2018, 30, 175–189. [Google Scholar] [CrossRef] [PubMed]
- Wei, X.; Li, Y.; Shen, H.; Xiang, W.; Murphey, Y.L. Joint learning sparsifying linear transformation for low-resolution image synthesis and recognition. Pattern Recognit. 2017, 68, 412–424. [Google Scholar] [CrossRef]
- Bouwmans, T.; Sobral, A.; Javed, S.; Jung, S.K.; Zahzah, E.H. Decomposition into low-rank plus additive matrices for background/foreground separation: A review for a comparative evaluation with a large-scale dataset. Comput. Sci. Rev. 2017, 23, 1–71. [Google Scholar] [CrossRef]
- Gu, S.; Zhang, L.; Zuo, W.; Feng, X. Weighted nuclear norm minimization with application to image denoising. In Proceedings of the IEEE Conference on Computer Vision and Pattern Recognition, Columbus, OH, USA, 23–28 June 2014; pp. 2862–2869. [Google Scholar]
- Zhou, Y.; Dou, Y. Double weighted RPCA denoising algorithm for color images. In Proceedings of the IEEE 4th International Conference on Computer and Communications, Honolulu, HI, USA, 16–19 April 2018; pp. 1670–1674. [Google Scholar]
- Xu, Z.; Lu, Y.; Wu, J.; He, R.; Wu, S.; Xie, S. Adaptive weighted robust principal component analysis. In Proceedings of the 15th IEEE Conference on Industrial Electronics and Applications, Kristiansand, Norway, 9–13 November 2020; pp. 19–24. [Google Scholar]
- Subbarao, R.; Meer, P. Beyond RANSAC: User independent robust regression. In Proceedings of the Conference on Computer Vision and Pattern Recognition Workshop, Seattle, WA, USA, 14–19 June 2020; p. 101. [Google Scholar]
- Sawatzky, A.; Xu, Q.; Schirra, C.O.; Anastasio, M.A. Proximal ADMM for multi-channel image reconstruction in spectral X-ray CT. IEEE Trans. Med. Imaging 2014, 33, 1657–1668. [Google Scholar] [CrossRef]
- Boyd, S.; Parikh, N.; Chu, E.; Peleato, B.; Eckstein, J. Distributed optimization and statistical learning via the alternating direction method of multipliers. Found. Trends Mach. Learn. 2011, 3, 1–122. [Google Scholar] [CrossRef]
- Gu, S.; Xie, Q.; Meng, D.; Zuo, W.; Feng, X.; Zhang, L. Weighted nuclear norm minimization and its applications to low level vision. Int. J. Comput. Vis. 2017, 121, 183–208. [Google Scholar] [CrossRef]
- Yang, J.; Yin, W.; Zhang, Y.; Wang, Y. A fast algorithm for edge-preserving variational multichannel image restoration. SIAM J. Imaging Sci. 2009, 2, 569–592. [Google Scholar] [CrossRef]
- Courrieu, P. Fast computation of Moore-Penrose inverse matrices. arXiv 2008, arXiv:0804.4809. [Google Scholar]
- Edelstein, W.; Glover, G.; Hardy, C.; Redington, R. The intrinsic signal-to-noise ratio in NMR imaging. Magn. Reson. Med. 1986, 3, 604–618. [Google Scholar] [CrossRef] [PubMed]
- Pérez, J.; Espinosa, J.; Vázquez, C.; Mas, D. Retinal image quality assessment through a visual similarity index. J. Mod. Opt. 2013, 60, 544–550. [Google Scholar] [CrossRef]
- Wang, Z.; Bovik, A.C.; Sheikh, H.R.; Simoncelli, E.P. Image quality assessment: From error visibility to structural similarity. IEEE Trans. Image Process. 2004, 13, 600–612. [Google Scholar] [CrossRef] [PubMed]
- Pal, M.N.; Banerjee, M. Evaluation of effectiveness of image enhancement techniques with application to retinal fundus images. In Proceedings of the 2020 4th International Conference on Computational Intelligence and Networks (CINE), Kolkata, India, 27–29 February 2020; Volume 58, pp. 1–37. [Google Scholar]
- Kuo, T.Y.; Su, P.C.; Tsai, C.M. Improved visual information fidelity based on sensitivity characteristics of digital images. J. Vis. Commun. Image Represent. 2016, 40, 76–84. [Google Scholar] [CrossRef]
- Shen, Z.; Fu, H.; Shen, J.; Shao, L. Modeling and enhancing low-quality retinal fundus images. IEEE Trans. Med. Imaging 2020, 40, 996–1006. [Google Scholar] [CrossRef]
- Fu, H.; Wang, B.; Shen, J.; Cui, S.; Xu, Y.; Liu, J.; Shao, L. Evaluation of retinal image quality assessment networks in different color-spaces. In Proceedings of the Medical Image Computing and Computer Assisted Intervention–MICCAI 2019: 22nd International Conference, Shenzhen, China, 13–17 October 2019; pp. 48–56. [Google Scholar]














| Dataset | Type | Size |
|---|---|---|
| EyeQ [7,90,91] | Retinal-Training | pixels |
| Retinal-Testing | pixels | |
| Kaggle | Cataract | pixels |
| HRF | Diabetic Retinopathy | pixels |
| Methods | PSNRs | SSIMs |
|---|---|---|
| HEM [41] | ||
| TLLR [64] | ||
| LLIE [42] | ||
| HIEA [44] | ||
| Ours |
Disclaimer/Publisher’s Note: The statements, opinions and data contained in all publications are solely those of the individual author(s) and contributor(s) and not of MDPI and/or the editor(s). MDPI and/or the editor(s) disclaim responsibility for any injury to people or property resulting from any ideas, methods, instructions or products referred to in the content. |
© 2024 by the authors. Licensee MDPI, Basel, Switzerland. This article is an open access article distributed under the terms and conditions of the Creative Commons Attribution (CC BY) license (https://creativecommons.org/licenses/by/4.0/).
Share and Cite
Likassa, H.T.; Chen, D.-G.; Chen, K.; Wang, Y.; Zhu, W. Robust PCA with Lw,∗ and L2,1 Norms: A Novel Method for Low-Quality Retinal Image Enhancement. J. Imaging 2024, 10, 151. https://doi.org/10.3390/jimaging10070151
Likassa HT, Chen D-G, Chen K, Wang Y, Zhu W. Robust PCA with Lw,∗ and L2,1 Norms: A Novel Method for Low-Quality Retinal Image Enhancement. Journal of Imaging. 2024; 10(7):151. https://doi.org/10.3390/jimaging10070151
Chicago/Turabian StyleLikassa, Habte Tadesse, Ding-Geng Chen, Kewei Chen, Yalin Wang, and Wenhui Zhu. 2024. "Robust PCA with Lw,∗ and L2,1 Norms: A Novel Method for Low-Quality Retinal Image Enhancement" Journal of Imaging 10, no. 7: 151. https://doi.org/10.3390/jimaging10070151
APA StyleLikassa, H. T., Chen, D.-G., Chen, K., Wang, Y., & Zhu, W. (2024). Robust PCA with Lw,∗ and L2,1 Norms: A Novel Method for Low-Quality Retinal Image Enhancement. Journal of Imaging, 10(7), 151. https://doi.org/10.3390/jimaging10070151

