Numerical Analysis of a High-Velocity Projectile’s Impact on Shallow Steel Tunnels in Soft Sandstone
Abstract
1. Introduction
2. Methodology
2.1. Geometric Properties
2.1.1. Projectile Geometry
2.1.2. Tunnel and Surrounding Rock Geometry
2.2. Material Properties
2.2.1. Constitutive Damage Models
Johnson–Cook Damage Model
Drucker–Prager Yield Criterion
2.2.2. Material Properties
2.3. Boundary Conditions and Loading
2.4. Mesh
3. Results and Discussion
3.1. Damage Modes of Rock and Tunnel Lining
3.1.1. Tunnel Crown Located at 1 m Depth
3.1.2. Tunnel Crown Located at 2 m Depth
3.1.3. Tunnel Crown Located at 3 m Depth
3.1.4. Tunnel Crown Located at 4 m Depth
3.1.5. Tunnel Crown Located at 4.5 m Depth
3.1.6. Tunnel Crown Located at 5 m Depth
3.2. Stresses on the Tunnel Lining
3.3. Displacement of the Projectile Nose
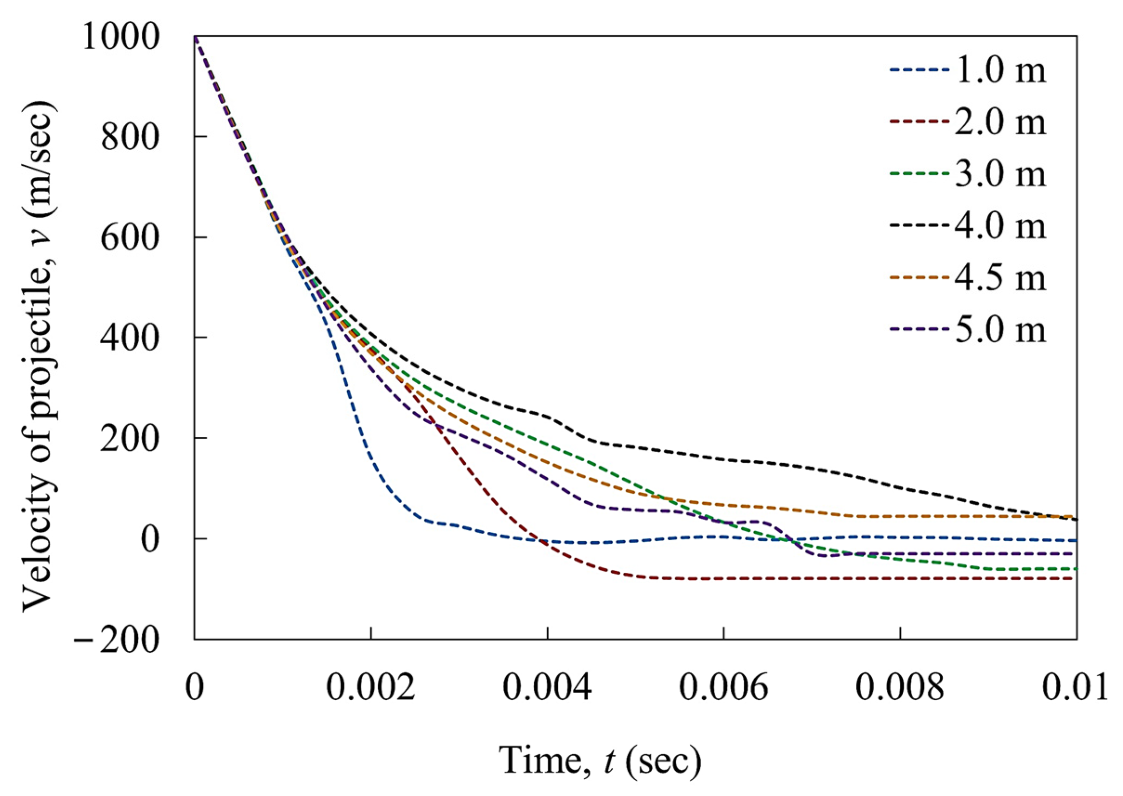
3.4. Velocity of the Projectile
4. Conclusions
Author Contributions
Funding
Data Availability Statement
Conflicts of Interest
References
- Jia, J.; Tenorio, V.O.; Zhang, B.; Li, M.; Xin, C. Stability and reliability of a shallow tunnel in soft surrounding rock: Construction technology and prediction. Arab J. Geosci. 2022, 15, 289. [Google Scholar] [CrossRef]
- Smith, P.D.; Hetherington, J.G. Blast and Ballistic Loading of Structures; Butterworth-Heinmen Ltd.: Oxford, UK, 1994. [Google Scholar]
- Zukas, J.A. High Velocity Impact Dynamics; John Wiley & Sons. Inc.: Hoboken, NJ, USA, 1990. [Google Scholar]
- Mishra, S.; Zaid, M.; Rao, K.S.; Gupta, N.K. FEA of Urban Rock Tunnels Under Impact Loading at Targeted Velocity. Geotech. Geol. Eng. 2021, 40, 1693–1711. [Google Scholar] [CrossRef]
- Rajasekaran, S. Structural Dynamics of Earthquake Engineering; Series in Civil and Structural Engineering; Woodhead Publishing: Cambridge, UK, 2009. [Google Scholar] [CrossRef]
- Zhu, W.C.; Bai, Y.; Li, X.B.; Niu, L.L. Numerical simulation on rock failure under combined static and dynamic loading during SHPB tests. Int. J. Impact Eng. 2012, 49, 142–157. [Google Scholar] [CrossRef]
- Aziznejad, S.; Esmaieli, K.; Hadjigeorgiou, J.; Labrie, D. Responses of jointed rock masses subjected to impact loading. J. Rock Mech. Geotech. Eng. 2018, 10, 624–634. [Google Scholar] [CrossRef]
- Gupta, N.K.; Madhu, V. An Experimental Study of Normal and Oblique Impact of Hard-Core Projectile on Single and Layered Plates. Int. J. Impact Eng. 1997, 19, 395–414. [Google Scholar] [CrossRef]
- Gupta, N.K.; Iqbal, M.A.; Sekhon, G.S. Effect of Projectile Nose Shape, Impact Velocity and Target Thickness on Deformation Behaviour of Aluminum Plates. Int. J. Solids Struct. 2007, 44, 3411–3439. [Google Scholar] [CrossRef]
- Hoge, L.R.; Shugar, T.A. Three Dimensional Finite Element Modelling of Confinement Stress for Projectiles Embedded in Rock—A Preliminary Study; Defense Technical Information Center (DTIC): Port Hueneme, CA, USA, 1992; 93043–94328. [Google Scholar]
- Børvik, T.; Dey, S.; Clausen, A.H. Perforation Resistance of Five Different High Strength Steel Plates Subjected to Small-arms Projectiles. Int. J. Impact Eng. 2009, 36, 948–964. [Google Scholar] [CrossRef]
- Forrestal, M.J.; Altman, B.S.; Cargile, J.D.; Hanchak, S.J. An Empirical Equation for Penetration Depth of Ogive- Nose Projectiles into Concrete Targets. Pergamon. Int. J. Impact Eng. 1994, 15, 395–405. [Google Scholar] [CrossRef]
- Backman, M.; Goldsmith, W. The Mechanics of Penetration of Projectiles into Targets. Int. J. Eng. Sci. 1978, 16, 1–99. [Google Scholar] [CrossRef]
- Forrestal, M.J.; Piekutowski, A.J. Penetration Experiments with 6061-T6511 Aluminum Targets and Spherical-Nose Steel Projectiles at Striking Velocities between 0.5 And 3.0 km/s. Int. J. Impact Eng. 2000, 24, 57–67. [Google Scholar] [CrossRef]
- Lixin, Q.; Yunbin, Y.; Tong, L. A Semi-Analytical Model for Truncated-Ogive-Nose Projectiles Penetration into Semi-infinite Concrete Targets. Int. J. Impact Eng. 2000, 24, 947–955. [Google Scholar] [CrossRef]
- Senthil, K.; Iqbal, M.A.; Gupta, N.K. Thin Metallic Plates Subjected to Projectile Impact. In Proceedings of the International Conference of Impact Loading of Lightweight Structures, Cape Town, South Africa, 12–16 January 2014. [Google Scholar]
- Zha, T.; Li, J.; Lv, S.; Chen, Z. Residual velocity for truncated ogival-nose projectile into stiffened plates. Ships Offshore Struct. 2016, 11, 636–644. [Google Scholar]
- Senthil, K.; Iqbal, M.A.; Arindam, B.; Mittal, R.; Gupta, N.K. Ballistic resistance of 2024 aluminium plates against hemispherical, sphere and blunt nose projectiles. Thin-Waled Struct. 2018, 126, 94–105. [Google Scholar] [CrossRef]
- Ambriško, L.; Marasová, D. Experimental Research of Rubber Composites Subjected to Impact Loading. Appl. Sci. 2020, 10, 8384. [Google Scholar] [CrossRef]
- Erdem, R.T. Dynamic responses of reinforced concrete slabs under sudden impact loading. Rev. Constr. 2021, 20, 346–358. [Google Scholar]
- Teixeira, P.; Pina, L.; Rocha, R.; Sadek, S. Parametric analysis of energy absorption capacity of thin aluminum plates impacted by rigid spherical projectiles. Thin-Waled Struct. 2021, 159, 107240. [Google Scholar] [CrossRef]
- Alsabhan, A.H.; Sadique, M.R.; Alqarni, A.S.; Alam, S.; Suh, W. Behavior of Sedimentary Rock Tunnel against Rigid Projectile Impact. Appl. Sci. 2022, 12, 9595. [Google Scholar] [CrossRef]
- Anas, S.M.; Alam, M.; Shariq, M. Behavior of two-way RC slab with different reinforcement orientation layouts of tension steel under drop load impact. Mater. Today Proc. 2023, 87, 30–42. [Google Scholar] [CrossRef]
- Gahoi, A.; Zaid, M.; Mishra, S.; Rao, K.S. Numerical Analysis of the Tunnels Subjected to Impact Loading. In Proceedings of the 7th Indian Rock conference (Indorock2017), New Delhi, India, 25–27 October 2017. [Google Scholar]
- Zhou, L.; Zhu, Z.; Wang, M. Dynamic propagation behaviour of cracks emanating from tunnel edges under impact loads. Soil Dyn. Earthq Eng. 2018, 105, 119–126. [Google Scholar] [CrossRef]
- Baziar, M.H.; Shahnazari, H.; Kazemi, M. Mitigation of surface impact loading effects on the underground structures with geofoam barrier: Centrifuge modeling. Tunn. Undergr. Sp. Technol. 2018, 80, 128–142. [Google Scholar] [CrossRef]
- Mishra, S.; Rao, K.S.; Gupta, N.K.; Kumar, A. Damage to shallow tunnels in different geomaterials under static and dynamic loading. Thin-Walled Struct. 2018, 126, 138–149. [Google Scholar] [CrossRef]
- Zhou, L.; Zhu, Z.; Dong, Y. The influence of impacting orientations on the failure modes of cracked tunnel. Int. J. Impact Eng. 2019, 125, 134–142. [Google Scholar] [CrossRef]
- Mishra, S.; Kumar, A.; Rao, K.S.; Gupta, N.K. Experimental and numerical investigation of the dynamic response of tunnel in soft rocks. Structures 2021, 29, 2163–2173. [Google Scholar] [CrossRef]
- Zaid, M. Dynamic stability analysis of rock tunnels subjected to impact loading with varying UCS. Geomech. Eng. 2021, 24, 505–518. [Google Scholar]
- Zaid, M. Preliminary Study to Understand the Effect of Impact Loading and Rock Weathering in Tunnel Constructed in Quartzite. Geotech. Geol. Eng. 2021, 42, 725–753. [Google Scholar] [CrossRef]
- Thai, D.K.; Tran, M.T.; Phan, Q.M.; Pham, T.H. Local damage of the RC tunnels under ballistic missile impact investigated by finite element simulations. Structures 2021, 31, 316–329. [Google Scholar] [CrossRef]
- Senthil, K.; Pelecanos, L.; Rupali, S.; Sharma, R.; Saini, K.; Iqbal, M.A.; Gupta, N.K. Experimental and numerical investigation of transient dynamic response on reinforced concrete tunnels against repeated impact loads. Int. J. Impact Eng. 2023, 178, 104604. [Google Scholar] [CrossRef]
- Forrestal, M.J.; Luk, V.K. Penetration into Soil Targets. Int. J. Impact Eng. 1992, 12, 427–444. [Google Scholar] [CrossRef]
- Johnson, G.R.; Cook, W.H. Fracture Characteristics of Three Metals Subjected to Various Strains, Strain Rates, Temperatures and Pressures. Eng. Fract. Mech. 1985, 21, 3148. [Google Scholar] [CrossRef]
- Garner, S.; Strong, J.; Zavaliangos, A. The extrapolation of the Drucker–Prager/Cap material parameters to low and high relative densities. Powder Technol. 2015, 28, 210–226. [Google Scholar] [CrossRef]
- Alejano, L.R.; Bobet, A. Drucker–Prager Criterion. Rock Mech. Rock Eng. 2012, 45, 995–999. [Google Scholar] [CrossRef]
- Chakraborty, T. Impact Simulation of Rocks under SHPB Test. Proc. Indian Natl. Sci. Acad. 2013, 79, 605. [Google Scholar] [CrossRef]
- Børvik, T.; Hopperstad, O.S.; Berstad, T.; Langseth, M. Perforation of 12mm Thick Steel Plates by 20mm Diameter Projectiles with Flat, Hemispherical and Conical Noses Part II: Numerical Simulations. Pergamon. Int. J. Impact Eng. 2002, 27, 37–64. [Google Scholar] [CrossRef]
- Abaqus v6.11 User’s Manual; Abaqus Inc., DS Simulia: Providence, RI, USA, 2011.
















| Density, ρ | Young’s Modulus, E | Poisson’s Ratio, υ | Angle of Friction, ϕ | Flow Stress Ratio | Dilation Angle, ψ |
|---|---|---|---|---|---|
| 2291 kg/m3 | 13.6 × 109 N/m2 | 0.35 | 30° | 0.778 | 3° |
| Parameter | Value | |
|---|---|---|
| Modulus of elasticity, E | 200 × 109 N/m2 | |
| Poisson’s ratio, υ | 0.3 | |
| Density, ρ | 7850 kg/m3 | |
| Yield stress constant, A | 490 × 106 N/m2 | |
| Strain hardening constants | B | 807 × 106 N/m2 |
| n | 0.73 | |
| Viscous effect constant, C | 0.001 | |
| Thermal softening constant, m | 0.94 | |
| Reference strain rate, ε0 | 1.000 s−1 | |
| Melting temperature, θmelt | 1800 K | |
| Transition temperature, θtransition | 293 K | |
| Fracture strain constants, | D1 | 0.0705 |
| D2 | 1.732 | |
| D3 | 0.54 | |
| D4 | −0.015 | |
Disclaimer/Publisher’s Note: The statements, opinions and data contained in all publications are solely those of the individual author(s) and contributor(s) and not of MDPI and/or the editor(s). MDPI and/or the editor(s) disclaim responsibility for any injury to people or property resulting from any ideas, methods, instructions or products referred to in the content. |
© 2024 by the authors. Licensee MDPI, Basel, Switzerland. This article is an open access article distributed under the terms and conditions of the Creative Commons Attribution (CC BY) license (https://creativecommons.org/licenses/by/4.0/).
Share and Cite
Sarmah, R.; Dutta, T.T.; Rao, K.S. Numerical Analysis of a High-Velocity Projectile’s Impact on Shallow Steel Tunnels in Soft Sandstone. Infrastructures 2024, 9, 49. https://doi.org/10.3390/infrastructures9030049
Sarmah R, Dutta TT, Rao KS. Numerical Analysis of a High-Velocity Projectile’s Impact on Shallow Steel Tunnels in Soft Sandstone. Infrastructures. 2024; 9(3):49. https://doi.org/10.3390/infrastructures9030049
Chicago/Turabian StyleSarmah, Rupali, Troyee Tanu Dutta, and K. Seshagiri Rao. 2024. "Numerical Analysis of a High-Velocity Projectile’s Impact on Shallow Steel Tunnels in Soft Sandstone" Infrastructures 9, no. 3: 49. https://doi.org/10.3390/infrastructures9030049
APA StyleSarmah, R., Dutta, T. T., & Rao, K. S. (2024). Numerical Analysis of a High-Velocity Projectile’s Impact on Shallow Steel Tunnels in Soft Sandstone. Infrastructures, 9(3), 49. https://doi.org/10.3390/infrastructures9030049
