Abstract
To address the conflict of interest between the government and enterprises regarding urban emergency transportation resources in unconventional emergencies and to enhance resource allocation and response efficiency. This paper proposes a collaborative government–enterprise model for emergency transport capacity reserves and develops an incentive model based on principal–agent theory. First, by comprehensively considering enterprise characteristics, high-quality enterprises are selected to collaborate with the government in building an emergency capacity pool of social vehicles. Second, to address potential conflicts of interest between the government and enterprises within the emergency capacity pool, this paper uses principal–agent theory to analyze the interest game process under information asymmetry, constructs a corresponding incentive model, and determines the government’s optimal incentive coefficient, the enterprise’s optimal actual capacity supply ratio, and the benefit distribution between both parties. Finally, numerical simulations and sensitivity analyses were used to verify the model’s applicability. The findings reveal that transport effort cost, economic requisition compensation, and government supervision cost influence the optimal decisions and outcomes in government–enterprise interactions. This study provides theoretical guidance and managerial insights for coordinating emergency transport scheduling between the government and enterprises during unconventional emergencies.
1. Introduction
Unconventional emergencies refer to sudden events with insufficient precursors, significant complexity, potential secondary disasters, and challenges that cannot be effectively addressed through standard management methods [1]. With the rapid development of global economic, social, and environmental changes, the frequency of unconventional emergencies has increased. Examples include the “9/11 terrorist attack” in New York (2001), the nuclear radiation crisis following Japan’s 2008 earthquake, the Tianjin “8/12” explosion in 2015, and the global COVID-19 pandemic in 2020. How to effectively warn about, respond to, and manage unconventional emergencies has become a pressing scientific challenge for countries worldwide, including China. In emergency rescue operations, efficiently completing emergency transportation tasks is critical to improving the response’s effectiveness. However, limited transport capacity prevents the government from meeting the surge in demand, leading to supply chain disruptions and transportation delays [2]. Against this backdrop, the complementary capabilities of the government and transport enterprises in risk management, along with their collaboration in joint planning, knowledge management, and resource sharing, can help to prevent the escalation of unconventional emergencies, easing the burden on both parties [3]. Therefore, establishing a collaborative model between the government and transport enterprises is essential.
Strategic interactions between the two parties are crucial in a government–enterprise cooperation model. As the principal, the government oversees coordination and decision-making, while transport enterprises, as agents, execute transportation tasks. Due to information asymmetry, the government has limited access to information, whereas transport enterprises possess extensive knowledge and resources. This disparity can result in misaligned objectives. Specifically, the government aims to maximize social benefits and enhance emergency response capabilities, while transport enterprises focus on economic interests, potentially leading to profit conflicts. Therefore, aligning the interests of both parties for mutual benefit is essential to achieving successful cooperation. Incentive mechanisms are an effective approach to addressing these challenges [4]. As part of the cooperation agreement, the government should provide appropriate subsidies to enhance the commercial viability of collaborative capacity reserves.
Research on government–enterprise cooperation in emergency transport capacity has examined various aspects, including cooperation models, capacity coordination, and the influence of policies [5,6,7]. The public–private partnership (PPP) model, which enhances the provision of public goods and services, has been widely applied to collaborative emergency resource reserves. In terms of capacity coordination, scholars have explored flexible resource allocation during emergencies through optimization models to enhance response efficiency [8,9,10]. Furthermore, researchers have analyzed the influence of policies on corporate participation in emergency responses, such as the effects of government subsidies, incentive mechanisms, and industry standards [11,12]. Despite the growing body of research, systematic discussions on collaborative reserves for emergency capacity, particularly regarding resource preparation and reserve strategies, still need to be improved. This research gap results in a need for more adequate theoretical support for resource reserves in actual emergency management, negatively affecting the efficiency of resource allocation and the timeliness of emergency responses. Therefore, deeper theoretical and practical research is essential to optimize emergency management.
To address the identified research gaps, this paper proposes a transportation reserve model from the perspective of emergency transportation resource management. The model primarily relies on contracted transportation capacity, supplemented by dispersed social transportation resources, termed the “Emergency Capacity Pool of Social Vehicles”. Its objective is to optimize collaboration between the government and transport enterprises through strategic design and management, ensuring efficient allocation of emergency transportation resources. This, in turn, enhances emergency management and maximizes benefits. To achieve these objectives, the following research questions are explored:
- (1)
- What are the selection criteria for transport enterprises?
- (2)
- How can the government’s optimal incentive coefficient, the enterprise’s optimal actual capacity supply ratio, and their respective benefits be effectively determined?
- (3)
- How do changes in transport effort cost, government supervision cost, and economic requisition compensation influence the decisions and benefits of both the government and enterprises?
This paper systematically selects potential transport enterprises based on four dimensions: grading, categorization, distribution, and integrity, and establishes the reserve structure of the emergency capacity pool of social vehicles. The principal–agent theory is employed to explore the strategic relationship between the government and transport enterprises within the pool. An incentive model is developed to determine the optimal decisions and utilities for both parties. Furthermore, through dynamic perspective and numerical simulation, this paper analyzes the evolution of decision-making paths for the government and transport enterprises, exploring key factors that motivate transport enterprises to participate actively in emergency responses. In conclusion, this study constructs a more efficient emergency transport capacity reserve structure, providing theoretical support for government–enterprise cooperation in emergency management.
The remainder of this paper is organized as follows: Section 2 reviews the relevant literature on collaborative emergency transport capacity reserve. Section 3 explains the selection criteria for transport enterprises and the framework for emergency transport capacity. Section 4 constructs an incentive model for the emergency capacity pool of social vehicles based on principal–agent theory to analyze the optimal strategies and expected utilities of the government and transport enterprises. Section 5 validates the applicability of the model through case analysis. Section 6 analyzes and compares the results of the study. Section 7 summarizes the conclusions, discusses limitations, and proposes future research directions.
2. Literature Review
This section reviews research from four perspectives: government–enterprise emergency cooperation model, emergency transportation resource planning, the application of principal–agent theory, and government subsidies for incentivizing enterprise participation.
2.1. Government–Enterprise Emergency Cooperation Model
Collaborative models between industries and governments have become essential strategies for effectively managing unconventional emergencies in emergency management. According to Jiaqi’s research [13], collaboration between the government and medical enterprises during epidemics has significantly enhanced the efficiency of public health responses. For example, the UK government collaborated with medical enterprises to create a new supply chain framework, enabling the rapid procurement and distribution of personal protective equipment. However, challenges like non-transparent public funding and preferential access substantially reduced the effectiveness of these efforts [14]. Similarly, partnerships between the transportation industry and governments have played a crucial role in emergency responses. Wang et al. observed that during the COVID-19 outbreak, the Chinese government rapidly partnered with logistics companies to carry out emergency transportation, ensuring that essential goods were delivered at minimal cost and maximum speed despite constrained transportation resources [15]. However, this model encountered obstacles like low coordination efficiency and limited corporate participation, which could have improved its effectiveness.
In summary, while partnerships between industries and governments have delivered many positive outcomes in emergency management, they also encounter notable limitations. This paper proposes a government–enterprise partnership model for emergency transportation capacity, aiming to explore the alignment of interests between governments and transport enterprises, strengthen collaboration, and enhance responses to unconventional emergencies.
2.2. Emergency Transportation Resource Planning
Emergency transportation resource planning is critical in emergency management, as it directly impacts rescue efficiency and post-disaster recovery, especially during sudden, unforeseen events [16]. Adequate planning includes the types and quantities of vehicles and the optimization of routes, both of which are essential for enhancing emergency responses. Recent research in this area has primarily focused on route optimization. Liu et al. combined ant colony optimization with dynamic programming to develop a dynamic path model that flexibly adjusts emergency supply routes based on real-time traffic [17]. Wang et al. applied vehicle-sharing and time-window strategies to optimize resource allocation, enhancing emergency logistics network efficiency [18]. Hao et al. analyzed route selection and priority control strategies to improve the allocation of emergency transportation resources [19]. Despite progress in route optimization, research on vehicle types and quantities still needs to be improved, potentially hindering efficient resource use in emergencies and impacting overall response effectiveness. This paper proposes a multi-party collaborative approach for capacity reserve planning through an emergency capacity pool of social vehicles. This model integrates resources from government and transport enterprises, creating a shared platform for dynamically adjusting emergency capacity, enabling efficient allocation and use of vehicles.
2.3. Application of Principal–Agent Theory
During emergency management, stakeholders often face unequal access to information. This information asymmetry results in resource allocation and decision-making inefficiencies [20]. Principal–agent theory, the standard framework for addressing information asymmetry, has recently gained attention as scholars have explored its application in emergency cooperation. Its core is to enhance collaboration between parties by designing incentives, establishing constraints, and optimizing information transmission and collection. First, the principal can encourage the agent to share information actively by implementing goal-driven incentives. Xiao et al. examined the interactions between nonprofit organizations and capacity-reserving enterprises under information asymmetry and developed an incentive model for reserving emergency medical supplies. Their findings indicated that linking incentive policies directly to enterprise performance increased the likelihood of businesses, providing relevant reserve information [21]. Second, in the principal–agent relationship, the principal can implement supervisory mechanisms to regulate the agent’s information-sharing behavior. These mechanisms reduce the chances of information concealment and strengthen the agent’s accountability. For example, Ma et al. studied the principal–agent relationship between higher- and lower-level governments in early warning systems for heavy rain, showing that supervisory mechanisms enhance the effectiveness of information flow and feedback [22]. Finally, using information-sharing platforms and data systems can improve information transmission and collection, ensuring timely and accurate data acquisition while facilitating multidimensional integration and analysis [23].
In summary, principal–agent theory offers systematic solutions for addressing information asymmetry in emergency cooperation by designing incentives, establishing constraints, and optimizing information flow. This paper proposes an incentive model grounded in principal–agent theory to mitigate information asymmetry between the government and transport enterprises, intending to enhance emergency capacity cooperation mechanisms.
2.4. Government Subsidies for Incentivizing Enterprise Participation
In government–enterprise emergency cooperation, companies often encounter complex environments and significant risks from sudden events, which can hinder profitability or even result in losses. Thus, the government must provide subsidies to encourage active corporate participation in emergency cooperation. Guan et al. examined how government subsidies affect the private sector’s risk attitudes under disaster uncertainty and influence decision-making during emergencies. Their study found that moderate subsidies reduce enterprises’ risk aversion, enhancing their willingness to participate in emergency cooperation [24]. Yang et al. examined how different government subsidies and coordination strategies influence pricing decisions, pandemic response efforts, and cost-sharing ratios within emergency supply chains. Their findings indicate that cost-sharing subsidies result in the highest levels of pandemic response effectiveness and social welfare [25]. Zhang et al. investigated how subsidy policy design and duration influence emergency supply levels in private manufacturing. Their findings emphasized that appropriate subsidy durations significantly enhance enterprises’ supply capabilities [26].
In summary, government subsidies in emergency cooperation significantly impact corporate decision-making and coordination mechanisms, providing essential support to strengthen risk resilience. This paper aims to analyze government subsidy measures for transport enterprises, focusing on designing incentive mechanisms that effectively motivate participation in emergency responses while safeguarding the enterprises’ reasonable interests.
2.5. Research Gaps
In joint government–enterprise emergency transportation reserves, many studies have addressed emergency resource planning, applications of principal–agent theory, and the incentive effects of subsidies on corporate motivation. However, most research has focused on optimizing transport routes. There is limited research on the types and quantities of vehicles, which restricts existing collaboration mechanisms and resource management strategies from adapting to changing demands and resource constraints. A comprehensive theoretical framework is urgently needed to guide collaborative reserve and dispatch strategies for transportation resources under different scenarios, thereby enhancing emergency response effectiveness. Furthermore, research on government–enterprise roles and interaction mechanisms in emergency transportation reserves remains limited, particularly concerning information sharing, responsibility allocation, and incentive design. This gap limits theoretical development and challenges practical resource allocation efficiency. Future research should prioritize systematic models for collaborative emergency transportation reserves, exploring multi-stakeholder collaboration to advance scientific and practical innovation in emergency management.
To explore collaborative emergency transportation mechanisms and analyze multi-stakeholder models, this paper proposes an emergency capacity pool of social vehicles co-built by government and transport enterprises. An incentive model based on principal–agent theory is developed to examine optimal decisions and benefits for government and transport companies in emergencies. Additionally, a sensitivity analysis of government compensation is conducted to examine its impact on government–enterprise decisions and benefits, revealing how subsidies influence transport enterprise participation in emergency responses.
3. Building the Emergency Capacity Pool of Social Vehicles
3.1. Principles for Selecting Transport Enterprises
By establishing rigorous selection criteria, suitable transport enterprises are evaluated and selected to form a collaborative emergency capacity pool of social vehicles. This study, grounded in China’s national context, evaluates transport enterprises comprehensively across four dimensions: ownership structure, core business type, regional distribution, and historical reputation.
3.1.1. Grading Principle
The stability and capacity of the emergency capacity pool of social vehicles directly affect the government’s emergency response efficiency during unconventional emergencies. Given state-owned enterprises’ reliability and national security alignment, they should be prioritized as the primary builders. However, since state-owned enterprises alone may not meet rising demand, the government should also include high-quality private enterprises to leverage their flexibility and resources, thereby enhancing emergency capacity reserves. Combining state-owned and private enterprises creates a flexible and scalable emergency transportation network, facilitating a comprehensive and resilient emergency response system capable of addressing unconventional emergencies.
3.1.2. Categorization Principle
The core function of the emergency capacity pool of social vehicles lies in the efficient transportation of various emergency supplies and rescue personnel. To achieve this, it is essential to have diversified emergency transportation capacity to address challenges in different scenarios. Therefore, the government should systematically assess enterprises’ transport capacity, equipment configurations, and experience in handling specific materials and emergency logistics. By establishing an emergency capacity pool of social vehicles with diversified capacity, the government can meet the demands of various emergencies, ensuring smooth operations and effective outcomes.
3.1.3. Distribution Principle
The distribution of transport enterprises is crucial for enhancing a city’s emergency response capabilities during unconventional emergencies. The layout should follow the principles of scientific allocation and dynamic adjustment, considering factors such as disaster distribution, potential risks, population density, and transportation to continuously optimize the regional distribution of reserve capacity. Through careful consideration and dynamic optimization, the government can achieve full coverage of transportation capacity while focusing on critical areas for monitoring.
3.1.4. Integrity Principle
Integrity is critical to sustainable enterprise development and maintaining trust between the government and enterprises. The government typically evaluates the reputation of transport enterprises based on historical interactions. Cooperating with enterprises with a good track record and honoring contracts help to reduce transaction costs, minimize risks of information concealment, and enable the rapid mobilization and efficient allocation of resources. Moreover, reliable partners can enhance the resilience of the overall emergency system, ensuring necessary support and services during unconventional emergencies.
3.2. Structure of the Emergency Capacity Pool of Social Vehicles
The emergency capacity pool of social vehicles integrates state-owned and private transport enterprises with excellent historical performance and reasonable regional distribution. It systematically categorizes capacity based on different emergency transport demands and sets corresponding scales for each category to ensure that general, specialized, and critical transport needs are met. This layered and structured strategy can improve the efficiency of resource allocation, ensuring that the emergency capacity pool maintains high performance and rapid responses during unconventional emergencies. The structure is shown in Figure 1. On the left, guided by the grading principle, it shows that the emergency capacity pool of social vehicles comprises state-owned and high-quality private transport enterprises in urban areas, with state-owned enterprises as the core. On the right, following the categorization principle, the pool is divided into different capacity types based on varied transportation requirements.
Figure 1.
Structure of the emergency capacity pool of social vehicles.
3.3. Integration of Social Vehicle Transportation Capacity
The municipal government should establish a central coordination platform within the emergency capacity pool of social vehicles. Based on a real-time information-sharing system, this platform allows various levels of government and contracted transport enterprises to register available resources (such as semi-trailers, vans, and refrigerated trucks), enabling systematic integration of transportation resources. The platform should dynamically update operational status, location, and capacity information to facilitate rapid deployment in response to evolving emergencies.
4. Development of an Incentive Model for the Emergency Capacity Pool of Social Vehicles Based on Principal–Agent Theory
4.1. Problem Description
This study analyzes the principal–agent relationship between a government and a transport enterprise, focusing on their interaction mechanism while constructing an emergency capacity pool of social vehicles. Figure 2 illustrates the research process. The government enters a principal–agent agreement with the selected transport enterprise, specifying the quantity of emergency capacity available for deployment during unconventional emergencies. During the capacity reserve period, the government subsidizes the transport enterprise and monitors its operations. During the emergency response period, the government coordinates transportation based on the capacity supplied by the enterprise. After the emergency, the government compensates the transport enterprise based on actual capacity utilization.
Figure 2.
Principal–agent process between government and transport enterprises.
4.2. Model Assumptions and Symbol Definitions
This section systematically explains the model’s assumptions and associated variables.
4.2.1. Model Assumptions
The model mainly involves two participants: the government as the principal and the transport enterprise as the agent. The government selects state-owned and private enterprises to jointly construct the emergency capacity pool of social vehicles.
- (1)
- In constructing an emergency capacity pool of social vehicles, the government faces information asymmetry with transport enterprises, making it difficult to monitor their actions and decision-making processes directly. This study assumes that the ratio of actual capacity βiqi supplied during emergencies to the promised capacity αiqi, expressed as βi/αi, can serve as an indirect measure of the effort exerted by enterprises in supplying transportation capacities, where αi (0 < αi < 1) represents the proportion of capacity pledged to the emergency capacity pool of social vehicles; βi (0 < βi < 1) represents the proportion of capacity actually supplied, and qi represents the available quantity of various transportation capacities.
- (2)
- During emergency responses to unconventional emergencies, the government derives social benefits mainly from reducing accident-related losses. These benefits depend on the effort levels of the government and its collaborators and are influenced by external environmental factors [27]. Thereby, this paper sets the output function of effort as , where ri represents the marginal social benefit of each capacity type and θi ~ N (0, σi2) represents random factors unrelated to the conversion of social benefits, reflecting external environmental uncertainty. The larger the value of σi2, the stronger the uncertainty.
- (3)
- When a transport enterprise increases its effort to supply one type of emergency transportation capacity, its effort in other tasks decreases proportionally. However, this does not imply that the unit cost of effort for different types of capacity will change. Therefore, it is assumed that the cost of effort functions independently for each capacity type [28]. Referring to [29], the effort cost function of the transport enterprise is assumed to be , where ni represents the marginal cost of supplying each capacity type. This quadratic cost function meets the condition of increasing marginal production costs [30], i.e., .
- (4)
- According to Holmstrom and Milgrom’s principal–agent model [31], the government provides a linear incentive contract to the transport enterprise, represented as , where ω’ represents a one-time subsidy from the government and ωi represents the incentive coefficient for each type of emergency capacity provided, with 0 < ωi < 1 (i = 1, 2, …, n).
- (5)
- Unconventional emergencies involve high uncertainty and complexity, posing significant challenges for transport enterprises, which tend to exhibit risk aversion in such complex environments. This paper assumes that the government is risk-neutral. At the same time, enterprises are risk-averse, following a constant absolute risk aversion function: , where ρ represents the risk aversion coefficient of the transport enterprise and f1 represents the enterprise’s utility function.
4.2.2. Variable Definitions
Table 1 provides a detailed description of the relevant variables, clarifying the model construction process and each function’s purpose.
Table 1.
Relevant variables and definitions.
4.3. Building an Incentive Model for the Emergency Capacity Pool of Social Vehicles
This section derives the utility functions by analyzing the costs and benefits of establishing an emergency capacity pool of social vehicles for the government and transport enterprises.
4.3.1. Utility Function Analysis for Transport Enterprises
- (1)
- Emergency Transportation Capacity Input Costs
The input costs for transport enterprises are determined by their effort costs. According to Assumption 3, the calculation formula for the input costs is:
where ni represents the marginal cost of each type of capacity supplied by the transport enterprise.
- (2)
- Emergency Transportation Capacity Incentives
To encourage enterprises to provide as much emergency capacity as possible, the government offers a portion of societal benefits as incentives to transport enterprises. According to Assumption 4, the formula for calculating incentives for enterprises’ efforts in providing emergency transportation capacity is:
- (3)
- Emergency Transportation Capacity Compensation
For actual emergency transportation capacity used, the government should implement an economic compensation mechanism based on the types of transportation capacity βiqi provided by the enterprise. Fixed compensation alone cannot entirely reflect the actual contribution of the enterprise during emergencies. Therefore, adjustments based on the enterprise’s performance should reflect government rewards or penalties. The formula for calculating the actual capacity compensation received by the transport enterprise is:
where hi represents the economic compensation given by the government for each type of emergency transportation capacity.
- (4)
- Utility of the Transport Enterprise
Therefore, the payoff function of the transport enterprise is expressed as:
Given that θi ~ N (0, σi2), we obtain:
According to Assumption 5, the enterprise is risk-averse, and its utility function is ; thus, the expected value of its utility function is:
For ease of solving the model, the expected value of the enterprise’s utility function is expressed using certainty-equivalent income (CE). According to the definition of CE: [32], we obtain:
Therefore, , and the certainty-equivalent income (CE) of the enterprise’s utility function is:
4.3.2. Utility Function Analysis for Government Departments
- (1)
- Government Supervision Costs
The government incurs supervision costs M when monitoring transport enterprises’ emergency capacity reserves. Supervision costs are lower when transport enterprises actively meet their emergency reserve tasks; otherwise, they increase. The formula for government supervision costs is assumed as:
where bi represents the supervision costs incurred by the government for each type of emergency transportation capacity.
- (2)
- Incentive and Compensation Costs
As per the contract, the government provides incentives and compensation for emergency capacity, calculated as:
- (3)
- Social Benefits
Social benefits refer to the outcome of transport enterprises maintaining sufficient emergency capacity, effectively reducing accident losses during unconventional emergencies. Social benefits are determined by the effort level of transport enterprises βi/αi and the uncertainty of the external environment θi, reflecting the type and severity of unconventional emergencies. According to Assumption 2, the formula for the social benefits π is:
- (4)
- Government Utility
Therefore, the government’s payoff function is:
With the government being risk-neutral, its utility function is:
4.4. Incentive Model
In the emergency capacity pool of social vehicles, the government seeks to select the incentive coefficient ωi to maximize its expected returns. The government faces two constraints from transport enterprises: participation constraints (their expected return from joining the pool must be no less than their highest opportunity return) and incentive constraints (enterprises, as rational actors, will always choose effort levels that maximize their expected returns).
4.4.1. Objective Function
As the principal in the emergency capacity pool of social vehicles, the government’s main task is to set incentive coefficients to increase the percentage of actual emergency transportation capacity βi provided by the enterprises and maximize social satisfaction. Therefore, the objective function of this paper’s incentive model is:
4.4.2. Participation Constraint
Since transport enterprises aim to maximize profits, they will compare returns from the emergency capacity pool (both committed and actual provided) with returns from alternative projects. The return from these alternative projects is called the opportunity return, with the highest opportunity return denoted as f’. If the expected utility value Π1 from participating in the emergency capacity pool is less than the highest opportunity return f’, the transport enterprises will not contract with the government to join the pool. Therefore, the government must ensure that the enterprises’ returns are not lower than their highest opportunity return, as expressed in the participation constraint Formula (12):
4.4.3. Incentive Constraint
As rational actors, transport enterprises will always choose actions that maximize returns. Therefore, the enterprises’ incentive constraint is:
In summary, the incentive model for the emergency capacity pool of social vehicles is constructed as follows:
4.5. Model Solution
This paper applies backward induction to solve the model. After analyzing both constraints, they are substituted into the objective function to solve for the incentive coefficient ωi.
4.5.1. Analysis of Incentive Constraints
This paper assumes that the government cannot directly observe the effort levels of transport enterprises in providing various types of emergency transportation capacity βi/αi. In such cases, enterprises will choose moderate effort to maximize their expected utility Π1. Since a fixed transportation capacity ratio αi is already agreed upon, only the variation in the actual capacity supply ratio βi needs consideration. By differentiating the certainty-equivalent revenue Π1, the first-order and second-order derivatives concerning the actual capacity supply ratio βi are obtained, as shown in Formula (16):
From Formula (16), the second-order derivative of the expected utility value Π1 concerning the actual capacity ratio βi is negative, indicating that the expected utility is a convex function of the enterprises’ effort level. Therefore, there exists an optimal actual capacity supply ratio βi* that maximizes the enterprises’ expected utility, with the formula for the optimal ratio provided in Formula (17):
4.5.2. Analysis of Participation Constraints
The incentive constraints for transport enterprises are expressed through Formula (16). For the participation constraints, the Lagrangian function is constructed as follows:
According to the KKT (Karush–Kuhn–Tucker) conditions, implies that λ2 = 1. Additionally, since , the participation constraint for transport enterprises can be expressed as:
4.5.3. Variable Solution
Substituting Formulas (17) and (18) into the objective function (14) yields:
By solving the first-order and second-order partial derivatives of Π2 concerning the government’s incentive coefficient ωi, we obtain:
Based on the property that the second-order derivative is less than 0, it is determined that an optimal incentive coefficient ωi* exists:
4.6. Model Analysis
This section evaluates how variations in factors like the committed supply ratio and economic compensation coefficient affect the incentive model outcomes.
4.6.1. Analysis of Optimal Actual Supply Ratio for Transport Enterprises
Theorem 1.
The optimal actual capacity supply ratio βi* increases with the committed supply ratio αi, economic compensation coefficient hi, and marginal social benefit ri, and decreases with the marginal cost of supply ni.
Proof of Theorem 1.
The first-order derivatives of Equation (17) with respect to αi, hi, ri, and ni are as follows:
Equation (22) shows that the optimal actual capacity supply ratio βi* is positively correlated with the committed supply ratio αi, the economic compensation coefficient hi, and the marginal social benefit ri, while it is negatively correlated with the marginal cost of supply ni.
The effort levels of various emergency supply ratios βi/αi represent the relationship between the actual capacity supply ratio βi and the committed supply ratio αi. Since the incentives are linearly related to effort levels, enterprises must fully consider this dynamic mechanism when developing supply strategies. When the committed supply ratio αi increases, transport enterprises will realize that more effort will yield more significant incentives, prompting them to adjust their actual capacity supply ratio βi to maximize returns. Conversely, if αi decreases, enterprises may reduce their actual capacity supply ratio βi to minimize costs and risks. This adjustment reflects enterprises’ sensitivity to the incentive mechanism and quick response to market changes.
The economic compensation for transport enterprises is closely related to the economic compensation coefficient hi and the actual quantity of utilized capacity βiqi. When the economic compensation coefficient hi increases, compensation per unit of utilized capacity rises, driving transport enterprises to increase the supply of various emergency capacities. This compensation mechanism directly influences the enterprises’ supply decisions. As the economic compensation coefficient hi increases, enterprises are increasingly motivated to enhance their actual capacity supply ratio βi, maximizing external incentives to achieve higher returns and social benefits. This positive feedback relationship further strengthens enterprises’ motivation to provide emergency transportation capacity, enabling them to meet social demands effectively.
Furthermore, when the marginal social benefit ri increases, the efforts of transport enterprises are more easily converted into social benefits, indicating that the same effort generates more social benefits, offering stronger incentives for enterprises. When enterprises realize that their efforts can translate into significant social benefits, their motivation to increase effort rises, directly boosting the actual capacity supply ratio βi. This positive relationship highlights the interaction between social benefits and enterprise efforts. It emphasizes the critical role of marginal social benefits in the incentive mechanism, further promoting the adequate supply of emergency transportation capacities.
Finally, when the marginal cost of supply ni increases, transport enterprises face greater cost pressures in providing capacity services, necessitating more effort to maintain supply levels. In this case, economic returns are squeezed, potentially leading to a decline in effort levels. In weighing the benefits and costs, enterprises find that the returns from their efforts are insufficient to compensate for the increased costs, affecting their actual capacity supply ratio βi for emergency transportation capacities. This cost–benefit shift makes it difficult for enterprises to maintain or increase the actual supply levels of various emergency transportation capacities, which may result in insufficient fulfillment of social demand. □
4.6.2. Analysis of the Government’s Optimal Incentive Coefficient
Theorem 2.
The optimal incentive coefficient ωi* decreases with the economic compensation coefficient hi, effort cost of transportation capacity ni, risk aversion coefficient ρ, and social benefit–risk level σi2, while it increases with the government’s supervision cost bi.
Proof of Theorem 2.
The government will sign contracts with transport enterprises only if the social benefits ri from the provided emergency capacities exceed the government’s compensation hiαiqi; thus, . The first-order derivatives of Equation (21) concerning hi, ni, ρ, σi2, and bi are as follows:
From Equation (23), the government’s optimal incentive coefficient ωi* is negatively correlated with the economic compensation coefficient hi, transport effort cost ni, risk aversion coefficient ρ, and social benefit–risk level σi2, while it is positively correlated with government supervision cost bi.
The government’s incentive coefficient ωi is negatively correlated with the economic compensation coefficient hi. This phenomenon stems from their functional similarity, as both serve as government incentives to enhance enterprises’ ability to supply emergency capacities. Therefore, social benefit incentives and economic compensation for capacity requisition are substitutable tools. When designing the incentive framework, the government needs to know how these mechanisms interact to ensure enterprises are effectively incentivized to provide emergency capacities, maximizing social benefits.
When the effort cost ni increases, transport enterprises typically decrease their actual capacity supply ratio βi to reduce overall costs, based on a cost–risk trade-off. This may cause capacity shortages during emergencies, negatively impacting the timeliness and effectiveness of responses. In this scenario, the government should increase the incentive coefficient ωi to boost enterprises’ expected returns and reduce cost pressures, encouraging them to maintain or expand capacity supply during emergencies.
Enterprises with high risk aversion ρ generally resist income uncertainty. This leads enterprises to adopt conservative strategies during emergencies, maintaining low actual capacity supply ratios βi to minimize revenue fluctuations. Therefore, the government may reduce the social benefit incentive coefficient ωi when designing incentive mechanisms and instead offer more stable and predictable incentives. This approach effectively lowers enterprises’ perceived risks and encourages them to provide as much emergency capacity as possible during emergencies.
An increase in the social benefit-risk level σi2 indicates rising uncertainty in the external environment. Under such circumstances, the correlation between the social benefits ri from transportation capacities and enterprise effort levels βi/αi weakens. This is because changes in the external environment often dominate fluctuations in social benefits, making it harder for enterprise efforts to translate into social returns. Therefore, increasing the incentive coefficient ωi has a limited impact on the actual capacity supply ratio βi, making it hard to fully realize the incentive mechanism’s positive effects.
As the government’s supervision costs bi increase, the pressure and risks faced by transport enterprises also increase, prompting more cautious decision-making and avoiding speculative behavior. This trend encourages transport enterprises to continuously improve their effort levels βi/αi to meet regulatory requirements. Higher effort levels enhance enterprises’ emergency response capabilities, improving efficiency and generating more social benefits. □
5. Case Study Analysis
5.1. Numerical Simulation of the Incentive Model
This study uses numerical simulation to verify the optimal solution of the incentive model and explore the complex relationships among its variables. Table 2 shows the situation of transport enterprises.
Table 2.
Transport enterprise-related parameters.
The government-related parameters are shown in Table 3.
Table 3.
Government-related parameters (unit: yuan).
By substituting the above parameters into Formulas (17) and (18), we can calculate the optimal actual transportation capacity supply ratio for transport enterprises and the government’s optimal incentive coefficient. At the same time, using Formulas (5) and (10), we can also determine the expected utility values for both enterprises and the government. The specific results are shown in Table 4.
Table 4.
Numerical results of the incentive model.
5.2. Sensitivity Analysis
To further explore the influence of various factors on the optimal decision strategies ωi* and βi*, as well as the expected utility values Π1 and Π2 for both the government and transport enterprises, this study uses simulation methods to analyze dynamic changes under variations in transport effort cost ni, economic requisition compensation hi, and government supervision cost bi.
5.2.1. Transport Effort Cost
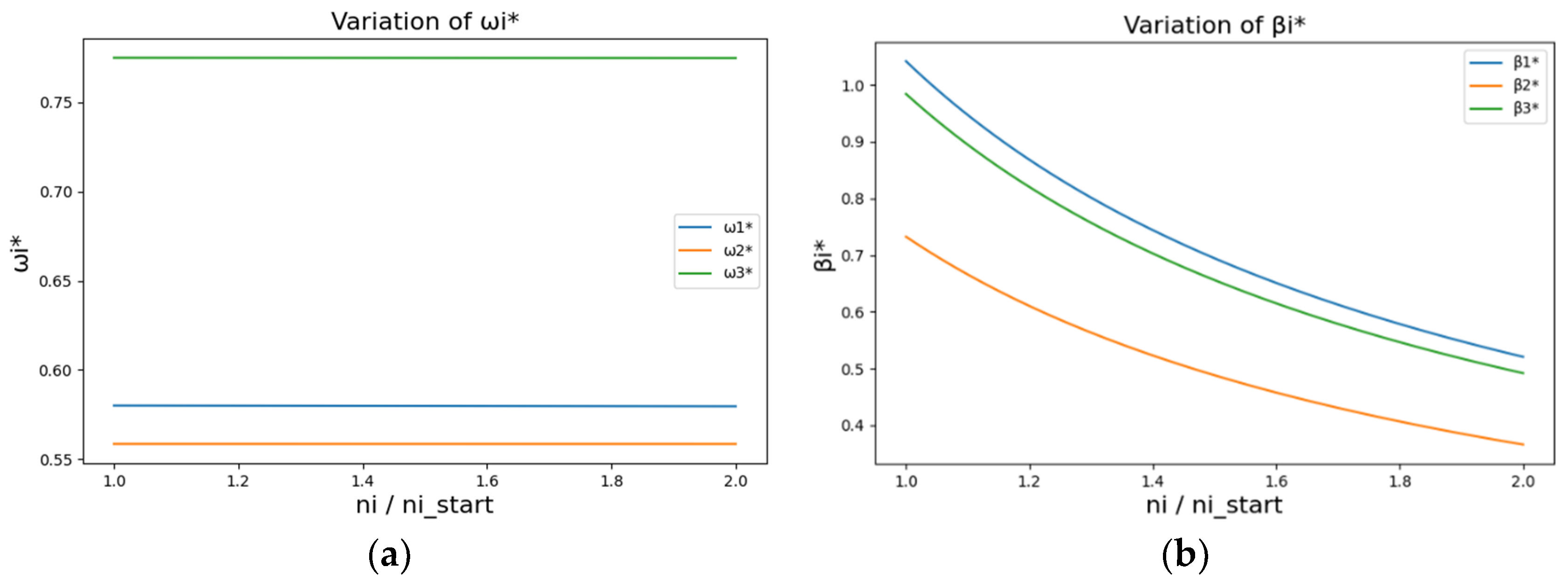
In the revenue structure of transport enterprises, transport effort cost ni is the only factor fully controlled by the enterprises. To gain greater initiative in the emergency capacity pool of social vehicles, enterprises must thoroughly understand the interactions between effort cost ni and the optimal decision strategies ωi*, βi*, and utility Π1 for both the government and the enterprises. To explore these relationships, this study sets the variation range for ni as: ni_start = [100,000, 200,000, 1,000,000], ni_end = [200,000, 400,000, 2,000,000]. Given the large differences in the values of ni, the trends of ωi* and βi* for the three types of transportation capacities are compared using ni/ni_start as the scale on the graph’s horizontal axis. The relevant results are shown in Figure 3.
Figure 3.
(a) Relationship between the government’s optimal incentive coefficient ωi* and transport effort cost ni; (b) relationship between the optimal actual capacity supply ratio βi* and transport effort cost ni.
Figure 3a shows that the correlation between transport effort cost ni and the government’s incentive coefficient ωi is relatively low. This is because transport enterprises, when making decisions on effort input, focus more on their operational efficiency and market demands, rather than relying solely on the government’s social benefit incentives. This difference in decision-making orientation creates a disconnect between enterprises’ effort costs and the government’s social benefit incentives, limiting the impact of the former on the latter. In contrast, a significant negative correlation exists between the actual capacity supply ratio βi and transport effort cost ni. According to Theorem 1 and Figure 3b, the optimal actual capacity supply ratio βi for enterprises is a decreasing function of transport effort cost ni. This indicates that, when enterprises increase investment in effort cost, their actual capacity supply ratio βi will correspondingly decrease, reflecting the need to balance costs and benefits in resource allocation.
Next, transport effort costs are plotted as coordinate points (n1, n2, n3), with the size and color of the spheres representing the values of the utility function Π1 for transport enterprises. The red sphere denotes the enterprises’ maximum utility value, and the changes in the utility function are shown in Figure 4.
Figure 4.
Relationship between transport enterprise utility Π1 and effort cost ni.
As shown in Figure 4, a decrease in transport effort cost ni reduces the overall costs of providing emergency transport capacity, thus strengthening enterprises’ willingness to raise their actual capacity supply ratio βi. As emergency transportation resources increase, emergency response and service quality improve social benefits. This prompts the government to provide more economic incentives, increasing the compensation received by enterprises. Therefore, increasing supply enhances social benefits and generates higher profits for transport enterprises, encouraging their continued participation in the emergency capacity pool of social vehicles.
5.2.2. Government Supervision Cost
In the revenue structure of the government and transport enterprises, many factors are not fully controlled by the government, with government supervision cost bi being one adjustable parameter. Therefore, it is crucial to investigate the interaction between government supervision cost bi and the optimal decision strategies ωi* and βi* for both the government and enterprises. For this, this study sets the variation range for government supervision cost bi as bi_start = [2000, 3000, 2000], bi_end = [4000, 6000, 4000]. Given the large differences in bi values, bi/bi_start is used as the scale on the graph’s horizontal axis, and the relevant results are shown in Figure 5.
Figure 5.
(a) Relationship between the government’s optimal incentive coefficient ωi* and government supervision cost bi; (b) relationship between the optimal actual capacity supply ratio βi* and government supervision cost bi.
According to Theorem 2 and Figure 5a,b, there is a positive correlation between government supervision cost bi, the government’s incentive coefficient ωi, and the transport enterprise’s optimal actual capacity supply ratio βi*. This implies that, when the government increases its supervision costs, the oversight risks for transport enterprises increase, prompting them to adopt more cautious operational decisions and reduce speculative behavior. Consequently, this regulatory environment compels enterprises to continually improve their effort levels βi/αi in capacity supply to gain the government’s trust. However, increasing effort levels βi/αi inevitably leads to higher operational costs, including labor, materials, and technology investments. To offset these costs and maintain profitability, transport enterprises will demand higher incentive coefficients as compensation, ensuring that they can achieve sustainable development and profitability while improving transportation capacity supply.
Based on the horizontal axis in Figure 5a,b, the reasonable range of bi is [2000, 3000, 2000] to [3600, 6000, 4000]. Using the government supervision cost as coordinate points (b1, b2, and b3), the size and color of the spheres represent the values of the government’s utility function Π2. A blue sphere indicates the maximum utility, and the changes in the government’s utility function are shown in Figure 6.
Figure 6.
Relationship between the government’s utility Π2 and government supervision cost bi.
From the analysis of Figure 5a,b and Figure 6, it is evident that there is a significant positive correlation between government supervision cost bi and the government’s incentive coefficient ωi. In contrast, the correlation with the actual capacity supply ratio βi of transport enterprises is relatively small. This indicates that, when government supervision cost bi decreases, the actual capacity supply ratio βi of transport enterprises only slightly decreases, while the government’s incentive coefficient ωi decreases significantly. This suggests that, when the social benefits generated by transport enterprises fluctuate minimally, the government can retain more social benefits, thus increasing its expected utility.
5.2.3. Economic Requisition Compensation
To explore the relationship between the economic compensation coefficients h1, h2, and h3 provided by the government to transport enterprises and the optimal decision strategies ωi*, βi*, along with the expected utility values Π1, Π2, a variation range of hi was set. Specifically, hi_start = [200, 400, 1000], and hi_end = [400, 800, 2000]. Given the large variations in the economic compensation coefficients hi, this study uses hi/hi_start as the scale on the horizontal axis to compare the trends of ωi* and βi* across three types of transportation capacity. The relevant trend results are shown in Figure 7.
Figure 7.
(a) Relationship between the government’s optimal incentive coefficient ωi* and the economic compensation coefficient hi; (b) relationship between the optimal actual capacity supply ratio βi* and the economic compensation coefficient hi.
Figure 7a and Theorem 2 show that ωi and hi are negatively correlated, indicating that ωi shows a decreasing trend as hi increases. Additionally, Theorem 1 indicates that the actual capacity supply ratio βi of transport enterprises is positively correlated with both hi and ωi. Therefore, when hi increases and ωi decreases, the change in βi depends on the correlation strength between these two factors. Figure 7b shows that as hi increases, βi decreases, indicating that the social benefit incentive coefficient ωi has a greater impact on βi than the economic compensation coefficient hi. Moreover, based on the horizontal axis scale in Figure 7a,b, the reasonable range of hi is determined to be [280, 720, 1500] to [320, 760, 1600].
Next, using the economic compensation coefficients (h1, h2, and h3) as coordinate points, the size and color intensity of the spheres represent the utility functions values Π1 and Π2 for the transport enterprises and the government. The maximum utility values for enterprises and the government are marked in red and blue, respectively, as shown in Figure 8.
Figure 8.
(a) Relationship between transport enterprises’ utility Π1 and the economic compensation coefficient hi; (b) relationship between the government’s utility Π2 and the economic compensation coefficient hi.
Figure 8a shows that, when the economic compensation coefficient hi decreases, the expected utility of transport enterprises increases. This can be attributed to the negative correlation between hi and the incentive coefficient ωi. The revenue of transport enterprises depends more on social benefit incentives than on economic compensation alone. Thus, as hi increases, the incentive coefficient ωi decreases, ultimately decreasing the revenue of transport enterprises. In contrast, Figure 8b shows that the expected utility value Π2 for the government follows the opposite trend to that of enterprises. For the government, the challenge lies in how to appropriately balance incentive and compensation mechanisms to achieve coordinated development among economic growth, social benefits, and resource allocation.
6. Discussion
This study employs numerical simulations and sensitivity analysis to clarify how key parameters influence interactions between the government and transport enterprises. It identifies a weak positive correlation between transport effort cost ni and the incentive coefficient ωi, underscoring the limitations of the incentive mechanism on enterprise cost structures. As the incentive mechanism partly relies on social benefits, it does not directly affect enterprises’ operational costs. Under financial strain, transport enterprises often reduce their actual capacity supply ratio βi. This contrasts with the report by Guan et al., who argue that cost-sharing subsidies strengthen the link between external incentives and internal costs, improving the correlation between effort costs and the incentive coefficient. This comparison provides new insights into the effectiveness of various incentive strategies [24].
Furthermore, government supervision costs bi and the incentive coefficient ωi are significantly positively correlated. With stricter regulations, enterprises in high-pressure environments are more likely to meet contractual obligations. However, such environments can cause enterprise dissatisfaction, requiring higher-incentive coefficients to mitigate discontent. Excessive incentives combined with supervision costs may strain government finances. Thus, institutional design should balance supervision costs and incentives to enhance supply and regulatory efficiency. This aligns with the report by Zhang et al., who highlighted the crucial role of regulation and incentives in corporate risk-taking [33].
A reduction in the economic compensation coefficient hi increases transport enterprises’ utility Π1, reflecting greater reliance on government-provided social benefit incentives. This finding contrasts sharply with those of Liu et al., who stress the significance of economic compensation [11]. In summary, the government should flexibly adjust the balance between benefit incentives and economic compensation mechanisms when designing subsidy policies to optimize policy outcomes and enterprise behavior. This approach promotes a positive government–enterprise cooperation dynamic and ensures improved emergency response capabilities.
Human factors are critical in the decision-making process for emergency transportation supply, significantly shaping corporate behavior and decisions. An enterprise’s decision-making culture and its management’s risk preferences directly affect supply strategy choices. When management exhibits strong innovation and a willingness to take risks, they are more likely to maintain or increase the actual capacity supply ratio βi amid market uncertainty and high-pressure costs. This perspective aligns with that of Todaro et al., who emphasized the critical role of corporate culture and management’s risk attitudes in decision-making and their profound impact on strategic choices [34]. Additionally, trust between the government and enterprises is another essential human factor. Enterprises that perceive government regulatory policies as fair and transparent are more likely to cooperate and comply with regulations, enhancing emergency capacity supply. Conversely, skepticism about government regulatory measures may lead enterprises to adopt conservative strategies, lowering their actual capacity supply ratio βi. This view echoes that of Mizrahi et al., who found that enterprise cooperation in policy implementation strongly correlates with their trust in government regulation [35].
External environmental factors play a significant role in shaping the decision-making processes of governments and transport enterprises during responses to unconventional emergencies. Intensified external environmental disturbances, reflected by a rising societal benefit–risk level σi2, lead to greater fluctuations in societal benefits. These changes diminish the effectiveness of societal benefits derived from the emergency transportation services offered by enterprises. As societal benefits form a key part of government incentives for enterprises, their decline directly reduces the actual capacity supply ratio βi provided by enterprises. In this context, a clearly defined compensation mechanism is more effective in motivating transportation enterprises than frequently altering incentive mechanisms. This perspective aligns with that of Liu et al., who found that, under heightened external environmental uncertainty, fixed compensation incentives outperform reward and reputation incentives in effectively and rapidly enhancing the motivation of social enterprises [11].
Based on the above analysis, the government should implement targeted incentive measures that align with enterprises’ cost structures and transportation supply capacities. A cost-sharing mechanism can effectively boost enterprise motivation and increase actual capacity supply within the incentive framework. Additionally, the government should consider corporate culture and management’s risk preferences, employing more adaptable regulatory and incentive strategies to motivate enterprises to sustain or enhance their actual capacity supply ratio in the face of market uncertainties. Strengthening the trust between the government and enterprises and ensuring fair and transparent policies can significantly increase enterprises’ willingness to cooperate, thereby increasing emergency capacity supply.
7. Conclusions
This paper discusses the joint emergency transportation capacity reserve between the government and transport enterprises. It considers the actual distribution of urban transportation resources and the selection principles of transport enterprises. An incentive model for an emergency capacity pool of social vehicles is developed based on principal–agent theory. By analyzing the revenue structures of government agencies and enterprises, this paper explores the government’s optimal incentive coefficient and the optimal actual transportation capacity supply ratio of enterprises. Finally, numerical simulations and sensitivity analysis are employed to examine how different model elements influence the optimal strategies and utilities of government–enterprise cooperation, offering new insights into emergency management from theoretical and practical perspectives.
- The systematic selection of transport enterprises is based on four dimensions: grading, categorization, distribution, and integrity. This approach provides practical strategies to meet diverse emergency transportation needs. First, a reserve structure is proposed in which state-owned transport enterprises form the backbone, supplemented by high-quality private enterprises, ensuring stable and adequate capacity provision during emergencies. Second, functional classification increases the specificity and flexibility of emergency responses. Geographically, a well-planned distribution of transportation resources ensures that high-frequency event areas are prioritized while enabling rapid capacity provision in other regions. Finally, transport enterprises with strong integrity records help to reduce transaction costs and mitigate risks associated with incomplete or concealed information. This framework offers essential theoretical guidance for the government’s selection of transport enterprises;
- There is a positive correlation between the government’s incentive coefficient and the actual capacity supply ratio of transport enterprises. This suggests that a higher incentive coefficient effectively motivates transport enterprises, increasing their willingness and ability to provide emergency capacity. This finding suggests that, if government compensation policies are effectively aligned with enterprises’ actual capacity supply ratios, it will significantly improve their service capacity during crises, thereby enhancing the efficiency of the entire emergency management system;
- A substitution relationship exists between the government’s social benefit incentives and the economic compensation for requisition. This result indicates that a reasonable regulatory mechanism should be established during policy formulation to balance social benefit incentives with economic compensation, preventing over-reliance on either. Achieving this balance enables the government to enhance enterprises’ sense of responsibility and participation while more effectively achieving its policy goals. This important contribution offers valuable guidance for policymakers in designing and implementing support policies for transport enterprises and advances the development of emergency transportation management research.
While this study proposes selection criteria for transport enterprises, these standards currently function as a theoretical framework. Future research could develop specific evaluation metrics and quantitative standards for each principle to improve their practical applicability. This paper also applies principal–agent theory to examine the strategic interactions between the government and transport enterprises in constructing an emergency capacity pool of social vehicles. Due to the limitations of the researchers, the model considers only a single-period, one-to-one scenario between the government and enterprises, with assumptions that may not fully apply to real-world situations. While the numerical analysis of the model offers theoretical insights, its effectiveness depends on specific scenarios and parameter settings. Future research should explore multi-period and one-to-many principal–agent models between the government and enterprises to examine dynamic interactions across diverse scenarios and timeframes. Incorporating real-world data into refined analyses is crucial to improving research findings’ practical relevance and validity. This study does not address constraints on the economic compensation governments provide to transport enterprises. However, given the practical significance of governmental budget limitations, future research should incorporate such constraints into the model for analysis. Lastly, differences in risk preferences between governments and transport enterprises influence their optimal decisions and utilities. Future studies should explore how these differences impact decision-making, offering more profound insights into the role of risk management in emergency capacity planning.
Author Contributions
Conceptualization, S.W.; methodology, F.T.; investigation, A.S.; writing—original draft preparation, N.J.; writing—review and editing, H.W. All authors have read and agreed to the published version of the manuscript.
Funding
This research was supported by Wuhan Pilot construction of a strong Transportation Country Science and Technology Joint Research Projects, grant NO. 2023-1-2.
Data Availability Statement
The data presented in this study are available upon request from the corresponding author.
Conflicts of Interest
The authors declare no conflicts of interest.
References
- Hou, J.; Gai, W.M.; Cheng, W.Y.; Deng, Y.F. Prediction model of traffic loading rate for large-scale evacuations in unconventional emergencies: A real case survey. Process Saf. Environ. Prot. 2020, 144, 166–176. [Google Scholar] [CrossRef]
- Cao, C.; Liu, Y.; Tang, O.; Gao, X. A fuzzy bi-level optimization model for multi-period post-disaster relief distribution in sustainable humanitarian supply chains. Int. J. Prod. Econ. 2021, 235, 108081. [Google Scholar] [CrossRef]
- Wiens, M.; Schätter, F.; Zobel, C.W.; Schultmann, F. Urban Disaster Resilience and Security: Addressing Risks in Societies, 1st ed.; Springer: Cham, Switzerland, 2018; pp. 145–168. [Google Scholar]
- Li, S.; Cai, H. Government incentive impacts on private investment behaviors under demand uncertainty. Transp. Res. Part E Logist. Transp. Rev. 2017, 101, 115–129. [Google Scholar] [CrossRef]
- Hu, Z.; Tian, J.; Feng, G. A relief supplies purchasing model based on a put option contract. Comput. Ind. Eng. 2019, 127, 253–262. [Google Scholar] [CrossRef]
- Sun, X.; Zhang, J.; Hu, W. Procurement modes for emergency supplies in the presence of disaster and commercial demands. IMA J. Manag. Math. 2022, 33, 161–180. [Google Scholar] [CrossRef]
- Meng, Q.; Kao, Z.; Guo, Y.; Bao, C. An emergency supplies procurement strategy based on a bidirectional option contract. Socio-Econ. Plan. Sci. 2023, 87, 101515. [Google Scholar] [CrossRef]
- Ibri, S.; Nourelfath, M.; Drias, H. A multi-agent approach for integrated emergency vehicle dispatching and covering problem. Eng. Appl. Artif. Intell. 2012, 25, 554–565. [Google Scholar] [CrossRef]
- Zhen, L.; Wu, J.; Chen, F.; Wang, S. Traffic emergency vehicle deployment and dispatch under uncertainty. Transp. Res. Part E Logist. Transp. Rev. 2024, 183, 103449. [Google Scholar] [CrossRef]
- Yao, J.; Shao, C.; Xia, X.; Wang, P.; Wei, Y.; Wang, J. A multi-objective emergency vehicle scheduling optimisation model. Int. J. Sens. Netw. 2020, 34, 236–243. [Google Scholar] [CrossRef]
- Liu, J.; Dong, C.; An, S.; Guo, Y. Research on the natural hazard emergency cooperation behavior between governments and social organizations based on the hybrid mechanism of incentive and linkage in China. Int. J. Environ. Res. Public Health 2021, 18, 13064. [Google Scholar] [CrossRef]
- Wu, X.; Yang, M.; Wu, C.; Liang, L. How to avoid source disruption of emergency supplies in emergency supply chains: A subsidy perspective. Int. J. Disaster Risk Reduct. 2024, 102, 104303. [Google Scholar] [CrossRef]
- Jiaqi, X. A conceptual research of public private partnership (PPP) modeling on the pandemic recovery in China. J. Digit. Realism Mastery 2023, 2, 34–41. [Google Scholar] [CrossRef]
- Tille, F.; Panteli, D.; Fahy, N.; Waitzberg, R.; Davidovitch, N.; Degelsegger-Márquez, A. Governing the public-private-partnerships of the future: Learnings from the experiences in pandemic times. Eurohealth 2021, 27, 49–53. [Google Scholar]
- Wang, Y.; Peng, S.; Xu, M. Emergency logistics network design based on space–time resource configuration. Knowl.-Based Syst. 2021, 223, 107041. [Google Scholar] [CrossRef]
- Jiang, J.; Ma, J.; Chen, X. Multi-regional collaborative mechanisms in emergency resource reserve and pre-dispatch design. Int. J. Prod. Econ. 2024, 270, 109161. [Google Scholar] [CrossRef]
- Liu, J.; Kefan, X. Emergency materials transportation model in disasters based on dynamic programming and ant colony optimization. Kybernetes 2017, 46, 656–671. [Google Scholar] [CrossRef]
- Wang, Y.; Wang, X.; Fan, J.; Wang, Z.; Zhen, L. Emergency logistics network optimization with time window assignment. Expert Syst. Appl. 2023, 214, 119145. [Google Scholar] [CrossRef]
- Hao, Z.; Wang, Y.; Yang, X. Every Second Counts: A Comprehensive Review of Route Optimization and Priority Control for Urban Emergency Vehicles. Sustainability 2024, 16, 2917. [Google Scholar] [CrossRef]
- Che, X.; Niu, Y.; Shui, B.; Fu, J.; Fei, G.; Goswami, P.; Zhang, Y. A novel simulation framework based on information asymmetry to evaluate evacuation plan. Vis. Comput. 2015, 31, 853–861. [Google Scholar] [CrossRef]
- Xiao, H.; Xu, T.; Xu, H.; Lin, Y.; Sun, M.; Tan, M. Production Capacity Reserve Strategy of Emergency Medical Supplies: Incentive Model for Nonprofit Organizations. Sustainability 2022, 14, 11612. [Google Scholar] [CrossRef]
- Ma, R.; Liu, J.; An, S. Early warning response to rainstorm: Designing a model with incentive and supervision mechanisms based on the principal-agent theory. Int. J. Disaster Risk Reduct. 2024, 111, 104683. [Google Scholar] [CrossRef]
- Levy, J.; Prizzia, R. Building Effective Emergency Management Public-Private Partnerships (PPP) for Information Sharing; Springer: Cham, Switzerland, 2018; pp. 375–401. [Google Scholar]
- Guan, P.; Zhang, J.; Payyappalli, V.M.; Zhuang, J. Modeling and validating public–private partnerships in disaster management. Decis. Anal. 2018, 15, 55–71. [Google Scholar] [CrossRef]
- Yang, S.; Qian, W. Effect of government subsidies on supply chain decision-making and coordination in the context of COVID-19. RAIRO-Oper. Res. 2021, 55, 1885–1907. [Google Scholar] [CrossRef]
- Zhang, Z.; Li, X. The optimal manufacturer’s reserve investment and government’s subsidy policy in emergency preparedness. J. Inequalities Appl. 2013, 2013, 1–11. [Google Scholar] [CrossRef]
- Diehlmann, F.; Lüttenberg, M.; Verdonck, L.; Wiens, M.; Zienau, A.; Schultmann, F. Public-private collaborations in emergency logistics: A framework based on logistical and game-theoretical concepts. Saf. Sci. 2021, 141, 105301. [Google Scholar] [CrossRef]
- Hosseinian, S.M.; Carmichael, D.G. Optimal incentive contract with risk-neutral contractor. J. Constr. Eng. Manag. 2013, 139, 899–909. [Google Scholar] [CrossRef]
- Dingyang, H.; Dali, J.; Yisheng, W.; Yuanwen, C. Research on incentive and constraint mechanism of government entrust to enterprise agent reserve emergency material. Open Cybern. Syst. J. 2014, 8, 695–701. [Google Scholar]
- Weiying, Z. Game Theory and Information Economics, 2nd ed.; Shanghai People’s Publishing House: Shanghai, China, 2012; pp. 235–247. [Google Scholar]
- Holmstrom, B.; Milgrom, P. Aggregation and linearity in the provision of intertemporal incentives. Econom. J. Econom. Soc. 1987, 55, 303–328. [Google Scholar] [CrossRef]
- Hall, R.E. Stochastic implications of the life cycle-permanent income hypothesis: Theory and evidence. J. Political Econ. 1978, 86, 971–987. [Google Scholar] [CrossRef]
- Zhang, M.; Kong, Z. A tripartite evolutionary game model of emergency supplies joint reserve among the government, enterprise and society. Comput. Ind. Eng. 2022, 169, 108132. [Google Scholar] [CrossRef]
- Todaro, N.M.; Testa, F.; Daddi, T.; Iraldo, F. The influence of managers’ awareness of climate change, perceived climate risk exposure and risk tolerance on the adoption of corporate responses to climate change. Bus. Strategy Environ. 2021, 30, 1232–1248. [Google Scholar] [CrossRef]
- Mizrahi, S.; Cohen, N.; Vigoda-Gadot, E.; Krup, D.N. Compliance with government policies during emergencies: Trust, participation and protective actions. Governance 2023, 36, 1083–1102. [Google Scholar] [CrossRef]
Disclaimer/Publisher’s Note: The statements, opinions and data contained in all publications are solely those of the individual author(s) and contributor(s) and not of MDPI and/or the editor(s). MDPI and/or the editor(s) disclaim responsibility for any injury to people or property resulting from any ideas, methods, instructions or products referred to in the content. |
© 2024 by the authors. Licensee MDPI, Basel, Switzerland. This article is an open access article distributed under the terms and conditions of the Creative Commons Attribution (CC BY) license (https://creativecommons.org/licenses/by/4.0/).







