Next Article in Journal
An Extension on the Local Convergence for the Multi-Step Seventh Order Method with ψ-Continuity Condition in the Banach Spaces
Next Article in Special Issue
Stability of a Nonlinear Langevin System of ML-Type Fractional Derivative Affected by Time-Varying Delays and Differential Feedback Control
Previous Article in Journal
Nonlinear Relation-Theoretic Suzuki-Generalized Ćirić-Type Contractions and Application to Fractal Spaces
Previous Article in Special Issue
Lyapunov Direct Method for Nonlinear Hadamard-Type Fractional Order Systems
 
 
Font Type:
Arial Georgia Verdana
Font Size:
Aa Aa Aa
Line Spacing:
Column Width:
Background:
Article

Magnetic Field, Variable Thermal Conductivity, Thermal Radiation, and Viscous Dissipation Effect on Heat and Momentum of Fractional Oldroyd-B Bio Nano-Fluid within a Channel

by
Muhammad Madssar Kaleem
1,
Muhammad Usman
2,†,
Muhammad Imran Asjad
1,* and
Sayed M. Eldin
3
1
Department of Mathematics, University of Management and Technology, Lahore 54770, Pakistan
2
Department of Mathematics, National University of Modern Languages (NUML), Islamabad 44000, Pakistan
3
Center of Research, Faculty of Engineering, Future University in Egypt, New Cairo 11835, Egypt
*
Author to whom correspondence should be addressed.
Current address: School of Mathematical Sciences, Jiangsu University, Zhenjiang 212013, China.
Fractal Fract. 2022, 6(12), 712; https://doi.org/10.3390/fractalfract6120712
Submission received: 13 October 2022 / Revised: 19 November 2022 / Accepted: 23 November 2022 / Published: 30 November 2022

Abstract

This study deals with the analysis of the heat and velocity profile of the fractional-order Oldroyd-B bio-nanofluid within a bounded channel. The study has a wide range of scope in modern fields of basic science such as medicine, the food industry, electrical appliances, nuclear as well as industrial cooling systems, reducing pollutants, fluids used in the brake systems of vehicles, etc. Oldroyd-B fluid is taken as a bio-nanofluid composed of base fluid (blood) and copper as nanoparticles. Using the fractional-order Oldroyd-B parameter, the governing equation is generalized from an integer to a non-integer form. A strong approach, i.e., a finite difference scheme, is applied to discretize the model, because the fractional approach can well address the physical phenomena and memory effect of the flow regime. Therefore, a Caputo fractional differentiation operator is used for the purpose. The transformations for the channel flow are utilized to transfigure the fractional-order partial differential equations (PDEs) into non-dimension PDEs. The graphical outcomes for non-integer ordered Oldroyd-B bio-nanofluid dynamics and temperature profiles are navigated using the numerical technique. These results are obtained under some very important physical conditions applied as a magnetic field effect, variable thermal conductivity, permeable medium, and heat source/sink. The results show that the addition of (copper) nanoparticles to (blood) base fluids enhances the thermal conductivity. For a comparative study, the obtained results are compared with the built-in results using the mathematical software MAPLE 2016.

1. Introduction

Most researchers are currently taking a keen interest in non-Newtonian fluids because of their vast and fruitful applications in emerging and modern technologies, especially in medical science. Some examples of non-Newtonian fluids include polymer solutions, honey, toothpaste, paints, blood, jams, and greases. There are many models to predict the features of these fluids. For non-Newtonian fluids, the relation between shear stress and shear rate is nonlinear. One most important class of rate-type fluids is Oldroyd-B fluid, which is the most appropriate fluid model for investigating the memory and elastic effects [1]. It is also a well-known fact that nanofluids are the next exciting frontier of the modern era. Nanofluids are considered superior fluids because of their high thermal conductivity, viscosity, and high heat transfer rate. The most important domain of thermal engineering is heat transfer and a variety of information about how the body transfers heat has been explored successfully by many researchers.
The role of mathematical models is very important in heat transfer problems in medical science such as in cryosurgery, laser surgery, cancer therapy, and in physiotherapy. In cancer therapy, the cancerous tissues are subject to a thermal environment at 42 °C and must maintain surrounding normal tissues at a suitable temperature. A mathematical model of heat transfer for the blood flow is of significant importance [2]. The mathematical model was developed to calculate heat loss for locally applied stimuli and to analyze the relation between skin blood flow and temperature [3]. He et al. [4] investigated the relationship between blood circulation and peripheral temperature.
Nanofluids have numerous applications in medical science in the reduction of bleeding during surgery, the rapid targeted transport of drugs, tracing of diseased areas, and cancer tumor treatment. Saqib et al. [5] explored the application of magnetite dust particles in magnetic blood flow through a cylindrical tube. For cancer therapy, one of the best-known methods is to develop a magnetic field near the cancer tumor insight to capture copper or gold nanoparticles at the tumor site. Copper or gold particles act as heat sources under the effect of a magnetic field or laser beam [6]. In hypothermia cases, the temperature of tumor cells has a key role. The cancerous tissues can be distracted when heated from 42 °C to 45 °C. Lin et al. [7] explain in detail how the time for cancer therapy can be reduced to half by improving the temperature to 1 °C. Misra et al. [8] have produced literature about damage to body tissues and damage in blood plasma when the temperature goes above 42 °C. When nanoparticles are injected into blood veins the are termed bio-magnetic nanofluid. By using nanofluid, the damaging effect on blood plasma can be minimized by improving the heat transfer rate.
To overcome the problem of entropy and heat management systems, the idea of the nanofluid was first given in 1995 by Choi et al. [9]. Nanofluids consist of nano-sized particles of metals, metal oxides, carbides, silica, and carbon nano tubes ranging from 1 nm to 100 nm in base fluids such as water, alcohol, oil, or blood. Tiwari et al. [10] investigated the shape and size effect of nanoparticles on the flow of nanofluids in a square cavity. Sherm et al. [11] investigated the effects of thermal dispersion in a porous cavity filled with nanofluid by using the Tiwari and Das model. Wong et al. [12] gave a detailed description of the application of nanofluids in the medical field, especially in drug delivery. James et al. [13] elaborated the effects of thermo-physical properties on the thermal transport of bio-nanofluid. Elkhair et al. [14] investigated the effect of magnetic fields and nonlinear thermal radiations on the thermal transport of hybrid bio-nanofluid in detail. Eid et al. [15] discussed the NP-shape effect of gold nano-particles on the thermal transport of bio-nanofluid in the suction/blowing process.
The focus of modern researchers is on fluids, which are modeled fractionally. Currently, a new version of the order of the PDEs has been introduced for a deep and brief study of different physical problems such as chemical reactions, the fluid flow regime, conduction as well as convection, etc. The fractional (non-integer) order of PDEs gives the best illustration of physical phenomena, can control it, and provides the memory effect. The role of mathematical models in describing the different physical phenomena of daily life is more important. These models are composed of differential equations and some initial and boundary conditions. These differential equations are of different orders and may be integer orders or non-integer fractional derivatives. But non-integer fractional derivatives have a vibrant scope in the modern industrial era. Fractional models are close to the geometry of physical systems. In addition, the fractional parameter is part of the solution which elaborated the memory effect more briefly, helping to control the flow regime, consequently, fractional models are considered superior to ordinary models. They were used to establish the models of the physical systems and many engineering processes by fractional differential equations. Such models were found more accurate describe with the help of fractional differential equations. Many physical phenomena of thermal transport, engineering, circuits, biotechnology, and the signal process can be modified with the help of fractional derivatives. Viscoelastic damping in polymers can be well modeled by using a fractional derivative. The shape memory effect during deformation can be accurately described by using fractional calculus. Tanveer et al. [16] use a fractional approach for the thermal analysis of non-Newtonian bio-nanofluid with an application of carbon nanotubes between two parallel plates. Imran et al. [17] used the Prabhakar fractional approach to solve the Casson nanofluid model. Basit et al. [18] solved the Maxwell nanofluid by using a fractional approach with the application of different nanoparticles. The application of the fractional approach for different nanofluid models can be seen in [19,20,21]. Imran et al. [22] explored the fractional derivative operator and its applications in bio-heat transfer problems. Anwar et al. [23] investigated the effect of nonlinear thermal radiation, Newtonian heating, and slip conditions on the thermal transport of fractional Oldroyd-B fluids. Wang et al. [24] investigated the comparative study of heat and mass transfer for Oldroyd-B bio-nanofluids in a porous medium; and that viscous stresses destroying the fluctuating velocity gradient is called viscous dissipation. The viscous dissipation effect is an irreversible process, which heated the fluid because the viscosity of fluid takes energy from the motion of fluid and transforms it into internal energy of the fluid.
After a keen study of the literature we detected research gaps, such as the lack of a tensor-based mathematical modeling of fractional-order Oldroyd-B bio-nanofluids within a bounded channel. There exists a deficiency in the elaboration of physical justification behind results obtained by the addition of nanoparticles of copper in base fluid blood. The viscous dissipation effect of the temperature profile has been less discussed. Additionally, numerical results were not obtained by using the strong technique of the finite difference method. The influence of magnetic forces on flow patterns and numerical predictions of the local Nusselt number and skin friction coefficient was not discussed in detail. Nonlinear thermal radiations also affect the temperature profile. The effect of nonlinear thermal radiations and variable thermal conductivity is not taken into account or not discussed in detail in the discussed literature.
To deliberate these research gaps, a mathematical model based on fractional partial differential equations was obtained using the Caputo derivative between two prepared parallel plates. The results were obtained by applying a strong magnetic field and adding a heat source. The variable thermal conduction was considered for the problem in a permeable medium. Blood was taken as a base fluid and copper particles as a nanoparticle. The governing equations and boundary conditions were transformed into dimensionless forms by using suitable transformations. Subsequently, using the strong technique of finite different method a discretization was made. The mathematical software MAPLE 2016 was used for developing and executing the code to obtain the graphical results.

2. Mathematical Formulation

Consider the unsteady natural convection flow of an incompressible fractional Oldroyd-B bio nano-fluid within a channel. A strong magnetic field B 0   is applied across the channel and ignores the induced magnetic field. One of the plates is fixed along the   x direction . Both plates are separated by the distance   d   between them. A magnetic field is applied along the y direction   that is normal to plates. At the time t = 0   the plates as well as bio-nanofluids are assumed to have the temperature   θ d . Over time, the temperature rises to θ 0 . The geometry of the deliberated problem is represented in Figure 1.
The proposed model contains the following assumptions.
  • Flow is uni-directional, incompressible, and unsteady
  • Neglecting the pressure gradient
  • A permeable medium is considered
  • Thermal conductivity is considered a variable
  • Applying magnetic field (neglecting induced magnetic field)
  • Viscous dissipation is significant.
The equation of continuity for the foregoing assumptions may be seen in [25].
. V = 0 .
The stress tensor for the Oldroyd-B fluid is given in [26].
T = p I + S ,
Here T is the Cauchy stress tensor, p   is the dynamic pressure, I is the identity tensor, and S is the extra stress tensor. The relation for the extra stress tensor is given in [26].
S + λ 1 δ S δ t = μ ( 1 + λ r δ δ t ) A 1 ,
where λ 1 ,   λ r ,   μ , A 1 are the time relaxation parameter, time retardation parameter, coefficient of dynamic viscosity, and first Reivlin–Ericksen tensor respectively.
The relation for the first Reivlin–Ericksen tensor is given in [26].
A 1 = ( V ) + ( V ) t .
The Navier Stokes equation for fractional Oldroyd-B bio-nanofluids flowing through porous media is given in [27].
ρ n f [ V t + ( V . ) V ] = d i v T + g ( ρ β ) n f ( θ θ 0 ) + J × B + R x ,
where   ρ n f ,   V ,   T ,   J ,   B ,   G ,   β n f ,   θ ,   θ 0 ,   R x are the viscosity of the bio-nanofluid, the velocity of fluid, Cauchy stress tensor, current density, applied magnetic field, gravitational acceleration, thermal expansion coefficient, the temperature of bio-nanofluid, ambient temperature and Darcy’s resistance, respectively. In Equation (5)
d i v T = S x y y .
Because the fluid is magneto-hydro-dynamics that is subjected to a strong magnetic field taking into account that B = B 0 + b 0   (induced magnetic field which is ignored) given in [27].
J × B = (   σ n f B 0 2 u , 0 , 0   ) .
If we use Equations (6) and (7), Equation (5) can be written as,
ρ n f u t = S x y y + g ( ρ β θ ) n f ( θ θ 0 ) σ n f B 0 2 u + R x ,
Apply ( 1 + λ 1 α D t α ) on both the sides of Equation (8).
ρ n f ( 1 + λ 1 α D t α ) u t = ( 1 + λ 1 α D t α ) S x y y + g ( 1 + λ 1 α D t α ) ( ρ β θ ) n f ( θ θ 0 )
σ n f B 0 2 ( 1 + λ 1 α D t α ) u + ( 1 + λ 1 α D t α ) R x ,
The constitutive relation for the Oldroyd-B fluid is given in [28],
( 1 + λ 1 α D t α ) S x y = µ ( 1 + λ r α D t α ) u y .
Relation for Darcy resistance for Oldroyd-B fluid is given in [29],
( 1 + λ 1 α D t α ) R x = µ ε k ( 1 + λ r α D t α ) u .
Using Equations (10) and (11) in Equation (9),
ρ n f ( 1 + λ 1 α D t α ) u t = μ n f ( 1 + λ r α D t α ) 2 u y 2 + ( 1 + λ 1 α D t α ) ( ρ β θ ) n f g ( θ θ 0 )
σ n f B 0 2 ( 1 + λ 1 α D t α ) u μ n f K ( 1 + λ r α D t α ) u .
The energy equation for this deliberated problem is given in [30],
( ρ C p ) n f θ t = y [ K n f * ( θ ) θ y ] q r y + µ n f ( u y ) 2 + Q ( θ θ 0 )
where   ρ ,   C p ,   Q ,   and   K n f * ( θ ) represent the density, specific heat capacity, heat source/sink, and variable thermal conductivity.
The relation of the variable thermal conductivity is followed from [31],
K n f * ( θ ) = K n f [ 1 + ϵ ( θ θ 0 θ d θ 0 ) ] ,
And by using the Rosland approximation for the thick bio-nanofluid the heat flux q r may be calculated in [32] as,
q r = 16 σ * θ 0 3 3 k * θ y .
Using Equations (14) and (15) in Equation (13),
( ρ C p ) n f θ t = y [ K n f ( 1 + ϵ ( θ θ 0 θ d θ 0 ) ) T y ] + 16 θ 0 3 3 k * θ 2 y 2
+ μ n f ( u y ) 2 + Q ( θ θ 0 ) ,
We applied both the sides to Equation (16) ( 1 + λ 2 β D t β ) ,
( ρ C p ) n f ( 1 + λ 2 β D t β ) θ t = y ( 1 + λ 2 β D t β ) [ K n f ( 1 + ϵ ( θ θ 0 θ d θ 0 ) ) θ y ]
+ 16 θ 0 3 3 k * ( 1 + λ 2 β D t β ) θ 2 y 2 + μ n f ( 1 + λ 2 β D t β ) ( u y ) 2 + ( 1 + λ 2 β D t β ) Q ( θ θ 0 ) .
The appropriate initial and boundary conditions are
u ( y , t ) = 0 ,       u ( 0 , t ) = 0 ,   u ( d , t ) = 0 ,
θ ( y , 0 ) = θ 0 ,   θ ( 0 , t ) = θ 0 , θ ( d , t ) = θ d .
The following transformations and dimensionless parameters are used for channel flow
u * = d ν f u ,     x * = x d ,       t * = ν f d 2 t ,   θ * = θ θ 0 θ d θ 0 ,       λ 1 * = ν f d 2 λ 1 ,   λ 2 * = ν f d 2 λ 2 ,   y * = y d .
Thermo-physical properties of the nanofluid are given in [33],
ρ n f ρ f = a 1 = [ ( 1 ϕ ) + ϕ ρ s ρ f ] ,           ( ρ β θ ) n f ( ρ β θ ) f = a 2 = [ ( 1 ϕ ) + ϕ ( ( ρ β θ ) s ( ρ β θ ) f ) ] , μ n f μ f = a 3 = 1 ( 1 ϕ ) 2.5 ,         ( ρ C p ) n f ( ρ C p ) f = a 4 = [ ( 1 ϕ ) + ϕ ( ( ρ C p ) s ( ρ C p ) f ) ] , k n f k f = a 5 = ( k s + 2 k f ) 2 ϕ ( k f k s ) ( k s + 2 k f ) + 2 ϕ ( k f k s ) ,         ( σ ) n f ( σ ) f = a 6 = 1 + 3 ( σ s σ f 1 ) ϕ ( σ s σ f 2 ) ( σ s σ f 1 ) ϕ .
Using transformations and relations given in Equation (20) in Equation (12), (17)–(19), the momentum and energy equations are given respectively as,
( 1 + λ 1 α D t α ) ( u t ) = b 1 ( 1 + λ r α D t α ) 2 u y 2 + ( 1 + λ 1 α D t α ) b 2 G r θ
b 3 M ( 1 + λ 1 α D t α ) u b 1 δ ( 1 + λ r α D t α ) u .
( 1 + λ 2 β D t β ) ( θ t ) = b 4 ( 1 + N r ) P r ( 1 + λ 2 β D t β ) ( 1 + θ ) 2 θ y 2 + ( 1 + λ 2 β D t β ) b 5 E c ( u y ) 2
+ Q s ( 1 + λ 2 β D t β ) ( θ ) .
Initial and boundary conditions in the dimensionless form are given as,
u ( y , t ) = u ( 0 , t ) = u ( d , t ) = 0 ,
θ ( y , 0 ) = 0 = θ ( 0 , t ) ,   θ ( y , t ) = 1 .
Following are dimensionless parameters that appeared in Equations (21) and (22),
M = H a 2 = d 2 B 0 2 σ f μ f , 1 K 1 = d 2 K ,   G r = d 3 ( β θ ) f g ( θ d θ 0 ) ν f 2 , E c = ( ν f ) 2 ( ρ ) f d 2 ( T d T 0 ) ,   P r = μ f ( C p ) f K f ,
Q s = Q d 2 a 4 μ f ( C p ) f , N r = 16 θ 0 3 3 a 5 k * K f . where,   b 1 = a 3 a 1 , b 2 = a 2 a 1 , b 3 = a 6 a 1 , b 4 = a 5 a 4 , b 5 = a 3 a 4
where, M ,   G r ,   E c ,   P r , N r ,   Q s   and   K 1 represent the magnetic field parameter, thermal Grashof number, Eckert number, Prandtl number, the heat generation/absorption parameter, thermal radiation parameter, and the porosity parameter.
Equations (23) and (24) are modeled by using the Caputo derivative operator in appropriate initial conditions and boundary conditions. Coupled nonlinear equations are solved by a powerful numerical scheme which is known as finite difference method. The code is developed and executed successfully and graphs are plotted by using MAPLE 2016. Thermo physical values of nanoparticles (copper) and the base fluid (blood) are given in Table 1.

3. Skin Friction and Nusselt Number

In an ordinary integer order system, the local skin friction and Nusselt number are defined in [34],
C f = μ n f ( u y ) y = 0 ,
N u = K n f ( 1 + 16 σ * θ 3 3 k * K f ) ( θ y ) y = 0 ,
By using Equation (10), the skin friction coefficient and local Nusselt number for fractional Oldroyd-B bio-nano fluid can be written as(detail can be seen in [35]),
C f + λ 1 α α S f t α = μ n f ( u y ) y = 0 ,
N u + λ 1 β β N u t β = K n f ( 1 + 16 σ * θ 3 3 k * K f ) ( θ y ) y = 0 .
Non-dimensional forms of Equations (26) and (27) are
C f + λ 1 α α S f t α = a 4 μ f ( u y ) y = 0
N u + λ 1 β β N u t β = a 5 ( 1 + N r ) ( θ y ) y = 0 .

4. Numerical Procedure

Finite-difference schemed to handle the governing set of fractional-order fluid problems and heat transfers are given in this section. Discretization of the derivative of fractional order of u ,   u t and u y y are given in [36] as
D 0 C t j + 1 α u ( y i , t j + 1 ) = Δ t α Γ ( 2 α ) [ u i j + 1 u i j ] + Δ t α Γ ( 2 α ) l = 1 j ( u i j l + 1 u i j l ) d l α ,
D 0 C t j + 1 1 + α u ( y i , t j + 1 ) = Δ t ( 1 + α ) Γ ( 2 α ) [ u i j + 1 2 u i j + u i j 1 ] + Δ t ( 1 + α ) Γ ( 2 α ) × l = 1 j ( u i j l + 1 2 u i j l + u i j l 1 ) d l α ,
t u ( y i , t j + 1 ) | t = t j + 1 = 1 Δ t [ u i j + 1 u i j ] ,
2 y 2 u ( y i + 1 , t j ) | y = y i + 1 = 1 Δ y 2 [ u i + 1 j + 1 2 u i j + 1 + u i 1 j + 1 ] .
In the above expressions,   d l α = l 1 α + ( 1 + l ) 1 α for   l = 1 , 2 , 3 , , j .   The rectilinear grid is subsequently considered to examine the solution of the governing set of fractional-order fluid problems and heat transfer having grid spacing Δ y > 0 ,   Δ t > 0 in the direction of space and time separately, where Δ t = T N ,   Δ x = L M for Δ y ,   Δ t from + . The inner points ( y i , t j ) in the discussed domain Ω = [ 0 , T ] × [ 0 , L ] are given as i Δ y = y i and j Δ t = t j . The discretization of the governing set of fractional-order fluid problems and heat transfer at ( y i , t j ) is given as
1 Δ t ( u i j + 1 u i j ) + λ 1 α Δ t ( 1 + α ) Γ ( 2 α ) ( u i j + 1 2 u i j + u i j 1 ) + λ 1 α Δ t ( 1 + α ) Γ ( 2 α )
× l = 1 j ( u i j l + 1 2 u i j l + u i j l 1 ) b l α = b 1 Δ y 2 ( u i + 1 j + 1 2 u i j + 1 + u i 1 j + 1 )
+ b 1 λ 2 α Δ t α Δ y 2 Γ ( 2 α ) l = 0 j ( u i + 1 j l + 1 2 u i + 1 j l + u i + 1 j l 1 ) b l α 2 b 1 λ 2 α Δ t α Δ y 2 Γ ( 2 α )
× l = 0 j ( u i j l + 1 2 u i j l + u i j l 1 ) b l α + λ 2 α Δ t α Δ y 2 Γ ( 2 α ) l = 0 j ( u i 1 j l + 1 2 u i 1 j l + u i 1 j l 1 ) b l α
+ b 2 G r θ i j + 1 + c 2 G r Δ t α Γ ( 2 α ) ( θ i j + 1 θ i j ) + b 2 G r Δ t α Γ ( 2 α ) l = 1 j ( θ i j l + 1 θ i j l ) b l α b 3 H a 2 u i j + 1
b 3 H a 2 Δ t α Γ ( 2 α ) ( u i j + 1 u i j ) + b 3 H a 2 Δ t α Γ ( 2 α ) l = 1 j ( u i j l + 1 u i j l ) b l α ,
1 Δ t ( θ i j + 1 θ i j ) + λ 2 β Δ t ( 1 + β ) Γ ( 2 β ) ( θ i j + 1 2 θ i j + θ i j 1 )
+ λ 2 β Δ t ( 1 + β ) Γ ( 2 β ) l = 1 j ( θ i j l + 1 2 θ i j l + θ i j l 1 ) b l β = b 4 ( 1 + N r ) P r Δ y 2 ( θ i + 1 j + 1 2 θ i j + 1 + θ i 1 j + 1 )
+ b 4 ( 1 + N r ) λ 2 β Δ t β P r Δ y 2 Γ ( 2 β ) l = 0 j ( θ i + 1 j l + 1 2 θ i + 1 j l + θ i + 1 j l 1 ) b l β +
+ b 4 ( 1 + N r ) P r Δ y 2 ( θ i + 1 j + 1 2 θ i j + 1 + θ i 1 j + 1 )
+ b 4 ( 1 + N r ) λ 2 β Δ t β P r Δ y 2 Γ ( 2 β ) l = 0 j ( θ i + 1 j l + 1 2 θ i + 1 j l + θ i + 1 j l 1 ) b l β b 4 ( 1 + N r ) 2 λ 2 β Δ t β P r Δ y 2 Γ ( 2 β )
× l = 0 j ( θ i j l + 1 2 θ i j l + θ i j l 1 ) b l β + b 4 ( 1 + N r ) λ 2 β Δ t β P r Δ y 2 Γ ( 2 β ) l = 0 j ( θ i 1 j l + 1 2 θ i 1 j l + θ i 1 j l 1 ) b l β
+ b 5 Δ y 2 E c ( u i + 1 j u i j ) ( u i + 1 j + 1 u i j + 1 ) + b 5 λ 2 β Δ t β Δ y 2 Γ ( 2 β ) E c ( u i + 1 j u i j )
× ( u i + 1 j + 1 u i + 1 j l = 1 j ( u i + 1 j l + 1 u i + 1 j l ) b l β u i j + 1 + u i j + l = 1 j ( u i j l + 1 u i j l ) b l β ) +
Q s Δ t β Γ ( 2 β ) ( θ i j + 1 θ i j ) + Q s Δ t β Γ ( 2 β ) l = 1 j ( θ i j l + 1 θ i j l ) b l β + Q s θ i j + 1 .
for j = 1 , 2 , 3 , , N 1 ,   i = 1 , 2 , 3 , , N 1 , with the following initial and boundary conditions,
u i 0 = 0 ,   u i 1 = u i 1 ,   θ i 0 = 0 ,   θ i 1 = θ i 1 ,   for   i = 0 , 1 , 2 , 3 , , M , u 0 j = 0 ,   u M j = 0 ,   θ 0 j = 0 ,   θ M j = 1 ,   for   j = 1 , 2 , 3 , , N 1 .
Test Problem. In order to check the efficiency of the proposed algorithm, suppose the following problem as
D 0 C t α U ( x , t ) = 2 x 2 U ( x , t ) x U ( x , t ) + g ( x , t )
Here, the initial and boundary conditions are specified below and an inhomogeneous term can be designated against the choice of fractional-order derivatives.
U ( x , 0 ) = U ( 0 , t ) = U ( L , t ) = 0
The exact solution of this considered problem is   U ( x , t ) = x ( x t ) t 2 . Several simulations have been accomplished to check the accuracy of the suggested method. Figure 2a,b is plotted between various values of N and the maximum absolute error (MAE), and computational order of convergence (COC) given below:
MAE = max 1 i M 1 j N | U ( x i , t j ) U i j | ,   COC = log ( MAE ( k ) MAE ( k + 1 ) ) / log ( N ( k + 1 ) N ( k ) ) .
It is well known that the method is convergent beside each fractional-order derivative and its convergence order increases as   α 1 . Figure 2c,d comprises the L-norm among the consecutive solutions i.e., | U j + 1 U j | and | U i + 1 U i | when 0 ≤ i, jN, M = 500. It has been established that the suggested method is very effective, reliable, and accurate for the considered problem. It also validates that the solution is unchanging against the fractional order mesh parameters.

5. Numerical Analysis and Discussion

In this manuscript, the velocity profile u ( y ,   t ) and temperature profile θ ( y , t ) of the fractional Oldroyd-B bio-nanofluid are plotted against the different physical parameters Ha the square of the Hartmann number (magnetic field parameter), Nr thermal radiation parameter, P r Prandtl number, G r   thermal Grashof number, ϕ   volumetric fraction of nanoparticles (of Copper), α ,   β fractional-order (non-integer order) parameters and Q s     heat absorption/source parameter in detail. The skin friction Cf and local Nusselt number   N u   are calculated against different physical parameters. The partial differential equations of fractional order (using the Caputo fractional order derivative) are discretized by the finite difference method. Finally, the simulation is formed by using mathematical software MAPLE 2016.
The fractional parameter plays an important role to control the thermal and momentum boundary layers. The fluid initially is at rest but over time there is an increase in the value of the velocity profile against increasing values of time; the relaxation parameter   λ 1 α can be seen in Figure 3.
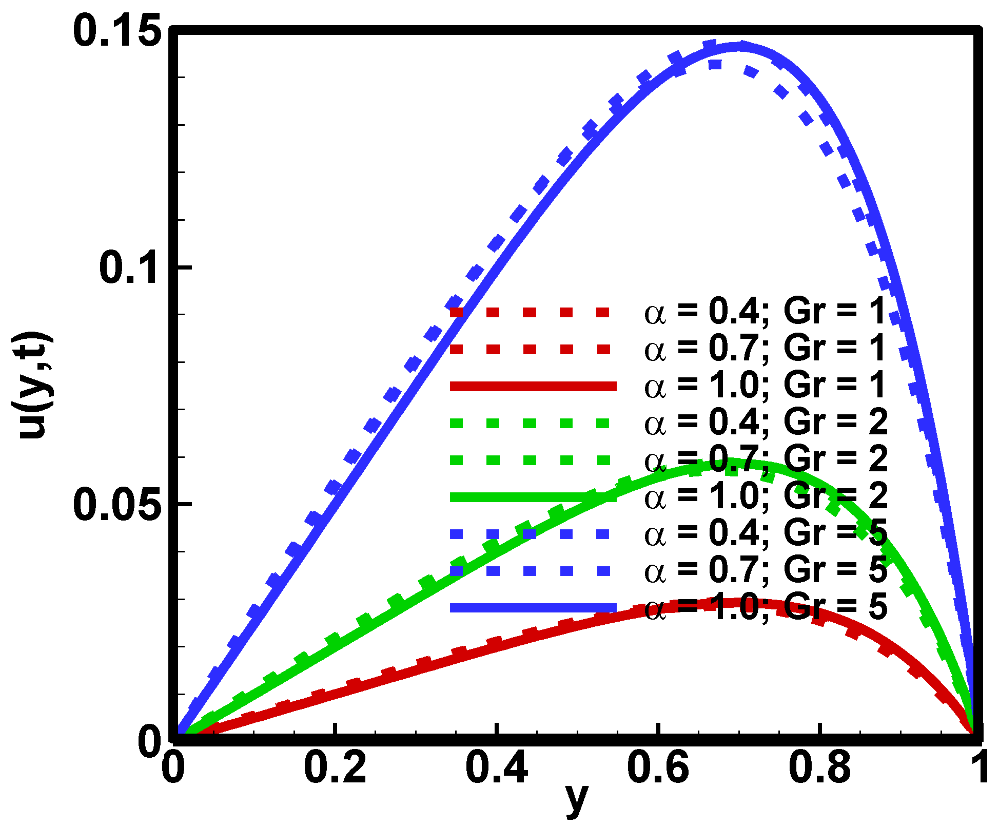
Figure 4 elaborated on the effect of the Grashof number G r   on the fluid velocity profile. The Grashof number is the ratio of thermal buoyancy forces to the viscous forces. The fluid velocity increases by increasing the value of ( G r ) as thermal buoyancy forces dominated the viscous force. Advancement in the fractional parameter α boosted the velocity profile because the momentum boundary layer was reduced by increasing the value of the fractional parameter α. Results for G r against the fractional parameter α are portrayed in Figure 4. It can be noticed that the velocity profile increased for increasing values of α ; in addition, the same behavior of the velocity profile is seen for increasing values of G r .
With an enhancement in the strength of the magnetic field parameter (Ha), there is a decrease in fluid velocity. It can be justified as, by enhancing the magnetic field strength, the Lorentz force increased, which shows high resistance to fluid flow. Enhancing the magnetic field parameter amounts to a stronger Lorentz force and hence the rate of heat transfer in the boundary layer is higher. By enhancing the value of the fractional parameter α the momentum boundary layer decreased and became thinnest at α = 1   , consequently, the velocity increased for increasing values of the fractional parameter α. In Figure 5, the velocity profile is portrayed for Ha = 0 and for α = 0.4 ,   0.7 ,   1 , and also for Ha = 2 against the fractional parameter α = 0.4 ,   0.7 ,   1   and Ha = 5 against α = 0.4 ,   0.7 ,   1   . In Figure 5, it can be seen that the fractional parameter enhanced results in enhancing the fluid velocity profile. But for increasing values of the Hartmann number the fluid velocity decreased.
The effect of the volume fraction parameter ( ϕ ) of nanoparticles on the fluid velocity profile is depicted in Figure 6. Advancement in control volume fraction parameter ( ϕ ) reduced the fluid velocity because by increasing ( ϕ )   the fluid becomes more viscous. Because the addition of nanoparticles increases the viscosity, consequently, the velocity profile decreases. But the opposite behavior of fluid velocity is observed for the fractional parameter α .   Enlarging the values of α boosted the velocity profile as can be seen in Figure 6. The effect of the volume fraction parameter of nanoparticles on the fluid velocity is reported in [37], and has a good agreement with present results.
The plots of Figure 7 express the results for the velocity profile   u ( u , t ) of the fractional Oldroyd-B bio-nanofluid against the porosity parameter K 1 of the viscoelastic bio-nanofluid. The overall flow regime within a porous medium is well described by Darcy’s law which states that the flow rate of fluids is proportional to the potential energy gradient, because it is the property of porous media that it contains the pores or so-called voids that gives resistance to flowing particles. These expected results are shown in the following Figure 7 an increasing values of porosity parameter   K 1   decreases the velocity of the fractional Oldroyd-B bio-nanofluid against increasing values of fractional parameter α.
For the Oldroyd-B bio-nanofluid the velocity profile decreased with increasing values of time; the retardation parameter λ r = λ 3   can be seen in Figure 8.
By increasing the volume fraction parameter of nanoparticle ( ϕ ) the heat transfer becomes better. Because nanoparticles improved, the heat transfer rate of the base fluid resulted in the temperature of the system decreasing because more heat transferred from the system and cooled the system more quickly, as can be seen in Figure 9. But the opposite behavior of fractional parameter α is seen in Figure 9. The thermal boundary layer becomes thin for increasing values of α and becomes thinnest for α = 1 . As values of fractional parameter α increased the fluid temperature also increased, as can be observed in Figure 9. In the physical phenomena involving heat transfer, energy loss is the major issue. The idea of the addition of nanoparticles to the base fluid is to control the enthalpy of the system. These expected results are obtained, as depicted in the following Figure 9. The reason behind this is that Copper nanoparticles are good conductors of heat. The addition of Copper nanoparticles in flowing fluids (blood) reduced the energy loss that is the decreased temperature profile.
The relative effect of the kinetic energy of flow to the enthalpy difference across the thermal boundary layer is measured by an Eckert number (Ec). An increase in the value of (Ec) means increasing the viscous dissipation and consequently increasing the fluid temperature can be seen in Figure 10. Physically it can be justified that viscous dissipation is an irreversible conversion of kinetic energy into internal heating through an effort that opposes the viscous strain. It is a process where energy is utilized or lost without performing meaningful work. Similar behavior for fractional parameter α   can be observed in Figure 10. Similar results are reported in [38].
Figure 11 depicted the effects of variable thermal conductivity on the fluid temperature profile. The fluid temperature increased for increasing values of variable thermal conductivity parameter . Physically it can be justified because when values of are increased it means the thermal conductivity of fluid increases and consequently more heat is conducted from the surface; this raises the internal temperature of the fluid. Similar behavior of fractional parameter α can be observed in Figure 11. Similar results are demonstrated in [31].
In the following Figure 12 graphical results are drawn for temperature profile θ ( y , t ) against physical parameter   Q s . It is obvious that the high value of Q s , the heat source/sink term, increases the temperature, because the heat source rises to the overall heat transfer rate of the base fluid (blood).
Figure 13 depicts the effects of thermal radiation parameter N r on the heat transfer capability of the fractional Oldroyd-B bio-nanofluid. Because subjecting the bio-nanofluid to thermal radiation give hype to Brownian motion (a random motion of particles within the fluid field) this increases kinetic energy of nanoparticles during motion; this enhances the thermal conductivity of the base fluid, and consequently the temperature profile increases for the increasing value of   N r .
Figure 14 and Figure 15 are plotted to compare the results between the proposed scheme and the Maple built-in command of the dimensionless velocity and temperature for various values of Nr and Qs number for   α = β = 1 . Results obtained by the proposed scheme and built-in commands are in good agreement as followed from the figure. It can be deduced that the numerical solutions obtained via the proposed method are in excellent agreement with the Maple built-in command results. This shows the correctness and effectiveness of the planned method.
Table 2 and Table 3 shows the numerical results for variations in the skin friction coefficient and local Nusselt number.

6. Conclusions

In this article, a numerical procedure of the finite difference method was adopted. An investigation was performed for the fractional Oldroyd-B bio-nanofluid within a permeable medium. The bio-nanofluid was subjected to a strong magnetic field (neglecting the induced magnetic field). The Caputo fractional derivative was used for fractional modeling of partial differential equations for u ( y , t ) ,   θ ( y , t ) ,   co efficient   of   skin   friction   C f   and   local   Nusselt   number   N u . The finite difference approach was applied to discretize the dimensional governing equations. Taking blood as the base fluid and gold as nanoparticles, a graphical illustration was made using the mathematical software MAPLE 2016. The key findings of this study are as follows:
a
The addition of a nanoparticle (copper) to the base fluid (blood) enhances the thermal conductivity of fractional Maxwell bio-nanofluid; this causes the temperature profile θ ( y , t ) to decrease by the increase in volumetric fractional nanoparticles (Copper).
b
The temperature profile θ ( y , t ) gains high value by increasing the values of the variable thermal conductivity constant   ϵ .
c
The thermal radiation parameter N r increases the heat transfer rate of the aforementioned physical problem.
d
The permeable medium decreases the velocity profile of the viscoelastic fractional bio-nanofluid.
e
There is an increase in the temperature profile observed by increasing the values of the viscous dissipation parameter Ec.
The solution obtained via the finite difference approach was excellent and in agreement with the built-in result of the test problem and the existing literature. Therefore, the finite difference scheme is an effective and consistent scheme to study such types of multifaceted geometry. This study of fluid dynamics gives a strong base to the biological study of blood flow within the blood arteries (cylindrical geometry).

Author Contributions

Formal analysis, M.I.A. and S.M.E.; problem formulation, M.M.K. and M.U.; investigation, M.U. and M.M.K., methodology, M.M.K. and M.U.; supervision, M.I.A. and S.M.E.; resources, M.I.A. and S.M.E.; validation, M.U. and S.M.E.; graphical discussion and software, M.M.K. and M.U.; writing—review and editing, M.I.A. and S.M.E.; funding, S.M.E. All authors have read and agreed to the published version of the manuscript.

Funding

This research received no external funding.

Data Availability Statement

Data sharing not applicable to this article as no data sets were generated or analyzed during the current study.

Acknowledgments

All the authors are obliged and thankful to the University of Management and Technology Lahore, Pakistan, for facilitating and supporting the research work.

Conflicts of Interest

The authors declare no conflict of interest.

Nomenclature

Physical QuantitiesSymbol (Unit)
Velocityu (m/s)
Temperature θ   (k)
Density of nanofluid ρ n f   (kg/m3)
Gravitational accelerationg (m/s2)
Heat capacity of nanofluid(Cp)nf (JK−1)
Time relaxation parameter λ 1 (s)
Time retardation parameter λ 2 (s)
Extra stress tensor componentSxy (Nm−2)
Prandtl numberPr
Eckert numberEc
Current densityJ
Dynamic viscosity of nanofluidµnf (kg/ms)
Thermal conductivity of nanofluidknf (W/mK)
Volumetric expansionβθ (K−1)
The electric conductivity of nanofluidσnf (s/m)
Kinematic viscosity of nanofluidνnf (m2/s)
Gharshof numberGr
Applied magnetic fieldM
Cauchy stress tensorT
Porosity parameter δ
Caputo fractional derivative D t
Darcy resistanceR

References

  1. Oldroyd, J.G. On the formulation of rheological equations of state. Proc. R. Soc. Lond. Ser. A Math. Phys. Sci. 1950, 200, 523–541. [Google Scholar] [CrossRef]
  2. Basha, H.T.; Sivaraj, R. Numerical simulation of blood nanofluid flow over three different geometries by means of gyrotactic microorganisms: Applications to the flow in a circulatory system. Proc. Inst. Mech. Eng. Part C J. Mech. Eng. Sci. 2020, 235, 441–460. [Google Scholar] [CrossRef]
  3. Nilsson, A.L. Blood Flow, Temperature, and Heat Loss of Skin Exposed to Local Radiative and Convective Cooling. J. Investig. Dermatol. 1987, 88, 586–593. [Google Scholar] [CrossRef] [PubMed]
  4. He, Y.; Liu, H.; Himeno, R.; Shirazaki, M. Numerical and experimental study on the relationship between blood circulation and peripheral temperature. J. Mech. Med. Biol. 2005, 5, 39–53. [Google Scholar] [CrossRef]
  5. Saqib, M.; Khan, I.; Shafie, S. Generalized magnetic blood flow in a cylindrical tube with magnetite dusty particles. J. Magn. Magn. Mater. 2019, 484, 490–496. [Google Scholar] [CrossRef]
  6. Ebaid, A.; Aljohani, A.F.; Aly, E.H. Homotopy perturbation method for peristaltic motion of gold-blood nanofluid with heat source. Int. J. Numer. Methods Heat Fluid Flow 2019, 30, 3121–3138. [Google Scholar] [CrossRef]
  7. Lin, W.-L.; Yen, J.-Y.; Chen, Y.-Y.; Jin, K.-W.; Shieh, M.-J. Relationship between acoustic aperture size and tumor conditions for external ultrasound hyperthermia. Med. Phys. 1999, 26, 818–824. [Google Scholar] [CrossRef]
  8. Misra, J.; Shit, G. Biomagnetic viscoelastic fluid flow over a stretching sheet. Appl. Math. Comput. 2009, 210, 350–361. [Google Scholar] [CrossRef]
  9. Choi, S.U.; Eastman, J.A. Enhancing Thermal Conductivity of Fluids with Nanoparticles; Argonne National Lab (ANL): Argonne, IL, USA, 1995. [Google Scholar]
  10. Sheremet, M.A.; Grosan, T.; Pop, I. Free Convection in a Square Cavity Filled with a Porous Medium Saturated by Nanofluid Using Tiwari and Das’ Nanofluid Model. Transp. Porous Media 2014, 106, 595–610. [Google Scholar] [CrossRef]
  11. Sheremet, M.; Pop, I.; Bachok, N. Effect of thermal dispersion on transient natural convection in a wavy-walled porous cavity filled with a nanofluid: Tiwari and Das’ nanofluid model. Int. J. Heat Mass Transf. 2016, 92, 1053–1060. [Google Scholar] [CrossRef]
  12. Wong, K.V.; De Leon, O. Applications of nanofluids: Current and future. Adv. Mech. Eng. 2017, 2, 105–132. [Google Scholar] [CrossRef]
  13. Chen, J.L.T.; Oumer, A.N.; Azizuddin, A. A review on thermo-physical properties of bio, non-bio and hybrid nanofluids. J. Mech. Eng. Sci. 2019, 13, 5875–5904. [Google Scholar] [CrossRef]
  14. Abo-Elkhair, R.; Bhatti, M.; Mekheimer, K.S. Magnetic force effects on peristaltic transport of hybrid bio-nanofluid (AuCu nanoparticles) with moderate Reynolds number: An expanding horizon. Int. Commun. Heat Mass Transf. 2021, 123, 105228. [Google Scholar] [CrossRef]
  15. Eid, M.R. Effects of NP Shapes on Non-Newtonian Bio-Nanofluid Flow in Suction/Blowing Process with Convective Condition: Sisko Model. J. Non-Equilib. Thermodyn. 2019, 45, 97–108. [Google Scholar] [CrossRef]
  16. Tanveer, M.; Ullah, S.; Shah, N.A. Thermal analysis of free convection flows of viscous carbon nanotubes nanofluids with generalized thermal transport: A Prabhakar fractional model. J. Therm. Anal. 2021, 144, 2327–2336. [Google Scholar] [CrossRef]
  17. Wang, F.; Asjad, M.I.; Zahid, M.; Iqbal, A.; Ahmad, H.; Alsulami, M.D. Unsteady thermal transport flow of Casson nanofluids with generalized Mittag–Leffler kernel of Prabhakar’s type. J. Mater. Res. Technol. 2021, 14, 1292–1300. [Google Scholar] [CrossRef]
  18. Asjad, M.I.; Basit, A.; Iqbal, A.; Shah, N.A. Advances in transport phenomena with nanoparticles and generalized thermal process for vertical plate. Phys. Scr. 2021, 96, 114001. [Google Scholar] [CrossRef]
  19. Chu, Y.M.; Ikram, M.D.; Imran, M.A.; Akgül, A. MHD Flow of a Newtonian Fluid in Symmetric Channel with ABC Fractional Model Containing Hybrid Nanoparticles. Comb. Chem. High Throughput Screen. 2022, 25, 1087–1102. [Google Scholar] [CrossRef]
  20. Khan, I.; Raza, A.; Shakir, M.A.; Al-Johani, A.S.; Pasha, A.A.; Irshad, K. Natural convection simulation of Prabhakar-like fractional Maxwellfluid flowing on inclined plane with generalized thermal flux. Case Stud. Therm. Eng. 2022, 102042. [Google Scholar] [CrossRef]
  21. Sun, Y.-L.; Shah, N.A.; Khan, Z.A.; Mahrous, Y.; Ahmad, B.; Chung, J.D.; Khan, M.N. Exact solutions for natural convection flows of generalized Brinkman type fluids: A Prabhakar-like fractional model with generalized thermal transport. Case Stud. Therm. Eng. 2021, 26, 101126. [Google Scholar] [CrossRef]
  22. Asjad, M. Fractional Mechanism with Power Law (Singular) and Exponential (Non-singular) Kernels and Its Applications in Bio Heat Transfer Model. Int. J. Heat Technol. 2019, 37, 846–852. [Google Scholar] [CrossRef]
  23. Anwar, T.; Kumam, P.; Asifa; Thounthong, P.; Muhammad, S.; Duraihem, F.Z. Generalized thermal investigation of unsteady MHD flow of Oldroyd-B fluid with slip effects and Newtonian heating; a Caputo-Fabrizio fractional model. Alex. Eng. J. 2021, 61, 2188–2202. [Google Scholar] [CrossRef]
  24. Wang, F.; Rehman, S.; Bouslimi, J.; Khaliq, H.; Qureshi, M.I.; Kamran, M.; Alharbi, A.N.; Ahmad, H.; Farooq, A. Comparative study of heat and mass transfer of generalized MHD Oldroyd-B bio-nano fluid in a permeable medium with ramped conditions. Sci. Rep. 2021, 11, 23454. [Google Scholar] [CrossRef] [PubMed]
  25. Wang, C.-C. Mathematical Principles of Mechanics and Electromagnetism: Part A: Analytical and Continuum Mechanics; Springer Science & Business Media: Berlin/Heidelberg, Germany, 2013; Volume 16. [Google Scholar]
  26. Fetecau, C. The first problem of Stokes for an Oldroyd-B fluid. Int. J. Non-Linear Mech. 2003, 38, 1539–1544. [Google Scholar] [CrossRef]
  27. Saqib, M.; Khan, I.; Chu, Y.-M.; Qushairi, A.; Shafie, S.; Nisar, K.S. Multiple Fractional Solutions for Magnetic Bio-Nanofluid Using Oldroyd-B Model in a Porous Medium with Ramped Wall Heating and Variable Velocity. Appl. Sci. 2020, 10, 3886. [Google Scholar] [CrossRef]
  28. Liu, Y.; Zheng, L.; Zhang, X. Unsteady MHD Couette flow of a generalized Oldroyd-B fluid with fractional derivative. Comput. Math. Appl. 2011, 61, 443–450. [Google Scholar] [CrossRef]
  29. Anwar, T.; Kumam, P.; Khan, I.; Watthayu, W. Heat Transfer Enhancement in Unsteady MHD Natural Convective Flow of CNTs Oldroyd-B Nanofluid under Ramped Wall Velocity and Ramped Wall Temperature. Entropy 2020, 22, 401. [Google Scholar] [CrossRef]
  30. Maripala, S.; Naikoti, K. Joule Heat Parameter Effects on Unsteady MHD flow Over a Stretching Sheet with Viscous Dissipation and Heat source. Appl. Appl. Math. Int. J. 2019, 14, 4. [Google Scholar]
  31. Aziz, A.; Shams, M. Entropy generation in MHD Maxwell nanofluid flow with variable thermal conductivity, thermal radiation, slip conditions, and heat source. AIP Adv. 2020, 10, 015038. [Google Scholar] [CrossRef]
  32. Raptis, A.; Perdikis, C.; Takhar, H. Effect of thermal radiation on MHD flow. Appl. Math. Comput. 2004, 153, 645–649. [Google Scholar] [CrossRef]
  33. Yusuf, T.A.; Mabood, F.; Khan, W.A.; Gbadeyan, J.A. Irreversibility analysis of Cu-TiO2-H2O hybrid-nanofluid impinging on a 3-D stretching sheet in a porous medium with nonlinear radiation: Darcy-Forchhiemer’s model. Alex. Eng. J. 2020, 59, 5247–5261. [Google Scholar] [CrossRef]
  34. Zhao, J.; Zheng, L.; Zhang, X.; Liu, F. Unsteady natural convection boundary layer heat transfer of fractional Maxwell viscoelastic fluid over a vertical plate. Int. J. Heat Mass Transf. 2016, 97, 760–766. [Google Scholar] [CrossRef]
  35. Khan, A.Q.; Rasheed, A. Mixed Convection Magnetohydrodynamics Flow of a Nanofluid with Heat Transfer: A Numerical Study. Math. Probl. Eng. 2019, 2019, 8129564. [Google Scholar] [CrossRef]
  36. Zhuang, P.; Liu, F. Implicit difference approximation for the time fractional diffusion equation. J. Appl. Math. Comput. 2006, 22, 87–99. [Google Scholar] [CrossRef]
  37. Usman, M.; Hamid, M.; Zubair, T.; Haq, R.U.; Wang, W. Cu-Al2O3/Water hybrid nanofluid through a permeable surface in the presence of nonlinear radiation and variable thermal conductivity via LSM. Int. J. Heat Mass Transf. 2018, 126, 1347–1356. [Google Scholar] [CrossRef]
  38. Sharma, K.; Gupta, S. Viscous Dissipation and Thermal Radiation effects in MHD flow of Jeffrey Nanofluid through Impermeable Surface with Heat Generation/Absorption. Nonlinear Eng. 2017, 6, 153–166. [Google Scholar] [CrossRef]
Figure 1. Geometry of the problem.
Figure 1. Geometry of the problem.
Fractalfract 06 00712 g001
Figure 2. (a) Order of convergence; (b) Maximum absolute error; (c) L-norm for mesh size j; (d) L-norm for mesh size i.
Figure 2. (a) Order of convergence; (b) Maximum absolute error; (c) L-norm for mesh size j; (d) L-norm for mesh size i.
Fractalfract 06 00712 g002
Figure 3. Influence of λ 1 α on velocity profile u ( y , t ) when   G r = 5 ,   H a = 5 , λ 2 β = 0.1 ,   P r = 21 ,   K 1 = 0.1 ,   and ϕ = 0.2 .
Figure 3. Influence of λ 1 α on velocity profile u ( y , t ) when   G r = 5 ,   H a = 5 , λ 2 β = 0.1 ,   P r = 21 ,   K 1 = 0.1 ,   and ϕ = 0.2 .
Fractalfract 06 00712 g003
Figure 4. Influence of   G r on velocity profile u ( y , t )   when   λ 1 α = 0.1 ,   H a = 5 , λ 2 β = 0.1 ,   P r = 21 ,   K 1 = 0.1 , and ϕ = 0.2 .
Figure 4. Influence of   G r on velocity profile u ( y , t )   when   λ 1 α = 0.1 ,   H a = 5 , λ 2 β = 0.1 ,   P r = 21 ,   K 1 = 0.1 , and ϕ = 0.2 .
Fractalfract 06 00712 g004
Figure 5. Influence of   H a   on velocity profile u ( y , t ) when λ 1 α = 0.1 ,   G r = 5 , λ 2 β = 0.1 ,   P r = 21 ,   K 1 = 0.1 , and ϕ = 0.2 .
Figure 5. Influence of   H a   on velocity profile u ( y , t ) when λ 1 α = 0.1 ,   G r = 5 , λ 2 β = 0.1 ,   P r = 21 ,   K 1 = 0.1 , and ϕ = 0.2 .
Fractalfract 06 00712 g005
Figure 6. Influence of ϕ   on velocity profile u ( y , t )  when λ 1 α = 0.1 ,   G r = 5 , λ 2 β = 0.1 ,   P r = 21 ,   K 1 = 0.1 ,   and H a = 5 .
Figure 6. Influence of ϕ   on velocity profile u ( y , t )  when λ 1 α = 0.1 ,   G r = 5 , λ 2 β = 0.1 ,   P r = 21 ,   K 1 = 0.1 ,   and H a = 5 .
Fractalfract 06 00712 g006
Figure 7. Influence of K 1 on velocity profile u ( y , t ) when λ 1 α = 0.1 ,   G r = 5 , λ 2 β = 0.1 ,   P r = 21 ,   ϕ = 0.2   and   H a = 5 .
Figure 7. Influence of K 1 on velocity profile u ( y , t ) when λ 1 α = 0.1 ,   G r = 5 , λ 2 β = 0.1 ,   P r = 21 ,   ϕ = 0.2   and   H a = 5 .
Fractalfract 06 00712 g007
Figure 8. Influence of λ 3 α on velocity profile u ( y , t ) when, λ 1 α = 0.1 ,   K 1 = 0.1 ,   G r = 5 ,   H a = 5 ,     P r = 21 ,   ϕ = 0.2 .
Figure 8. Influence of λ 3 α on velocity profile u ( y , t ) when, λ 1 α = 0.1 ,   K 1 = 0.1 ,   G r = 5 ,   H a = 5 ,     P r = 21 ,   ϕ = 0.2 .
Fractalfract 06 00712 g008
Figure 9. Influence of ϕ   on θ ( y , t ) when   G r = 5 , H a = 5 , λ 2 β = 0.1 ,   P r = 21 , and ϕ = 0.1 .
Figure 9. Influence of ϕ   on θ ( y , t ) when   G r = 5 , H a = 5 , λ 2 β = 0.1 ,   P r = 21 , and ϕ = 0.1 .
Fractalfract 06 00712 g009
Figure 10. Influence of   E c   on θ ( y , t ) when   G r = 5 , H a = 5 , λ 2 β = 0.1 ,   P r = 21 , Q s = 5 , ϵ = 0.5 and ϕ = 0.1 .
Figure 10. Influence of   E c   on θ ( y , t ) when   G r = 5 , H a = 5 , λ 2 β = 0.1 ,   P r = 21 , Q s = 5 , ϵ = 0.5 and ϕ = 0.1 .
Fractalfract 06 00712 g010
Figure 11. Influence of   ε on θ ( y , t )   when   G r = 5 , H a = 5 , λ 2 β = 0.1 ,   P r = 21 , Q s = 5 , and ϕ = 0.1 .
Figure 11. Influence of   ε on θ ( y , t )   when   G r = 5 , H a = 5 , λ 2 β = 0.1 ,   P r = 21 , Q s = 5 , and ϕ = 0.1 .
Fractalfract 06 00712 g011
Figure 12. Influence of absorption/source of heat parameter Q s on   θ ( y , t ) , when   ϵ = 0.5 ,   H a = 5 , P r = 21 ,   Q s = 5 , N r = 3.5 ,   ϕ = 0.1 .
Figure 12. Influence of absorption/source of heat parameter Q s on   θ ( y , t ) , when   ϵ = 0.5 ,   H a = 5 , P r = 21 ,   Q s = 5 , N r = 3.5 ,   ϕ = 0.1 .
Fractalfract 06 00712 g012
Figure 13. Influence of thermal radiation parameter N r on θ ( y , t ) ,   when   ϵ = 0.5 ,   H a = 5 , P r = 21 ,   Q s = 5 ,   ϕ = 0.1 .
Figure 13. Influence of thermal radiation parameter N r on θ ( y , t ) ,   when   ϵ = 0.5 ,   H a = 5 , P r = 21 ,   Q s = 5 ,   ϕ = 0.1 .
Fractalfract 06 00712 g013
Figure 14. Comparison of dimensionless velocity between Proposed Method and Maple Built-in command against (a)   N r and (b) Q s .
Figure 14. Comparison of dimensionless velocity between Proposed Method and Maple Built-in command against (a)   N r and (b) Q s .
Fractalfract 06 00712 g014
Figure 15. Comparison of dimensionless temperature between Proposed Method and Maple Built-in command against (a)   N r and (b)   Q s .
Figure 15. Comparison of dimensionless temperature between Proposed Method and Maple Built-in command against (a)   N r and (b)   Q s .
Fractalfract 06 00712 g015
Table 1. Thermo-physical properties of blood and copper nanoparticles as given in [24].
Table 1. Thermo-physical properties of blood and copper nanoparticles as given in [24].
MaterialBase Fluid
(Blood)
Nanoparticle
(Copper)
ρ   ( kgm 3 ) 10538933
C p   ( J   Kg 1 k 1 ) 3594385
k   ( Wm 1 k 1 ) 0.492401
β × 10 5   ( k 1 ) 0.81.67
σ   ( Ω m ) 1 0.18 5 × 10 7
Pr21-
Table 2. Variation in the skin friction coefficient as varying the physical parameters and α .
Table 2. Variation in the skin friction coefficient as varying the physical parameters and α .
Λ 1 Λ 3 HaGr K 1 ϕ α
0.40.71
0.00.35100.10.10.49800.47210.4162
0.1 0.52700.50730.4579
0.2 0.55270.53870.4959
0.20.0 0.66330.67710.6686
0.1 0.63770.64330.6224
0.2 0.61400.61310.5835
0 1.20251.14851.0248
2 1.02070.98130.8841
5 0.55270.53870.4959
50 0.05530.05390.0496
2 0.11050.10770.0992
5 0.27640.26940.2479
10 0.76790.75810.7125
1 0.74220.73160.6862
0.1 0.55270.53870.4959
0.010.34540.34880.3355
0.10.55270.53870.4959
0.20.49590.46610.4111
Table 3. Variation in the local Nusselt number as varying the physical parameters and α .
Table 3. Variation in the local Nusselt number as varying the physical parameters and α .
Λ 2 Nr Q s α
0.40.71
0.051.52.62852.62852.6285
0.1 2.19382.22322.2236
0.2 1.92831.93241.8666
0.20.1 0.01640.01300.0090
1 0.26330.22760.1770
10 1.96082.04042.0565
500.26140.26500.2564
10.42450.41960.3932
20.73040.70110.6333
Publisher’s Note: MDPI stays neutral with regard to jurisdictional claims in published maps and institutional affiliations.

Share and Cite

MDPI and ACS Style

Kaleem, M.M.; Usman, M.; Asjad, M.I.; Eldin, S.M. Magnetic Field, Variable Thermal Conductivity, Thermal Radiation, and Viscous Dissipation Effect on Heat and Momentum of Fractional Oldroyd-B Bio Nano-Fluid within a Channel. Fractal Fract. 2022, 6, 712. https://doi.org/10.3390/fractalfract6120712

AMA Style

Kaleem MM, Usman M, Asjad MI, Eldin SM. Magnetic Field, Variable Thermal Conductivity, Thermal Radiation, and Viscous Dissipation Effect on Heat and Momentum of Fractional Oldroyd-B Bio Nano-Fluid within a Channel. Fractal and Fractional. 2022; 6(12):712. https://doi.org/10.3390/fractalfract6120712

Chicago/Turabian Style

Kaleem, Muhammad Madssar, Muhammad Usman, Muhammad Imran Asjad, and Sayed M. Eldin. 2022. "Magnetic Field, Variable Thermal Conductivity, Thermal Radiation, and Viscous Dissipation Effect on Heat and Momentum of Fractional Oldroyd-B Bio Nano-Fluid within a Channel" Fractal and Fractional 6, no. 12: 712. https://doi.org/10.3390/fractalfract6120712

APA Style

Kaleem, M. M., Usman, M., Asjad, M. I., & Eldin, S. M. (2022). Magnetic Field, Variable Thermal Conductivity, Thermal Radiation, and Viscous Dissipation Effect on Heat and Momentum of Fractional Oldroyd-B Bio Nano-Fluid within a Channel. Fractal and Fractional, 6(12), 712. https://doi.org/10.3390/fractalfract6120712

Article Metrics

Back to TopTop