Approaching Multifractal Complexity in Decentralized Cryptocurrency Trading
Abstract
1. Introduction
- (1)
- (2)
- The exchanges using order books do not have liquidity pools and, in order to determine the price of assets, the traders’ orders are matched directly like on the traditional exchanges [16]. There are two types of ledgers: the on-chain one that uses blockchain to process data and the off-chain one that uses solutions based on centralization to process transactions [17]. However, both types use blockchain networks to store data.
- (3)
- The DEX aggregators, in which the pricing mechanism involves aggregating asset liquidity from many different protocols [18]. Data from many exchanges are concentrated in one place, which allows users to conduct much more profitable trading operations. These exchanges mainly focus on solving the biggest problems of DEXs, which include low liquidity, inflated cryptocurrency trading prices, long waiting times for the execution of transactions at the price specified by a user, and high prices for service fees.
2. Data and Methodology
2.1. Data Specification
2.2. Multifractal Formalism
3. Results
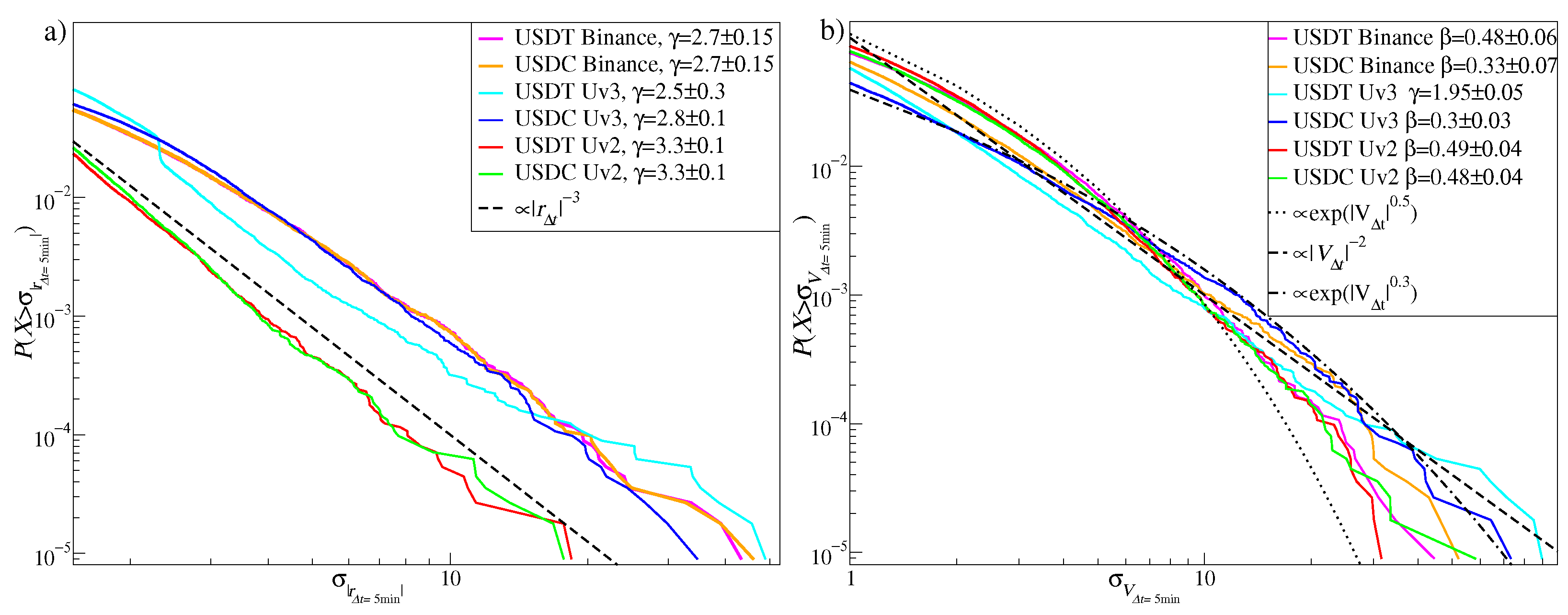
3.1. Multifractal Properties of Returns R and Volume V Time Series
3.2. Correlations Between Volatility and Volume V
4. Conclusions
Author Contributions
Funding
Data Availability Statement
Conflicts of Interest
References
- Bonneau, J.; Miller, A.; Clark, J.; Narayanan, A.; Kroll, J.A.; Felten, E.W. Research Perspectives and Challenges for Bitcoin and Cryptocurrencies. 2015. Available online: https://citeseerx.ist.psu.edu/document?repid=rep1&type=pdf&doi=88a603ffe828c503b6818410bdb3dae435f90ebe (accessed on 25 September 2024).
- Mohan, V. Automated market makers and decentralized exchanges: A DeFi primer. Financ. Innov. 2022, 8, 20. [Google Scholar] [CrossRef]
- Xu, J.; Paruch, K.; Cousaert, S.; Feng, Y. Sok: Decentralized exchanges (DEX) with automated market maker (AMM) protocols. ACM Comput. Surv. 2023, 55, 1–50. [Google Scholar] [CrossRef]
- Feder, A.; Gandal, N.; Hamrick, J.T.; Moore, T. The impact of DDoS and other security shocks on Bitcoin currency exchanges: Evidence from Mt. Gox. J. Cybersecur. 2018, 3, 137–144. [Google Scholar] [CrossRef]
- Vidal-Tomas, D.; Briola, A.; Aste, T. FTX’s downfall and Binance’s consolidation: The fragility of centralised digital finance. Phys. A 2023, 625, 129044. [Google Scholar] [CrossRef]
- Hägele, S. Centralized exchanges vs. decentralized exchanges in cryptocurrency markets: A systematic literature review. Electron. Mark. 2024, 34, 33. [Google Scholar] [CrossRef]
- Moreno, S.M.; Seigneur, J.M.; Gotzev, G. A survey of KYC/AML for cryptocurrencies transactions. In Handbook of Research on Cyber Crime and Information Privacy; IGI Global: Hershey, PA, USA, 2021; pp. 21–42. [Google Scholar]
- CoinMarketCap. Available online: https://coinmarketcap.com (accessed on 25 September 2024).
- Zheng, Z.; Xie, S.; Dai, H.N.; Chen, W.; Chen, X.; Weng, J.; Imran, M. An overview on smart contracts: Challenges, advances and platforms. Future Gener. Comput. Syst. 2020, 105, 475–491. [Google Scholar] [CrossRef]
- Aspris, A.; Foley, S.; Svec, J.; Wang, L. Decentralized exchanges: The “wild west” of cryptocurrency trading. Int. Rev. Financ. Anal. 2021, 77, 101845. [Google Scholar] [CrossRef]
- Coin Gecko. Available online: https://www.coingecko.com/en/exchanges/decentralized (accessed on 25 September 2024).
- DeFiLlama. Available online: https://defillama.com/chains (accessed on 25 September 2024).
- Shah, K.; Lathiya, D.; Lukhi, N.; Parmar, K.; Sanghvi, H. A systematic review of decentralized finance protocols. Int. J. Intell. Netw. 2023, 4, 171–181. [Google Scholar] [CrossRef]
- Bartoletti, M.; Chiang, J.H.Y.; Lluch-Lafuente, A. A theory of automated market makers in DeFi. Log. Methods Comput. Sci. 2022, 18, 12. [Google Scholar] [CrossRef]
- Brönnimann, W.; Egloff, P.; Krabichler, T. Automated market makers and their implications for liquidity providers. Digit. Financ. 2024, 6, 573–604. [Google Scholar] [CrossRef]
- Platt, M.; Pierangeli, F.; Livan, G.; Righi, S. Facilitating the Decentralised Exchange of Cryptocurrencies in an Order-Driven Market. In Proceedings of the 2020 2nd Conference on Blockchain Research & Applications for Innovative Networks and Services (BRAINS), Paris, France, 28–30 September 2020; pp. 30–34. [Google Scholar]
- Warren, W.; Bandeali, A. 0x: An Open Protocol for Decentralized Exchange on the Ethereum Blockchain; 2017; Technical report; Available online: https://cryptopapers.info/0x/ (accessed on 6 November 2024).
- Takemiya, M. ALT: Aggregate Liquidity Technology. In Proceedings of the 2023 IEEE International Conference on Blockchain and Cryptocurrency (ICBC), Dubai, United Arab Emirates, 1–5 May 2023; pp. 1–6. [Google Scholar]
- Corbet, S.; Lucey, B.; Urquhart, A.; Yarovaya, L. Cryptocurrencies as a financial asset: A systematic analysis. Int. Rev. Financ. Anal. 2019, 62, 182–199. [Google Scholar] [CrossRef]
- Makarov, I.; Schoar, A. Trading and arbitrage in cryptocurrency markets. J. Financ. Econ. 2020, 135, 293–319. [Google Scholar] [CrossRef]
- Fang, F.; Ventre, C.; Basios, M.; Kanthan, L.; Martinez-Rego, D.; Wu, F.; Li, L. Cryptocurrency trading: A comprehensive survey. Financ. Innov. 2022, 8, 13. [Google Scholar] [CrossRef]
- Aleti, S.; Mizrach, B. Bitcoin spot and futures market microstructure. J. Futur. Mark. 2021, 41, 194–225. [Google Scholar] [CrossRef]
- Koker, T.E.; Koutmos, D. Cryptocurrency Trading Using Machine Learning. J. Risk Financ. Manag. 2020, 13, 178. [Google Scholar] [CrossRef]
- Carol Alexander, D.F.H.; Kaeck, A. The Role of Binance in Bitcoin Volatility Transmission. Appl. Math. Financ. 2022, 29, 1–32. [Google Scholar] [CrossRef]
- Fassas, A.P.; Papadamou, S.; Koulis, A. Price discovery in bitcoin futures. Res. Int. Bus. Financ. 2020, 52, 101116. [Google Scholar] [CrossRef]
- Wątorek, M.; Drożdż, S.; Kwapień, J.J.; Minati, L.; Oświęcimka, P.; Stanuszek, M. Multiscale characteristics of the emerging global cryptocurrency market. Phys. Rep. 2021, 901, 1–82. [Google Scholar] [CrossRef]
- Dimpfl, T.; Peter, F.J. Nothing but noise? Price discovery across cryptocurrency exchanges. J. Financ. Mark. 2021, 54, 100584. [Google Scholar] [CrossRef]
- James, N. Evolutionary correlation, regime switching, spectral dynamics and optimal trading strategies for cryptocurrencies and equities. Phys. D 2022, 434, 133262. [Google Scholar] [CrossRef]
- James, N.; Menzies, M. Collective Dynamics, Diversification and Optimal Portfolio Construction for Cryptocurrencies. Entropy 2023, 25, 931. [Google Scholar] [CrossRef] [PubMed]
- Nguyen, A.P.N.; Mai, T.T.; Bezbradica, M.; Crane, M. Volatility and returns connectedness in cryptocurrency markets: Insights from graph-based methods. Phys. A 2023, 632, 129349. [Google Scholar] [CrossRef]
- Takaishi, T. Statistical properties and multifractality of Bitcoin. Phys. A 2018, 506, 507–519. [Google Scholar] [CrossRef]
- da Silva Filho, A.C.; Maganini, N.D.; de Almeida, E.F. Multifractal analysis of Bitcoin market. Phys. A 2018, 512, 954–967. [Google Scholar] [CrossRef]
- Stavroyiannis, S.; Babalos, V.; Bekiros, S.; Lahmiri, S.; Uddin, G.S. The high frequency multifractal properties of Bitcoin. Phys. A 2019, 520, 62–71. [Google Scholar] [CrossRef]
- Takaishi, T.; Adachi, T. Market efficiency, liquidity, and multifractality of Bitcoin: A dynamic study. Asia-Pac. Financ. Mark. 2020, 27, 145–154. [Google Scholar] [CrossRef]
- Mensi, W.; Lee, Y.J.; Al-Yahyaee, K.H.; Sensoy, A.; Yoon, S.M. Intraday downward/upward multifractality and long memory in Bitcoin and Ethereum markets: An asymmetric multifractal detrended fluctuation analysis. Financ. Res. Lett. 2019, 31, 19–25. [Google Scholar] [CrossRef]
- Han, Q.; Wu, J.; Zheng, Z. Long-range dependence, multi-fractality and volume-return causality of ether market. Chaos 2020, 30, 011101. [Google Scholar] [CrossRef]
- Kakinaka, S.; Umeno, K. Cryptocurrency market efficiency in short- and long-term horizons during COVID-19: An asymmetric multifractal analysis approach. Financ. Res. Lett. 2022, 46, 102319. [Google Scholar] [CrossRef]
- Ali, H.; Aftab, M.; Aslam, F.; Ferreira, P. Inner Multifractal Dynamics in the Jumps of Cryptocurrency and Forex Markets. Fractal Fract. 2024, 8, 571. [Google Scholar] [CrossRef]
- Capponi, A.; Jia, R. The adoption of blockchain-based decentralized exchanges. arXiv 2021, arXiv:2103.08842. [Google Scholar]
- Lo, Y.C.; Medda, F. Uniswap and the Emergence of the Decentralized Exchange. J. Financ. Mark. Infrastruct. 2021, 10, 1–25. [Google Scholar]
- Alexander, C.; Chen, X.; Deng, J.; Fu, Q. Impacts of Protocol Updates on Uniswap Decentralized Crypto Exchanges. 2023. Available online: https://ssrn.com/abstract=4495589 (accessed on 25 September 2024).
- Victor, F.; Weintraud, A.M. Detecting and quantifying wash trading on decentralized cryptocurrency exchanges. In Proceedings of the Web Conference 2021, Virtual, 19–23 April 2021; pp. 23–32. [Google Scholar]
- Gan, R.; Wang, L.; Ruan, X.; Lin, X. Understanding Flash-Loan-based Wash Trading. In Proceedings of the 4th ACM Conference on Advances in Financial Technologies, Cambridge, MA, USA, 19–21 September 2022; pp. 74–88. [Google Scholar]
- Gan, R.; Wang, L.; Xue, L.; Lin, X. Exposing Stealthy Wash Trading on Automated Market Maker Exchanges. ACM Trans. Internet Technol. 2024, 24, 1–30. [Google Scholar] [CrossRef]
- Wang, Y.; Chen, Y.; Deng, S.; Wattenhofer, R. Cyclic Arbitrage in Decentralized Exchange Markets. In Proceedings of the WWW ’22: Companion Proceedings of the Web Conference 2022, Virtual, 25–29 April 2022. [Google Scholar]
- Adams, A.; Chan, B.Y.; Markovich, S.; Wan, X. Don’t Let MEV Slip: The Costs of Swapping on the Uniswap Protocol. arXiv 2023, arXiv:2309.13648. [Google Scholar]
- Capponi, A.; Jia, R.; Yu, S. Price Discovery on Decentralized Exchanges. Available online: https://ssrn.com/abstract=4236993 (accessed on 25 September 2024).
- Hansson, M. Price Discovery in Constant Product Markets. Available online: https://ssrn.com/abstract=4582649. (accessed on 25 September 2024).
- Uniswap’s Universal Router for NFT and ERC20 Swapping. 2024. Available online: https://github.com/Uniswap/universal-router (accessed on 25 September 2024).
- Uniswap DEX. Available online: https://app.uniswap.org (accessed on 25 September 2024).
- Networks on Uniswap. Available online: https://support.uniswap.org/hc/en-us/articles/14569415293325-Networks-on-Uniswap (accessed on 25 September 2024).
- Uniswap V2. Available online: https://docs.uniswap.org/contracts/v2/concepts/protocol-overview/how-uniswap-works (accessed on 25 September 2024).
- Uniswap V3. Available online: https://blog.uniswap.org/uniswap-v3/ (accessed on 25 September 2024).
- Uniswap V4. Available online: https://docs.uniswap.org/contracts/v4/overview (accessed on 25 September 2024).
- The Developers Guide to Uniswap. Available online: https://blog.oceanprotocol.com/the-developers-guide-to-uniswap-48fcf6e9ee1e. (accessed on 25 September 2024).
- Bauer, D.P. ERC-20: Fungible Tokens. In Getting Started with Ethereum: A Step-by-Step Guide to Becoming a Blockchain Developer; Springer: Berlin/Heidelberg, Germany, 2022; pp. 17–48. [Google Scholar]
- Uniswap Pools. Available online: https://app.uniswap.org/explore/pools/ (accessed on 25 September 2024).
- Liquidity in Uv3 Postion as a NFT. Available online: https://app.uniswap.org/nfts/collection/0xc36442b4a4522e871399cd717abdd847ab11fe88 (accessed on 25 September 2024).
- Ethereum Block Time. Available online: https://ethereum.org/en/developers/docs/blocks/ (accessed on 25 September 2024).
- Mantegna, R.N.; Stanley, H.E. Scaling behaviour in the dynamics of an economic index. Nature 1995, 376, 46–49. [Google Scholar] [CrossRef]
- Gopikrishnan, P.; Plerou, V.; Nunes Amaral, L.A.; Meyer, M.; Stanley, H.E. Scaling of the distribution of fluctuations of financial market indices. Phys. Rev. E 1999, 60, 5305–5316. [Google Scholar] [CrossRef] [PubMed]
- Plerou, V.; Gopikrishnan, P.; Rosenow, B.; Nunes Amaral, L.A.; Stanley, H.E. Universal and nonuniversal properties of cross correlations in financial time series. Phys. Rev. Lett. 1999, 83, 1471–1474. [Google Scholar] [CrossRef]
- Ausloos, M. Statistical physics in foreign exchange currency and stock markets. Phys. A 2000, 285, 48–65. [Google Scholar] [CrossRef]
- Binance. Available online: https://www.binance.com/ (accessed on 25 September 2024).
- Mandelbrot, B. The Variation of Certain Speculative Prices. J. Bus. 1963, 36, 394–419. [Google Scholar] [CrossRef]
- Cont, R. Empirical properties of asset returns: Stylized facts and statistical issues. Quant. Financ. 2001, 1, 223–236. [Google Scholar] [CrossRef]
- Dhesi, G.; Shakeel, B.; Ausloos, M. Modelling and forecasting the kurtosis and returns distributions of financial markets: Irrational fractional Brownian motion model approach. Ann. Oper. Res. 2021, 299, 1397–1410. [Google Scholar] [CrossRef]
- Drożdż, S.; Forczek, M.; Kwapień, J.; Oświęcimka, P.; Rak, R. Stock market return distributions: From past to present. Phys. A 2007, 383, 59–64. [Google Scholar] [CrossRef]
- Gębarowski, R.; Oświęcimka, P.; Wątorek, M.; Drożdż, S. Detecting correlations and triangular arbitrage opportunities in the Forex by means of multifractal detrended cross-correlations analysis. Nonlinear Dyn. 2019, 98, 2349–2364. [Google Scholar] [CrossRef]
- Begušić, S.; Kostanjčar, Z.; Eugene Stanley, H.; Podobnik, B. Scaling properties of extreme price fluctuations in Bitcoin markets. Phys. A 2018, 510, 400–406. [Google Scholar] [CrossRef]
- James, N.; Menzies, M.; Chan, J. Changes to the extreme and erratic behaviour of cryptocurrencies during COVID-19. Phys. A 2021, 565, 125581. [Google Scholar] [CrossRef]
- Ghosh, B.; Bouri, E.; Wee, J.B.; Zulfiqar, N. Return and volatility properties: Stylized facts from the universe of cryptocurrencies and NFTs. Res. Int. Bus. Financ. 2023, 65, 101945. [Google Scholar] [CrossRef]
- Szydło, P.; Wątorek, M.; Kwapień, J.; Drożdż, S. Characteristics of price related fluctuations in non-fungible token (NFT) market. Chaos 2024, 34, 013108. [Google Scholar] [CrossRef]
- Wątorek, M.; Szydło, P.; Kwapień, J.; Drożdż, S. Correlations versus noise in the NFT market. Chaos 2024, 34, 073112. [Google Scholar] [CrossRef]
- Wątorek, M.; Kwapień, J.; Drożdż, S. Financial return distributions: Past, present, and COVID-19. Entropy 2021, 23, 884. [Google Scholar] [CrossRef]
- Drożdż, S.; Kwapień, J.; Oświęcimka, P.; Rak, R. The foreign exchange market: Return distributions, multifractality, anomalous multifractality and the Epps effect. New J. Phys. 2010, 12, 105003. [Google Scholar] [CrossRef]
- Drożdż, S.; Gębarowski, R.; Minati, L.; Oświęcimka, P.; Wątorek, M. Bitcoin market route to maturity? Evidence from return fluctuations, temporal correlations and multiscaling effects. Chaos 2018, 28, 071101. [Google Scholar] [CrossRef] [PubMed]
- Drożdż, S.; Minati, L.; Oświęcimka, P.; Stanuszek, M.; Wątorek, M. Signatures of the crypto-currency market decoupling from the Forex. Future Internet 2019, 11, 154. [Google Scholar] [CrossRef]
- Drożdż, S.; Kwapień, J.; Oświęcimka, P.; Stanisz, T.; Wątorek, M. Complexity in economic and social systems: Cryptocurrency market at around COVID-19. Entropy 2020, 22, 1043. [Google Scholar] [CrossRef]
- Record Transaction on ETH/USDT Uniswap v3 Liquidity Pool. Available online: https://etherscan.io/tx/0x28bcfb342781641e84ab5ea821e4d2e3ecfdd0852e22460e1c64b33bcc698ae0 (accessed on 25 September 2024).
- Rak, R.; Drożdż, S.; Kwapień, J.; Oświęcimka, P. Stock returns versus trading volume: Is the correspondence more general? Acta Phys. Pol. B 2013, 44, 2035–2050. [Google Scholar] [CrossRef]
- Yamani, E. Return–volume nexus in financial markets: A survey of research. Res. Int. Bus. Financ. 2023, 65, 101910. [Google Scholar] [CrossRef]
- Gabaix, X.; Gopikrishnan, P.; Plerou, V.; Stanley, H.E. A theory of power-law distributions in financial market fluctuations. Nature 2003, 423, 267–270. [Google Scholar] [CrossRef]
- Plerou, V.; Gopikrishnan, P.; Gabaix, X.; Stanley, H.E. On the origin of power-law fluctuations in stock prices. Quant. Financ. 2004, 4, 11–15. [Google Scholar] [CrossRef]
- Naeem, M.; Saleem, K.; Ahmed, S.; Muhammad, N.; Mustafa, F. Extreme return-volume relationship in cryptocurrencies: Tail dependence analysis. Cogent Econ. Financ. 2020, 8, 1834175. [Google Scholar] [CrossRef]
- Drożdż, S.; Kwapień, J.; Wątorek, M. What is mature and what is still emerging in the cryptocurrency market? Entropy 2023, 25, 772. [Google Scholar] [CrossRef]
- Laherrère, J.; Sornette, D. Stretched exponential distributions in nature and economy: “fat tails” with characteristic scales. Eur. Phys. J. B 1998, 2, 525–539. [Google Scholar] [CrossRef]
- Bouchaud, J.P. Price impact. In Encyclopedia of Quantitative Finance; Cambridge University Press: Cambridge, MA, USA, 2010; pp. 1–6. [Google Scholar]
- Wilinski, M.; Cui, W.; Brabazon, A.; Hamill, P. An analysis of price impact functions of individual trades on the London stock exchange. Quant. Financ. 2015, 15, 1727–1735. [Google Scholar] [CrossRef]
- Kutner, R.; Świtała, F. Remarks on the possible universal mechanism of the non-linear long-term autocorrelations in financial time-series. Phys. A 2004, 344, 244–251. [Google Scholar] [CrossRef]
- Rak, R.; Drożdż, S.; Kwapień, J. Nonextensive statistical features of the Polish stock market fluctuations. Phys. A 2007, 374, 315–324. [Google Scholar] [CrossRef]
- Klamut, J.; Gubiec, T. Continuous time random walk with correlated waiting times. The crucial role of inter-trade times in volatility clustering. Entropy 2021, 23, 1576. [Google Scholar] [CrossRef]
- Kwapień, J.; Blasiak, P.; Drożdż, S.; Oświęcimka, P. Genuine multifractality in time series is due to temporal correlations. Phys. Rev. E 2023, 107, 034139. [Google Scholar] [CrossRef]
- Ausloos, M.; Ivanova, K. Multifractal nature of stock exchange prices. Comput. Phys. Commun. 2002, 147, 582–585. [Google Scholar] [CrossRef]
- Jiang, Z.Q.; Xie, W.J.; Zhou, W.X.; Sornette, D. Multifractal analysis of financial markets: A review. Rep. Prog. Phys. 2019, 82, 125901. [Google Scholar] [CrossRef] [PubMed]
- Kutner, R.; Ausloos, M.; Grech, D.; Matteo, T.D.; Schinckus, C.; Stanley, H.E. Econophysics and sociophysics: Their milestones & challenges. Phys. A 2019, 516, 240–253. [Google Scholar]
- Kwapień, J.; Wątorek, M.; Bezbradica, M.; Crane, M.; Tan Mai, T.; Drożdż, S. Analysis of inter-transaction time fluctuations in the cryptocurrency market. Chaos 2022, 32, 083142. [Google Scholar] [CrossRef]
- Wątorek, M.; Kwapień, J.; Drożdż, S. Multifractal cross-correlations of bitcoin and ether trading characteristics in the post-COVID-19 time. Future Internet 2022, 14, 215. [Google Scholar] [CrossRef]
- Oświęcimka, P.; Drożdż, S.; Forczek, M.; Jadach, S.; Kwapień, J. Detrended cross-correlation analysis consistently extended to multifractality. Phys. Rev. E 2014, 89, 023305. [Google Scholar] [CrossRef] [PubMed]
- Podobnik, B.; Stanley, H.E. Detrended cross-correlation analysis: A new method for analyzing two nonstationary time series. Phys. Rev. Lett. 2008, 100, 084102. [Google Scholar] [CrossRef] [PubMed]
- Zhou, W.X. Multifractal detrended cross-correlation analysis for two nonstationary signals. Phys. Rev. E 2008, 77, 066211. [Google Scholar] [CrossRef]
- Kantelhardt, J.W.; Zschiegner, S.A.; Koscielny-Bunde, E.; Havlin, S.; Bunde, A.; Stanley, H.E. Multifractal detrended fluctuation analysis of nonstationary time series. Phys. A 2002, 316, 87–114. [Google Scholar] [CrossRef]
- Peng, C.K.; Buldyrev, S.V.; Havlin, S.; Simons, M.; Stanley, H.E.; Goldberger, A.L. Mosaic organization of DNA nucleotides. Phys. Rev. E 1994, 49, 1685–1689. [Google Scholar] [CrossRef] [PubMed]
- Oświęcimka, P.; Drożdż, S.; Kwapień, J.; Górski, A. Effect of detrending on multifractal characteristics. Acta Phys. Pol. A 2013, 123, 597–603. [Google Scholar] [CrossRef]
- Barabasi, A.L.; Vicsek, T. Multifractality of self-affine fractals. Phys. Rev. A 1991, 44, 2730–2733. [Google Scholar] [CrossRef] [PubMed]
- Hurst, H.E. Long-term storage capacity of reservoirs. Trans. Am. Soc. Civ. Eng. 1951, 116, 770–799. [Google Scholar] [CrossRef]
- Halsey, T.C.; Jensen, M.H.; Kadanoff, L.P.; Procaccia, I.; Shraimant, B.I. Fractal measures and their singularities: The characterization of strange sets. Phys. Rev. A 1986, 33, 1141–1151. [Google Scholar] [CrossRef]
- Kwapień, J.; Oświęcimka, P.; Drożdż, S. Detrended fluctuation analysis made flexible to detect range of cross-correlated fluctuations. Phys. Rev. E 2015, 92, 052815. [Google Scholar] [CrossRef] [PubMed]
- Zebende, G. DCCA cross-correlation coefficient: Quantifying level of cross-correlation. Phys. A 2011, 390, 614–618. [Google Scholar] [CrossRef]
- Kwapień, J.; Oświęcimka, P.; Forczek, M.; Drożdż, S. Minimum spanning tree filtering of correlations for varying time scales and size of fluctuations. Phys. Rev. E 2017, 95, 052313. [Google Scholar] [CrossRef] [PubMed]
- Drożdż, S.; Kwapień, J.; Oświęcimka, P.; Rak, R. Quantitative features of multifractal subtleties in time-series. EPL (Europhys. Lett.) 2010, 88, 60003. [Google Scholar] [CrossRef]
- Zhou, W.X. The components of empirical multifractality in financial returns. EPL (Europhys. Lett.) 2009, 88, 28004. [Google Scholar] [CrossRef]
- Carbone, A.; Castelli, G.; Stanley, H. Time-dependent Hurst exponent in financial time series. Phys. A 2004, 344, 267–271. [Google Scholar] [CrossRef]
- Grech, D.; Mazur, Z. Can one make any crash prediction in finance using the local Hurst exponent idea? Phys. A 2004, 336, 133–145. [Google Scholar] [CrossRef]
- Garcin, M. Estimation of time-dependent Hurst exponents with variational smoothing and application to forecasting foreign exchange rates. Phys. A 2017, 483, 462–479. [Google Scholar] [CrossRef]
- Matos, J.A.; Gama, S.M.; Ruskin, H.J.; Sharkasi, A.A.; Crane, M. Time and scale Hurst exponent analysis for financial markets. Phys. A 2008, 387, 3910–3915. [Google Scholar] [CrossRef]
- Drożdż, S.; Kowalski, R.; Oświęcimka, P.; Rak, R.; Gębarowski, R. Dynamical variety of shapes in financial multifractality. Complexity 2018, 2018, 7015721. [Google Scholar] [CrossRef]
- Matteo, T.D.; Aste, T.; Dacorogna, M.M. Long-term memories of developed and emerging markets: Using the scaling analysis to characterize their stage of development. J. Bank. Financ. 2005, 29, 827–851. [Google Scholar] [CrossRef]
- Cajueiro, D.O.; Tabak, B.M. Testing for predictability in equity returns for European transition markets. Econ. Syst. 2006, 30, 56–78. [Google Scholar] [CrossRef]
- James, N. Dynamics, behaviours, and anomaly persistence in cryptocurrencies and equities surrounding COVID-19. Phys. A 2021, 570, 125831. [Google Scholar] [CrossRef]
- James, N.; Menzies, M. Collective correlations, dynamics, and behavioural inconsistencies of the cryptocurrency market over time. Nonlinear Dyn. 2022, 107, 4001–4017. [Google Scholar] [CrossRef]
- Ammy-Driss, A.; Garcin, M. Efficiency of the financial markets during the COVID-19 crisis: Time-varying parameters of fractional stable dynamics. Phys. A 2023, 609, 128335. [Google Scholar] [CrossRef]
- Brouty, X.; Garcin, M. Fractal properties, information theory, and market efficiency. Chaos Solitons Fractals 2024, 180, 114543. [Google Scholar] [CrossRef]
- Drożdż, S.; Oświęcimka, P. Detecting and interpreting distortions in hierarchical organization of complex time series. Phys. Rev. E 2015, 91, 030902. [Google Scholar] [CrossRef]
- Schreiber, T.; Schmitz, A. Surrogate time series. Phys. D 2000, 142, 346–382. [Google Scholar] [CrossRef]
- Theiler, J.; Prichard, D. Constrained-realization Monte-Carlo method for hypothesis testing. Phys. D 1996, 94, 221–235. [Google Scholar] [CrossRef]
- Grech, D.; Pamuła, G. On the multifractal effects generated by monofractal signals. Phys. A 2013, 392, 5845–5864. [Google Scholar] [CrossRef]
- Zhou, W.X. Finite-size effect and the components of multifractality in financial volatility. Chaos Solitons Fractals 2012, 45, 147–155. [Google Scholar] [CrossRef]
- Rak, R.; Grech, D. Quantitative approach to multifractality induced by correlations and broad distribution of data. Phys. A 2018, 508, 48–66. [Google Scholar] [CrossRef]
- Gillemot, L.; Farmer, J.D.; Lillo, F. There’s more to volatility than volume. Quant. Financ. 2006, 6, 371–384. [Google Scholar] [CrossRef]
- Podobnik, B.; Horvatic, D.; Petersen, A.M.; Stanley, H.E. Cross-correlations between volume change and price change. Proc. Natl. Acad. Sci. USA 2009, 106, 22079–22084. [Google Scholar] [CrossRef]
- Rak, R.; Drożdż, S.; Kwapień, J.; Oświęcimka, P. Detrended cross-correlations between returns, volatility, trading activity, and volume traded for the stock market companies. EPL (Europhys. Lett.) 2015, 112, 48001. [Google Scholar] [CrossRef]
- Arianos, S.; Carbone, A. Cross-correlation of long-range correlated series. J. Stat. Mech. 2009, 2009, P03037. [Google Scholar] [CrossRef]
- Wątorek, M.; Drożdż, S.; Oświęcimka, P.; Stanuszek, M. Multifractal cross-correlations between the world oil and other financial markets in 2012–2017. Energy Econ. 2019, 81, 874–885. [Google Scholar] [CrossRef]
- Zhao, L.; Li, W.; Fenu, A.; Podobnik, B.; Wang, Y.; Stanley, H.E. The q-dependent detrended cross-correlation analysis of stock market. J. Stat. Mech. Theory Exp. 2018, 2018, 023402. [Google Scholar] [CrossRef]








| Name | N | [s] | [USD] | [USD] | [USD] | |
|---|---|---|---|---|---|---|
| USDC Uv3_0.3 | 37,457 | 900.26 | 9903 | 2,358,376 | 3298 | 0.785 |
| USDC Uv3_0.05 | 765,399 | 47.01 | 11,227 | 7,751,943 | 76,419 | 0.006 |
| USDC Uv2 | 503,569 | 66.97 | 1856 | 1,254,394 | 8310 | 0.049 |
| USDT Uv3_0.3 | 151,003 | 223.33 | 3390 | 3,878,300 | 4553 | 0.388 |
| USDT Uv3_0.05 | 704,276 | 49.62 | 5331 | 2,875,000 | 33,395 | 0.009 |
| USDT Uv2 | 748,919 | 45.14 | 1843 | 1,084,474 | 11,378 | 0.028 |
| USDT Binance | 297,688,280 | 0.11 | 1185 | 9,739,140 | 2,955,093 | 0 |
| USDC Binance | 10,343,176 | 3.31 | 73 | 4,265,360 | 72,643 | 0.003 |
Disclaimer/Publisher’s Note: The statements, opinions and data contained in all publications are solely those of the individual author(s) and contributor(s) and not of MDPI and/or the editor(s). MDPI and/or the editor(s) disclaim responsibility for any injury to people or property resulting from any ideas, methods, instructions or products referred to in the content. |
© 2024 by the authors. Licensee MDPI, Basel, Switzerland. This article is an open access article distributed under the terms and conditions of the Creative Commons Attribution (CC BY) license (https://creativecommons.org/licenses/by/4.0/).
Share and Cite
Wątorek, M.; Królczyk, M.; Kwapień, J.; Stanisz, T.; Drożdż, S. Approaching Multifractal Complexity in Decentralized Cryptocurrency Trading. Fractal Fract. 2024, 8, 652. https://doi.org/10.3390/fractalfract8110652
Wątorek M, Królczyk M, Kwapień J, Stanisz T, Drożdż S. Approaching Multifractal Complexity in Decentralized Cryptocurrency Trading. Fractal and Fractional. 2024; 8(11):652. https://doi.org/10.3390/fractalfract8110652
Chicago/Turabian StyleWątorek, Marcin, Marcin Królczyk, Jarosław Kwapień, Tomasz Stanisz, and Stanisław Drożdż. 2024. "Approaching Multifractal Complexity in Decentralized Cryptocurrency Trading" Fractal and Fractional 8, no. 11: 652. https://doi.org/10.3390/fractalfract8110652
APA StyleWątorek, M., Królczyk, M., Kwapień, J., Stanisz, T., & Drożdż, S. (2024). Approaching Multifractal Complexity in Decentralized Cryptocurrency Trading. Fractal and Fractional, 8(11), 652. https://doi.org/10.3390/fractalfract8110652

