Abstract
In this paper, a numerical method of a two-dimensional (2D) integro-differential equation with two fractional Riemann–Liouville (R-L) integral kernels is investigated. The compact difference method is employed in the spatial direction. The integral terms are approximated by a second-order convolution quadrature formula. The alternating direction implicit (ADI) compact difference scheme reduces the CPU time for two-dimensional problems. Simultaneously, the stability and convergence of the proposed ADI compact difference scheme are demonstrated. Finally, two numerical examples are provided to verify the established ADI compact difference scheme.
1. Introduction
In this paper, we investigate the following initial boundary value problem of a 2D integro-differential equation with two fractional R-L integral kernels:
in which , , is the boundary of , and the kernels and are real-valued positive definite, where , and are the known functions. If , the integral term
is the Riemann–Liouville fractional integral [1], which has attracted much attention from researchers and is widely used in natural science, such as meteorology [2,3], biology [4,5], finance [6], radio [7], etc.
The numerical solutions of integro-differential equations characterized represent a significant research focus both domestically and internationally, and many scholars have carried out a great deal of work on these equations and have established a relatively complete numerical solution system [8,9,10,11,12,13,14,15,16] The numerical solution of fractional integro-differential equations with weak singular kernel is also one of the hot topics [17,18,19,20,21] Safwan et al. [22] analyzed the error of the arbitrary high-order step scheme of a fractional-order integro-differential equation with a weak singular kernel. Yaghoubi et al. [23] presents a new operational matrix method for solving fractional time-delay product-differential equations with a weak singular kernel. Hadi et al. [24] proposed a method based on the Laplace transform and the locally discontinuous Galerkin method to solve the fourth-order time-fractional partial integro-differential equation with weak singular kernels. Li et al. [25] developed a linearized ADI compact difference method on graded meshes for nonlinear 2D and 3D PIDEs.
For the 2D integro-differential equation with multiple weak singular kernels, there has been less research conducted at home and abroad. Sudarshan [26] analyzed a high-order schemes for the multi-term time-fractional integro-differential equations with multiple weakly singular kernels. In [26], the major contribution of this paper lies in showing the stability and convergence analysis in the context of the multi-term fractional operators, leading to () temporal accuracy on uniform mesh with time singularity. Yang et al. [27,28,29,30,31] introduced simple positivity preserving nonlinear finite volume scheme for subdiffusion equations on general non-conforming distorted meshes. Wang et al. [32,33] provided the compact ADI scheme for a 2D time-fractional integro-differential equation. Qiu et al. [34,35] introduced the ADI FEM for a nonlocal model. Yang et al. [36,37] presented the ADI Galerkin finite element method for the evolutionary equation with a nonlocal term. Qiao et al. [38,39,40,41] provided a convergence analysis of the ADI method for a fractional integro-differential equation. In this paper, we construct a new ADI compact difference scheme for problem (1)–(3), for which the temporal accuracy is achieved as .
The main contributions of this paper are as follows:
- We propose an ADI compact difference method for 2D integral-differential equations with two weakly singular kernels;
- We prove the stability and convergence of the established ADI compact difference scheme.
The structure of this paper is as follows: In Section 2, we give the notation and lemmas needed. In Section 3, we present the ADI compact difference scheme. In Section 4, we prove the stability of the difference scheme. In Section 5, we give the convergence proof of the difference scheme. In Section 6, we verify the feasibility of the theoretical analysis using numerical examples.
2. The Orthogonal Gauss Collocation Method
Take the positive integer L and let , , . Let be a grid function,
For a spatial grid, take the positive integers and , set
is the boundary of ,
For any grid function , set
Similarly, we can define , , and . We can also write the discrete Laplace operator as
and the space-compact difference operator is denoted as
and, obviously, we have
where I represents the unit operator. Set
Let be a function space on . For any grid function , so the following discrete inner product and norm are introduced:
In addition, the second-order convolution quadrature formula [42] is
where is the coefficient of the following power series:
and
is the Laplace transform of , and the corrected integral weight is used to ensure that the integral term can achieve second-order accuracy. For (5), if the function , the integral formula is also accurate, that is
In this paper, C will represent a generalized positive constant that does not depend on the grid parameters, which can represent different values in different places.
Lemma 1
([42]). If , ; then, when , we have
where
Lemma 2
([43]). Set , then
where .
Lemma 3
([43]). Set , , then
3. The Establishment of the Difference Scheme
For (1), let and , so we have
Define the grid functions
and
Then, when , we have
For (12), when
where , .
According to Lemma 2, we can obtain
From Lemma 3, we have
where
Then
Therefore
Further
In (16), we omit the error term and replace with . The ADI compact difference scheme (16)–(18) can be written as follows:
Let and ; then, (19) can be rewritten as
Introducing the intermediate variable , we have
and
when the value of u on the layer is known. The value of the transition layer variable is obtained from (22); for any fixed , we take the boundary condition
to solve
and obtain
When the transition layer variable has been solved, the value of u on the nth layer can be obtained from (23); for a fixed , we take the boundary condition
to solve
and obtain
Proof.
From the above analysis, it can be seen that a two-dimensional problem is transformed into two one-dimensional problems in each time layer, and further, only one linear system needs to be solved, and the coefficient matrix of each linear system is strictly diagonally dominant. Therefore, the above conclusion is valid. □
4. Stability Analysis
Lemma 4
([44]). For any grid function , there is
Lemma 5
([44]). For any grid function , there is
Lemma 6
([44]). For any grid function , there is
Lemma 7
Proof.
By multiplying the two sides of (18) by and summing and , we can obtain
Due to
and substituting (24) and (31) into (30), we multiply both sides by and sum the result over l from 1 to L as
for (32) on the left side of the second and the third using inverse estimated
Then, for both sides of (32) multiplied by 3, we have
Using the discrete Gronwall lemma and Cauchy–Schwarz inequality, we obtain
We take M to make ; then, there is
and
Further
□
5. Convergence Analysis
Theorem 3.
Proof.
Denote
Using the proof of Theorem 2, it can be determined that
Now, we only need to estimate the right term of (44). According to Lemma 1, we can obtain
in the same way,
Therefore
By (12) and Lemma 2, we obtain
According to the Taylor formula with integral remainder, there is
then, we have
and
Therefore
□
6. Numerical Experiments
The following examples are expressed to verify the performance and feasibility of the compact ADI algorithm proposed in this paper.
When the ADI compact difference scheme (19)–(21) is used for calculation, the same spatial step size is taken in the x and y directions, and the maximum error is recorded as
and the order of convergence in time and space directions is given by the following formulas, respectively:
where , .
Example 1.
Consider the following integro-differential equations with two fractional R-L integral kernels:
where . We choose the corresponding function as follows:
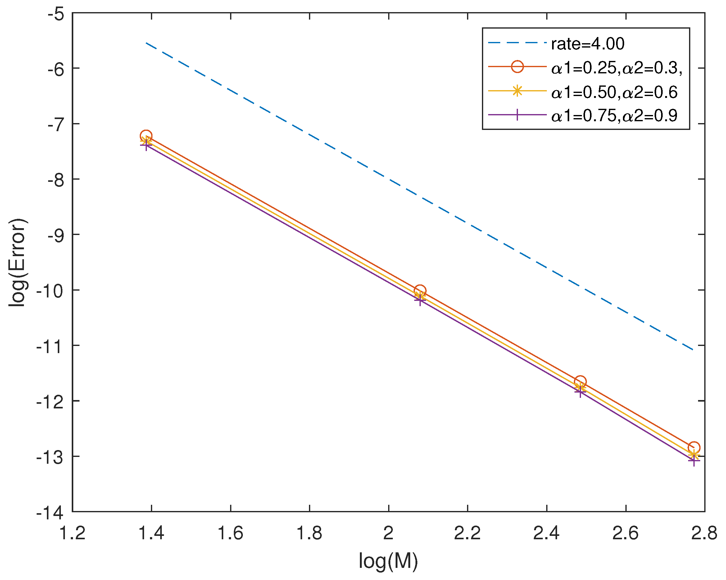
The exact solution is . First, we consider the error and convergence order in the spatial direction, fixing the time step size and setting , which is small enough compared to the spatial step size and can be neglected. In Table 1, we give the error estimates and convergence order in the spatial direction, as well as the computation time, for the cases of and , and , and and . We can see that the convergence order is approximately equal to the fourth order, which is the same as the spatial theoretical error order given in Theorem 3. In Figure 1, we give the rate of spatial convergence.
Table 1.
The error and convergence order in space for Example 1 with L = 1024.
Figure 1.
The spatial convergence rate curve of Example 1.
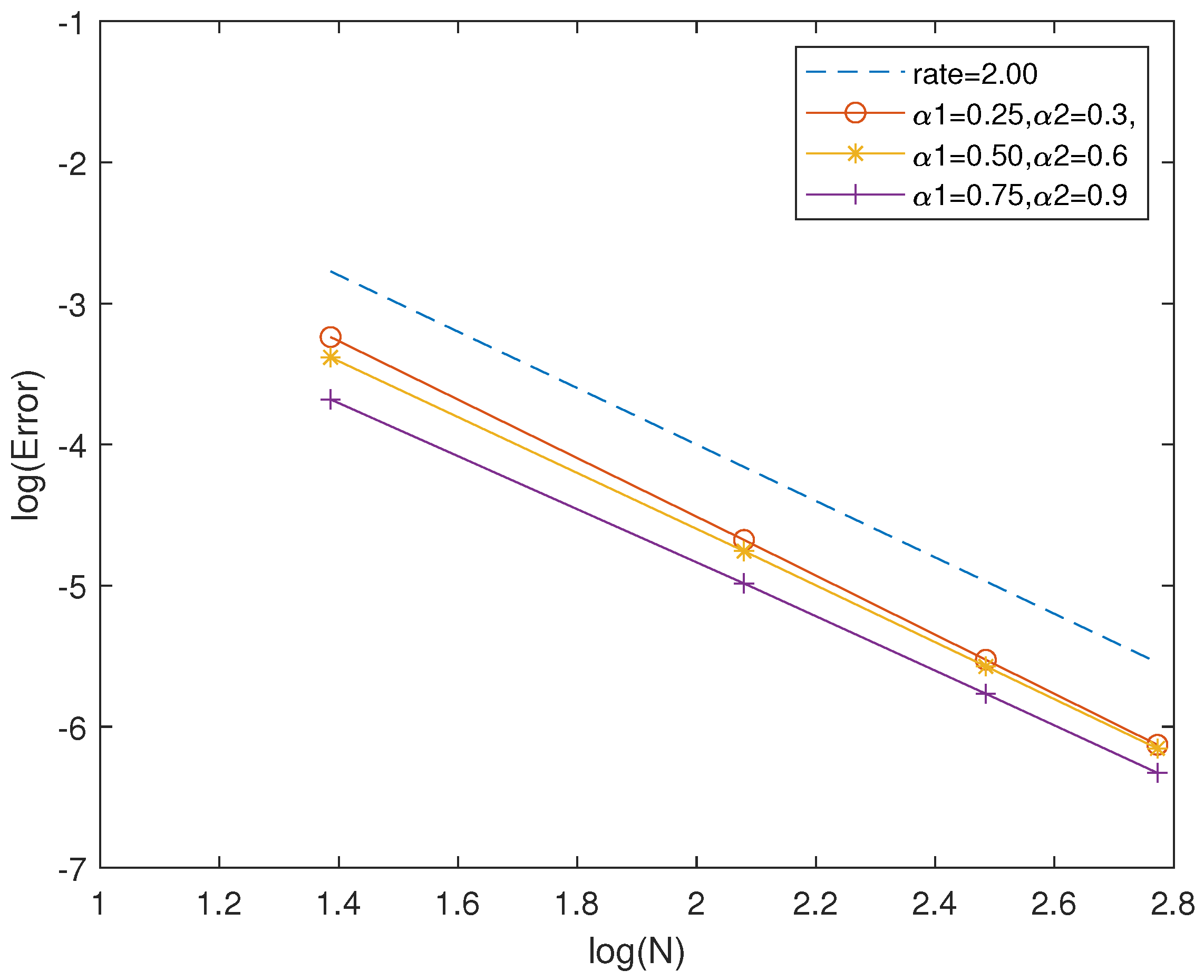
Secondly, we consider the error and convergence order in the time direction and fix the space step size, leting . In Table 2, we also give the error estimation and convergence order in the time direction and CPU time when and , and , and and . It can be seen that the convergence order is about 2, which is the same as the time theory error order of Theorem 3. In Figure 2, we give the rate of temporal convergence.
Table 2.
The error and convergence order in time for Example 1 with M = 64.
Figure 2.
The temporal convergence rate curve of Example 1.
In Example 2, we modify the exponent of t to a variable.
Example 2.
Modify the corresponding function of Example 1 to
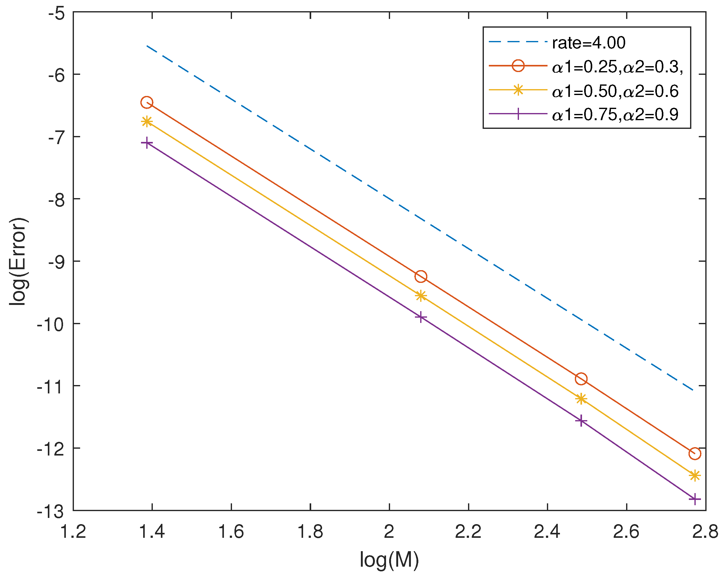
The exact solution is . We can see that the exponent of t in the exact solution is the variable. Table 3 and Table 4 give the error and convergence order of space and time directions, respectively, and Figure 3 and Figure 4 give the convergence rate of space and time, respectively.
Table 3.
The error and convergence order in space for Example 2 with L = 1024.
Table 4.
The error and convergence order in time for Example 2 with M = 64.
Figure 3.
The spatial convergence rate curve of Example 2.
Figure 4.
The temporal convergence rate curve of Example 2.
7. Conclusions
In this work, an ADI compact difference scheme for 2D integro-differential equations with two fractional R-L integral kernels is presented. The stability and convergence of the difference scheme are demonstrated by the discrete energy method. The convergence order of the ADI compact difference scheme is , where is the time step, is the step size of x in the spatial direction, and is the step size of y in the spatial direction. Two numerical example are provided to verify the correctness of the theoretical analysis.
Author Contributions
Conceptualization, H.Z.; methodology, H.Z.; software, H.C.; validation, H.C.; formal analysis, Z.C.; investigation, Z.C.; resources, H.Z.; data curation, H.C.; writing—original draft preparation, Z.C.; writing—review and editing, Z.C.; visualization, H.C.; supervision, H.Z.; project administration, H.Z.; funding acquisition, H.Z. All authors have read and agreed to the published version of the manuscript.
Funding
This work was supported by the National Natural Science Foundation of China (12226340, 12226337, 12126321), the Scientific Research Fund of Hunan Provincial Education Department (21B0550), and the Hunan Provincial Natural Science Foundation of China (2024JJ7146, 2022JJ50083, 2021JJ30209).
Data Availability Statement
Data are contained within the article.
Conflicts of Interest
The authors declare no conflicts of interest.
References
- Lubich, C. Discretized fractional calculus. SIAM J. Math. Anal. 1986, 17, 704–719. [Google Scholar] [CrossRef]
- Pulkkinen, S.; Chandrasekar, V.; Niemi, T. Lagrangian integro-difference equation model for precipitation nowcasting. J. Atmos. Ocean. Technol. 2021, 38, 2125–2145. [Google Scholar] [CrossRef]
- Li, B.; Bewick, S.; Barnard, M.R.; Fagan, W.F. Persistence and spreading speeds of integro-difference equations with an expanding or contracting habitat. Bull. Math. Biol. 2016, 78, 1337–1379. [Google Scholar] [CrossRef] [PubMed]
- Li, B. Multiple invasion speeds in a two-species integro-difference competition model. J. Math. Biol. 2018, 76, 1975–2009. [Google Scholar] [CrossRef] [PubMed]
- Hastings, A. Introduction for special issue: Integro-difference equation models in ecology. Theor. Ecol. 2023, 16, 253. [Google Scholar] [CrossRef]
- Pan, S.; Lin, G. Coinvasion–coexistence travelling wave solutions of an integro-difference competition system. J. Differ. Equ. Appl. 2014, 20, 511–525. [Google Scholar] [CrossRef]
- Lin, G. Traveling wave solutions for integro-difference systems. J. Differ. Equ. 2015, 258, 2908–2940. [Google Scholar] [CrossRef]
- Xu, D.; Qiu, W.; Guo, J. A compact finite difference scheme for the fourth-order time-fractional integro-differential equation with a weakly singular kernel. Numer. Methods Partial. Differ. Equ. 2020, 36, 439–458. [Google Scholar] [CrossRef]
- Zhang, H.; Yang, X.; Xu, D. Unconditional convergence of linearized OSC algorithm for semilinear subdiffusion equation with non-smooth solution. Numer. Methods Partial. Differ. Equ. 2021, 37, 1361–1373. [Google Scholar] [CrossRef]
- Zhang, H.; Yang, X.; Liu, Y.; Liu, Y. An extrapolated CN-WSGD OSC method for a nonlinear time fractional reaction-diffusion equation. Appl. Numer. Math. 2020, 157, 619–633. [Google Scholar] [CrossRef]
- Yang, X.; Wang, W.; Zhou, Z.; Zhang, H. An efficient compact difference method for the fourth-order nonlocal subdiffusion problem. Taiwan. J. Math. 2024, 1, 1–32. [Google Scholar] [CrossRef]
- Shen, X.; Yang, X.; Zhang, H. The high-order ADI difference method and extrapolation method for solving the two-dimensional nonlinear parabolic evolution equations. Mathematics 2024, 12, 3469. [Google Scholar] [CrossRef]
- Huang, C.; An, N.; Yu, X. Unconditional energy dissipation law and optimal error estimate of fast L1 schemes for a time-fractional Cahn–Hilliard problem. Commun. Nonlinear Sci. Numer. Simul. 2023, 124, 107300. [Google Scholar] [CrossRef]
- Huang, C.; Stynes, M. α-robust error analysis of a mixed finite element method for a time-fractional biharmonic equation. Numer. Algorithms 2021, 87, 1749–1766. [Google Scholar] [CrossRef]
- An, Z.; Huang, C. Error Analysis of the Nonuniform Alikhanov Scheme for the Fourth-Order Fractional Diffusion-Wave Equation. Fractal Fract. 2024, 8, 106. [Google Scholar] [CrossRef]
- Zhang, D.; An, N.; Huang, C. Local error estimates of the fourth-order compact difference scheme for a time-fractional diffusion-wave equation. Comput. Math. Appl. 2023, 142, 283–292. [Google Scholar] [CrossRef]
- Shi, Y.; Yang, X.; Zhang, Z. Construction of a new time-space two-grid method and its solution for the generalized Burgers’ equation. Appl. Math. Lett. 2024, 158, 109244. [Google Scholar] [CrossRef]
- Nemati, S.; Lima, P.M. Numerical solution of nonlinear fractional integro-differential equations with weakly singular kernels via a modification of hat functions. Appl. Math. Comput. 2018, 327, 79–92. [Google Scholar] [CrossRef]
- Chen, H.; Xu, D.; Zhou, J. A second-order accurate numerical method with graded meshes for an evolution equation with a weakly singular kernel. J. Comput. Appl. Math. 2019, 356, 152–163. [Google Scholar] [CrossRef]
- Fakhar-Izadi, F. Fully spectral-Galerkin method for the one-and two-dimensional fourth-order time-fractional partial integro-differential equations with a weakly singular kernel. Numer. Methods Partial. Differ. Equ. 2022, 38, 160–176. [Google Scholar] [CrossRef]
- Huang, Q.; Nikan, O.; Avazzadeh, Z. Numerical analysis of alternating direction implicit orthogonal Spline collocation scheme for the hyperbolic integrodifferential equation with a weakly singular kernel. Mathematics 2022, 10, 3390. [Google Scholar] [CrossRef]
- Al-Shara’, S.; Awawdeh, F.; Rawashdeh, E.; Alsayyed, O.; Alshorman, R. Error analysis of arbitrarily high-order stepping schemes for fractional integro-differential equations with weakly singular kernels. Nonlinear Eng. 2024, 13, 20240020. [Google Scholar] [CrossRef]
- Yaghoubi, S.; Aminikhah, H.; Sadri, K. A Novel Operational Matrix Method for Solving the Fractional Delay Integro-Differential Equations with a Weakly Singular Kernel. Iran. J. Sci. 2024, 48, 1595–1611. [Google Scholar] [CrossRef]
- Mohammadi-Firouzjaei, H.; Adibi, H.; Dehghan, M. Computational study based on the Laplace transform and local discontinuous Galerkin methods for solving fourth-order time-fractional partial integro-differential equations with weakly singular kernels. Comput. Appl. Math. 2024, 43, 324. [Google Scholar] [CrossRef]
- Li, C.; Zhang, H.; Yang, X. A new linearized ADI compact difference method on graded meshes for a nonlinear 2D and 3D PIDE with a WSK. Comput. Math. Appl. 2024, 176, 349–370. [Google Scholar] [CrossRef]
- Santra, S. Analysis of a higher-order scheme for multi-term time-fractional integro-partial differential equations with multi-term weakly singular kernels. Numer. Algorithms 2024, 1–47. [Google Scholar] [CrossRef]
- Yang, X.; Zhang, Z. On conservative, positivity preserving, nonlinear FV scheme on distorted meshes for the multi-term nonlocal Nagumo-type equations. Appl. Math. Lett. 2024, 150, 108972. [Google Scholar] [CrossRef]
- Yang, X.; Zhang, Z. Analysis of a new NFV scheme preserving DMP for two-dimensional sub-diffusion equation on distorted meshes. J. Sci. Comput. 2024, 99, 80. [Google Scholar] [CrossRef]
- Yang, X.; Zhang, H.; Zhang, Q.; Yuan, G. Simple positivity preserving nonlinear finite volume scheme for subdiffusion equations on general non-conforming distorted meshes. Nonlinear Dyn. 2022, 108, 3859–3886. [Google Scholar] [CrossRef]
- Yang, X.; Zhang, Z. Superconvergence analysis of a robust orthogonal Gauss collocation method for 2D fourth-order subdiffusion equations. J. Sci. Comput. 2024, 100, 62. [Google Scholar] [CrossRef]
- Yang, X.; Zhang, H. The uniform l1 long-time behavior of time discretization for time-fractional partial differential equations with nonsmooth data. Appl. Math. Lett. 2022, 124, 107644. [Google Scholar] [CrossRef]
- Wang, Z.; Cen, D.; Mo, Y. Sharp error estimate of a compact L1-ADI scheme for the two-dimensional time-fractional integro-differential equation with singular kernels. Appl. Numer. Math. 2021, 159, 190–203. [Google Scholar] [CrossRef]
- Chen, L.; Wang, Z.; Vong, S. A second-order weighted ADI scheme with nonuniform time grids for the two-dimensional time-fractional telegraph equation. J. Appl. Math. Comput. 2024, 1–18. [Google Scholar] [CrossRef]
- Qiu, W.; Xu, D.; Chen, H.; Guo, J. An alternating direction implicit Galerkin finite element method for the distributed-order time-fractional mobile–immobile equation in two dimensions. Comput. Math. Appl. 2020, 80, 3156–3172. [Google Scholar] [CrossRef]
- Luo, M.; Qiu, W.; Nikan, O.; Avazzadeh, Z. Second-order accurate, robust and efficient ADI Galerkin technique for the three-dimensional nonlocal heat model arising in viscoelasticity. Appl. Math. Comput. 2023, 440, 127655. [Google Scholar] [CrossRef]
- Yang, X.; Qiu, W.; Chen, H.; Zhang, H. Second-order BDF ADI Galerkin finite element method for the evolutionary equation with a nonlocal term in three-dimensional space. Appl. Numer. Math. 2022, 22, 497–513. [Google Scholar] [CrossRef]
- Yang, X.; Qiu, W.; Zhang, H.; Tang, L. An efficient alternating direction implicit finite difference scheme for the three-dimensional time-fractional telegraph equation. Comput. Math. Appl. 2021, 102, 233–247. [Google Scholar] [CrossRef]
- Qiao, L.; Qiu, W.; Xu, D. Error analysis of fast L1 ADI finite difference/compact difference schemes for the fractional telegraph equation in three dimensions. Math. Comput. Simul. 2023, 205, 205–231. [Google Scholar] [CrossRef]
- Qiao, L.; Guo, J.; Qiu, W. Fast BDF2 ADI methods for the multi-dimensional tempered fractional integrodifferential equation of parabolic type. Comput. Math. Appl. 2022, 123, 89–104. [Google Scholar] [CrossRef]
- Qiao, L.; Qiu, W.; Xu, D. Crank-Nicolson ADI finite difference/compact difference schemes for the 3D tempered integrodifferential equation associated with Brownian motion. Numer. Algorithms 2023, 93, 1083–1104. [Google Scholar] [CrossRef]
- Qiao, L.; Qiu, W.; Tang, B. A fast numerical solution of the 3D nonlinear tempered fractional integrodifferential equation. Numer. Methods Partial. Differ. Equ. 2023, 39, 1333–1354. [Google Scholar] [CrossRef]
- Xu, D. The global behavior of time discretization for an abstract Volterra equation in Hilbert space. Calcolo 1997, 34, 71–104. [Google Scholar]
- Sun, Z. The Method of Order Reduction and Its Application to the Numerical Solutions of Partial Differential Equations; Science Press: Alexandria, NSW, Australia, 2009. [Google Scholar]
- Li, L.; Zhang, S.; Long, P. Alternating direction implicit compact difference scheme for the two-dimensional fractional evolution equation. Sci. Sin. Math. 2015, 45, 1265–1280. (In Chinese) [Google Scholar] [CrossRef]
- Chen, C.; Thomée, V.; Wahlbin, L.B. Finite element approximation of a parabolic integro-differential equation with a weakly singular kernel. Math. Comput. 1992, 58, 587–602. [Google Scholar] [CrossRef]
Disclaimer/Publisher’s Note: The statements, opinions and data contained in all publications are solely those of the individual author(s) and contributor(s) and not of MDPI and/or the editor(s). MDPI and/or the editor(s) disclaim responsibility for any injury to people or property resulting from any ideas, methods, instructions or products referred to in the content. |
© 2024 by the authors. Licensee MDPI, Basel, Switzerland. This article is an open access article distributed under the terms and conditions of the Creative Commons Attribution (CC BY) license (https://creativecommons.org/licenses/by/4.0/).



