Abstract
Regional integration and pairing assistance are two forms of cross-regional emergency collaboration practice carried out by the Chinese government. Based on the Chinese government’s emergency management practice, evolutionary game models of cross-regional emergency collaboration were constructed. Further, the traditional evolutionary game model was improved by introducing the stochastic process, and Gaussian white noise was introduced as a random disturbance. The stochastic evolutionary game model was constructed, and the existence and stability of the equilibrium solutions of the two kinds of stochastic evolutionary game systems for cross-regional emergency collaboration were verified based on the stability discrimination theorem of stochastic differential equations. We used numerical simulations to simulate the evolution trajectories of the regional integration and the pairing assistance stochastic evolutionary game system. In the regional integration game system, when the efficiency of emergency collaboration, the emergency capital stock, and the externality coefficients are higher, positive emergency strategies are more likely to become the stable state of the game subjects’ strategy selection. In the pairing assistance game system, the efficiency of emergency collaboration, the rewards and benefits from the central government, and the matching degree between governments all had positive effects on the formation of the positive emergency strategies of the game subjects. In addition, the pairing assistance mechanism for sustainable development requires external support from the central government.
1. Introduction
An increasing number of incidents demonstrate that disasters and emergencies have significant cross-regional characteristics, which bring about more complex and severe circumstances and challenges to government emergency management [1,2,3]. Additionally, the economic and social development of different administrative regions is unbalanced and uncoordinated. Cross-regional emergency management appears to be a remedial institutional arrangement designed to address this imbalance and incoordination, which is an important measure for effectively integrating emergency resources, sharing relevant disaster information, and improving the efficiency of the emergency response [4,5,6]. The responses to the cross-regional attributes of emergencies and relationships among the organizations of different regions represent the double connotations of cross-regional emergency management [7].
From an organizational structure perspective, emergency management is a multi-agent structure. Due to the unpredictability, complexity, and dynamic characteristics of disasters and emergencies, different types of emergency organizations often need full communication and coordination to manage them [8]. Additionally, as a complex adaptive system (CAS), emergency management must emphasize multi-agent collaboration to maximize the collective performance. The multi-agent collaboration in emergency management mainly includes intergovernmental collaboration, ministry-level collaboration, and cross-department collaboration. Cross-regional emergency collaboration is a dimension of multi-agent collaboration in emergency management and refers to the emergency management organization format established by different regional governments to jointly respond to disasters by breaking boundary divisions. Due to the uncertainty of when a disaster may occur, cross-regional emergency collaboration has deepened the complexity of the interaction between emergency organizations, to an extent. Horizontal collaboration between governments of different administrative regions and vertical collaboration between governments at different levels are the main modes of cross-regional emergency collaboration.
Haken holds that system complexity is divided into internal and external complexity [9]. The self-organizing mode reflects the nonlinear interactive relationships formed by self-learning and adaptive characteristics in the system. The system can form an ordered state structure through a self-organizing mode. The self-organizing evolution of the adaptive environment and development reflects the active transformation of a CAS. External complexity is the interference of external factors on the internal elements of the system. CASs are very sensitive to interference from external factors. When a system in a chaotic state is affected by external factors, with adjustment and feedback from a CAS, the system will produce emergent characteristics to adapt to the external complexity. The phenomenon of emergent mechanisms generating new system properties, which tend to be stable and orderly, is a passive adaptive process of CASs.
In the Chinese government’s emergency management practice, cross-regional emergency collaboration can also be divided into two forms. First is the active exploration of regional integration development between governments adjacent to administrative regions. Regional integration is an important measure for promoting balanced regional development and reflects the local governments’ (LG) implementation of national regional coordinated development strategies. The main strategies of regional integration emergency collaboration based on active exploration include signing emergency cooperation agreements, establishing joint conference systems, preparing joint emergency plans, strengthening emergency information notifications, carrying out joint emergency responses, and promoting resource sharing. Second is the passive adaptation to a disaster, which involves carrying out paired assistance during the emergency response or post-disaster recovery. Specifically, one national strategy in China involves a province or major city aiding a designated region in need of help, which is the essence of pairing assistance. Correspondingly, the main coping measures in pairing assistance include the deployment of emergency forces, the transportation of emergency resources, and post-disaster recovery and reconstruction support [10,11,12]. Overall, the Chinese government’s cross-regional emergency collaboration has rich practical connotations. It is of great significance in analyzing the characteristics of cross-regional emergency collaboration mechanisms, explaining the implementation effects, and clarifying the relationship between organizations to improve the level of the government’s cross-regional emergency management.
The cross-regional emergency collaboration modes in these two practical experiences perfectly match the self- and hetero-organizing modes of CAS theory. In this context, in this study, we designed an overall framework that integrates the self- and hetero-organizing systems and built a game model to answer the following questions:
- (1)
- From the perspective of the self- and hetero-organizing modes of CAS theory, what are the characteristics of regional integration and pairing assistance emergency collaboration practices during operation and implementation?
- (2)
- Which emergency organizations are involved in cross-regional emergency management? What are the interactions among emergency organizations in regional integration and pairing assistance?
- (3)
- What are the factors influencing the efficiency and performance of regional integration and pairing assistance emergency collaborations?
Based on CAS theory and evolutionary game theory (EGT), we constructed a cross-regional emergency collaboration game model in the Chinese context from the perspectives of self-organizing regional integration and hetero-organizing pairing assistance. Meanwhile, the stochastic evolutionary game models of regional integration and pairing assistance were constructed by adding stochastic disturbance to analyze the changes in and differences between behavior choices of various emergency organizations. Further, the influencing factors of regional integration and pairing assistance emergency collaboration mechanisms were discussed. On this basis, the conclusions summarize and provide a reference point and support for improving the efficiency of cross-regional emergency management.
In general, this study has positive significance for guiding cross-regional emergency management. Firstly, the realization path and main experience of the Chinese government’s cross-regional emergency collaboration mechanism construction can be revealed. Secondly, the dynamic and interactive relationships between various emergency organizations with different region attributes can be obtained. Thirdly, the factors influencing the improvement of cross-regional emergency collaboration performance will be clarified. Thus, the study has both theoretical and practical value for governments to improve their cross-regional emergency collaboration mechanisms.
This paper is organized as follows. We reviewed the literature of CAS theory, emergency collaboration, and EGT in Section 2. Section 3 describes the research problem and proposes the theoretical frameworks that guided this research. Section 4 and Section 5 detail the construction of the stochastic evolutionary game models of regional integration and pairing assistance, respectively, and the analysis of the influencing factors of cross-regional emergency collaboration implementation using numerical simulations. Section 6 is the discussion, which summarizes and extends the research results. In Section 7, the conclusions are presented, and the theoretical contributions and limitations are clarified.
2. Literature Review
With the prominence of cross-regional public affairs, strategies for effectively solving regional problems and improving efficiency in governance have become the focus of governments around the world [13]. As a new governance mode, cross-regional governance breaks the traditional governance mode that is limited by administrative divisions and is effective for solving regional problems and realizing sustainable regional development [14,15]. In the face of the continuous development of cross-regional governance practices, we attempted to depict the connotation of cross-regional governance from different analytical perspectives and public affairs approaches. The overall characteristics, operation mechanism, participants, and the implementation performance of cross-regional governance have been key issues in previous studies [16,17,18]. Further, scholars have carried out a series of studies focusing on the practice and exploration of cross-regional governance in different fields, such as environmental regulations [19], transportation [20], energy [21], public health [22], and social development. Among them, cross-regional emergency management is also at the core of cross-regional public affairs’ management.
Understanding the cross-regional attributes of different emergencies is the primary goal of academic research on cross-regional emergency management. Among them, mobility, propagation, and spatial extensibility are the main cross-regional attributes of different disasters. Specifically, the extension of natural hazards, the flow of environmental pollution, and the spread of epidemics are the core tasks in cross-regional emergency management. Existing studies have mostly examined the types of emergency functions as the core topics, such as the regional site selection of emergency rescue stations, the regional layout of emergency resources, the cross-regional allocation of emergency supplies, and the cross-regional sharing of emergency communications [23,24,25,26,27].
In contrast, cross-regional emergency management has attracted the attention of governments worldwide. Strengthening the construction mechanism of cross-regional emergency management is a common necessity in development trends for governments preparing to deal with cross-regional disasters [28]. Emergency organizations mainly include government departments, social organizations, and the military. The practice of cross-regional emergency management in China can be summarized as regional integration and pairing assistance [11]. Cross-regional emergency management in China is stronger within vertical cooperation between governments but weaker in horizontal cooperation.
In organizational relationships, collaboration is an important way to improve organizational performance. Additionally, collaboration is a process, from mutual cooperation among organizations to mutual reinforcement [29]. The significance of implementing cross-organization collaboration lies in solving the conflicts of interest and integrating heterogeneous resources. The existing studies indicate that emergency collaboration has prominent advantages in improving cooperation effectiveness, communication efficiency, and resource sharing, while also saving on emergency costs [30]. Moreover, cross-regional emergency collaboration is the specific practice of emergency collaboration in the cross-regional governance mode, which emphasizes the sharing of interests and risks. From the perspective of process and system, cross-regional emergency collaboration is embedded in the entire emergency management system for regional disasters. On the one hand, disaster early warning, emergency response, emergency disposal, post-disaster recovery, and other links require the intervention of cross-regional emergency collaboration. On the other hand, cross-regional emergency collaboration is reflected in safety supervision, emergency materials, emergency communication, emergency rescue, and medical treatment.
CAS theory explains the adaptive evolution process of the system from an unstable state to an ordered state by adjusting its behavior and structure under the activity of multiple complex factors of internal nonlinearity and external uncertainty. Comfort introduced CAS theory into the field of emergency management, focusing on the self-organizing behavior of coordinated actions of multiple organizations [31]. Since then, CAS theory has been further applied in emergency management research [32,33,34]. Comfort and Kapucu used CAS theory to illustrate the inter-organizational coordination behavior of organizations in response to extreme events [32]. Zhang et al. verified the structural relationship and evolution process of an adaptive response network in an emergency management system through a case study by applying CAS theory [34]. The existing studies are based on the theoretical framework of CAS and are more likely to depict and understand the internal relationship and endogenous evolution logic from the perspective of the self-organizing evolution of emergency management systems. There are few studies and discussions on external intervention factors of emergency management, and the perspective of the hetero-organizing evolution of emergency management needs to be further explored and demonstrated.
Moreover, the actions and decisions of emergency organizations involved in cross-regional emergency management are dynamic and can mutually affect each other [35]. The analysis of inter-organizational relationships in cross-regional emergency management is of positive significance in characterizing the mode and optimizing the mechanism of cross-regional emergency management. In addition, to describe the differences in the external environment of the game system and the uncertain factors of the game situation, some studies also put forward the construction paths of the stochastic evolutionary game model, which has been applied to the research fields of pollution management [36], technical management [37], and tourism management [38]. Therefore, to describe the inter-organizational relationships, we proposed a stochastic evolutionary game model of regional integration and pairing assistance.
EGT is an important perspective in analyzing the interaction between organizations and has been widely used in environmental governance, engineering management, safety management, and other public affairs. Further, EGT can effectively depict inter-organizational relationships and dynamically evaluate the influencing factors of their evolution in emergency management. Traditionally, EGT has been applied to emergency mobilization [39], safety supervision [40], emergency evacuation [41], emergency rescue [42], and other emergency measures.
In the game model constructed in the relevant studies, the game subjects involved mainly include government organizations, social organizations, enterprises, and the public. Further, emergency costs, emergency incomes, resource allocation, and cooperation efficiency are considered the important factors that affect the emergency strategies. In addition, academics have also tried to introduce organizational relationship conditions, such as reciprocity relationships, reward and punishment relationships, and constraint mechanisms, into the evolutionary game model to further explain the game system. All the above references helped in constructing the stochastic evolutionary game model of cross-regional emergency collaboration and analyzing the interaction and game relationships between governments. In fact, the proposed stochastic process to simulate emergency cooperation has a better goodness of fit than the deterministic evolutionary game model used in previous studies. Due to the strong randomness and disturbance of emergencies, we adopted a stochastic evolutionary game model to analyze cross-regional emergency collaboration.
3. Presentation of Research Problem
Regional integration and pairing assistance constitute the cross-regional emergency collaboration model in the Chinese context. Regional integration emergency collaboration has been formed among governments through establishing the rules and frameworks of emergency linkage. Specifically, the intergovernmental collaboration relationships between neighboring governments (NG) and interdepartmental collaboration relationships between emergency management departments at the same level are the basic forms of regional integrated emergency collaboration. Regional integration emergency collaboration is conducive to resource sharing and coordinated development, and reciprocal cooperation is emphasized among governments. This study abstracts the organizational relationship in regional integration emergency collaboration as the interaction between the LG and the NG.
In response to the emergency needs of major disasters and emergencies, such as the Wenchuan earthquake and COVID-19, the central government (CG) launched pairing assistance during the emergency response or post-disaster recovery phase in China. Although the pairing assistance mechanism was initiated by the CG, the implementation of pairing assistance depends on cross-regional collaboration between donors and recipients. The subjects of pairing assistance emergency collaboration are usually not adjacent, and they differ. Nonreciprocal cooperation between governments is embodied in loss sharing. This study abstracts the organizational relationship in pairing assistance emergency collaboration as the interaction between the LG and the pairing government (PG).
According to CAS theory, hetero-organizing systems depend more on external instructions, while self-organizing systems form a responsible, coordinated, and ordered structure through tacit internal rules. In comparison, self-organizing systems have more open and extensive interaction characteristics than hetero-organizing systems. Self-organizing systems are more inclined to active adaptive system evolution, while hetero-organizing systems embody mechanisms and passive responses to external incentives. Correspondingly, in the regional integration mechanism, institutional norms, trust relationships, and external influences formed between the LG and the NG constitute the main influencing factors for the evolution of the self-organizing system [43,44]. In the pairing assistance mechanism, the CG is the external intervention factor in the formation and evolution of the emergency collaboration system, which reflects hetero-organizing characteristics.
Based on the above theoretical analysis, the research framework of this study was constructed (see Figure 1). The game model of cross-regional emergency collaboration can be divided into the regional integration and the pairing assistance game models. Among them, the game subjects of the regional integration game system are the LG and NG. The game subjects of the pairing assistance game system are the LG and PG. This study focused on the interaction between governments in cross-regional emergency collaboration. On this basis, the influencing mechanism of the efficiency and effectiveness of regional integration and pairing assistance emergency collaborations was further explored to provide theoretical support for cross-regional emergency management.
Figure 1.
Research framework.
In addition, due to the complexity, variability, and evolution of disasters and emergencies, great uncertainty exists in the collaborative and interactive behaviors among emergency organizations. Therefore, the game strategy selection of game subjects is influenced by an unstable external environment, and the change in game subjects’ strategy selection is often nonlinear. In order for this study to better reflect cross-regional emergency management, we introduced stochastic disturbance into the analysis of the cross-regional emergency collaboration game system. That is, by adding white Gaussian noise into the strategy equations of the game subjects, the regional integration and the pairing assistance stochastic evolutionary game models can be obtained.
4. Regional Integration Emergency Collaboration Analysis
4.1. Assumptions and Parameter Settings
We first put forward nine assumptions to describe the basic situation of the LG and NG behavior in the regional integration stochastic evolutionary game model.
Assumption 1.
In the emergency collaboration relationship of regional integration, both the LG and NG are bounded rationally. Additionally, in the process of the game, the LG and NG are in a state of information asymmetry. Under these circumstances, the strategy selections of two game subjects are repeated and randomly matched.
Assumption 2.
The LG, as the subject responsible for emergency management, can either choose the positive emergency collaboration strategy to increase the benefits of emergency actions and reduce the losses of disasters, or it may choose the negative emergency collaboration strategy due to the high costs of emergency preparation and actions. Correspondingly, the probabilities of positive and negative strategies selected by LG are x and 1 − x (0 ≤ x ≤ 1), respectively.
Assumption 3.
Facing the reality of regional integration development, the NG should pay corresponding costs in emergency preparedness and support. Positive and negative emergency collaborations are the game strategy combinations of the NG based on cost and benefit perception. Considering the above, the probabilities of positive and negative strategy selections are y and 1 − y (0 ≤ y ≤ 1), respectively.
Assumption 4.
When the LG deals with emergencies, the costs of manpower, equipment, funds, and other emergency actions are CL (CL > 0). Due to the disasters, the economic and social losses of the LG are L (L > 0). When the LG takes emergency actions, the social stability and economic development gains saved are G (G > 0). Further, to depict the positive significance of the emergency support actions of the NG to the LG, we introduced the support benefits TN (TN > 0), gained by the LG.
Assumption 5.
When the NG provides emergency support to the LG, the costs of manpower, equipment, funds, and other emergency actions are CN (CN > 0). Further, the NG will gain benefits from public praise RN (RN > 0), through support actions.
Assumption 6.
Based on the actual emergency demands, the LG and NG will establish a cross-regional emergency collaboration mechanism centering on regional joint meetings, comprehensive plan formulation, and joint emergency drills in daily emergency preparedness. Specifically, the costs of emergency preparedness for the construction of the cross-regional emergency collaboration mechanism are W (W > 0). Additionally, according to social capital theory, the emergency capital stock formed from institutional construction A1 (A1 > 0), and the emergency capital stock formed from cooperation experience A2 (A2 > 0), can be formed and fixed between the LG and NG. The higher the emergency capital stock is, the more emergency action and emergency support costs can be offset. The actual emergency costs of the LG and NG will be lower. To measure the action intensity of the LG and NG in promoting cross-regional emergency collaboration, the driving coefficient μ (0 ≤ μ < 1) is introduced. Specifically, μ and 1 − μ represent the proportion of emergency collaboration willingness and expenditure of the LG and NG, respectively. Correspondingly, the preparedness costs for the emergency collaboration of the LG and NG are μW and (1 − μ)W, respectively. The accumulated emergency capital stocks are μ(A1 + A2) and (1 − μ)(A1 + A2), respectively.
Assumption 7.
The intensity of the LG’s emergency actions α (0 ≤ α < 1), and the intensity of the NG’s emergency support β (0 ≤ β < 1), are introduced to measure the level of the emergency initiative and emergency response to the disasters, respectively. When the LG chooses the positive emergency collaboration strategy, α = 1. When the NG chooses the positive emergency collaboration strategy, β = 1. Correspondingly, the costs of emergency actions paid by the LG under the negative emergency collaboration strategy are αCL. The benefits obtained from the emergency actions taken by the LG alone and the NG are αG and αTN, respectively. Similarly, in the case of the negative emergency collaboration strategy, the NG needs to pay emergency action costs, βCN, obtain social reputation benefits, βRN, and provide the LG with emergency support benefits, βTN.
Assumption 8.
To evaluate the implementation effect between the LG and NG, we introduced the efficiency of emergency collaboration θ (0 ≤ θ < 1). A higher θ indicates that the LG and NG have a higher matching degree and adaptability in emergency actions, which is manifested as stronger resource sharing and information transmission efficiency. In such cases, the LG will respond more quickly to disasters, and the economic and social losses caused will be reduced to (1 − θ)L.
Assumption 9.
Due to the adjacent geographical location, there is an externality coefficient between the LG and NG, which is oriented to development benefits and disaster losses. In this game model, the externality coefficient between governments is ε (0 ≤ ε < 1). When the geographical distance between the LG and NG is closer and the regional economic connection is stronger, the externality coefficient between the governments is higher. When disasters occur to the LG, the NG takes the external development benefits and disaster losses obtained by the LG as εG and εL, respectively.
4.2. Income Payment Matrix of the Regional Integration Stochastic Evolutionary Game Model
Based on the strategy selection tendency and situation of the LG, along with the NG, in the regional integration stochastic evolutionary game model, the income payment matrix of each game subject under different strategy combinations was calculated and summarized (Table 1).
Table 1.
Income payment matrix of the regional integration stochastic evolutionary game model.
4.3. The Regional Integration Stochastic Evolutionary Game Model
According to Table 1, the expected benefits of the LG and NG from choosing the positive emergency collaboration strategies U11 and U21 are
In contrast, the expected benefits of the LG and NG from choosing the negative emergency collaboration strategies U12 and U22 are
The average expected benefits of the LG and NG are
Then, the replication dynamic equations of the regional integration game model are as follows:
Further, by introducing white Gaussian noise into the regional integration game model, the game system subjected to stochastic disturbance is constructed. The nonlinear Itô stochastic differential equations are obtained as
where is the one-dimensional standard Brown motion. Brown motion is an irregular motion with a stochastic phenomenon, so it can effectively describe the interference of stochastic factors on the LG and NG. When step size , increment follows a normal distribution, . is white Gaussian noise, and are random interference items of the LG and NG, respectively, and is the random disturbance intensity.
4.4. Stability Analysis of Model Equilibrium Solutions
First, we considered the zero-solution state of the system of Equation (9) and analyzed the initial moment, , of the game system, such that . It is clear that:
From Equation (10), it can be seen that . This indicates that there is at least a zero solution to the system of equations, meaning that the regional integration emergency collaboration game system will maintain that initial state in the absence of white noise interference. However, the real world is highly unpredictable, and complex systems are bound to experience interference and be influenced by various internal and external factors. Therefore, according to the stability discrimination theorem of stochastic differential equations, the influence of random disturbances on the stability of the game system was further considered. For a given stochastic differential equation:
Suppose there exists a continuously differentiable function, , and positive constants and , such that , . If there exists a positive constant, , such that , then the p-order moment exponent of the zero solution of this stochastic differential equation is stable and holds for , , where .
For the two equations in the system of Equation (9), we took , , , , , and , and we obtained
The exponential stabilization of the zero-solution moment of the system of Equation (9) needs to be satisfied:
Due to , the above inequality is reduced to the following condition:
4.5. Simulation Analysis of the Regional Integration Stochastic Evolutionary Game System
Since Equation (9) is a set of nonlinear Itô stochastic differential equations, its approximate analytical solutions are not required. Instead, stochastic Taylor expansion can be used to solve them. When , , the interval is divided into , with an average step size of , . Let , , and . The forward Euler method was adopted to expand the stochastic game system in Equation (9) to obtain Equation (15). Accordingly, the simulation analysis was carried out:
Simulation experiments are a powerful research tool when real-world data are difficult to obtain. In this study, we used numerical simulations to simulate the behavior of the LG and NG to observe the internal change mechanism of the regional integration stochastic evolutionary game model. The initial state of the game system was assumed to be (0.5, 0.5). Further, the initial values of each parameter were assumed, where α = 0.5, β = 0.4, θ = 0.5, ε = 0.5, μ = 0.4, CL = 22, CN = 14, W = 20, L = 15, A1 = 8, A2 = 8, G = 20, TN = 12, W = 20, and RN = 5.
4.5.1. How Does the Parameter θ Affect the Regional Integration Game System?
The high-level efficiency of emergency collaboration is the key to improving governments’ emergency benefits and reducing disaster losses. Figure 2 shows the simulation results of the regional integration stochastic evolutionary game model evolution when the efficiency of emergency collaboration θ was set to 0.3, 0.4, 0.5, 0.6, or 0.7. When θ was 0.3, 0.4, or 0.5, the matching degree between the LG and NG in the emergency actions was low. In this scenario, the game subjects believe that disaster losses are inevitable even if they choose the positive emergency collaboration strategy. Therefore, the regional integration game system gradually converged to (0, 0). When θ = 0.6 or θ = 0.7, the LG and NG opened more resources and delivered more information in the process of cooperation. The perception of disaster losses of the game subjects was also further reduced. In this case, the combination of positive strategies was the stable state of the regional integration game system. Additionally, it can be concluded that the evolution convergence speed of the LG to the positive emergency collaboration strategy was faster. In general, with the improvement of the cooperation efficiency coefficient, θ, the stable state of the regional integration game system evolved from (0, 0) to (1, 1).
Figure 2.
The stochastic evolution process of the game system under different efficiencies of emergency collaboration, θ. (a) Evolution process of the LG’s strategy. (b) Evolution process of the NG’s strategy.
4.5.2. How Does the Parameter μ Affect the Regional Integration Game System?
There is a certain difference in the willingness and strength of regional integration emergency collaboration between the LG and NG. When the driving coefficient of emergency collaboration μ is higher, the costs of establishing a cross-regional emergency collaboration mechanism and the accumulated emergency capital stock of the LG are greater. In contrast, the NG is the main proponent of the construction of a cross-regional emergency collaboration mechanism. The change trajectories of the game system, under different driving coefficients of emergency collaboration, μ, are shown in Figure 3. When μ was set to 0.2, 0.8, or 1.0, the regional integration game system converged to (1, 1). Correspondingly, when μ = 0.4 or μ = 0.6, the combination of negative emergency collaboration strategies was the stable state of the regional integration game system. In other words, with the increase in the driving coefficients of emergency collaboration, μ, the strategy selection of the LG and NG experienced an evolution process from “positive” to “negative”, and then to “positive”. In the construction of a regional integration mechanism, the relatively balanced expenditure of the LG and NG could not promote the formation of a stable and positive emergency collaboration willingness. That is, when the driving coefficient of emergency collaboration approached 0.6, it was more likely for the game subjects to behave negatively. Additionally, the LG and NG did not show the phenomenon of separating the strategy selection under the willingness of polarized emergency collaboration. Conversely, the LG and NG were the driving forces for each other in choosing positive strategies. In addition, the intensity of regional integration construction by the LG played a stronger traction role in the improvement of cross-regional emergency collaboration.
Figure 3.
The stochastic evolution process of the game system under different driving coefficients of emergency collaboration, μ. (a) Evolution process of the LG’s strategy. (b) Evolution process of the NG’s strategy.
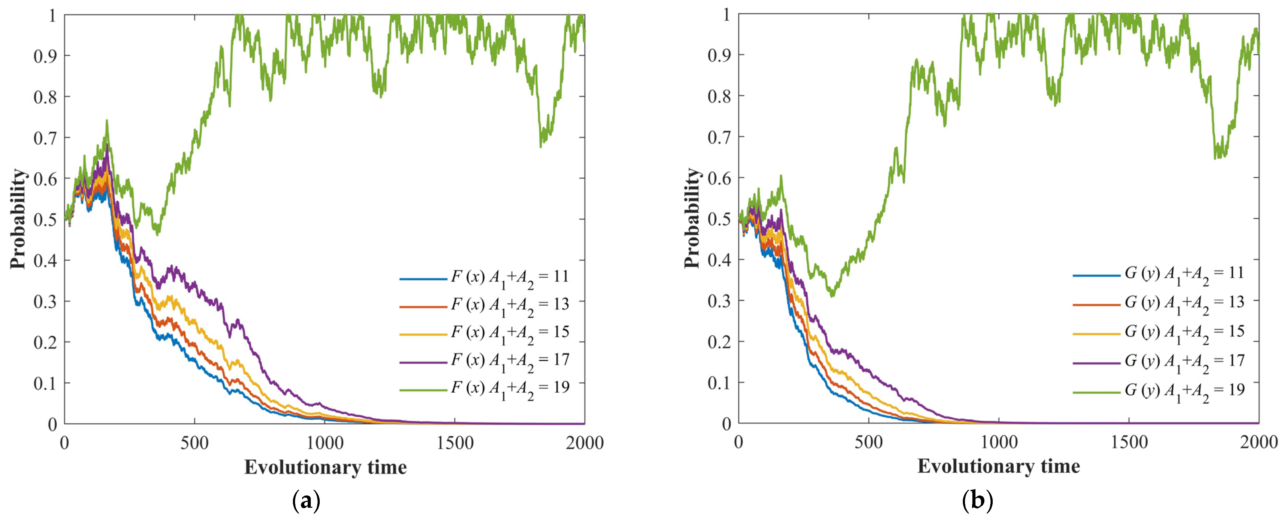
4.5.3. How Does the Parameter A1 + A2 Affect the Regional Integration Game System?
The high emergency capital stock indicated that the LG and NG made more effective efforts in regional joint conferences, comprehensive plan preparation, joint emergency drills, and other emergency preparedness aspects. Further, it accumulated more institutional and trust capital. Moreover, the emergency capital stock of the institutional norms and that of trust relationships are equally important. Figure 4 shows the change trajectories of the game system under different A1 + A2 values. When A1 + A2 = 11, the game subjects’ benefit perception of the negative emergency collaboration strategy was always greater than that of the positive emergency collaboration strategy. Therefore, the stable state of the regional integration game system was (0, 0). With the increase in A1 + A2, the game subjects’ offset costs of emergency response increased, and the actual costs of emergency actions decreased. Therefore, the willingness of the LG and NG to behave negatively decreased, which shows that the model converged slowly toward (0, 0). When A1 + A2 = 19, the difference between the net benefits of the positive and negative emergency collaboration strategies selected by the LG and NG was greater than 0. Under these circumstances, the combination of positive emergency collaboration strategies became the stable state of the regional integration stochastic evolutionary game system.
Figure 4.
The stochastic evolution process of the game system under different emergency capital stocks, A1 + A2. (a) Evolution process of the LG’s strategy. (b) Evolution process of the NG’s strategy.
4.5.4. How Does the Parameter ε Affect the Regional Integration Game System?
The externality coefficient ε is the parameter used to measure the influence of the LG on the NG in terms of development benefits and disaster losses. The simulation results of the game system when ε was set to 0.1, 0.3, 0.6, 0.7, or 0.9 are shown in Figure 5. The evolution trend of Figure 5a,b is consistent, indicating that ε had a similar influence mechanism on the LG and NG. When ε was 0.1, 0.3, or 0.5, the regional integration model gradually changed to (0, 0). At the same time, the convergence time of the LG to the stable strategy was delayed compared with that of the NG. When ε = 0.7 or 0.9, the LG and NG evolved to the positive emergency collaboration strategy, respectively. The model formed a stable strategy combination of (1, 1). Notably, the LG evolved more rapidly toward the stable strategy. The comparative analysis showed that the willingness of the LG to behave positively had a certain traction effect on the NG. With the increase in ε, the convergence speed of the LG and NG to the positive emergency strategy was faster. Therefore, when the LG and NG have more economic development connections and closer geographical distances, the game subjects are more likely to behave positively.
Figure 5.
The stochastic evolution process of the game system under different externality coefficients, ε. (a) Evolution process of the LG’s strategy. (b) Evolution process of the NG’s strategy.
5. Pairing Assistance Emergency Collaboration Analysis
5.1. Assumptions and Parameter Settings
For the pairing assistance game, we also put forward nine hypotheses to describe the interaction between the LG and PG.
Assumption 10.
When an emergency or disaster occurs in the LG area, the CG will initiate pairing assistance based on the actual situation of the emergency response. Under the deployment and dispatching of the CG, the PG will form a cross-regional collaboration mechanism with the LG. There is also information asymmetry between the LG and PG in the implementation of pairing assistance. Additionally, both the LG and PG have the characteristics of bounded rationality, and the strategy selections in the game process are random and independent.
Assumption 11.
In the event of a disaster, the LG can choose a proactive emergency strategy to strengthen cooperation with the PG, thus achieving the goal of reducing disaster losses and increasing emergency benefits. In contrast, the LG may behave negatively because of the high costs of emergency collaboration. Correspondingly, the probabilities of positive and negative behaviors by the LG are p and 1 − p (0 ≤ p ≤ 1), respectively.
Assumption 12.
In response to the CG’s request and fulfilling the strategic task of supporting the LG, the PG will have the option to adopt the positive strategy. Notably, the PG may be limited by the high costs of emergency support and the low-incentive benefits to choose the negative strategy. Specifically, the probabilities of the positive and negative pairing assistance strategies are q and 1 − q (0 ≤ q ≤ 1), respectively.
Assumption 13.
Similarly, the economic and social losses suffered by the LG due to the disasters are assumed to be L (L > 0). To deal with the disaster effectively, the LG will expend a certain number of emergency actions, which are set to CL (CL > 0). Under the positive behavior of the LG, it will obtain certain benefits from emergency actions, which are set to G (G > 0). Moreover, θ (0 ≤ θ < 1) is the variable representing the emergency collaboration efficiency between the LG and PG. When both the LG and PG select the positive strategies, the LG will deal with the disaster more effectively. On this occasion, the disaster losses are (1 − θ)L.
Assumption 14.
When the PG starts pairing assistance, the assistance costs of organization, transportation, and construction are CP (CP > 0). Additionally, the CG will assign certain rewards E (E > 0) and compensations M (M > 0) to the PG. Then, the PG will obtain social reputation benefits from the public, which are set to RP (RP > 0). Correspondingly, when the PG adopts supporting measures, such as emergency rescue, equipment sharing, material supplies, and post-disaster reconstruction, the assistance benefits gained by the LG are TP (TP > 0).
Assumption 15.
Since there has been little interaction between the PG and LG in the past, problems such as unclear coordination mechanisms and poor information transmission between the governments in the process of pairing assistance are more likely to occur. Further, the degree of disorder between the LG and PG gradually increases, which makes the cross-regional emergency collaboration system display a process of entropy production. According to dissipative structure theory, the government needs to expend extra emergency costs to dissipate the entropy production of the emergency collaboration. Therefore, the concept of emergency dissipative costs is proposed. The emergency dissipative costs of the LG and PG are HL (HL > 0) and HP (HP > 0), respectively.
Assumption 16.
In the pairing assistance stochastic evolutionary game model, the intensity of the LG’s emergency actions α (0 ≤ α < 1) is still presented as a parameter representing the level of emergency response. Additionally, we introduced the intensity of the PG’s emergency assistance ω (0 ≤ ω < 1) to indicate the initiative of the emergency assistance. When the LG chooses to be positive, α is equal to 1. In contrast, when the LG chooses to be negative, the costs and benefits of the emergency actions are αCL and αG, respectively. When the PG chooses the positive strategy, ω is equal to 1. Correspondingly, the pairing assistance costs of the PG under the negative strategy are ωCP, and the rewards, compensations, and reputation benefits are ωE, ωM, and ωRP, respectively. Moreover, the assistance benefits gained by the LG decrease to ωTP.
Assumption 17.
After the CG launches the pairing assistance mechanism, the PG and LG form a one-to-one emergency collaboration relationship. However, due to the differences in geographical location and economic development, the emergency collaboration relationship between each group of governments is different. Therefore, to describe the similarity and equilibrium between the LG and PG, we introduced the matching degree of emergency collaboration η (0 ≤ η < 1). When the matching degree is higher, the extra emergency dissipation costs between the governments are lower. Notably, the matching degree will affect the assistance benefits gained by the LG from the PG.
Assumption 18.
Due to the difference in the needs of the LG, the PG may not only provide rapid emergency assistance but may also include physical reconstruction and sustainable economic development after the disaster. To measure the sustainability of the pairing assistance mechanism, the coefficient of sustainability λ (λ > 1) was introduced. The high-level coefficient of sustainability λ, represents the greater pairing assistance costs paid by the PG and the greater assistance benefits gained by the LG, which are λCP and λTP, respectively.
5.2. Income Payment Matrix of the Pairing Assistance Stochastic Evolutionary Game Model
Based on the strategy selection tendency and game situation of the LG and PG in the pairing assistance game model, the income payment matrix was calculated and summarized (Table 2).
Table 2.
Income payment matrix of the pairing assistance stochastic evolutionary game model.
5.3. The Pairing Assistance Stochastic Evolutionary Game Model
According to Table 2, the expected benefits of the LG and PG from choosing the positive emergency collaboration strategies E11 and E21 are
In contrast, the expected benefits of the LG and PG from choosing the negative emergency collaboration strategies E12 and E22 are
The average expected benefits of the LG and PG are
Then, the replication dynamic equations of the LG and PG in the game model were obtained, as follows:
Similarly, the pairing assistance game model subjected to stochastic disturbance was constructed, as follows:
where is the one-dimensional standard Brown motion. When step size , increment follows a normal distribution, . is white Gaussian noise, and are random interference items of the LG and PG, respectively, and is the random disturbance intensity.
5.4. Stability Analysis of Model Equilibrium Solutions
First, we considered the zero-solution state of the system of Equation (24) and analyzed the initial moment, , of the game system, such that . It is clear that
From Equation (25), it can be seen that . This indicates that there is at least a zero solution to the system of equations, implying that the pairing assistance emergency collaboration game system will maintain the initial state in the absence of white noise interference. However, the complexity of reality and the unpredictability in disaster scenarios make the gaming system subject to interference by unpredictable factors. Similar to Section 4.4, the exponential stabilization of the zero-solution moment of the system of Equation (24) needs to be satisfied:
Due to , the above inequality is reduced to the following condition:
5.5. Simulation Analysis of the Pairing Assistance Stochastic Evolutionary Game System
For the pairing assistance game model, we adopted stochastic Taylor expansion to solve it. When , , the interval is divided into , with an average step size of , . Let , , and . The forward Euler method was adopted to expand the stochastic game system in Equation (24) to obtain Equation (28). A numerical simulation analysis was then carried out according to Equation (28):
Similar to the research on the regional integration stochastic evolutionary game model, we used numerical simulations to simulate the behavior of the LG and PG to observe the internal change mechanism of the pairing assistance stochastic evolutionary game model. The initial stage of the pairing assistance game system was set as (0.5, 0.5). Additionally, the initial values of each parameter were assumed, where α = 0.5, ω = 0.5, θ = 0.5, λ = 0.6, η = 0.4, CL = 30, CP = 26, L = 24, HL = 8, HP = 6, G = 16, TP = 12, E = 4, M = 4, and RP = 4.
5.5.1. How Does the Parameter θ Affect the Pairing Assistance Game System?
The change trajectories of the game system under efficiencies of emergency collaboration θ are shown in Figure 6. When θ was set to 0.2 or 0.4, negative emergency collaboration and negative pairing assistance were stable strategies for the pairing assistance game system. In particular, when θ = 0.4, the convergence trend of both the LG and PG toward (0, 0) was not significant at the initial stage of evolution. When θ was set to 0.6, 0.8, or 1.0, the pairing assistance game system converged to (1, 1) with the increasing evolution time. With the increase in θ, the efficiency and effectiveness of the LG and PG increased, and the disaster losses of the LG were reduced. Higher emergency benefits will effectively enhance the initiative of the LG to choose a positive collaboration behavior. Notably, the evolution speed of the LG to the positive behavior gradually accelerated. Correspondingly, since the efficiency of emergency collaboration, θ, had little influence on the expected benefits of the PG, the evolution speed of the PG to the positive pairing assistance strategy was slow. However, driven by the behavior of the LG, the PG also converged to q = 1 under the high efficiency of emergency collaboration, θ.
Figure 6.
The stochastic evolution process of the game system under different efficiencies of emergency collaboration, θ. (a) Evolution process of the LG’s strategy. (b) Evolution process of the PG’s strategy.
5.5.2. How Does the Parameter η Affect the Pairing Assistance Game System?
Due to the differences in the economic level and social development between the LG and PG, the CG should focus on intergovernmental adaptability when launching the pairing assistance mechanism. When the matching degrees of government-to-government η were set to 0.1, 0.2, 0.3, 0.4, or 0.5, the evolution results of the pairing assistance game system obtained from simulation analysis are shown in Figure 7. The higher the matching degree of government-to-government, η, was, the better the coordination and adaptability between the LG and PG. This reflects that the emergency dissipative costs that the game subjects need to expend became lower, and the corresponding assistance benefits of the LG became larger. With the increase in η, the strategy for reaching a stable state in the pairing assistance game system was a gradual process from (0, 0) to (1, 1), where η = 0.4 corresponds to the critical points of strategy selection for the LG and PG. Notably, when η = 0.4 or η = 0.5, the evolution speed of the LG to the stable state was faster, and it converged to p = 1 first. This indicates that the LG was more sensitive to the promotion of the degree of government-to-government matching and that the strategy elicited changes more quickly. In contrast, when η was set to 0.1, 0.2, or 0.3, although there was an evolutionary trend toward a positive emergency collaboration strategy in the early stage of model evolution, the LG eventually chose to behave negatively due to insignificant emergency benefits.
Figure 7.
The stochastic evolution process of the game system under different matching degrees of government-to-government, η. (a) Evolution process of the LG’s strategy. (b) Evolution process of the PG’s strategy.
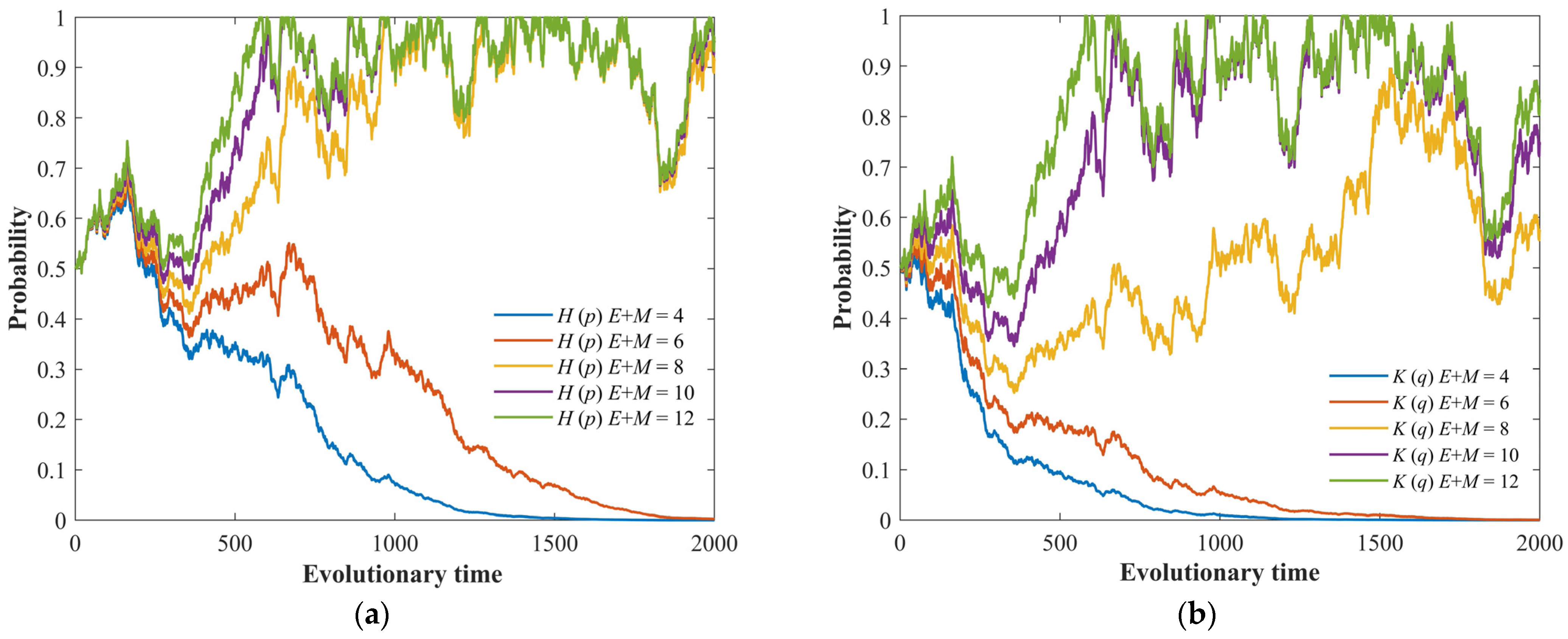
5.5.3. How Does the Parameter E + M Affect the Pairing Assistance Game System?
The rewards E and compensations M provided by the CG are positive measures to stimulate the initiative of the PG to complete the pairing assistance task. Based on the pairing assistance stochastic evolutionary game mode, rewards E and compensations M have the same action mechanism on the strategy selection of each game subject. Therefore, to discuss the effect of the CG’s rewards and compensations on the game system, E + M was set to 4, 6, 8, 10, and 12. With the increase in E + M, the PG’s perception of compensation benefits for the emergency costs increased. In this case, it had a stronger initiative to implement the deployment of the CG and the pairing assistance mechanism. Figure 8 shows that when E + M = 4 or 6, (0, 0) was the stable state of the pairing assistance stochastic evolutionary game system. When E + M was 8, 10, or 12, the pairing assistance model changed to (1, 1). It can be concluded that although the CG’s rewards and compensations did not directly affect the LG’s benefits perception, the LG will also behave positively to respond with the support of the PG. Notably, when the CG’s rewards and compensations were higher, the time and speed of the subjects to reach the positive behavior combination were shorter and faster.
Figure 8.
The stochastic evolution process of the game system under different rewards, E, and compensations, M. (a) Evolution process of the LG’s strategy. (b) Evolution process of the PG’s strategy.
5.5.4. How Does the Parameter λ Affect the Pairing Assistance Game System?
The coefficient of sustainability λ, is the indicator used to describe the continuity of the pairing assistance mechanism and the effectiveness of support measures. The change trajectories of the game system under different coefficients of sustainability, λ, are shown in Figure 9. With increases in λ, the LG and PG evolved into negative behavior. When λ = 0.2 or 0.4, the stable state of the pairing assistance game system was (1, 1). This indicates that in the initial stage of pairing assistance, the LG and PG had a strong collaboration intention to jointly implement emergency rescue and post-disaster recovery actions. When λ = 0.6, the initiative of the LG to choose the positive collaboration strategy was reduced, and the pairing assistance model changed to (0, 1). When λ = 0.8 or 1.0, the benefit perception of the pairing assistance mechanism to the LG and PG decreased. Negative emergency collaboration and negative pairing assistance were stable strategy combinations. In summary, the CG’s implementation of the pairing assistance mechanism can reduce disaster losses and enhance emergency benefits in the nascent stage of disaster emergency management. However, the collaboration mechanism based on the emergency management relationship cannot bring lasting development benefits for the government.
Figure 9.
The stochastic evolution process of the game system under different coefficients of sustainability, λ. (a) Evolution process of the LG’s strategy. (b) Evolution process of the PG’s strategy.
6. Discussion
This study described cross-regional emergency collaboration using CAS theory, which could enrich the study of organizational relationships in emergency management. Notably, the regional integration and pairing assistance game systems constructed in this paper are theoretical abstractions of the concrete practice of the Chinese government’s cross-regional emergency management. Although the research background and model design have typical characteristics of the Chinese situation, the results still provide some practical reference and guidance for governments around the world to improve their cross-regional emergency management.
The regional integration emergency collaboration mechanism is a cooperation framework set up by NG organizations on the premise of coordinated development between regions. The mechanism covers joint meetings, the transmission of early-warning information, joint emergency drills, plan docking, resource sharing, joint emergency responses, and other emergency measures. These self-organizing departments can be divided into the LG and NG according to the location of the disaster. In the regional integration mechanism, when the efficiency of emergency collaboration, emergency capital stock, and externality coefficients are higher, the strategy selections of the LG and NG more easily form the stable state of the positive strategy combination. Firstly, the high-level efficiency of emergency collaboration θ is the critical parameter in improving the performance of government emergency operations. Therefore, the LG and NG will behave positively to reduce the disaster losses. Secondly, according to social capital theory, institutional and trust emergency capital stocks can offset the actual costs of government emergency actions, to a certain extent. Hence, when the collaboration efficiency of the LG and NG is higher in the emergency preparation period, the probability that the positive emergency strategy combination is the stable state is greater. Thirdly, when the externality coefficient ε is higher, the influences of the LG on the NG in terms of development benefits and disaster losses are greater. When a disaster occurs to the LG, the NG will take the initiative to implement a positive emergency strategy to avoid its own possible economic and social losses based on the same emergency targets as the LG. In addition, as regional integration emergency collaboration is often formed based on the active docking between NGs, it is crucial to distinguish the differentiated willingness of each government for emergency collaboration. When the LG and NG share the costs of emergency collaboration equally (the driving coefficient of emergency collaboration μ approaches 0.5), the willingness of the game subjects to form a positive strategy is restrained to a certain extent. In contrast, when there is a large difference in the costs of emergency collaboration preparedness between the LG and NG, the game subjects are the driving force for each other to select positive behaviors, and the driving role of the LG is stronger.
In the face of major disasters and emergencies, the LG is faced with a sudden increase in emergency pressure and demand, which exceeds the existing emergency resource supply and guarantee ability. Through external intervention, the CG prompts the governments not affected by disasters and in good economic condition to quickly form several one-to-one temporary emergency collaboration systems with the affected governments. The former is the PG, while the latter is the LG, and they are often not geographically adjacent. The above one-to-one docking emergency collaboration mechanism is called pairing assistance. The emergency response and recovery stages are the window periods for the intervention of the pairing assistance mechanism. Nonetheless, the PG assists the LG with materials, equipment, personnel, and funds in response to their emergency needs. In the pairing assistance game system, hetero-organizing factors formed by the external intervention of the CG are the leading factors of system evolution. The internal collaboration between the LG and PG also has an impact on the evolution of the model, which is shown as the CG’s rewards and compensations. The degree of government-to-government matching and the efficiency of emergency collaboration all have a positive effect on the positive strategy combination. Specifically, first, the CG can enhance the enthusiasm of implementing pairing assistance by enhancing the benefit perception of the PG. In addition to the task assignment, the increased degree of rewards and compensations for the CG are necessary incentives. Second, when the LG and PG have a better matching degree and adaptability, the game subject needs to pay lower emergency dissipative costs. In this case, the pairing assistance game system is more likely to form the positive strategy combination. Therefore, although the implementation of the pairing assistance mechanism depends on the cross-regional collaboration between governments, it is still a reasonable choice for the CG to choose a PG with a high matching degree with the LG. Third, the high-level efficiency of emergency collaboration can reduce the disaster response time and losses. Therefore, in the pairing assistance mechanism, the LG and PG should fully interact and share resources to maximize the emergency collaboration performance. In addition, due to the emergency needs of the LG and the political responsibility of the PG, the game subjects have a high willingness to cooperate in the initial stage of the pairing assistance. However, with the operation of the pairing assistance, the benefit perception of the LG and PG gradually decreases. To establish sustainable pairing assistance for both the emergency response and post-disaster recovery, the CG needs to maintain late-stage funding and policy support.
7. Conclusions
Regional integration and pairing assistance are the innovative practices of cross-regional emergency collaboration in China. To explore the interaction and behavioral relationship between different game subjects in cross-regional emergency collaboration, here, the regional integration and pairing assistance stochastic evolutionary game models were constructed based on CAS theory and EGT. Then, the decision-making process and influencing factors of the game subjects were explored through a numerical simulation analysis. The research results showed the following:
- (1)
- In the regional integration mode, improving emergency collaboration efficiency is conducive to the formation of a positive cross-regional emergency collaboration mode between the LG and NG. The coordinated measures of emergency preparedness, such as joint conferences, the preparation of contingency plans, and comprehensive drills, can effectively accumulate diversified emergency capital stock and improve the level of regional integration. Notably, governments with a higher economic relevance and closer geographical distance often have the same emergency target in disaster emergency response, which promotes the regional integration of emergency collaboration. In addition, when the LG and NG expend the relatively average preparedness costs of emergency collaboration, the negative strategy combination is easier to form. In contrast, the driving coefficients of emergency collaboration approaching 0 or 1 both increase the likelihood of positive strategies.
- (2)
- The CG should fully consider the coordination between the disaster-struck LG and the PG when launching the pairing assistance mechanism. When the degree of government-to-government matching is higher, the emergency dissipative costs of the game subjects are lower, and the possibility of forming a positive strategy combination is higher. Moreover, the CG’s rewards and compensations can effectively enhance the enthusiasm of the PG to implement emergency support actions. In addition, although the implementation of the pairing assistance mechanism is beneficial to the emergency response after the disaster, it does not bring lasting development benefits for the LG and PG. The formation of a pairing assistance mechanism for sustainable development still requires external support from the CG.
- (3)
- On the one hand, resource sharing is the core of the emergency collaboration model of regional integration. At present, the LG and the NG pay more attention to collaborative deployment during emergency preparedness, and it is still necessary to actively explore the collaborative mechanism during emergency responses. On the other hand, risk and loss sharing are the keys to the emergency collaboration mode of pairing assistance. Strengthening emergency collaboration efficiency, balancing support objectives, and optimizing the categories of support measures are the key concerns of the LG and PG.
In this paper, EGT was introduced into the study of cross-regional emergency collaboration, which provides an avenue for studying the collaboration relationships between emergency organizations. In addition, the regional integration and pairing assistance stochastic evolutionary game models were constructed, forming multiple perspectives to describe cross-regional emergency collaboration relationships. Nevertheless, this study still has some limitations in terms of the theoretical model and data collection. Firstly, based on the practice of cross-regional emergency management in China, we constructed the stochastic evolutionary game model of cross-regional emergency collaboration and preliminarily verified the practical effects and influencing factors. However, we did not explain the similarities and differences in cross-regional emergency collaboration in response to different types of disasters. In the next stage, it is still necessary to calibrate and optimize the model for different disaster types and external environments. Secondly, a numerical simulation tool was adopted to describe and verify the interaction between game subjects in cross-regional emergency collaboration, but there is still a lack of mutual verification in actual disaster cases. Future research needs to collect actual disaster cases and data on different types of disaster emergency management to expand and explain the research issues.
Author Contributions
Conceptualization, J.L.; methodology, J.L. and C.D.; software, C.D.; formal analysis, J.L. and C.D.; investigation, J.L.; writing—original draft preparation, J.L. and C.D.; writing—review and editing, J.L. and C.D.; visualization, C.D.; supervision, J.L. All authors have read and agreed to the published version of the manuscript.
Funding
This research was funded by the National Natural Science Foundation of China, grant number 52272332.
Institutional Review Board Statement
Not applicable.
Informed Consent Statement
Not applicable.
Data Availability Statement
Data are contained within the article.
Conflicts of Interest
The authors declare no conflicts of interest.
References
- Kong, F.; Sun, S.; Lei, T. Understanding China’s Urban Rainstorm Waterlogging and Its Potential Governance. Water 2021, 13, 891. [Google Scholar] [CrossRef]
- Sajjad, M. Disaster resilience in Pakistan: A comprehensive multi-dimensional spatial profiling. Appl. Geogr. 2021, 126, 102367. [Google Scholar] [CrossRef]
- Yabe, T.; Rao, P.S.C.; Ukkusuri, S.V. Regional differences in resilience of social and physical systems: Case study of Puerto Rico after Hurricane Maria. Environ. Plan B Urban Anal. City Sci. 2021, 48, 1042–1057. [Google Scholar] [CrossRef]
- Jordan, A.E. Collaborative Relationships Resulting from the Urban Area Security Initiative. J. Homel. Secur. Emerg. Manag. 2010, 7. [Google Scholar] [CrossRef]
- Noda, T.; Yamori, K.; Harada, K. Development of Disaster Response Applications and Improvements in Regional Disaster Prevention Capacity Based on Collaborative Information Use. J. Disaster Res. 2019, 14, 375–386. [Google Scholar] [CrossRef]
- Wang, Q.; Chen, J. Spatio-temporal evaluation of the emergency capacity of the cross-regional rain-flood disaster in the Yangtze River Economic Belt in China. Sci. Rep. 2021, 11, 2580. [Google Scholar] [CrossRef] [PubMed]
- Liu, J.; Guo, Y.; An, S.; Lian, C. A Study on the Mechanism and Strategy of Cross-Regional Emergency Cooperation for Natural Disasters in China-Based on the Perspective of Evolutionary Game Theory. Int. J. Environ. Res. Public Health 2021, 18, 11624. [Google Scholar] [CrossRef] [PubMed]
- Matthews, G. Disaster management: Sharing experience, working together across the sector. J. Libr. Inf. Sci. 2005, 37, 63–74. [Google Scholar] [CrossRef]
- Haken, H. Visions of synergetics. Int. J. Bifurc. Chaos 1997, 7, 1927–1951. [Google Scholar] [CrossRef]
- Tang, G. Research on transformation from “paired assistance” to “collaborative networks” in post-disaster recovery of 2008 Wenchuan Earthquake, China. Nat. Hazards 2020, 1041, 31–53. [Google Scholar] [CrossRef]
- Zhang, H.; Tang, G. Paired assistance policy and recovery from the 2008 Wenchuan earthquake: A network perspective. Disasters 2021, 45, 126–157. [Google Scholar] [CrossRef] [PubMed]
- Liu, J.; Dong, C.; An, S. Integration and modularization: Research on urban cross-regional emergency cooperation based on the network approach. Int. J. Disaster Risk Reduct. 2022, 82, 103375. [Google Scholar] [CrossRef]
- Nolte, I.M.; Martin, E.C.; Boenigk, S. Cross-sectoral coordination of disaster relief. Public Manag. Rev. 2012, 14, 707–730. [Google Scholar] [CrossRef]
- Li, Y.; Wu, F. The transformation of regional governance in China: The rescaling of statehood. Prog. Plan. 2012, 78, 55–99. [Google Scholar] [CrossRef]
- Emerson, K.; Nabatchi, T.; Balogh, S. An Integrative Framework for Collaborative Governance. J. Public Adm. Res. Theory 2012, 22, 1–29. [Google Scholar] [CrossRef]
- Schulz, S.F.; Blecken, A. Horizontal cooperation in disaster relief logistics: Benefits and impediments. Int. J. Phys. Distrib. Logist. Manag. 2010, 40, 636–656. [Google Scholar] [CrossRef]
- Martin, E.; Nolte, I.; Vitolo, E. The Four Cs of disaster partnering: Communication, cooperation, coordination and collaboration. Disasters 2016, 40, 621–643. [Google Scholar] [CrossRef]
- Nohrstedt, D. Does Adaptive Capacity Influence Service Delivery? Evidence from Swedish Emergency Management Collaborations. Public Manag. Rev. 2015, 17, 718–735. [Google Scholar] [CrossRef]
- Qin, X.; Sun, Y. Cross-Regional Comparative Study on Environmental-Economic Efficiency and Driving Forces behind Efficiency Improvement in China: A Multistage Perspective. Int. J. Environ. Res. Public Health 2019, 16, 1160. [Google Scholar] [CrossRef] [PubMed]
- Wang, A.; Guan, H.; Wang, P.; Peng, L.; Xue, Y. Cross-Regional Customized Bus Route Planning Considering Staggered Commuting During the COVID-19. IEEE Access 2021, 9, 20208–20222. [Google Scholar] [CrossRef] [PubMed]
- Ren, F.; Tian, Z.; Pan, J.; Chiu, Y. Cross-regional comparative study on energy efficiency evaluation in the Yangtze River Basin of China. Environ. Sci. Pollut. Res. 2020, 27, 34037–34051. [Google Scholar] [CrossRef] [PubMed]
- Niu, X.; Yang, Y.; Wang, Y. Does the Economic Growth Improve Public Health? A Cross-Regional Heterogeneous Study in China. Front. Public Health 2021, 9, 704155. [Google Scholar] [CrossRef] [PubMed]
- Wang, Y. Multiperiod Optimal Allocation of Emergency Resources in Support of Cross-Regional Disaster Sustainable Rescue. Int. J. Disaster Risk Sci. 2021, 12, 394–409. [Google Scholar] [CrossRef]
- Feng, J.; Gai, W.; Li, J. Multi-objective optimization of rescue station selection for emergency logistics management. Saf. Sci. 2019, 120, 276–282. [Google Scholar] [CrossRef]
- Shao, M.; Song, Y.; Teng, C.; Zhang, Z. Algorithms and Simulation of Multi-Level and Multi-Coverage on Cross-Reginal Emergency Facilities. Wirel. Pers. Commun. 2018, 102, 3663–3676. [Google Scholar] [CrossRef]
- Lv, T.; Nie, Y.; Wang, C.; Gao, J. Cross-regional emergency scheduling planning for petroleum based on the supernetwork model. Pet. Sci. 2018, 15, 666–679. [Google Scholar] [CrossRef]
- Eom, S.; Umemoto, M.; Suzuki, T. Cross-border evacuation and intermunicipal cooperation during large-scale flood disasters. Int. J. Disaster Risk Reduct. 2022, 79, 103159. [Google Scholar] [CrossRef]
- Kapucu, N.; Augustin, M.; Garayev, V. Interstate Partnerships in Emergency Management: Emergency Management Assistance Compact in Response to Catastrophic Disasters. Public Adm. Rev. 2009, 69, 297–313. [Google Scholar] [CrossRef]
- Bowman, A.O.; Parsons, B.M. Making Connections: Performance Regimes and Extreme Events. Public Adm. Rev. 2013, 73, 63–73. [Google Scholar] [CrossRef]
- Guo, X.; Kapucu, N. Examining collaborative disaster response in China: Network perspectives. Nat. Hazards 2015, 79, 1773–1789. [Google Scholar] [CrossRef]
- Comfort, L.K. Self-Organization in Complex Systems. J. Public Adm. Res. Theory 1994, 4, 393–410. [Google Scholar] [CrossRef][Green Version]
- Comfort, L.K.; Kapucu, N. Inter-organizational coordination in extreme events: The World Trade Center attacks, September 11, 2001. Nat. Hazards 2006, 39, 309–327. [Google Scholar] [CrossRef]
- Guo, X.; Kapucu, N.; Huang, J. Examining resilience of disaster response system in response to COVID-19. Int. J. Disaster Risk Reduct. 2021, 59, 102239. [Google Scholar] [CrossRef]
- Zhang, H.; Zhang, X.; Comfort, L.; Chen, M. The emergence of an adaptive response network: The April 20, 2013 Lushan, China Earthquake. Saf. Sci. 2016, 90, 14–23. [Google Scholar] [CrossRef]
- Li, X.; Su, L.; Wang, J. Effects of Competition Intensities and R&D Spillovers on a Cournot Duopoly Game of Digital Economies. Fractal Fract. 2023, 7, 737. [Google Scholar] [CrossRef]
- Li, J.; Wang, J.; Lee, H.; Zhao, X. Cross-regional collaborative governance in the process of pollution industry transfer: The case of enclave parks in China. J. Environ. Manag. 2023, 330, 117113. [Google Scholar] [CrossRef] [PubMed]
- Zhao, Y.; Du, Y. Technical standard competition: An ecosystem-view analysis based on stochastic evolutionary game theory. Technol. Soc. 2021, 67, 101794. [Google Scholar] [CrossRef]
- Lv, W.; Wang, Y.; Su, C.J.; Chen, M.; Kot, H.W. A comprehensive analysis of package tour quality: A stochastic evolutionary game. Tour. Manag. 2022, 91, 104478. [Google Scholar] [CrossRef]
- Du, L.; Qian, L. The government’s mobilization strategy following a disaster in the Chinese context: An evolutionary game theory analysis. Nat. Hazards 2016, 80, 1411–1424. [Google Scholar] [CrossRef]
- Liu, Q.; Li, X.; Meng, X. Effectiveness research on the multi-player evolutionary game of coal-mine safety regulation in China based on system dynamics. Saf. Sci. 2019, 111, 224–233. [Google Scholar] [CrossRef]
- Sun, D.; Zhang, L.; Su, Z. Evacuate or Stay? A Typhoon Evacuation Decision Model in China Based on the Evolutionary Game Theory in Complex Networks. Int. J. Environ. Res. Public Health 2020, 17, 682. [Google Scholar] [CrossRef] [PubMed]
- Liu, J.; Song, Y.; An, S.; Dong, C. How to Improve the Cooperation Mechanism of Emergency Rescue and Optimize the Cooperation Strategy in China: A Tripartite Evolutionary Game Model. Int. J. Environ. Res. Public Health 2022, 19, 1326. [Google Scholar] [CrossRef] [PubMed]
- Nohrstedt, D. Explaining Mobilization and Performance of Collaborations in Routine Emergency Management. Adm. Soc. 2016, 48, 135–162. [Google Scholar] [CrossRef]
- Roud, E.; Gausdal, A.H.; Asgary, A.; Carlstrom, E. Outcome of collaborative emergency exercises: Differences between full-scale and table top exercises. J. Conting. Crisis Manag. 2021, 29, 170–184. [Google Scholar] [CrossRef]
Disclaimer/Publisher’s Note: The statements, opinions and data contained in all publications are solely those of the individual author(s) and contributor(s) and not of MDPI and/or the editor(s). MDPI and/or the editor(s) disclaim responsibility for any injury to people or property resulting from any ideas, methods, instructions or products referred to in the content. |
© 2024 by the authors. Licensee MDPI, Basel, Switzerland. This article is an open access article distributed under the terms and conditions of the Creative Commons Attribution (CC BY) license (https://creativecommons.org/licenses/by/4.0/).








