Convergence Analysis of Iterative Learning Control for Initialized Fractional Order Systems
Abstract
1. Introduction
- (a)
- This study reveals how and to what extent system initialization weakens the ideal convergence of ILC, and a novel ILC robust convergence condition for initialized fractional order systems is strictly derived.
- (b)
- Combining the ILC tracking problem with the optimization of system initialization, a novel initialization learning strategy is proposed and applied to ensure the perfect tracking of ILC.
- (c)
- The results have broad applicability and better physical interpretability compared with existing literature, as complex system dynamics such as nonlinearity and channel noises are involved, and the connection between initialization and initial states is theoretically clarified.
2. Preliminaries
- is bounded such that for some bounded .
- if .
3. Problem Statement
- If is iteration-varying and thus leads to a non-repetitive initial shift, can ILC convergence be guaranteed? What conditions are required?
- Without considering the disturbances, if the initial history function , how to ensure that simultaneously converges to the ideal ?
4. Main Results
4.1. Bounded Tracking Error for Bounded Iteration-Varying Initialization
- ()
- For all , is bounded on ; this assumption also indicates is bounded since .
- ()
- The tracking error of has a bounded growth speed, i.e., , where M is a constant, .
- ()
- , , and are bounded on .
- ()
- ; , where ; , where .
- Step 4. The convergence results and are derived from the boundedness of . First, it is obvious that the following inequality holds according to Definition 3:which indicates that the boundedness and convergence properties of are exactly the same as . Furthermore, it follows from (37) that is bounded, i.e., for some , since , , , and are all bounded according to Assumptions (-). In addition, if Assumption () holds, then .
- (i)
- If the assumptions (-) hold, then there are some positive constant , and , such that , , ;
- (ii)
- If the assumption () additionally holds, then .
4.2. Perfect Tracking with Initialization Learning Algorithm
5. Numerical Examples
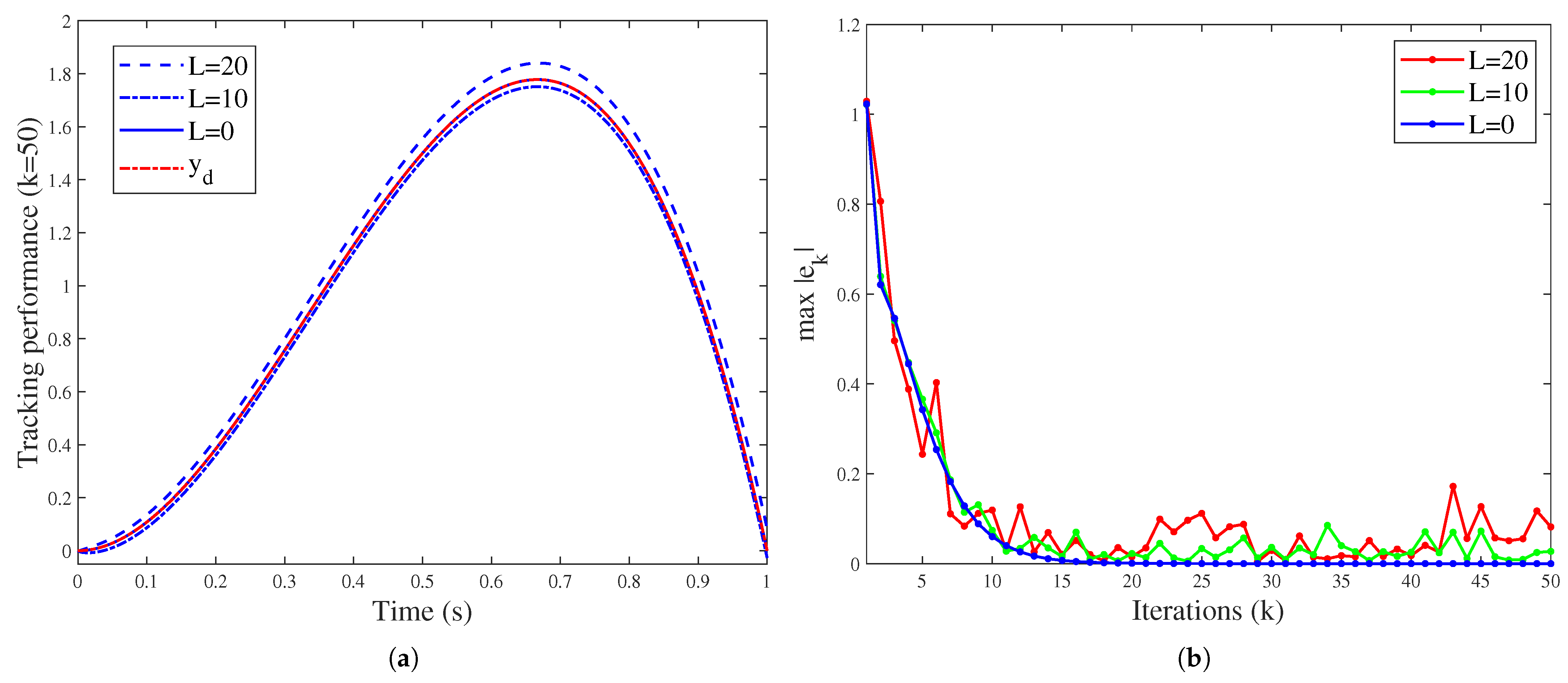
5.1. Example 1
- (1)
- For a constant reference history function (), the initialization trajectory is disturbed by a iteration-varying , such that , and the initial shift . Then, are the tracking errors of and bounded? What factors are related to the size of the errors?
- (2)
- If the reference history function is set as a sinusoidal excitation signal , while the initial initialization path deviates from and further causes a significant initial shift . Then, can the initialization learning strategy (51) be applied to achieve the perfect tracking performance of , and ?
5.2. Example 2
6. Conclusions
Author Contributions
Funding
Data Availability Statement
Conflicts of Interest
References
- Li, Y.; Chen, Y.; Ahn, H.S.; Tian, G. A survey on fractional-order iterative learning control. J. Optim. Theory Appl. 2013, 156, 127–140. [Google Scholar] [CrossRef]
- Zeng, J.; Wang, S.; Cao, W.; Zhang, M.; Fernandez, C.; Guerrero, J.M. Improved fractional-order hysteresis-equivalent circuit modeling for the online adaptive high-precision state of charge prediction of urban-electric-bus lithium-ion batteries. Int. J. Circuit Theory Appl. 2024, 52, 420–438. [Google Scholar] [CrossRef]
- Bhangale, N.; Kachhia, K.B.; Gómez-Aguilar, J. Fractional viscoelastic models with Caputo generalized fractional derivative. Math. Meth. Appl. Sci. 2023, 46, 7835–7846. [Google Scholar] [CrossRef]
- Chen, Y.Q.; Moore, K.L. On Dα-type iterative learning control. In Proceedings of the 40th IEEE Conference on Decision and Control, Orlando, FL, USA, 4–7 December 2001; pp. 4451–4456. [Google Scholar]
- Ye, Y.; Tayebi, A.; Liu, X. All-pass filtering in iterative learning control. Automatica 2009, 45, 257–264. [Google Scholar] [CrossRef]
- Xu, J.X.; Yan, R. On initial conditions in iterative learning control. IEEE Trans. Autom. Control 2005, 50, 1349–1354. [Google Scholar]
- Meng, D.; Moore, K.L. Robust iterative learning control for nonrepetitive uncertain systems. IEEE Trans. Autom. Control 2017, 62, 907–913. [Google Scholar] [CrossRef]
- Wei, Y.S.; Chen, Y.Y.; Shang, W. Feedback higher-order iterative learning control for nonlinear systems with non-uniform iteration lengths and random initial state shifts. J. Frankl. Inst. 2023, 360, 10745–10765. [Google Scholar] [CrossRef]
- Zhang, F.; Meng, D.; Li, X. Robust adaptive learning for attitude control of rigid bodies with initial alignment errors. Automatica 2022, 137, 110024. [Google Scholar] [CrossRef]
- Shokri-Ghaleh, H.; Ganjefar, S.; Shahri, A.M. Robust convergence conditions of iterative learning control for time-delay systems under random non-repetitive uncertainties. IET Contr. Theory Appl. 2023, 17, 144–159. [Google Scholar] [CrossRef]
- Ayatinia, M.; Forouzanfar, M.; Ramezani, A. An LMI approach to robust iterative learning control with initial state learning. Int. J. Syst. Sci. 2022, 53, 2664–2678. [Google Scholar] [CrossRef]
- Chen, D.; Xu, Y.; Lu, T.; Li, G. Multi-phase iterative learning control for high-order systems with arbitrary initial shifts. Math. Comput. Simul. 2024, 216, 231–245. [Google Scholar] [CrossRef]
- Zhang, J.; Meng, D. Iterative Rectifying Methods for Nonrepetitive Continuous-Time Learning Control Systems. IEEE T. Cybern. 2023, 53, 338–351. [Google Scholar] [CrossRef] [PubMed]
- Yan, L.; Wei, J. Fractional order nonlinear systems with delay in iterative learning control. Appl. Math. Comput. 2015, 257, 546–552. [Google Scholar] [CrossRef]
- Wang, L. Iterative Learning Consensus of Fractional-Order Multi-Agent Systems Subject to Iteration-Varying Initial State Shifts. IEEE Access 2019, 7, 173063–173075. [Google Scholar] [CrossRef]
- Luo, D.; Wang, J.; Shen, D. Consensus tracking problem for linear fractional multi-agent systems with initial state error. Nonlinear Anal.-Model Control 2020, 25, 766–785. [Google Scholar] [CrossRef]
- Zhao, Y.; Li, Y.; Zhang, F.; Liu, H. Iterative learning control of fractional-order linear systems with nonuniform pass lengths. Trans. Inst. Meas. Control 2022, 44, 3071–3080. [Google Scholar] [CrossRef]
- Liu, S.; Wang, J. Analysis of iterative learning control with high-order internal models for fractional differential equations. J. Vib. Control 2018, 24, 1145–1161. [Google Scholar] [CrossRef]
- Lan, Y.H.; Wu, B.; Luo, Y.P. Finite Difference Based Iterative Learning Control with Initial State Learning for Fractional Order Linear Systems. Int. J. Control Autom. Syst. 2022, 20, 452–460. [Google Scholar] [CrossRef]
- Li, L. Rectified fractional order iterative learning control for linear system with initial state shift. Adv. Differ. Equ. 2018, 2018, 12. [Google Scholar] [CrossRef]
- Zhao, Y.; Wei, Y.; Chen, Y.; Wang, Y. A new look at the fractional initial value problem: The aberration phenomenon. J. Comput. Nonlinear Dyn. 2018, 13, 121004. [Google Scholar] [CrossRef]
- Maamri, N.; Trigeassou, J. Modelling and initialization of fractional order nonlinear systems: The infinite state approach. In Proceedings of the 10th International Conference on Systems and Control, Marseille, France, 23–25 November 2022; pp. 42–47. [Google Scholar]
- Maamri, N.; Trigeassou, J.C. A Plea for the Integration of Fractional Differential Systems: The Initial Value Problem. Fractal Fract. 2022, 6, 550. [Google Scholar] [CrossRef]
- Hinze, M.; Schmidt, A.; Leine, R.I. Numerical solution of fractional-order ordinary differential equations using the reformulated infinite state representation. Fract. Calc. Appl. Anal. 2019, 22, 1321–1350. [Google Scholar] [CrossRef]
- Remache, D.; Caliez, M.; Gratton, M.; Santos, S.D. The effects of cyclic tensile and stress-relaxation tests on porcine skin. J. Mech. Behav. Biomed. Mater. 2018, 77, 242–249. [Google Scholar] [CrossRef] [PubMed]
- López-Villanueva, J.A.; Rodríguez-Iturriaga, P.; Parrilla, L.; Rodríguez-Bolívar, S. A compact model of the ZARC for circuit simulators in the frequency and time domains. AEU-Int. J. Electron. Commun. 2022, 153, 154293. [Google Scholar] [CrossRef]
- Li, Y.; Chen, Y.Q.; Ahn, H.S. Fractional order iterative learning control for fractional order system with unknown initialization. In Proceedings of the 2014 American Control Conference, Portland, OR, USA, 4–6 June 2014; pp. 5712–5717. [Google Scholar]
- Xu, X.; Chen, J.; Lu, J. Fractional-order iterative learning control for fractional-order systems with initialization non-repeatability. ISA Trans. 2023, 143, 271–285. [Google Scholar] [CrossRef] [PubMed]
- López-Villanueva, J.A.; Rodríguez Bolívar, S. Constant phase element in the time domain: The problem of initialization. Energies 2022, 15, 792. [Google Scholar] [CrossRef]
- Kochubei, A.; Luchko, Y.; Machado, J.A.T. Handbook of Fractional Calculus with Applications-Volume 1: Basic Theory; De Gruyter: Berlin, Germany, 2019. [Google Scholar]
- Lorenzo, C.F.; Hartley, T.T. Initialization of fractional differential equations: Background and theory. In Proceedings of the 2007 Proceedings of the ASME International Design Engineering Technical Conferences and Computers and Information in Engineering Conference, Las Vegas, NV, USA, 4–7 September 2007; pp. 1325–1333. [Google Scholar]
- Lan, Y.H. Iterative learning control with initial state learning for fractional order nonlinear systems. Comput. Math. Appl. 2012, 64, 3210–3216. [Google Scholar] [CrossRef]
- Ye, H.; Gao, J.; Ding, Y. A generalized Gronwall inequality and its application to a fractional differential equation. J. Math. Anal. Appl. 2007, 328, 1075–1081. [Google Scholar] [CrossRef]
- Hosseini, S.M.; Wilson, W.; Ito, K.; Van Donkelaar, C.C. How preconditioning affects the measurement of poro-viscoelastic mechanical properties in biological tissues. Biomech. Model. Mechanobiol. 2014, 13, 503–513. [Google Scholar] [CrossRef]
- Li, Y.; Chen, Y.Q.; Ahn, H.S. Fractional-order iterative learning control for fractional-order linear systems. Asian J. Control 2011, 13, 54–63. [Google Scholar] [CrossRef]
- Hosseininasab, S.; Lin, C.; Pischinger, S.; Stapelbroek, M.; Vagnoni, G. State-of-health estimation of lithium-ion batteries for electrified vehicles using a reduced-order electrochemical model. J. Energy Storage 2022, 52. [Google Scholar] [CrossRef]
- Beltempo, A.; Bonelli, A.; Bursi, O.S.; Zingales, M. A numerical integration approach for fractional-order viscoelastic analysis of hereditary-aging structures. Int. J. Numer. Methods Eng. 2020, 121, 1120–1146. [Google Scholar] [CrossRef]
- Chen, Y.; Wen, C.; Gong, Z.; Sun, M. An iterative learning controller with initial state learning. IEEE Trans. Autom. Control 1999, 44, 371–376. [Google Scholar] [CrossRef]
- Jesus, I.S.; Tenreiro MacHado, J. Development of fractional order capacitors based on electrolyte processes. Nonlinear Dyn. 2009, 56, 45–55. [Google Scholar] [CrossRef]
- Gateman, S.M.; Gharbi, O.; Gomes de Melo, H.; Ngo, K.; Turmine, M.; Vivier, V. On the use of a constant phase element (CPE) in electrochemistry. Curr. Opin. Electrochem. 2022, 36, 101133. [Google Scholar] [CrossRef]
- Kiniman, V.; Kanokwhale, C.; Boonto, P. Modeling cyclic voltammetry responses of porous electrodes: An approach incorporating faradaic and non-faradaic contributions through porous model and constant phase element. J. Energy Storage 2024, 83, 110804. [Google Scholar] [CrossRef]
- He, X.; Sun, B.; Zhang, W.; Fan, X.; Su, X.; Ruan, H. Multi-time scale variable-order equivalent circuit model for virtual battery considering initial polarization condition of lithium-ion battery. Energy 2022, 244, 123084. [Google Scholar] [CrossRef]
- Xue, D. Fractional Calculus and Fractional-Order Control; Science Press: Beijing, China, 2018. [Google Scholar]
- Li, Y.; Zhao, Y. Memory identification of fractional order systems: Background and theory. In Proceedings of the 27th Chinese Control and Decision Conference, Qingdao, China, 23–25 May 2015; pp. 1038–1043. [Google Scholar]
- Zhao, Y.; Li, Y.; Zhou, F. Adaptive memory identification of fractional order systems. Discontin. Nonlinearity Complex. 2015, 4, 413–428. [Google Scholar] [CrossRef]
- Zhao, Y.; Wei, Y.; Shuai, J.; Wang, Y. Fitting of the initialization function of fractional order systems. Nonlinear Dyn. 2018, 93, 1589–1598. [Google Scholar] [CrossRef]







| Size of L | 2 | 1 | 0 |
|---|---|---|---|
| 0.1463 | 0.0972 | 0.0010 | |
| 0.1191 | 0.1044 | 0.0301 |
Disclaimer/Publisher’s Note: The statements, opinions and data contained in all publications are solely those of the individual author(s) and contributor(s) and not of MDPI and/or the editor(s). MDPI and/or the editor(s) disclaim responsibility for any injury to people or property resulting from any ideas, methods, instructions or products referred to in the content. |
© 2024 by the authors. Licensee MDPI, Basel, Switzerland. This article is an open access article distributed under the terms and conditions of the Creative Commons Attribution (CC BY) license (https://creativecommons.org/licenses/by/4.0/).
Share and Cite
Xu, X.; Lu, J.; Chen, J. Convergence Analysis of Iterative Learning Control for Initialized Fractional Order Systems. Fractal Fract. 2024, 8, 168. https://doi.org/10.3390/fractalfract8030168
Xu X, Lu J, Chen J. Convergence Analysis of Iterative Learning Control for Initialized Fractional Order Systems. Fractal and Fractional. 2024; 8(3):168. https://doi.org/10.3390/fractalfract8030168
Chicago/Turabian StyleXu, Xiaofeng, Jiangang Lu, and Jinshui Chen. 2024. "Convergence Analysis of Iterative Learning Control for Initialized Fractional Order Systems" Fractal and Fractional 8, no. 3: 168. https://doi.org/10.3390/fractalfract8030168
APA StyleXu, X., Lu, J., & Chen, J. (2024). Convergence Analysis of Iterative Learning Control for Initialized Fractional Order Systems. Fractal and Fractional, 8(3), 168. https://doi.org/10.3390/fractalfract8030168

