Investigation of a Spatio-Temporal Fractal Fractional Coupled Hirota System
Abstract
1. Introduction
2. Preliminaries
3. General Solution of Fractal Fractional Coupled Hirota System
4. Convergence Analysis
- ;
- .
- (1).
- for , we have
- (2).
- Since we have , and
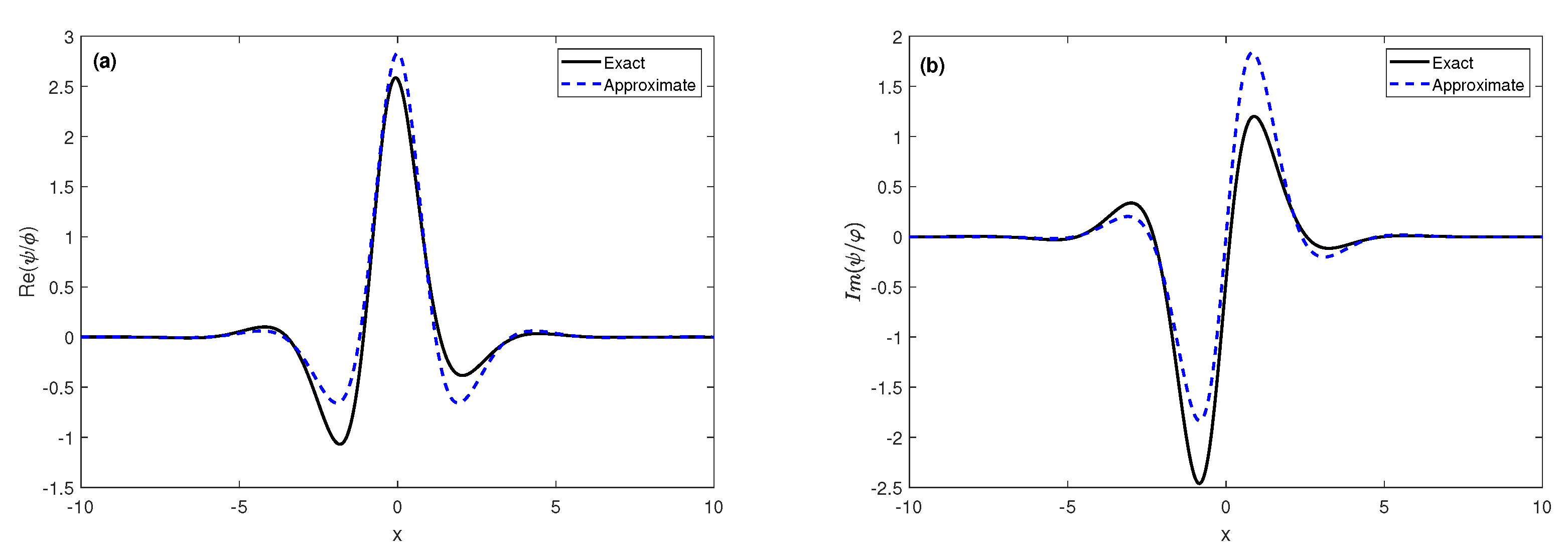
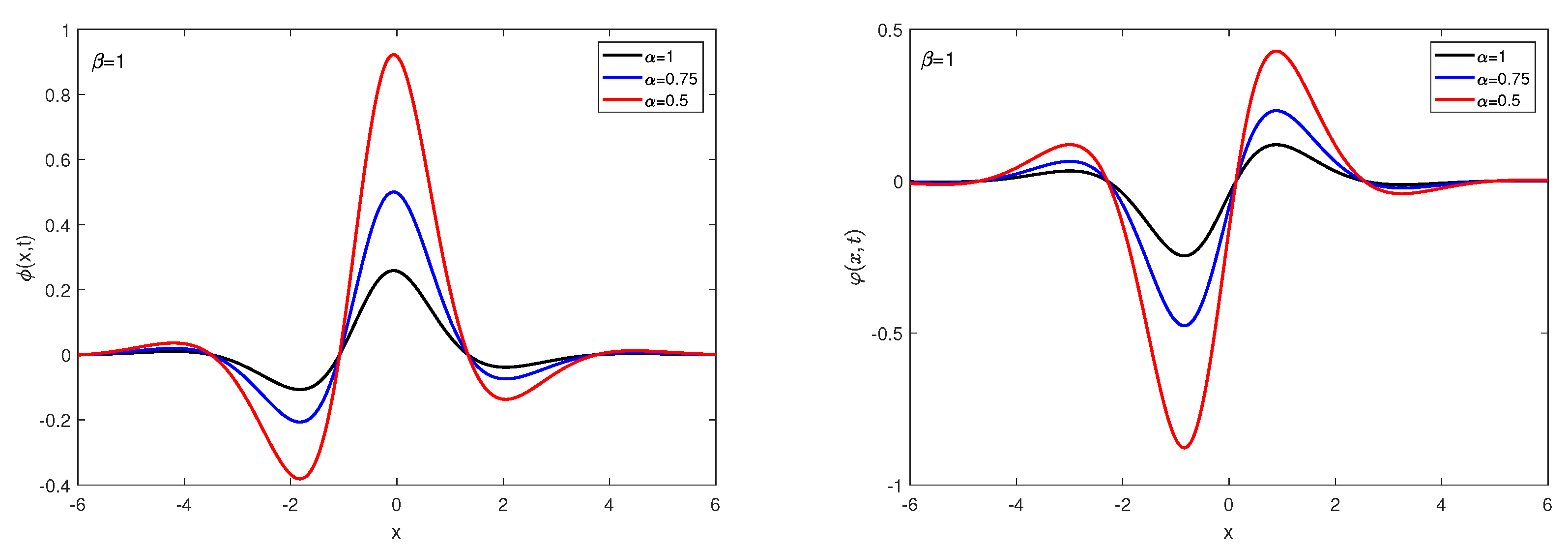
5. Applications
Absolute Error Analysis
6. Results and Discussion
7. Conclusions
Funding
Data Availability Statement
Conflicts of Interest
References
- Lu, D.; Hong, B.; Tian, L. New explicit exact solutions for the generalized coupled Hirota–Satsuma KdV system. Comput. Math. Appl. 2007, 53, 1181–1190. [Google Scholar] [CrossRef]
- Khan, K.; Ali, A.; Irfan, M.; Algahtani, O. Time-fractional electronacoustic shocks in magnetoplasma with superthermal electrons. Alex. Eng. J. 2022, 65, 531–542. [Google Scholar] [CrossRef]
- Irfan, M.; Alam, I.; Ali, A.; Shah, K.; Abdeljawad, T. Electron-acoustic solitons in dense electron-positron-ion plasma: Degenerate relativistic enthalpy function. Results Phys. 2022, 38, 105625. [Google Scholar] [CrossRef]
- Liu, G.-L. New research directions in singular perturbation theory: Artificial parameter approach and inverse-perturbation technique. In Proceedings of the 7th Conference of the Modern Mathematics and Mechanics, Shanghai, China, September 1997; Volume 61, pp. 47–53. [Google Scholar]
- He, J.H. A coupling method of homotopy technique and perturbation technique for nonlinear problems. Int. J. Non-Linear Mech. 2000, 35, 37–43. [Google Scholar] [CrossRef]
- Ali, A.; Gul, Z.; Khan, W.A.; Ahmad, S.; Zeb, S. Investigation of Fractional Order sine-Gordon Equation Using Laplace Adomian Decomposition Method. Fractals 2021, 29, 2150121. [Google Scholar] [CrossRef]
- Hirota, R. Exact envelope-soliton solutions of a nonlinear wave equation. J. Math. Phys. 1973, 14, 805–809. [Google Scholar] [CrossRef]
- Ankiewicz, A.; Soto-Crespo, J.M.; Akhmediev, N. Rogue waves and rational solutions of the Hirota equation. Phys. Rev. E 2010, 81, 046602. [Google Scholar] [CrossRef]
- Li, L.; Wu, Z.; Wang, L.; He, J. High-order rogue waves for the Hirota equation. Ann. Phys. 2013, 334, 198–211. [Google Scholar] [CrossRef]
- Anco, S.C.; Ngatat, N.T.; Willoughby, M. Interaction properties of complex modified Korteweg–de Vries (mKdV) solitons. Phys. D Nonlinear Phenom. 2011, 240, 1378–1394. [Google Scholar] [CrossRef]
- Guo, B.; Ling, L.; Liu, Q.P. Nonlinear schrödinger equation: Generalized darboux transformation and rogue wave solutions. Phys. Rev. E Stat. Nonlinear Soft Matter Phys. 2012, 85, 026607. [Google Scholar] [CrossRef]
- Zhang, Y.; Dong, K.; Jin, R. The Darboux transformation for the coupled Hirota equation. AIP Conf. Proc. 2013, 1562, 249–256. [Google Scholar]
- Huang, X. Rational solitary wave and rogue wave solutions in coupled defocusing Hirota equation. Phys. Lett. A 2016, 380, 2136–2141. [Google Scholar] [CrossRef]
- Jia, T.T.; Chai, Y.Z.; Hao, H.Q. Multi-soliton solutions and Breathers for the generalized coupled nonlinear Hirota equations via the Hirota method. Superlattices Microstruct. 2017, 105, 172–182. [Google Scholar] [CrossRef]
- Xin, W.; Yong, C. Rogue-wave pair and dark-bright-rogue wave solutions of the coupled Hirota equations. Chin. Phys. B 2014, 23, 070203. [Google Scholar]
- Chen, S. Dark and composite rogue waves in the coupled Hirota equations. Phys. Lett. A 2014, 378, 2851–2856. [Google Scholar] [CrossRef]
- Tao, Y.; He, J. Multisolitons, breathers, and rogue waves for the Hirota equation generated by the Darboux transformation. Phys. Rev. E Stat. Nonlinear Soft Matter Phys. 2012, 85, 026601. [Google Scholar] [CrossRef]
- Dai, C.; Zhang, J. New solitons for the Hirota equation and generalized higher-order nonlinear Schrödinger equation with variable coefcients. J. Phys. Math. Gen. 2013, 39, 723–737. [Google Scholar] [CrossRef]
- Bhrawy, A.H.; Alshaery, A.A.; Hilal, E.M.; Manrakhan, W.N.; Savescu, M.; Biswas, A. Dispersive optical solitons with Schrödinger-Hirota equation. J. Nonlinear Opt. Phys. Mater. 2014, 23, 1450014. [Google Scholar] [CrossRef]
- Faddeev, L.; Volkov, A.Y. Hirota equation as an example of an integrable symplectic map. Lett. Math. Phys. 1994, 32, 125–135. [Google Scholar] [CrossRef]
- Eslami, M.; Mirzazadeh, M.A.; Neirameh, A. New exact wave solutions for hirota equation. Pramana J. Phys. 2015, 84, 3–8. [Google Scholar] [CrossRef]
- Saeed, R.K.; Muhammad, R.S. Solving Coupled Hirota System by Using Homotopy Perturbation and Homotopy Analysis Methods. J. Zankoi Sulaimani-Part Pure Appl. Sci. 2015, 201, 201–2017. [Google Scholar] [CrossRef]
- Saeed, R.K.; Muhammad, R.S. Solving Coupled Hirota System by Using Variational Iteration Method. Zanco J. Pure Appl. Sci. 2015, 201, 69–80. [Google Scholar]
- Tasgal, R.S.; Potasek, M.J. Soliton solutions to coupled higher-order nonlinear Schrödinger equations. J. Math. Phys. 1992, 33, 1208–1215. [Google Scholar] [CrossRef]
- Bindu, S.G.; Mahalingam, A.; Porsezian, K. Dark soliton solutions of the coupled Hirota equation in nonlinear fiber. Phys. Lett. A 2001, 286, 321–331. [Google Scholar] [CrossRef]
- Porsezian, K.; Nakkeeran, K. Optical solitons in birefringent fibre-Backlund transformation approach. Pure Appl. Opt. 1997, 6, L7–L11. [Google Scholar] [CrossRef]
- Chen, S.H.; Song, L.Y. Rogue waves in coupled Hirota systems. Phys. Rev. E 2013, 87, 032910. [Google Scholar] [CrossRef]
- Oldham, K.B.; Spanier, J. The Fractional Calculus; Academic: New York, NY, USA, 1974. [Google Scholar]
- Podlubny, I. Fractional Differential Equations; Academic: New York, NY, USA, 1999. [Google Scholar]
- Hilfer, R. Application of Fractional Calculus in Physics; World Scientific: Singapore, 2000. [Google Scholar]
- Zaslavsky, G.M. Hamiltonian Chaos and Fractional Dynamics; Oxford University Press: Oxford, UK, 2005. [Google Scholar]
- Li, L. The cardiovascular promotion of college taekwondo based on fractional differential equation. Appl. Math. Nonlinear Sci. 2023, 8, 1577–1582. [Google Scholar] [CrossRef]
- Jiang, F. Regional Logistics Routing Optimization System Based on Fractional Differential Equation Modeling. Appl. Math. Nonlinear Sci. 2023, 8, 2865–2872. [Google Scholar] [CrossRef]
- Nishant; Bhatter, S.; Purohit, S.D.; Nisar, K.S.; Munjam, S.R. Some fractional calculus findings associated with the product of incomplete N-function and Srivastava polynomials. Int. J. Math. Comput. Eng. 2024, 2, 97–116. [Google Scholar] [CrossRef]
- Atangana, A.; Gómez-Aguilar, J.F. Numerical approximation of Riemann–Liouville definition of fractional derivative: From Riemann–Liouville to Atangana–Baleanu. Numer. Methods Partial. Differ. Equ. 2018, 34, 1502–1523. [Google Scholar] [CrossRef]
- Khader, M.M.; Saad, K.M.; Hammouch, Z.; Baleanu, D. A spectral collocation method for solving fractional KdV and KdV-Burgers equations with non-singular kernel derivatives. Appl. Numer. Math. 2021, 161, 137–146. [Google Scholar] [CrossRef]
- Atangana, A.; Baleanu, D. New fractional derivatives with nonlocal and non-singular kernel; Theory and application to heat transfer model. Therm. Sci. 2016, 20, 763–769. [Google Scholar] [CrossRef]
- Baleanu, D.; Fernandez, A.; Akgül, A. On a Fractional Operator Combining Proportional and Classical Differintegrals. Mathematics 2020, 9, 360. [Google Scholar] [CrossRef]
- Atangana, A.; Akgül, A.; Owolabi, K.M. Analysis of fractal fractional differential equations. Alex. Eng. J. 2020, 59, 1117–1134. [Google Scholar] [CrossRef]
- Atangana, A. Fractal-fractional differentiation and integration: Connecting fractal calculus and fractional calculus to predict complex system. Chaos Solit. Fractals. 2017, 102, 396–406. [Google Scholar] [CrossRef]
- Chen, W.; Sun, H.; Zhang, X.; Korošak, D. Anomalous diffusion modeling by fractal and fractional derivatives. Comput. Math. Appl. 2010, 59, 1754–1758. [Google Scholar] [CrossRef]
- Sun, H.G.; Meerschaert, M.M.; Zhang, Y.; Zhu, J.; Chen, W. A fractal Richards’ equation to capture the non-Boltzmann scaling of water transport in unsaturated media. Adv. Water Resour. 2013, 52, 292–295. [Google Scholar] [CrossRef]
- Saifullah, S.; Ali, A.; Goufo, E.F.D. Investigation of complex behaviour of fractal fractional chaotic attractor with mittag-leffler Kernel. Chaos Solitons Fract. 2021, 152, 111332. [Google Scholar] [CrossRef]
- Akgül, A.; Siddique, I. Analysis of MHD Couette flow by fractal-fractional differential operators. Chaos Solitons Fract. 2021, 146, 110893. [Google Scholar] [CrossRef]
- Atangana, A. Modelling the spread of COVID-19 with new fractal-fractional operators: Can the lockdown save mankind before vaccination? Chaos Solitons Fract. 2020, 136, 109860. [Google Scholar] [CrossRef]
- Algahtani, O.; Saifullah, S.; Ali, A. Semi-analytical and numerical study of fractal fractional nonlinear system under Caputo fractional derivative. AIMS Math. 2022, 7, 16760–16774. [Google Scholar] [CrossRef]
- Adomian, G. Solving Frontier Problems of Physics: The Decomposition Method; Kluwer Academic Publishers: Boston, MA, USA, 1995; p. 19. [Google Scholar]
- Tatari, M.; Dehghan, M. Numerical solution of Laplace equation in a disk using the Adomian decomposition method. Phys. Scr. 2005, 72, 345–348. [Google Scholar] [CrossRef]
- Andrianov, I.V.; Olevskii, V.I.; Tokarzewski, S. A modified Adomian’s decomposition method. Appl. Math. Mech. 1998, 62, 309–314. [Google Scholar] [CrossRef]
- Venkatarangan, S.N.; Rajalakshmi, K. A modification of Adomian’s solution for nonlinear oscillatory systems. Comput. Math. Appl. 1995, 29, 67–73. [Google Scholar] [CrossRef][Green Version]
- Venkatarangan, S.N.; Rajalakshmi, K. Modification of Adomian’s decomposition method to solve equations containing radicals. Comput. Math. Appl. 1995, 29, 75–80. [Google Scholar] [CrossRef][Green Version]
- Hussain, M.; Khan, M. Modified Laplace decomposition method. Appl. Math. Sci. 2010, 4, 1769–1783. [Google Scholar]
- Adomian, G. Modification of the decomposition approach to heat equation. J. Math. Anal. Appl. 1987, 124, 290–291. [Google Scholar] [CrossRef]
- Ata, E.; Onur Kıymaz, I. New generalized Mellin transform and applications to partial and fractional differential equations. Int. J. Math. Comput. Eng. 2023, 1, 45–66. [Google Scholar] [CrossRef]
- Demir, A.; Bayrak, M.A.; Bulut, A.; Ozbilge, E.; Çetinkaya, S. On new aspects of Chebyshev polynomials for space-time fractional diffusion process. Appl. Math. Nonlinear Sci. 2023, 8, 1051–1062. [Google Scholar] [CrossRef]








| x | Time (t) | Exact () | (Equation (22)) | ∣ Exact− | Exact () | (Equation (23)) | ∣ Exact− |
|---|---|---|---|---|---|---|---|
| −4 | 0.01 | 0.0522 | 0.0558 | 0.0037 | 0.0944 | 0.0923 | 0.0021 |
| −3 | −0.2089 | −0.2029 | 0.0060 | 0.2048 | 0.2108 | 0.0060 | |
| −2 | −0.6767 | −0.6842 | 0.0075 | −0.3916 | −0.3786 | 0.0130 | |
| −1 | −0.2089 | −0.2029 | 0.0060 | 0.2048 | 0.2108 | 0.0060 | |
| 0 | −0.6767 | −0.6842 | 0.0075 | −0.3916 | −0.3786 | 0.0130 | |
| 1 | 0.4745 | 0.4578 | 0.0167 | −1.8295 | −1.8349 | 0.0054 | |
| 2′ | 2.8257 | 2.8284 | 0.0028 | −0.0481 | −0.0476 | 0.0006 | |
| 3 | 0.5043 | 0.4875 | 0.0168 | 1.7033 | 1.7071 | 0.0037 | |
| 4 | −0.6130 | −0.6195 | 0.0065 | 0.3831 | 0.3706 | 0.0125 | |
| −4 | 0.05 | 0.0688 | 0.0705 | 0.0017 | 0.1067 | 0.1037 | 0.0030 |
| −3 | −0.2286 | −0.2222 | 0.0065 | 0.2569 | 0.2570 | 0.0001 | |
| −2 | −0.8197 | −0.8137 | 0.0061 | −0.4025 | −0.3947 | 0.0078 | |
| −1 | 0.3913 | 0.3984 | 0.0071 | −2.0833 | −2.0905 | 0.0072 | |
| 0 | 2.7608 | 2.8284 | 0.0676 | −0.2357 | −0.2379 | 0.0022 | |
| 1 | 0.5428 | 0.5469 | 0.0041 | 1.4599 | 1.4515 | 0.0084 | |
| 2 | −0.4998 | −0.4900 | 0.0098 | 0.3619 | 0.3545 | 0.0074 | |
| 3 | −0.1793 | −0.1739 | 0.0054 | −0.1430 | −0.1415 | 0.0016 | |
| 4 | 0.0331 | 0.0338 | 0.0007 | −0.0778 | −0.0753 | 0.0024 | |
| −4 | 0.1 | 0.0951 | 0.0888 | 0.0063 | 0.1231 | 0.1178 | 0.0053 |
| −3 | −0.2520 | −0.2463 | 0.0057 | 0.3370 | 0.3148 | 0.0221 | |
| −2 | −1.0292 | −0.9755 | 0.0537 | −0.4007 | −0.4148 | 0.0140 | |
| −1 | 0.2403 | 0.3241 | 0.0838 | −2.3828 | −2.4100 | 0.0272 | |
| 0 | 2.5716 | 2.8284 | 0.2569 | −0.4422 | −0.4757 | 0.0335 | |
| 1 | 0.5579 | 0.6212 | 0.0632 | 1.1818 | 1.1320 | 0.0498 | |
| 2 | −0.3827 | −0.3282 | 0.0546 | 0.3302 | 0.3344 | 0.0042 | |
| 3 | −0.1558 | −0.1498 | 0.0060 | −0.1039 | −0.0837 | 0.0202 | |
| 4 | 0.0215 | 0.0155 | 0.0060 | −0.0655 | −0.0612 | 0.0044 |
Disclaimer/Publisher’s Note: The statements, opinions and data contained in all publications are solely those of the individual author(s) and contributor(s) and not of MDPI and/or the editor(s). MDPI and/or the editor(s) disclaim responsibility for any injury to people or property resulting from any ideas, methods, instructions or products referred to in the content. |
© 2024 by the author. Licensee MDPI, Basel, Switzerland. This article is an open access article distributed under the terms and conditions of the Creative Commons Attribution (CC BY) license (https://creativecommons.org/licenses/by/4.0/).
Share and Cite
Algahtani, O.J. Investigation of a Spatio-Temporal Fractal Fractional Coupled Hirota System. Fractal Fract. 2024, 8, 178. https://doi.org/10.3390/fractalfract8030178
Algahtani OJ. Investigation of a Spatio-Temporal Fractal Fractional Coupled Hirota System. Fractal and Fractional. 2024; 8(3):178. https://doi.org/10.3390/fractalfract8030178
Chicago/Turabian StyleAlgahtani, Obaid J. 2024. "Investigation of a Spatio-Temporal Fractal Fractional Coupled Hirota System" Fractal and Fractional 8, no. 3: 178. https://doi.org/10.3390/fractalfract8030178
APA StyleAlgahtani, O. J. (2024). Investigation of a Spatio-Temporal Fractal Fractional Coupled Hirota System. Fractal and Fractional, 8(3), 178. https://doi.org/10.3390/fractalfract8030178
