Abstract
Carbon fiber-reinforced polymer (CFRP) composites are highly functional composites which comprise two major components: the polymer matrix and the carbon fiber. Lightweight and having high strength, CFRPs have been used heavily in various industries such as wind, aerospace and automobile. The increasing demand and extensive use led to a huge quantum of CFRP waste from both end-of-life and during manufacturing. Out of this waste, only 2% is recycled, the rest are disposed of via incineration and/or landfill. This has raised significant environmental and sustainability concerns. The current state-of-the-art way of recycling CFRPs is by pyrolysis. However, through the pyrolysis process, the polymer used in the CFRPs, which accounts for around 65–75 wt.%, cannot be recovered and reused. In most publications, the focus on CFRP recycling was on the recovering of the more valuable carbon fiber. The polymer matrix is mostly burnt off, in the case of pyrolysis, or disposed. To obtain full circularity, recovering and reusing both the carbon fiber and polymer is necessary. In this paper, we primarily focus on the recovered bisphenol-A type of epoxy polymer (REP) obtained from solvolysis digestion of CFRP and explore the feasibility of reusing this REP by blending it with pristine epoxy in various compositions to create new materials. The physical and mechanical properties, including decomposition temperatures (Td), glass transition temperatures (Tg), storage modulus, loss modulus, flexural and tensile strength, were characterized using thermal gravity analyzer (TGA), differential scanning calorimetry (DSC), dynamic mechanical analyzer (DMA) and Instron universal tester. The results indicate a decrease in glass transition and decomposition temperature, and mechanical properties as the blending composition increases. This suggests that the total blending composition should not exceed 10 wt.%, with an optimal range potentially falling between 5 to 6 wt.%.
1. Introduction
Carbon fiber reinforced polymer (CFRP) composites are highly functional composites comprised of two major components: the polymer matrix and the carbon fiber [1,2,3]. Depending on the intended application, CFRP may consist of a thermoplastic or a thermoset matrix [4,5]. Thermoplastic based CFRP allows for material remelting and multiple reshaping opportunities [6,7,8], thereby simplifying the recycling process. In contrast, thermosetting polymers, which are renowned for their superior properties such as excellent mechanical strength, chemical resistance and dimensional stability [9,10], present significant recycling challenges. Unlike thermoplastics, thermosets cannot be remelted or reshaped once curing occurred due to their three-dimensional crosslinking network structure [11,12]. Consequently, most end-of-life CFRP thermosets are subjected to traditional disposal methods such as landfilling or incineration [8,13]. Incineration method results in large pollutant emissions and toxins [14], while landfilling has a detrimental impact on water, soil, and air quality [15]. With the growing demand for CFRP and the increasing waste output, conventional disposal methods pose a severe environmental and sustainability threat [16].
With the recently growing environmental concerns as well as social pressures, substantial effort has been focused on addressing recycling of thermoset CFRP wastes. These efforts generally fall into three categories: mechanical recycling, thermal recycling, and chemical recycling methods. Mechanical recycling involves crushing, shredding, grinding and/or milling CFRP waste into fine particles for filler applications [17]. However, due to inconsistent fiber size, significant strength reduction, and poor fiber-matrix bonding, repurposing for high load applications is not recommended [18]. Thermal recycling methods focus mainly on the recovery of carbon fibers by breaking down the polymer matrix [17,19]. A common thermal processing method is pyrolysis, which retains the carbon fiber mechanical properties to some extent. However, such method demands substantial energy consumption to maintain temperatures above 500 °C. Moreover, sustainability problems would arise due to the emitted gases and the open-loop nature where polymer matrix recovery is neglected. The chemical recycling route (solvolysis) utilizes a solvent to degrade the polymer matrix to separate the components of the composite where a good retainment of fibers has been obtained [17]. In comparison to thermal and mechanical processing, chemical recycling can be a closed-loop process, allowing the recovery of both the fibers and the degraded polymer matrix [20], as well as reusing the solvent involved.
There is a plethora of literature that highlights and focuses on the recycling of composites. Asmatula, Twomey and Overcash [21] provided an analysis of composite recycling through mechanical, chemical, and thermal processing methods as well as including the new concept of “direct structural composite recycling” and the reutilization of the products into the same applications. Wang and his team [22] investigate the chemical recycling of epoxy resin CFRP composite through selective cleaving of the C-N bonds. Pickering [23] provides an overview of current recycling processes for thermoset composites. Morici and Dintcheva [24] investigate the recycling of thermoset materials and composites through thermal, chemical, and mechanical methods, highlighting a new approach of altering the organic matrix of thermosets with chemical linkers, making them easier to break them down while retaining mechanical properties.
While existing literature predominantly focuses on recovering valuable carbon fiber from CFRP, this paper takes a distinctive approach. It seeks to diverge from the mainstream by concentrating on the recovered epoxy polymer (REP) obtained from the peracetic acid digestion method. Epoxy is a widely recognized thermosetting polymer known for its excellent mechanical, thermal, and chemical properties when cured. Its application extends across a broad spectrum of high-performance uses, including structural applications, the aerospace industry, and the production of body armor. To enhance or modify these properties to meet the requirements of specific applications, the method of blending epoxy polymers with other substances is a method employed to create new materials. There are various research studies that explore epoxy polymer blending, which incorporates different materials into the epoxy polymers. Robert and team [25] have studies of blending a bisphenol A-based epoxy and various multifunctional epoxies cured with anhydride hardener. In their study, the mechanical properties, fracture mechanics and thermal properties of the modified polymers were investigated. It was found that only a small quantity of multifunctional epoxy systems is required to improve the tensile strength of a neat bisphenol-A/anhydride epoxy system without affecting its other mechanical properties, such as glass transition temperature and elastic modulus. A study in bio-phenolic resin with epoxy resin system was reported by Hassan et al. [26]. In this study, the mechanical and morphological properties of the bio-phenolic/epoxy polymer blends in different loadings were analyzed. Their results showed that the mechanical properties of the polymer blends perform better as compared to neat epoxy and phenolic. Moreover, there was no sign of phase separation being observed. Wilson and team [27] did a comparative study on bio-epoxy composites containing various amounts of graphene oxide (GO) fillers with the pure bio-epoxy. The tensile and flexural properties of the epoxy blends were evaluated and was found that just a low amount of GO (less than 0.6 wt.%) was sufficient to improve the performance. Aniskevich and team [28] incorporate three additives containing core–shell rubber (CSR) nanoparticles into the epoxy resin. The tensile properties, fracture toughness and glass transition temperature of the epoxy and epoxy-based CFRP were then investigated. It was found that with the addition of 4 wt.% of CSR nanoparticles, the fracture toughness of the epoxy was significantly improved by 60–108%. In addition, the effect of adding CSR nanoparticles also lead to a substantial improvement in the interlaminar fracture toughness of the CFRP by 32–53%.
However, the recovery and potential reuse of the thermoset matrix from amine-cured composites remains a relatively unexplored field that requires further investigation. This paper explored the feasibility of incorporating recovered epoxy polymer (REP) into pristine epoxy resin by optimizing the blending parameters, creating new materials, and contributing to the sustainability and eco-friendliness of materials recycling. The reuse of the REP together with the recovery of carbon fibers and solvent achieved the closed loop process of CFRP composite waste treatments.
2. Materials and Methods
2.1. Material
The DER-332® epoxy resin was purchased from Sigma-Aldrich, Singapore. The curing agent, LC-100, a modified polymeric tertiary amine was purchased from ACCI Specialty Materials (AC Catalysts). The 3-ply CFRP composite used for recycling purposes was made in-house. The virgin carbon fibers utilized in the CFRP composite were purchased from Hexcel. All other chemicals used were bought from Sigma-Aldrich without further treatment.
2.2. Procedures
2.2.1. Sample Preparation
A 3-ply carbon fiber-reinforced polymer (CFRP) was fabricated using the epoxy impregnated method. Then, the 3-ply CFRP was digested using the reported method [29], resulting in the recovery of carbon fibers, and a mixture of solvent and recovered epoxy polymer (REP). The REP was separated from the solvent using rotary evaporation. Then, the viscous liquid obtained was filtered and further dried under vacuum at 70 °C overnight, resulting in a solid material. Subsequently, a re-blending process was carried out using a solvent where REP was dissolved in acetone at a ratio of 1.05 g to 1.5 mL. Following complete dissolution, the mixture was added into the degassed mixture of DER-332 and LC-100 to obtain a homogeneous mixture. REP was blended with pristine epoxy at mass ratio of 1, 3, 5 and 10 wt.%. Then, this mixture was poured into a silicone mold and placed in a vacuum oven. The temperature profile was set as follows: 70 °C for 2 h, followed by 120 °C for 1 h and finally 180 °C for 3 h. The fully cured specimens were then used for further testing.
2.2.2. Physical and Chemical Characterization
The FTIR spectrum was obtained using Bruker Vertes 80 V Fourier Transform Infrared (FTIR) Spectroscopy analyzer in ATR mode. GPC data was obtained using Agilent 1260 Infinity II GPC/SEC System with THF as the mobile phase. Thermal analysis equipment used in this work is from TA Instruments. Thermo-gravimetric Analyzer TGA Q500 was used to determine the thermal stability of the material. The temperature was increased from room temperature to 800 °C with a ramp rate of 20 °C/min in air. Photo Differential Scanning Calorimeter (PDSC) Q100 was used to determine the heat flow and Tg. The temperature was increased from room temperature to 200 °C, with a ramp rate of 10 °C/min. Dynamic Mechanical Analyzer DMA Q800 was used to investigate the thermo-mechanical properties of cured specimens. The temperature range was set from 30 °C to 200 °C with a ramp rate of 3 °C/min. For the measurement of loss modulus (G’) and tan δ, the frequency was fixed at 1.0 Hz. The initial pre-load force and amplitude were 0.01 N and 10 µm, respectively. Tensile and flexural tests of the REP were conducted on Instron Universal Tester Double column 5569 following the ASTM D638 and ASTM D790, respectively.
3. Results and Discussion
3.1. Blending and Curing Process
Gel permeation chromatography (GPC) analysis was initially conducted to confirm the degradation of the epoxy. The recovered epoxy polymer had a molecular weight (Mw) and molecular number (Mn) of 787 g/mol and 733 g/mol, respectively, and a polydispersity index (PDI) of 1.074, indicating complete degradation.
It was observed that solid REP neither dissolves nor distributes evenly in pristine epoxy. It tends to settle at the bottom of the pristine epoxy during the degassing process at room temperature, or it causes the whole mixture to solidify at around 70 °C. To address this problem, acetone was chosen as the solvent to dissolve the REP before blending. The optimized and minimal solvent amount was found to be 1.5 mL of acetone per 1.05 g of REP. To achieve homogenously fully cured re-blended epoxy, a series of curing steps were incorporated into the curing profile to optimize the process. The specimens were initially heated at 70 °C for 2 h, then at 120 °C for 1 h and finally at 180 °C for 3 h. Figure 1 gives the image of re-blended epoxy with different REP compositions. When increasing the amount of REP added, the color of the re-blended epoxy changed from light yellow to a progressively darker shade of brown.
Figure 1.
Image of bar shape (ASTM D790) of re-blended epoxy with different REP compositions.
3.2. Chemical Characterizations of the Re-Blended Epoxy
FTIR
The FTIR spectrum was given in Figure 2. Given that the blending mass ratio of REP was less than 10%, the differences in FTIR spectrum were not notably significant. The peaks around 2900 cm−1 correspond to the stretching C-H bonds that are present in both the pristine epoxy resin and the re-blended epoxy resin. The peak at 915 cm−1 is assigned as the vibration C-O bonds of the oxirane ring in the epoxy polymer. The presence of peaks between 1625 cm−1 and 1600 cm−1 indicates stretching C=C bonds of the aromatic rings, while the presence of a band at 1500 cm−1 corresponds to stretching C-C bonds belonging to the aromatic ring. The presence of a peak at 1240 cm−1 corresponds to the stretching C-N band. Additionally, bands between 1100 cm−1 and 1000 cm−1 correlate to the ether linkages. Peaks at 1000 cm−1 and 800 cm−1 indicate the presence of C=C bending bonds [30].
Figure 2.
(a) FTIR spectrum of pristine and re-blended epoxy at different blending ratio (b) Fingerprint range enlarged spectrum.
3.3. Thermal Characterization of the Re-Blended and Pristine Epoxy
3.3.1. TGA
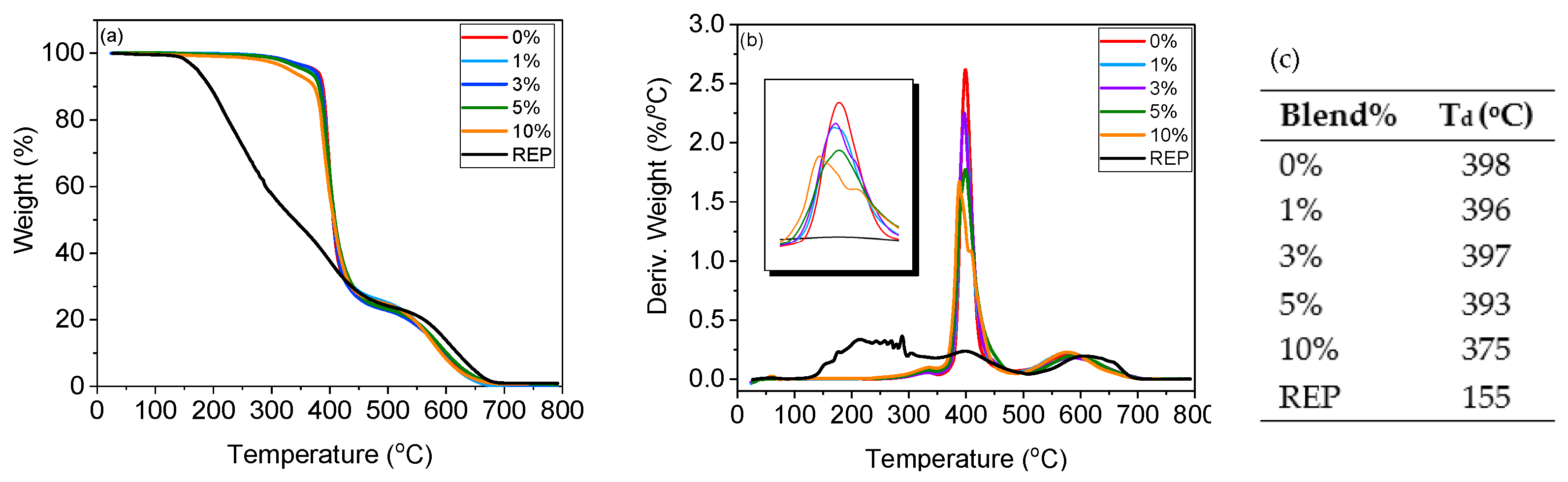
The decomposition temperatures (Td) of each blend and the pristine epoxy resin samples were determined at 95 wt%, as seen from Figure 3a. The decomposition temperatures for the pristine resin and the blends containing 1, 3, 5, and 10% REP were 398, 396, 397, 393, and 375 °C, respectively. It is worth nothing that re-blending REP into the pristine epoxy resin resulted in a slight decrease in the Td. This can be attributed to the increased content of non-reactive small molecules, along with the possibility of some trapped solvent within the REP. In comparison to the pristine epoxy resin, the thermal stability of REP is significantly lowered, with an observed Td of 155 °C, which is a decrease of approximately 61.1%. However, this decrease is expected since the polymer matrix underwent degradation during the initial solvolysis process. With this degradation, the morphology of the REP changes, where the resin was broken down into lower molecular weight products. Therefore, less energy is required to overcome the weak forces between these small molecules, resulting in a lower decomposition temperature as compared to the larger molecules within the pristine epoxy resin, where greater intermolecular forces exist between the longer polymer chains.
Figure 3.
(a) TGA plot and (b) derivative weight plot (c) Td of re-blended polymers.
In summary, the effect of incorporating REP into pristine epoxy resin has a relatively minor impact on the Td. The most substantial reduction amounting to 23 °C (equivalent to 5.78%) for the 10% blend remains well within acceptable limits.
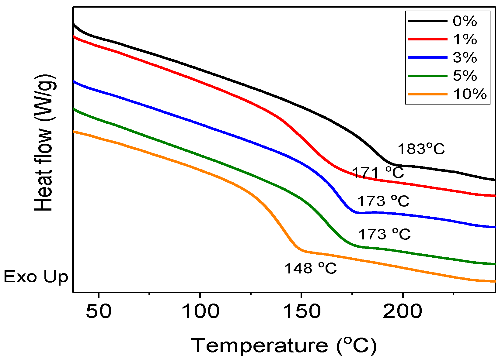
3.3.2. DSC
The glass transition temperatures (Tg) of the re-blended epoxy were determined from the DSC plot as shown in Figure 4. It reveals a decrease from 183 °C to 171 °C when compared with pristine epoxy. The decrease in Tg for re-blended epoxy ranging from 1 to 5 wt.% REP is around 7%. However, when the wt.% of REP was increased to 10 wt.%, there is a substantial 20% drop in Tg. This indicates a significant disruption of the polymer network structure [31] with the addition of a higher amount of REP. Such disruption may increase the mobility of the molecules, thus reducing the polymer’s strength. This trend also aligns with the mechanical properties’ results, which will be discussed below. The presence of solvent within the polymer could be another factor contributing to the reduction in Tg. When solvent is introduced during the re-blending process, it can permeate between the polymer chains and weaken the intermolecular forces. This, in turn, increases the free volume within the polymer and results in a reduction of the polymer’s Tg [32]. Therefore, as the amount of solvent increases with the REP wt.%, a more drastic decrease in Tg was observed for the 10 wt.%. Although a decreasing trend in Tg was observed, the Tg up to 5 wt.% blend still remain relatively high and is comparable to that of pristine epoxy resin. In addition, re-blended epoxy with 6 wt.% REP was also produced and tested to have a Tg of 168 °C, which was quite close to that of 5 wt.% sample. Based on these findings, it is reasonable to conclude that in order to maintain the mechanical properties of polymer, the re-blend weight percentages should not exceed 5–6 wt.%.
Figure 4.
DSC plot of epoxy with different wt.% of REP.
3.3.3. DMA
The dynamic mechanical analysis plot is given in Figure 5. The DMA results of pristine epoxy are consistent with the reference data [33]. The re-blending of REP into pristine epoxy resin naturally leads to variations in the Tg. Similar to the DSC results, when the re-blend percentage reaches 10%, there is a substantial 20% drop in Tg. As the wt.% of REP increases, the interactions between the REP and the pristine epoxy may become less favorable and reduce the cross-linking density. This reduced cross-linking density may increase polymer mobility, allowing for more free volume within the material [34,35], and ultimately results in a decrease in Tg. However, it is interesting to note that there is an increase in Tg of the epoxy when 1 wt.% re-blended epoxy (REP) is added. This observation might seem unexpected, but it could be due to the potential modification of the polymer structure, making it more ordered or crystalline. This explanation may align with the idea that the REP might be introducing specific interactions or alignment within the polymer matrix, enhancing its rigidity. This shows that small amounts of REP may enhance the material’s properties, but at higher percentages, the effects may become detrimental. Further testing and in-depth analysis may be necessary to confirm the actual structural and molecular changes occurring in the epoxy due to the presence of REP and to gain a deeper understanding of these complex interactions and their impact on Tg.
Figure 5.
(a) Storage and loss modulus plot (b) Tan delta plot from DMA.
In Figure 5a, the storage modulus (G) reflects the polymers degree of elasticity as depicted by the black lines. The red lines which represent the loss modulus (G’) reflects the polymers’ ability to dissipate energy. Tan delta of damping is related to the ability of the polymer to absorb and disperse energy. Both loss and storage modulus of the blends at room temperature (30 °C) are relatively comparable and similar to that of pristine epoxy resin. Compared to the pristine epoxy resin, Table 1 shows that the Tan delta values for blends below 5 wt.% show a slight decrease. This suggests that the samples were less efficient in energy absorption and dispersion. In contrast, the Tan Delta value for the 10 wt.% blend is increased, indicating that this sample is more elastic when compared to blends of lower weight percentages.
Table 1.
Storage and Loss modulus and Tan Delta.
3.4. Mechanical Properties Characterization of the Re-Blended and Pristine Epoxy
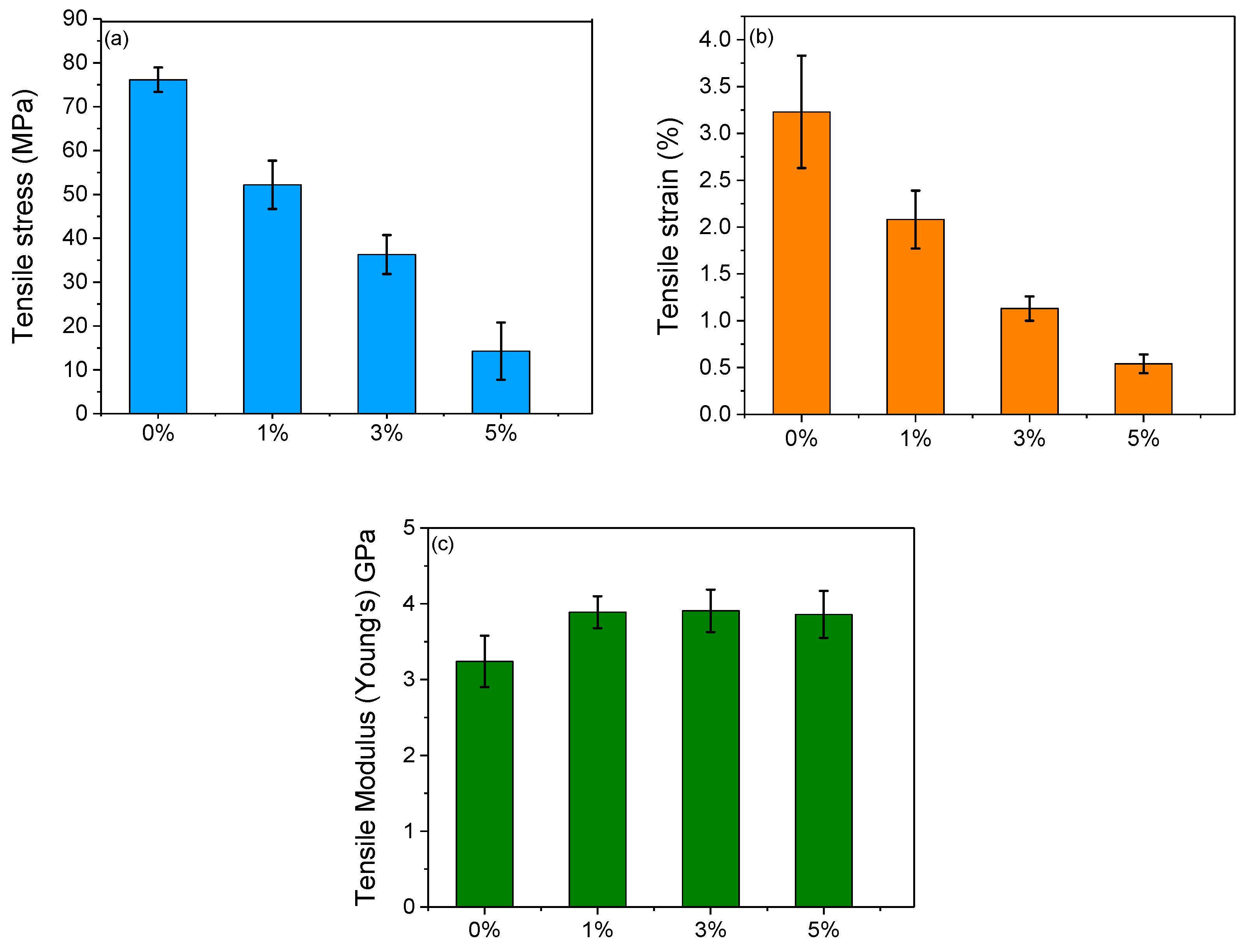
The mechanical test results, which provide insights into the tensile and flexural properties of the re-blended epoxy, can be seen in Figure 6 and Figure 7. The error bars represent the standard deviations. For the tensile stress and strain depicted in Figure 6a,b, a decreasing trend as the blend composition increases is shown. The tensile stress and strain of the pristine epoxy (0%) was recorded to be 76 ± 2.2 MPa and 3.2 ± 0.60%, respectively. For the 1, 3, and 5 wt.% blends, a reduction of 31.5, 52.3, and 81.3% in tensile stress can be observed, respectively. Similarly, the drop in tensile strain for these blends as depicted in Figure 6b shows a decline of 35.6, 65.0, and 83.3%, respectively, as compared to pristine epoxy resin (0%). The largest decline occurred for 5 wt.% REP blend, where the tensile stress decreased from 76 ± 2.2 MPa to 14 ± 6.5 MPa, and the tensile strain from 3.2 ± 0.60% to 0.54 ± 0.10%. This indicates that the polymer’s ability to elongate under tensile stress decreases as the REP content increases. Lastly, it is worth noting that the tensile modulus for the REP blended epoxy is about 20% higher than the pristine epoxy resin. The tensile modulus for 5 wt.% REP blend increases to 3.9 ± 0.31 GPa from the original value of 3.2 ± 0.34 GPa observed for pristine epoxy, suggesting that the re-blended epoxy polymers exhibit greater stiffness than the pristine epoxy resin.
Figure 6.
Plots of (a) Tensile stress (b) Tensile strain and (c) Tensile modulus.
Figure 7.
Plots of (a) Flexural stress and (b) Flexural Modulus.
The flexural strength reflects the amount of flexural stress required for the samples to break and is shown in Figure 7. The flexural stress and modulus measurements of the pristine epoxy were 117 ± 17.1 MPa and 2.4 ± 0.31 GPa, respectively. As observed, there is a large reduction in flexural stress of 33.9, 55.1, and 68.9% for the 1%, 3%, and 5% blends, respectively when compared to the pristine epoxy. The most significant drop was at 5 wt.% blending, where the flexural stress decreased to 36 ± 8.9 MPa. This decrease is expected as when the proportion of REP increases, the degree of disruption in the polymer network also increases. However, it is worth mentioning that the re-blended epoxy polymer’s ability to withstand deformation under bending forces remains fairly consistent. The flexural modulus across all the blends (from 0 to 5%) has a variation of only 1.55%. From the data in Figure 6 and Figure 7, the most significant trade-off when re-blending REP into pristine epoxy resin is evident in the context of tensile and flexural stress properties where the decline in strength is largely attributed to the reduced crosslinking density.
4. Conclusions
An ideal recycling process should prioritize environmental friendliness, sustainability, safety and cost-effectiveness. Without an efficient recycling method, the challenge of waste treatment for CFRP recyclates persists. Moreover, the continued demand and preference for thermoset CFRP over conventional materials like wood and steel, despite their limited recyclability, pose a substantial threat to the composite industry and its overall sustainability. The effective recovery of the degraded polymer matrix under relatively mild conditions while retaining the key properties of both the polymer matrix and reclaimed carbon fibers emphasizes the potential for achieving a zero-waste outcome and closing the recycling loop for CFRP through ongoing advancements in recycling methods. This approach not only adds value compared to the losses associated with conventional disposal methods for end-of-life CFRP, but also advocates a more sustainable and environmentally friendly approach to managing these materials. While extensive research has been conducted on the recovery of carbon fibers from CFRP, the recovery and potential reuse of the thermoset matrix from amine-cured composites remains a relatively unexplored field that requires further investigation. This paper explored the feasibility of incorporating recovered epoxy polymer (REP) into pristine epoxy resin by optimizing the blending parameters. Following this, a series of characterizations including TGA, DSC, DMA, FTIR, GPC and mechanical tests were performed to evaluate the properties of the re-blended polymers. The findings suggest that the optimal re-blending composition should be in the range of 5 to 6 wt.%, without significantly compromising the polymer’s properties. This study provides a strong foundation for further research efforts aimed at achieving a complete closure of the recycling loop for CFRP materials and striving toward the goal of zero waste.
Author Contributions
Conceptualization, visualization, C.M.C., X.W., W.T. and S.W.T.; methodology, formal analysis, investigation, data curation, C.M.C., X.W. and S.K.T.; writing—original draft preparation, C.M.C., X.W. and S.K.T.; writing—review and editing, X.W. and S.W.T.; funding acquisition, W.T. and S.W.T. All authors have read and agreed to the published version of the manuscript.
Funding
This research was funded by Science and Engineering Research Council (SERC), Agency for Science, Technology and Research (A*STAR), UGT green seed fund, grant number C221718012.
Data Availability Statement
The datasets supporting the conclusions of this article are included within the article.
Conflicts of Interest
The authors declare no conflict of interest.
References
- Rani, M.; Choudhary, P.; Krishnan, V.; Zafar, S. A review on recycling and reuse methods for carbon fiber/glass fiber composites waste from wind turbine blades. Compos. Part B Eng. 2021, 215, 108768. [Google Scholar] [CrossRef]
- Chand, S. Review Carbon fibers for composites. J. Mater. Sci. 2000, 35, 1303–1313. [Google Scholar] [CrossRef]
- Hegde, S.; Shenoy, B.S.; Chethan, K. Review on carbon fiber reinforced polymer (CFRP) and their mechanical performance. Mater. Today Proc. 2019, 19, 658–662. [Google Scholar] [CrossRef]
- Montagna, L.S.; Morgado, G.F.d.M.; Lemes, A.P.; Passador, F.R.; Rezende, M.C. Recycling of carbon fiber-reinforced thermoplastic and thermoset composites: A review. J. Thermoplast. Compos. Mater. 2022, 36, 3455–3480. [Google Scholar] [CrossRef]
- Almushaikeh, A.M.; Alaswad, S.O.; Alsuhybani, M.S.; AlOtaibi, B.M.; Alarifi, I.M.; Alqahtani, N.B.; Aldosari, S.M.; Alsaleh, S.S.; Haidyrah, A.S.; Alolyan, A.A.; et al. Manufacturing of carbon fiber reinforced thermoplastics and its recovery of carbon fiber: A review. Polym. Test. 2023, 122, 108029. [Google Scholar] [CrossRef]
- Kazemi, M.; Kabir, S.F.; Fini, E.H. State of the art in recycling waste thermoplastics and thermosets and their applications in construction. Resour. Conserv. Recycl. 2021, 174, 105776. [Google Scholar] [CrossRef]
- Alshammari, B.A.; Alsuhybani, M.S.; Almushaikeh, A.M.; Alotaibi, B.M.; Alenad, A.M.; Alqahtani, N.B.; Alharbi, A.G. Comprehensive Review of the Properties and Modifications of Carbon Fiber-Reinforced Thermoplastic Composites. Polymers 2021, 13, 2474. [Google Scholar] [CrossRef]
- Chen, C.-H.; Chiang, C.-L.; Wang, J.-X.; Shen, M.-Y. A circular economy study on the characterization and thermal properties of thermoplastic composite created using regenerated carbon fiber recycled from waste thermoset CFRP bicycle part as reinforcement. Compos. Sci. Technol. 2022, 230, 109761. [Google Scholar] [CrossRef]
- Utekar, S.; Suriya, V.K.; More, N.; Rao, A. Comprehensive study of recycling of thermosetting polymer composites—Driving force, challenges and methods. Compos. Part B Eng. 2021, 207, 108596. [Google Scholar] [CrossRef]
- Xie, J.; Wang, S.; Cui, Z.; Wu, J. Process Optimization for Compression Molding of Carbon Fiber-Reinforced Thermosetting Polymer. Materials 2019, 12, 2430. [Google Scholar] [CrossRef]
- Fan, J.; Njuguna, J. An introduction to lightweight composite materials and their use in transport structures. In Lightweight Composite Structures in Transport; Njuguna, J., Ed.; Woodhead Publishing: Cambridge, UK, 2016; pp. 3–34. [Google Scholar] [CrossRef]
- Morici, E.; Carroccio, S.C.; Bruno, E.; Scarfato, P.; Filippone, G.; Dintcheva, N.T. Recycled (Bio)Plastics and (Bio)Plastic Composites: A Trade Opportunity in a Green Future. Polymers 2022, 14, 2038. [Google Scholar] [CrossRef] [PubMed]
- Shen, M.; Cao, H.; Robertson, M.L. Hydrolysis and Solvolysis as Benign Routes for the End-of-Life Management of Thermoset Polymer Waste. Annu. Rev. Chem. Biomol. Eng. 2020, 11, 183–201. [Google Scholar] [CrossRef] [PubMed]
- National Research Council. Understanding Health Effects of Incineration. In Waste Incineration & Public Health; National Academies Press (US): Washington, DC, USA, 2000. [Google Scholar]
- Iravanian, A.; Ravari, S.O. Types of Contamination in Landfills and Effects on The Environment: A Review Study. IOP Conf. Ser. Earth Environ. Sci. 2020, 614, 012083. [Google Scholar] [CrossRef]
- Zhang, J.; Lin, G.; Vaidya, U.; Wang, H. Past, present and future prospective of global carbon fibre composite developments and applications. Compos. Part B Eng. 2023, 250, 110463. [Google Scholar] [CrossRef]
- Butenegro, J.A.; Bahrami, M.; Abenojar, J.; Martínez, M. Recent Progress in Carbon Fiber Reinforced Polymers Recycling: A Review of Recycling Methods and Reuse of Carbon Fibers. Materials 2021, 14, 6401. [Google Scholar] [CrossRef] [PubMed]
- Sukanto, H.; Raharjo, W.W.; Ariawan, D.; Triyono, J. Carbon fibers recovery from CFRP recycling process and their usage: A review. IOP Conf. Ser. Mater. Sci. Eng. 2021, 1034, 012087. [Google Scholar] [CrossRef]
- Chen, P.Y.; Feng, R.; Xu, Y.; Zhu, J.-H. Recycling and Reutilization of Waste Carbon Fiber Reinforced Plastics: Current Status and Prospects. Polymers 2023, 15, 3508. [Google Scholar] [CrossRef]
- Liu, T.; Shao, L.; Zhao, B.; Chang, Y.; Zhang, J. Progress in Chemical Recycling of Carbon Fiber Reinforced Epoxy Composites. Macromol. Rapid Commun. 2022, 43, e2200538. [Google Scholar] [CrossRef]
- Asmatulu, E.; Twomey, J.; Overcash, M. Recycling of fiber-reinforced composites and direct structural composite recycling concept. J. Compos. Mater. 2013, 48, 593–608. [Google Scholar] [CrossRef]
- Wang, Y.; Cui, X.; Ge, H.; Yang, Y.; Wang, Y.; Zhang, C.; Li, J.; Deng, T.; Qin, Z.; Hou, X. Chemical Recycling of Carbon Fiber Reinforced Epoxy Resin Composites via Selective Cleavage of the Carbon–Nitrogen Bond. ACS Sustain. Chem. Eng. 2015, 3, 3332–3337. [Google Scholar] [CrossRef]
- Pickering, S.J. Recycling technologies for thermoset composite materials—Current status. Compos. Part A Appl. Sci. Manuf. 2006, 37, 1206–1215. [Google Scholar] [CrossRef]
- Morici, E.; Dintcheva, N.T. Recycling of Thermoset Materials and Thermoset-Based Composites: Challenge and Opportunity. Polymers 2022, 14, 4153. [Google Scholar] [CrossRef] [PubMed]
- Bajpai, A.; Davidson, J.R.; Robert, C. Studies on the Modification of Commercial Bisphenol-A-Based Epoxy Resin Using Different Multifunctional Epoxy Systems. Appl. Mech. 2021, 2, 419–430. [Google Scholar] [CrossRef]
- Ismail, A.S.; Jawaid, M.; Hamid, N.H.; Yahaya, R.; Hassan, A. Mechanical and Morphological Properties of Bio-Phenolic/Epoxy Polymer Blends. Molecules 2021, 26, 773. [Google Scholar] [CrossRef] [PubMed]
- Loeffen, A.; Cree, D.E.; Sabzevari, M.; Wilson, L.D. Effect of Graphene Oxide as a Reinforcement in a Bio-Epoxy Composite. J. Compos. Sci. 2021, 5, 91. [Google Scholar] [CrossRef]
- Glaskova-Kuzmina, T.; Stankevics, L.; Tarasovs, S.; Sevcenko, J.; Špaček, V.; Sarakovskis, A.; Zolotarjovs, A.; Shmits, K.; Aniskevich, A. Effect of Core-Shell Rubber Nanoparticles on the Mechanical Properties of Epoxy and Epoxy-Based CFRP. Materials 2022, 15, 7502. [Google Scholar] [CrossRef]
- Das, M.; Chacko, R.; Varughese, S. An Efficient Method of Recycling of CFRP Waste Using Peracetic Acid. ACS Sustain. Chem. Eng. 2018, 6, 1564–1571. [Google Scholar] [CrossRef]
- González, M.G.; Cabanelas, J.C.; Baselga, J. Applications of FTIR on Epoxy Resins—Identification, Monitoring the Curing Process, Phase Separation and Water Uptake. In Infrared Spectroscopy—Materials Science, Engineering and Technology; Theophile, T., Ed.; IntechOpen: Rijeka, Croatia, 2012. [Google Scholar] [CrossRef]
- Landel, R.F. Physical, Thermal, and Mechanical Properties of Polymers. In Biosurfaces; CRC Press: Boca Raton, FL, USA, 2014; pp. 329–344. [Google Scholar] [CrossRef]
- Comyn, J. What are adhesives and sealants and how do they work? In Adhesive Bonding; Adams, R.D., Ed.; Woodhead Publishing: Cambridge, UK, 2021; pp. 41–78. [Google Scholar] [CrossRef]
- Tcharkhtchi, A.; Nony, F.; Khelladi, S.; Fitoussi, J.; Farzaneh, S. Epoxy/amine reactive systems for composites materials and their thermomechanical properties. In Advances in Composites Manufacturing and Process Design; Boisse, P., Ed.; Woodhead Publishing: Cambridge, UK, 2015; pp. 269–296. [Google Scholar] [CrossRef]
- Bandyopadhyay, A.; Valavala, P.K.; Clancy, T.C.; Wise, K.E.; Odegard, G.M. Molecular modeling of crosslinked epoxy polymers: The effect of crosslink density on thermomechanical properties. Polymer 2011, 52, 2445–2452. [Google Scholar] [CrossRef]
- Sheng, C.; Wu, G.; Sun, X.; Liu, S. Molecular Dynamics Investigation of the Thermo-Mechanical Properties of the Moisture Invaded and Cross-Linked Epoxy System. Polymers 2022, 14, 103. [Google Scholar] [CrossRef]
Disclaimer/Publisher’s Note: The statements, opinions and data contained in all publications are solely those of the individual author(s) and contributor(s) and not of MDPI and/or the editor(s). MDPI and/or the editor(s) disclaim responsibility for any injury to people or property resulting from any ideas, methods, instructions or products referred to in the content. |
© 2023 by the authors. Licensee MDPI, Basel, Switzerland. This article is an open access article distributed under the terms and conditions of the Creative Commons Attribution (CC BY) license (https://creativecommons.org/licenses/by/4.0/).






