Effect of High Fiber Content on Properties and Performance of CFRTP Composites
Abstract
1. Introduction
2. Materials and Methods
2.1. Materials
2.2. Fabrication of Panels and Sample Preparation
3. Results and Discussion
3.1. Constituents’ Contents
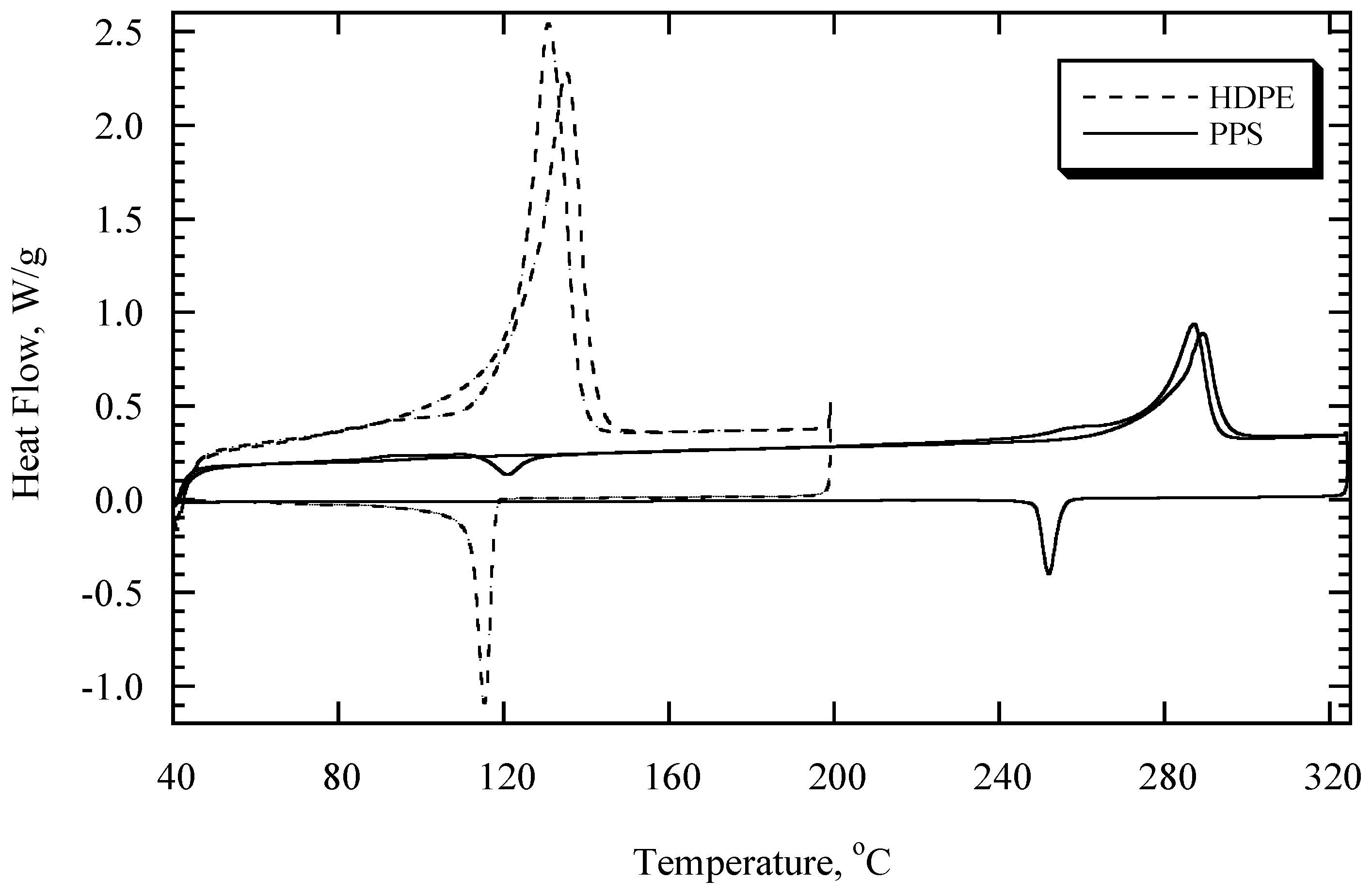
3.2. Effect on Thermal Properties
3.3. Effect on Mechanical Properties
3.3.1. Tensile Properties
3.3.2. Flexure Properties
3.3.3. Interlaminar Shear Properties
4. Conclusions
Author Contributions
Funding
Data Availability Statement
Acknowledgments
Conflicts of Interest
References
- Whitney, J.M.; Riley, M.B. Elastic properties of fiber reinforced composite materials. J. AIAA 1966, 4, 1537–1548. [Google Scholar] [CrossRef]
- Smith, C.S. Design of Marine Structure in Composite Materials, 1st ed.; Elsevier: London, UK, 1990. [Google Scholar]
- Mouritz, A.P.; Gellert, E.; Burchill, P.; Challis, K. Review of Advanced Composite Structures for Naval Ships and Submarines. Compos. Struct. J. 2001, 53, 21–42. [Google Scholar] [CrossRef]
- Chung, D.D.L. Processing-structure-property relationships of continuous carbon fiber polymer-matrix composites. Mat. Sci. Eng. R. 2017, 113, 1–29. [Google Scholar] [CrossRef]
- Agarwal, B.D.; Broutman, L.J.; Chandrashekhara, K. Analysis and Performance of Fiber Composites, 3rd ed.; Wiley: Hoboken, NJ, USA, 2006; pp. 62–124. [Google Scholar]
- Vaidya, U.K.; Chawla, K.K. Processing of fibre reinforced thermoplastic composites. Int. Mater. Rev. 2008, 53, 185–201. [Google Scholar] [CrossRef]
- Moritzer, E.; Heiderich, G. Mechanical recycling of continuous fiber-reinforced thermoplastic sheets. AIP Conf. Proc. 2016, 1713, 120013. [Google Scholar]
- Ropers, S. Bending Behavior of Thermoplastic Composite Sheets; Springer Nature: Wiesbaden, Germany, 2017; Volume 99, pp. 5–20. [Google Scholar]
- Abdel-Magid, B.; Stender, M. Buckling Behavior of Thermoplastic Plates in Shear. In Proceedings of the Composites Institute’s 50th Annual Conference, Cincinnati, OH, USA, 30 January–1 February 1995; Section 11-B. pp. 1–6. [Google Scholar]
- Chu, J.N.; Ko, F.K. Time-dependent mechanical properties of 3-D braided graphite/PEEK Composites. SAMPE Q. 1992, 23, 12–19. [Google Scholar]
- Venkateswaran, S.B.; Wartig, K.; Tsombanis, N.; Seidlitz, H. Influence of processing parameters on the impact behaviour of glass/polyamide-6 composite. Compos. Part B 2019, 159, 292–299. [Google Scholar]
- Schneider, C.; Velea, M.N.; Kazemahvazi, S.; Zenkert, D. Compression properties of novel thermoplastic carbon fibre and poly-ethylene terephthalate fiber composite lattice structures. Mater. Des. 2015, 65, 1110–1120. [Google Scholar] [CrossRef]
- Slange, T.K.; Grouve, W.J.B.; Warnet, L.L.; Wijskamp, S.; Akkerman, R. Towards the combination of automated lay-up and stamp forming for consolidation of tailored composite components. Compos. Part A 2019, 119, 165–175. [Google Scholar] [CrossRef]
- Li, L.; Liu, W.; Sun, L. Mechanical characterization of 3D printed continuous carbon fiber reinforced thermoplastic composites. Compos. Sci. Technol. 2022, 227, 109618. [Google Scholar] [CrossRef]
- Zscheyge, M.; Boehm, R.; Hornig, A.; Gerritzen, J.; Gude, M. Rate dependent non-linear mechanical behaviour of continuous fibre-reinforced thermoplastic composites—Experimental characterisation and viscoelastic-plastic damage modelling. Mater. Des. 2020, 193, 108827. [Google Scholar] [CrossRef]
- Kwon, D.J.; Jang, Y.J.; Choi, H.H.; Kim, K.; Kim, G.H.; Kong, J.; Nam, S.Y. Impacts of thermoplastics content on mechanical properties of continuous fiber-reinforced thermoplastic composites. Compos. Part B Eng. 2021, 216, 108859. [Google Scholar] [CrossRef]
- Chukov, D.; Kharitonov, A.; Tcherdyntsev, V.; Zherebtsov, D.; Maksimkin, A. Structure and mechanical properties of self-reinforced ultra-high molecular weight polyethylene. J. Compos. Mater. 2018, 52, 1689–1698. [Google Scholar] [CrossRef]
- Bhudolia, S.K.; Gohel, G.; Leong, K.F.; Joshi, S.C. Damping, impact and flexural performance of novel carbon/Elium® thermoplastic tubular composites. Compos. Part B Eng. 2020, 203, 108480. [Google Scholar] [CrossRef]
- Romanzini, D.; Lavoratti, A.; Ornaghi, H.L., Jr.; Amico, S.C.; Zattera, A.J. Influence of fiber content on the mechanical and dynamic mechanical properties of glass/ramie polymer composites. Mater. Des. 2013, 47, 9–15. [Google Scholar] [CrossRef]
- Jones, R.M. Mechanics of Composite Materials, 2nd ed.; Taylor and Francis: Philadelphia, PA, USA, 1999; pp. 55–101. [Google Scholar]
- Hashin, Z.; Rosen, B.W. The elastic moduli of fiber-reinforced materials. J. Appl. Mech. 1964, 31, 233. [Google Scholar] [CrossRef]
- Abdel-Magid, B.; Ziaee, S.; Gass, K.; Schneider, M. The combined effects of loads, moisture, and temperature on the properties of E-glass/epoxy composites. J. Compos. Struct. 2005, 71, 320–326. [Google Scholar] [CrossRef]
- Offringa, A. Continuous Fiber Reinforced Thermoplastics and Aerospace Applications. In Proceedings of the SAMPE Conference and Expo, Long Beach, CA, USA, 23–26 May 2011. [Google Scholar]
- D3039; Standard Test Method for Tensile Properties of Polymer Matrix Composite Materials. ASTM International: West Conshohocken, PA, USA, 2017.
- D790; Standard Test Method for Flexural Properties of Unreinforced and Reinforced Plastics and Electrical Insulating Materials. ASTM International: West Conshohocken, PA, USA, 2000.
- D2344; Standard Test Method for Short-Beam Strength of Polymer Matrix Composite Materials and Their Laminates. ASTM International: West Conshohocken, PA, USA, 2016.
- D3171; Standard Test Methods for Constituent Content of Composite Materials. ASTM International: West Conshohocken, PA, USA, 2022.
- D3800; Standard Test Method for Density of High-Modulus Fibers. ASTM International: West Conshohocken, PA, USA, 2004.
- Celanese, Fortron 205 PPS. Available online: https://www.matweb.com/search/datasheet.aspx?matguid=1775d75a457845eabab97e2778277c9e&ckck=1 (accessed on 3 July 2024).
- Lyondell Basell. Alathon H5057 High Density Polyethylene, Technical Data Sheet, Product Detail; Lyondell Basell: Rotterdam, The Netherlands, 2024. [Google Scholar]
- Toray Composite Materials America. T700S Standard Modulus Carbon Fiber. 2018. Available online: https://www.toraycma.com/wp-content/uploads/T700S-Technical-Data-Sheet-1.pdf (accessed on 29 June 2024).
- Melo, J.D.; Radford, D.W. Time and temperature dependence of the viscoelastic properties of CFRP by dynamic mechanical analysis. Compos. Struct. J. 2005, 70, 240–253. [Google Scholar] [CrossRef]
- TA Instruments Training. Dynamic Mechanical Analysis; Basic Theory and Applications Training. Available online: https://www.tainstruments.com/wp-content/uploads/online-DMA-Training-2020-May-part-1-final.pdf (accessed on 15 June 2020).
- Lu, Y. Mechanical Properties of Random Discontinuous Fiber Composites Manufactured from Wetlay Process. Master’s Thesis, Virginia Polytechnic Institute and State University, Blacksburg, VA, USA, 2002. [Google Scholar]
- Chacón, J.M.; Caminero, M.A.; Núñez, P.J.; García-Plaza, E.; García-Moreno, I.; Reverte, J.M. Additive manufacturing of continuous fibre reinforced thermoplastic composites using fused deposition modelling: Effect of process parameters on mechanical properties. Compos. Sci. Technol. J. 2019; ahead of print. [Google Scholar] [CrossRef]
- Squires, C.M. Investigation of Processing Parameters for Thermoplastic Composites Manufacturing. Master’s Thesis, University of Nevada Las Vegas, Las Vegas, NV, USA, 1996. Available online: https://digitalscholarship.unlv.edu/rtds/3220 (accessed on 3 November 2023).
- Pertuz, A.D.; Diaz-Cardona, S.; Gonzalez-Estrada, O.A. Static and fatigue behaviour of continuous fibre reinforced thermoplastic composites manufactured by fused deposition modelling technique. Int. J. Fatigue 2020, 130, 105275. [Google Scholar] [CrossRef]
- Lee, D.J.; Palley, I. Simple model to predict the interlaminar shear strength of laminate composites. J. Compos. Mater. 2011, 46, 1357–1365. [Google Scholar] [CrossRef]



















| Mechanical Property | HDPE | PPS | E-Glass Fiber | Carbon Fiber |
|---|---|---|---|---|
| Tensile Modulus (GPa) | 0.8 | 8.1 | 87 | 230 |
| Tensile Strength (MPa) | 19 | 74 | 2900 | 4900 |
| Strain at Failure (%) | 4.1 | 3.0 | 4.8 | 2.1 |
| Compressive Strength (MPa) | 22 | 148 | - | - |
| Material | Set Temp (°C) | Pressure (kPa) | Dwell Time (Minutes) | Removal Temp (°C) |
|---|---|---|---|---|
| CF/PPS | 340 | 580 | 5 | 135 |
| GF/PPS | 340 | 580 | 5 | 135 |
| GF/HDPE | 199 | 193 | 2 | 52 |
| CF/PPS | GF/PPS | GF/HDPE | ||||||
|---|---|---|---|---|---|---|---|---|
| Nominal Fiber Weight % | Actual Fiber Weight % | Actual Fiber Volume % | Nominal Fiber Weight % | Actual Fiber Weight % | Actual Fiber Volume % | Nominal Fiber Weight % | Actual Fiber Weight % | Actual Fiber Volume % |
| 58.2 | 57.0 ± 0.3 | 49.6 ± 0.3 | 66.7 | 69.1 ± 0.9 | 53.6 ± 0.7 | 70.0 | 68.5 ± 0.0 | 44.3 ± 0.0 |
| 62.5 | 63.7 ± 0.8 | 56.1 ± 0.8 | 70.7 | 74.1 ± 0.1 | 60.1 ± 0.1 | 74.0 | 74.3 ± 0.2 | 51.9 ± 0.2 |
| 64.7 | 65.2 ± 0.2 | 57.7 ± 0.2 | 74.0 | 75.3 ± 0.2 | 61.9 ± 0.3 | 77.0 | 77.7 ± 0.1 | 56.1 ± 0.1 |
| 66.5 | 67.3 ± 0.8 | 59.8 ± 0.9 | 77.8 | 79.2 ± 0.1 | 65.9 ± 0.1 | 81.0 | 81.5 ± 0.4 | 62.3 ± 0.7 |
| 67.0 | 69.1 ± 0.4 | 62.0 ± 0.4 | 79.7 | 80.2 ± 0.2 | 68.3 ± 0.3 | 83.3 | 83.0 ± 0.3 | 64.6 ± 0.4 |
| 71.5 | 69.5 ± 0.5 | 61.3 ± 0.5 | 81.6 | 81.7 ± 0.4 | 70.2 ± 0.5 | 85.4 | 84.2 ± 0.0 | 66.1 ± 0.0 |
| 76.5 | 75.8 ± 1.4 | 68.1 ± 1.6 | ||||||
| Material | Cooling Rate, (°C/min) | ΔHmelting, 1st (J/g) | ΔHmelting, 2nd (J/g) | Tm, 1st (°C) | Tm, 2nd (°C) |
|---|---|---|---|---|---|
| HDPE | 2 | 186 | 189 | 135 | 131 |
| 5 | 220 | 216 | 135 | 132 | |
| PPS | 2 | 46 | 51 | 289 | 287 |
| 5 | 60 | 59 | 288 | 283 |
| Material | Heat of Melting, (J/g) |
|---|---|
| CF/PPS | 43 ± 1 |
| GF/PPS | 43 ± 2 |
| GF/HDPE | 186 ± 25 |
| Material Properties | CF/PPS | GF/PPS | GF/HDPE | |||
|---|---|---|---|---|---|---|
| Value | Vf Opt | Value | Vf Opt | Value | Vf Opt | |
| Max Tensile Strength (MPa) | 2480 | 69% | 1100 | 64% | 800 | 56% |
| Max Tensile Modulus (GPa) | 140 | 68% | 58 | 63% | 50 | 64% |
| Max Flexural Strength (MPa) | 1280 | 61% | 1250 | 70% | 550 | 65% |
| Max Flexural Modulus (GPa) | 140 | 68% | 55 | 70% | 50 | 66% |
| Strain at Max Tensile Stress (%) | 1.8 | 69% | 2.2 | 64% | 2.1 | 56% |
| Strain at Max Flexure Stress (%) | 1.1 | 61% | 3.2 | 70% | 1.1 | 65% |
Disclaimer/Publisher’s Note: The statements, opinions and data contained in all publications are solely those of the individual author(s) and contributor(s) and not of MDPI and/or the editor(s). MDPI and/or the editor(s) disclaim responsibility for any injury to people or property resulting from any ideas, methods, instructions or products referred to in the content. |
© 2024 by the authors. Licensee MDPI, Basel, Switzerland. This article is an open access article distributed under the terms and conditions of the Creative Commons Attribution (CC BY) license (https://creativecommons.org/licenses/by/4.0/).
Share and Cite
Ziaee, S.; Kerr-Anderson, E.; Johnson, A.; Eastep, D.; Abdel-Magid, B. Effect of High Fiber Content on Properties and Performance of CFRTP Composites. J. Compos. Sci. 2024, 8, 364. https://doi.org/10.3390/jcs8090364
Ziaee S, Kerr-Anderson E, Johnson A, Eastep D, Abdel-Magid B. Effect of High Fiber Content on Properties and Performance of CFRTP Composites. Journal of Composites Science. 2024; 8(9):364. https://doi.org/10.3390/jcs8090364
Chicago/Turabian StyleZiaee, Saeed, Eric Kerr-Anderson, Aaron Johnson, David Eastep, and Beckry Abdel-Magid. 2024. "Effect of High Fiber Content on Properties and Performance of CFRTP Composites" Journal of Composites Science 8, no. 9: 364. https://doi.org/10.3390/jcs8090364
APA StyleZiaee, S., Kerr-Anderson, E., Johnson, A., Eastep, D., & Abdel-Magid, B. (2024). Effect of High Fiber Content on Properties and Performance of CFRTP Composites. Journal of Composites Science, 8(9), 364. https://doi.org/10.3390/jcs8090364

