Abstract
This paper investigates the processes of phase formation of solid solutions of (1 − x)BaTi0.85Zr0.15O3 − xAgNbO3 where x = 0, 0.03, 0.06, 0.09. The optimal temperatures of synthesis and sintering are determined. From the results of X-ray diffraction analysis, it follows that all solid solutions have a perovskite-type structure. Analysis of the microstructure showed that the average grain size decreases at concentrations x = 0.03 and 0.06. Correlations between the cationic composition and dielectric characteristics of the studied solid solutions have been established. The values of the total stored energy and efficiency are determined. The maximum stored energy was found for a solid solution with x = 0.03 and amounted to 0.074 J∙cm−3 with an efficiency of 76.5%.
1. Introduction
Currently, there is an increasing number of research papers devoted to the study of media that combine several different ordered charge subsystems: ferroelectric or antiferroelectric [1,2,3,4,5,6,7,8,9]. Such systems of solid solutions are investigated in search of morphotropic phase boundaries, which demonstrate high values of the dielectric constant and piezoelectric parameters. By increasing the number of solid solutions components, we usually improve the manufacturability of the systems. This is probably because heterovalent substitutions, with an increase in the set of ions included in solid solutions, lead to the formation of an additional concentration of point defects that provide an intensive course of diffusion processes and, consequently, the sintering process and the formation of the optimal microstructure and physical properties of ceramics. In addition, the dimensionality of the morphotropic phase boundaries, as well as the adjacent regions of the phase diagram, increases, which significantly expands the possibilities of choosing solid solutions with desired properties. The production of such media is often complicated by a large difference in the sintering temperatures of the initial components, as well as by the problem of chemical decomposition of solid solutions both at the boundaries of different phases and throughout the volume of the material. Solving these problems would create a promising basis for reliable and highly efficient energy storage devices. Such devices could compete with regular ceramic capacitors due to their high energy intensity, high efficiency, and wide range of operating temperatures [10,11,12,13,14,15].
A promising basis for the creation of such materials is the lead-free systems of solid solutions BaTi1-xZrxO3, which have a wide variety of phases, providing a higher dielectric constant than in BaTiO3. However, it is difficult to obtain high-quality ceramics based on them using conventional ceramic technology due to the relatively low reactivity of the components during the synthesis and diffusion activity during sintering [16]. To overcome these difficulties, mechanoactivation and modification by AgNbO3 were used. Silver niobate is a well-studied antiferroelectric [17,18,19,20], capable of accumulating twice as much electric charge as BaTiO3 [21], and demonstrates a high breakdown voltage of up to 200 kV/cm [22,23] and the P-E double loop characteristic of antiferroelectrics, which is important for energy storage. In addition, heterovalent substitutions, especially with highly charged substituents (Nb5+), contribute to an increase in the diffusion rate, a decrease in temperature, and an increase in sintering efficiency [24].
Thus, the aim of this study was to establish the influence of cationic composition and thermodynamic history on the production, structure, and microstructure of solid solutions (1 − x)BaTi0.85Zr0.15O3 − xAgNbO3 where x = 0, 0.03, 0.06, 0.09.
2. Materials and Methods
BaTi0.85Zr0.15O3 was obtained in air by two-stage solid-phase synthesis at T = 1593 K, t = 4 h, and T2 = 1723 K, t = 6 h. Before sintering, the mechanoactivation was performed for 20 min (1800 rpm). Subsequent sintering was carried out at Tsint. = 1733 K, t = 2 h. [25].
(1 − x)BaTi0.85Zr0.15O3 + xAgNbO3 ceramics were obtained in air by two-stage solid-state synthesis, using precursors at T1 = 1593 K, t = 4 h and T2 = 1623 K, t = 6 h. The precursors BaTi0.85Zr0.15O3 and AgNbO3 were obtained in air at T1 = 1593 K, t = 4 h, T2 = 1723 K, t = 6 h, and T1 = 1173 K 4 h, respectively. Before sintering, the mechanoactivation procedure was performed for 20 min (1800 rpm). Subsequent sintering was carried out at Tsint. = 1643 K, t = 2 h.
Raw materials: BaCO3 (99.9%), ZrO2 (99.9%), TiO2 (99.9%), Ag2CO3 (99.9%), Nb2O5 (99.9%).
X-ray studies were carried out on a diffractometer DRON-3, CoKα radiation (Bragg–Brentano focusing scheme). The powder ceramics were studied, which made it possible to exclude the influence of surface effects, stresses, and textures arising in the process of its manufacture. The parameters of the unit cell were calculated from the diffraction reflections 111 and 11, which are most sensitive to changes in the angular parameter of the unit cell in the studied interval of diffraction angles 2θ = 20–60°. At large angles of 2θ, diffuse scattering is enhanced, especially near diffraction peaks, which, with small distortions of the cubic cell, does not allow the calculation of parameters with greater accuracy. The approximation of the X-ray peaks was carried out by the Lorentz function. Measurement errors of structural parameters have the following values: linear, ∆a = ∆c = ±(0.002–0.004) Å, angular, Δα = ±0.05°, volume, ∆V = ±(0.07–0.10) Å3. At each stage of the technological process, a step-by-step optimization of the conditions for the formation of solid solutions was carried out. The experimental density of the samples was determined by hydrostatic weighing, and n-octane was used as a liquid medium. The density was calculated using Formula (1):
where poct is the density of octane, m1 is the mass of the dry workpiece, m2 is the mass of the workpiece saturated with octane, m3 is the mass of the saturated billet suspended in octane with a suspension, and m4 is the mass of the suspension for the workpiece. X-ray density was calculated by Formula (2):
where M is the molecular mass, Z is the number of formula units per unit cell, NA is Avagadro’s number, and V is the unit cell volume. The relative density was found by Formula (3):
The study of the microstructure was carried out using the equipment of the Center for Collective Use of the SSC RAS. Photographs of the microstructure were obtained using a scanning electron microscope Carl Zeiss EVO 40. The study was carried out on transverse chips of ceramics without a conductive layer. The shooting was carried out in the mode of high accelerating voltage of 20 kV.
For further measurements, samples in the form of a disk with a diameter of 11 mm and a thickness of 1 mm were used. The electrodes were applied by firing a silver-containing paste. The study of dielectric characteristics was carried out in temperature ranges 80–300 K using a filler nitrogen cryostat, and at 300–750 K in a high-temperature furnace in the frequency range 102...106 Hz with the Agilent E4980A. The study of hysteresis loops P-E (P-polarization, E-electric field strength) was carried out on an installation assembled according to the Sawyer–Tower scheme at a frequency of 50 Hz and at room temperature. The values of W, Wrec, and η were quantitatively calculated using the Formulas (4)–(6)
where W represents the total energy storage density, Wrec is the recoverable energy storage density, Pmax and Pr are, respectively, the maximum and remnant polarizations, and η represents the energy storage efficiency.
3. Result and Discussion
X-ray diffraction patterns of solid solutions are shown in Figure 1. All solid solutions crystallized in the perovskite structure; traces of the impurity compound Ba2Ti5O12 (4%) (PDF set 17, card 661 [26]) are visible only in samples with an AgNbO3 content of 6 mol% and 9 mol%
Figure 1.
Radiographs of solid solutions (1 − x)BaTi0.85Zr0.15O3 – xAgNbO3: in the range 2θ = (20 – 80) and diffraction peaks 111, 200, 220 on an enlarged scale. The dots mark the Ba2Ti5O12 lines.
The symmetry of the original (unmodified) solid solution due to the small distortion of the perovskite cell and the ambiguous cleavage of diffraction peaks is designated as pseudocubic with the cell parameter a = 4.044 Å. 220 diffraction reflection satellites (arrows in Figure 1), indicate short-range order and modulation in the direction <110>. Figure 1 shows that the introduction of only 3 mol% AgNbO3 leads to the decomposition of the solid solution into a series of solid solutions with similar cell parameters. At 9 mol% AgNbO3, two inhomogeneous solid solutions with cell parameters a1 = 4.04 Å and a2 = 4.06 Å are distinguished, and the volume of the last fraction is greater.
Figure 2 shows the dependences of the cell parameter, the half-width (FWHM) of the diffraction peak 200, and the density of solid solutions (1 − x)BaTi0.85Zr0.15O3 – xAgNbO3 on the concentration of AgNbO3.
Figure 2.
The cell parameter a (empty squares), a1, and a2 parameters of two phases, FWHM (squares) of the diffraction peak 200, experimental (triangles), X-ray (empty circles), and relative prel (circles) density of solid solutions (1 − x)BaTi0.85Zr0.15O3 – xAgNbO3.
A slight increase in the cell parameter cannot be a consequence of the substitution of Ag1+ → Ba2+ since the ionic radius of Ag1+ is much smaller than the ionic radius of Ba2+ (1.13 Å and 1.38 Å for the coordination number 6 [27]), respectively. According to the empirical rules of isomorphism, the difference in ionic radii interchangeable ions should not exceed 15% of the smaller value; in this case, it is 22%. The electronegativity (EN) difference of these ions also prevents the formation of solid solutions substitution [28]: EN Ba = 0.89, EN Ag = 1.93, ΔEN = 1.04 with a permissible value of 0.4. With a general heterogeneity of solid solution with 3 mol% AgNbO3, ceramic density increased.
The results of the study of the microstructure showed that the landscape of all solid solutions is fine-grained, pores are present, and fragments of chips are shown in Figure 3.
Figure 3.
Microstructure of the ceramic chipped surface area at different magnifications. (a) x = 0, (b) x = 0.03, (c) x = 0.06, (d) x = 0.09.
The chip of ceramics equally passes along the border and volume of grain, which indicates a comparable strength of grains and intergrain layers. The chip, in some places, forms steps, which testify in favor of the layer-by-layer mechanism of growth from the liquid phase, probably associated with the formation of eutectic mixtures. In all solid solutions, the heterogeneity of the grain landscape can be noted: diameter D of large and small grains differ by an order of magnitude; near the pores, the packaging of grains becomes looser, and there are more small grains. The reason for this growth may be the pores themselves, which play the role of “drains” of vacancies and dislocations that stimulate the growth of crystallites and their conglomerates. Similar structures were previously observed in [24]. The shape of small grains is close to spherical, which may be due to their partial melting. For solid solutions containing AgNbO3 in their composition, another concomitant mechanism for the growth of small grains of irregular shape can be implemented. At the same time, AgNbO3 particles themselves can act as crystallization centers. Such a process, on the one hand, can lead to a decrease in the average D of grains and, on the other hand, to destabilization of the grain structure and greater heterogeneity. The obtained density values indicate the high role of the second mechanism: the introduction of a small fraction of AgNbO3 (3 mol%) leads to an increase in the total density of solid solution from 92% to 93.4% due to the formation of new crystallization centers. But a further increase in the proportion of AgNbO3 up to 6 mol% and 9 mol.% leads to a decrease in the density of solid solutions 93.4% → 91.2% → 88.9%. The average D of grains for solid solutions with x = 0, 0.03, 0.06, 0.09 were D = 2.54 μm, D = 1.71 μm, D = 1.67 μm, D = 1.66 μm.
Figure 4, Figure 5, Figure 6 and Figure 7 show the dependences of the real and imaginary parts of the dielectric constant on temperature, obtained at the frequencies of the measuring field f = 102 – 106 Hz.
Figure 4.
Dependence of the dielectric constant of solid solution on temperature at x = 0. The concentration x is shown in the figures.
Figure 5.
Dependence of the dielectric constant of solid solution on temperature at x = 0.03. The concentration x is shown in the figure.
Figure 6.
Dependence of the dielectric constant of solid solutions on temperature at x = 0.06. The concentration x is shown in the figure.
Figure 7.
Dependence of the dielectric constant of solid solutions on temperature at x = 0.09. The concentration x is shown in the figure.
In Figure 4, the maximum ɛ’ is observed at T = 338 K and associated with the transition from the ferroelectric to the paraelectric state. The temperature of the maximum of the dielectric constant shifts to the region of higher values with an increase in the frequency of the measuring field, which is typical for relaxors and dipole glasses. The imaginary part of the dielectric constant in the above temperature range also corresponds to that characteristic behavior in the phase transition region [29,30]. In solid solutions with x ≠ 0, the formation of a wide maximum is observed. The height of this maximum decreases with increasing concentration x. At concentrations x ≠ 0 (Figure 5, Figure 6 and Figure 7), the formation of this maximum occurs at T = 338 K, which coincides with the temperature of the phase transition from the ferroelectric phase to the antiferroelectric phase in AgNbO3 [31]. From this, we assume that the formation of this maximum with a decrease in temperature is initiated by a phase transition in AgNbO3. A comparison of the dielectric constant for solid solutions with x ≠ 0 at f = 103 Hz is shown in Figure 8.
Figure 8.
Dependence of the dielectric constant solid solutions on temperature at f = 103 Hz. Concentrations x are shown in the figure.
As the concentration x increases, the blurred maximum experiences broadening, and its low-temperature section shifts to the region of even lower temperatures. Further, an increase in frequency dispersion is observed, which may indicate the transition of the solid solution to the state of a frozen dipole glass. A similar behavior can be observed in solid solutions BaTi1−xZrxO3 at x > 0.15, where at such concentrations, in accordance with the phase diagram [32], a transition from the ferroelectric phase to the mixed phase occurs.
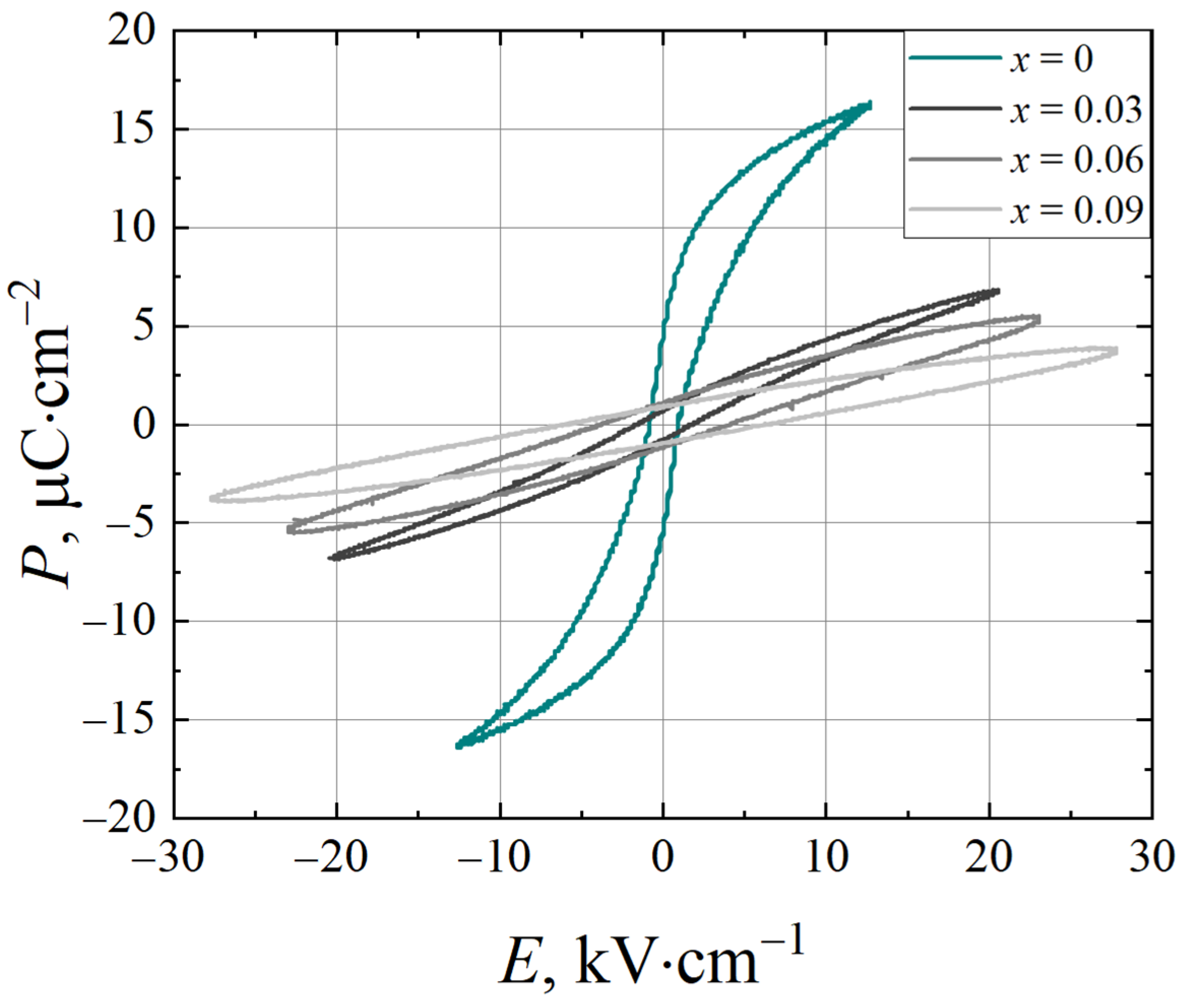
The loops of dielectric hysteresis are shown in Figure 9.
Figure 9.
Loops P-E of solid solutions. The concentration x is shown in the figure.
At x = 0, the dielectric hysteresis loops cease to experience saturation at the same fields as BaTi0.85Zr0.15O3. A further increase in the electric field strength for the solid solution with x = 0 led to a dielectric breakdown. The energy values calculated by Formulas (4)–(6) are presented in Table 1.
Table 1.
Summary of energy storage properties and related parameters of solid solutions.
From the calculations, it can be seen that the additive 3 mol. % AgNbO3 significantly increases η with a slight decrease in W. A further increase in the concentration x reduces both η and W. From the above, we can conclude that despite the fact that the optimal density values are achieved in the concentration range of 0.03 < x ≤ 0.06, the best indicators for stored energy are achieved at concentrations 0 < x ≤ 0.03. It is advisable to use the obtained data in the production process of multicomponent lead-free ceramics based on BaTi1-xZrxO3 with other antiferroelectric modifiers, such as LiNbO3, NaNbO3, etc. Further work will be aimed at studying the dielectric characteristics of solid solutions and searching for correlations between the mole fractions of Zr2+ in BaTi1-xZrxO3 and the AgNbO3 modifier.
4. Conclusions
This paper demonstrates the possibility of obtaining impurity-free solid solutions (1 − x)BaTi0.85Zr0.15O3 + xAgNbO3 with a perovskite-type structure by two-stage solid-phase synthesis from precursors. From the results of X-ray diffraction analysis, it follows that the obtained solid solutions are impurity-free and show signs of coexistence of several phases with similar unit cell parameters. It has been shown that AgNbO3 can be used in order to reduce the sintering temperature of solid solutions in the absence of impurities and high density for 3 mol% and 6 mol%; however, for 9 mol%, density decreased. Thus, from the point of view of structural characteristics, the optimal concentration is 6 mol% or less. A finer-grained and more uniform structure should have a positive effect on the service life of ceramic energy storage devices. From the results of the study of dielectric parameters, it follows that the addition of AgNbO3 leads to a decrease in the actual part of the dielectric constant. In solid solutions with x ≠ 0, a transition to the state of a dipole glass is observed at T ≤ 338 K, a further decrease in temperature leads the solid solutions to the state of a frozen dipole glass. An increase in the concentration of AgNbO3 leads to a broadening of the maximum, which passes into the state of a frozen dipole glass at T < 200 K. The study of dielectric hysteresis loops showed solid solutions with an AgNbO3 content of 3 mol% and less because they demonstrate the highest value of η and W from the entire series of modified solid solutions. It is advisable to use the obtained data in the production process of multicomponent lead-free ceramics based on BaTi1−xZrxO3 with other antiferroelectrics modifiers, such as NaNbO3 and PbZrO3.
Author Contributions
Conceptualization, D.V.V. and I.A.V.; X-ray analysis, L.A.S.; microstructural analysis, D.V.V. and A.V.N.; resources, E.V.G.; dielectric properties investigation, D.V.V. and A.A.P.; writing—original draft preparation, D.V.V.; writing—review and editing, I.A.V. and A.A.P.; visualization, D.V.V. and V.A.B.; supervision, I.A.V.; project administration, L.A.R.; funding acquisition, L.A.R. All authors have read and agreed to the published version of the manuscript.
Funding
This research was funded by the Ministry of Science and Higher Education of the Russian Federation (State task in the field of scientific activity in 2023). Project No. FENW-2023-0010/(GZ0110/23-11-IF).
Institutional Review Board Statement
Not applicable.
Informed Consent Statement
Not applicable.
Data Availability Statement
The data presented in this study are available on request from the corresponding author.
Acknowledgments
Work was performed using the equipment of the Center for Collective Use “Electromagnetic, Electromechanical and Thermal Properties of Solids”, Research Institute of Physics, Southern Federal University, Center for Collective Use of the Southern Scientific Center of the Russian Academy of Science (Rostov-on-Don, Russia).
Conflicts of Interest
The authors declare no conflict of interest.
References
- Ishchuk, V.; Kuzenko, D.; Sobolev, V. Piezoelectric and functional properties of materials with coexisting ferroelectric and antiferroelectric phases. AIMS Mater. Sci. 2018, 5, 711–741. [Google Scholar] [CrossRef]
- Neagu, A.; Ciuchi, I.V.; Mitoseriu, L.; Galassi, C.; Tai, C.-W. Study of ferroelectric-antiferroelectric phase coexistence in La-doped PZT ceramics. In European Microscopy Congress 2016: Proceedings; Wiley-VCH Verlag GmbH & Co. KGaA: Weinheim, Germany, 2016; pp. 1034–1035. [Google Scholar]
- Bai, W.; Li, L.; Wang, W.; Shen, B.; Zhai, J. Phase diagram and electrostrictive effect in BNT-based ceramics. Solid State Commun. 2015, 206, 22–25. [Google Scholar] [CrossRef]
- Cheng, H.; Ouyang, J.; Zhang, Y.-X.; Ascienzo, D.; Li, Y.; Zhao, Y.-Y.; Ren, Y. Demonstration of ultra-high recyclable energy densities in domain-engineered ferroelectric films. Nat. Commun. 2017, 8, 1999. [Google Scholar] [CrossRef]
- Song, S.; Jiao, Y.; Chen, F.; Zeng, X.; Wang, X.; Zhou, S.; Ai, T.; Liu, G.; Yan, Y. Ultrahigh electric breakdown strength, excellent dielectric energy storage density, and improved electrocaloric effect in Pb-free (1−x)Ba(Zr0.15Ti0.85)O3−xNaNbO3 ceramics. Ceram. Int. 2022, 48, 10789–10802. [Google Scholar] [CrossRef]
- Pokharel, B.P.; Kumar, L.S.; Ariga, K.; Pandey, E.D. Demonstration of Reentrant Relaxor Ferroelectric Phase Transitions in Antiferroelectric-Based (Pb0.50Ba0.50)ZrO3. Ceramics 2018, 11, 850. [Google Scholar] [CrossRef]
- Nguyena, M.D.; Rijndersc, G. Thin films of relaxor ferroelectric/antiferroelectric heterolayered structure for energy storage. Thin Solid Films 2018, 659, 89–93. [Google Scholar] [CrossRef]
- Ishchuk, V.M.; Sobolev, V.L. Solid solutions with coexisting ferroelectric and antiferroelectric phases for creation of new materials. Low Temp. Phys. 2020, 46, 809. [Google Scholar] [CrossRef]
- Geng, L.D.; Jin, Y.M.; Tan, D.Q.; Wang, Y.U. Computational study of nonlinear dielectric composites with field-induced antiferroelectric-ferroelectric phase transition. J. Appl. Phys. 2018, 124, 164109. [Google Scholar] [CrossRef]
- Liu, Z.; Lu, T.; Ye, J.; Wang, G.; Dong, X.; Withers, R.; Liu, Y. Antiferroelectrics for Energy Storage Applications: A Review. Adv. Mater. Technol. 2018, 3, 1800111. [Google Scholar] [CrossRef]
- Puli, V.S.; Pradhan, D.K.; Chrisey, D.B. Structure, dielectric, ferroelectric, and energy density properties of (1−x)BZT–xBCT ceramic capacitors for energy storage applications. J. Mater. Sci. 2013, 48, 2151–2157. [Google Scholar] [CrossRef]
- Chauhan, A.; Patel, S.; Vaish, R.; Bowen, C.R. Anti-Ferroelectric Ceramics for High Energy Density Capacitors. Materials 2015, 8, 8009–8031. [Google Scholar] [CrossRef] [PubMed]
- Wu, L.; Huan, Y.; Wang, X. A combinatorial improvement strategy to enhance the energy storage performances of the KNN–based ferroelectric ceramic capacitors. J. Mater. Sci. 2022, 57, 15876–15888. [Google Scholar] [CrossRef]
- Palneedi, H.; Peddigari, M.; Upadhyay, A.; Silva, P.B.; Hwang, G.-T.; Ryu, J. 9-Lead-based and lead-free ferroelectric ceramic capacitors for electrical energy storage. In Ferroelectric Materials for Energy Harvesting and Storage; Woodhead Publishing: Cambridge, UK, 2021; pp. 279–356. [Google Scholar]
- Zhao, P.; Cai, Z.; Wu, L.; Zhu, C.; Li, L. Perspectives and challenges for lead-free energy-storage multilayer ceramic capacitors. J. Adv. Ceram. 2021, 10, 1153–1193. [Google Scholar] [CrossRef]
- Fu, D.; Endo, M.; Taniguchi, H.; Taniyama, T.; Mitsuru, I. AgNbO3: A lead-free material with large polarization and electromechanical response. Appl. Phys. Lett. 2007, 90, 252907. [Google Scholar] [CrossRef]
- Kravchenko, O.Y.; Gadzhiev, G.G.; Omarov, Z.M.; Reznichenko, L.A.; Abdullaev, K.K.; Razumovskaya, O.N.; Shilkina, L.A.; Komarov, V.D.; Verbenko, I.A. Phase transformations and properties of ceramics of the composition Ag1−yNbO3−y/2 (0 ≤ y ≤ 0.20). Inorg. Mater. 2011, 47, 1014–1020. [Google Scholar] [CrossRef]
- Kravchenko, O.Y.; Gadzhiev, G.G.; Omarov, M.; Reznichenko, L.A.; Abdullaev, X.X.; Razumovskaya, O.N.; Shilkina, L.A.; Komarov, V.D.; Verbenko, I.A. Properties of environmentally friendly ceramics of the composition Ag1−yNbO3−y/2. Ecol. Ind. Prod. 2010, 3, 50–61. [Google Scholar]
- Łukaszewski, M.; Pawełczyk, M.; Haňderek, J.; Kania, A. On the phase transitions in silver niobate AgNbO3. Phase Transit. A Multinatl. J. 1983, 33, 247–257. [Google Scholar] [CrossRef]
- Gao, J.; Li, Q.; Zhang, S.; Li, J.-F. Lead-free antiferroelectric AgNbO3: Phase transitions and structure engineering for dielectric energy storage applications. J. Appl. Phys. 2020, 128, 070903. [Google Scholar] [CrossRef]
- Tian, Y.; Jin, L.; Zhang, H.; Xu, Z.; Wei, X.; Politova, E.D.; Stefanovich, S.Y.; Tarakina, N.V.; Abrahams, I.; Yan, H. Phase Transitions in Tantalum-Modified Silver Niobate Ceramics for High Power Energy Storage. J. Mater. Chem. A 2016, 4, 17279. [Google Scholar] [CrossRef]
- Gao, J.; Zhao, L.; Liu, Q.; Wang, X.; Zhang, S. Antiferroelectric-ferroelectric phase transition in lead-free AgNbO3 ceramics for energy storage applications. J. Am. Ceram. Soc. 2018, 101, 5443–5450. [Google Scholar] [CrossRef]
- Maiti, T.; Guo, R.; Bhalla, A.S. Evaluation of Experimental Resume of BaZrxTi1−xO3 with Perspective to Ferroelectric Relaxor Family: An Overview. Ferroelectrics 2011, 425, 4–26. [Google Scholar] [CrossRef]
- Abubakarov, A.G.; Shilkina, L.A.; Andryushina, I.N.; Andryushin, K.P.; Verbenko, I.A.; Reznichenko, L.A. Influence of thermodynamic prehistory on the microstructure of ferroactive niobate materials. Constr. Made Compos. Mater. 2017, 3, 53–69. [Google Scholar]
- Skrypnik, M.Y.; Shikina, T.V.; Volkov, D.V.; Shilkina, L.A. Effect of mechanoactivation on phase formation and structural characteristics of a solid solution system based on BaZrxTi1−xO3. LFPM—2022 2022, 1, 221–225. [Google Scholar]
- Powder Diffraction File. Data Card. Inorganic Section. Set 32, Card 484; JCPDS: Swarthmore, PA, USA, 1948.
- Bokiy, G.B. Introduction to Crystal Chemistry; MSU Publishing House: Moscow, Russia, 1954. [Google Scholar]
- Urusov, V.S. Theory of Isomorphic Mixing; Science: Moscow, Russia, 1977. [Google Scholar]
- Bokov, A.A.; Ye, Z.G. Recent progress in relaxor ferroelectrics with perovskite structure. J. Mater. Sci. 2006, 41, 31–52. [Google Scholar] [CrossRef]
- Bogatin, A.S.; Turik, A.V. Processes of Relaxation Polarization in Dielectrics with High through Conductivity; Publishing House Phoenix: Rostov-on-Don, Russia, 2013. [Google Scholar]
- Suchanicz, J.; Stopa, K.; Koroska, B. Influence of axial pressure on dielectric properties of AgNbO3 single crystals and ceramics. Phase Transit. 2007, 80, 123–129. [Google Scholar] [CrossRef]
- Maiti, T.; Guo, R.; Bhalla, A.S. Structure-Property Phase Diagram of BaZrxTi1-xO3 System. J. Am. Ceram. Soc. 2008, 91, 1769. [Google Scholar] [CrossRef]
Disclaimer/Publisher’s Note: The statements, opinions and data contained in all publications are solely those of the individual author(s) and contributor(s) and not of MDPI and/or the editor(s). MDPI and/or the editor(s) disclaim responsibility for any injury to people or property resulting from any ideas, methods, instructions or products referred to in the content. |
© 2023 by the authors. Licensee MDPI, Basel, Switzerland. This article is an open access article distributed under the terms and conditions of the Creative Commons Attribution (CC BY) license (https://creativecommons.org/licenses/by/4.0/).








