Abstract
In this study, Ni/Ba co-doped NaNbO3 ceramics (NBNNOx) were synthesized using a solid-state method to explore the effects of Ni2+ and Ba2+ ion substitution on the structural, optical, and dielectric properties of NaNbO3. X-ray diffraction (XRD) confirmed that the ceramics retained an orthorhombic structure, with crystallinity improving as the doping content (x) increased. Significant lattice distortions induced by the Ni/Ba co-doping were observed, which were essential for preserving the perovskite structure. Raman spectroscopy revealed local structural distortions, influencing optical properties and promoting relaxor behavior. Diffuse reflectance measurements revealed a significant decrease in band gap energy from 3.34 eV for undoped NaNbO3 to 1.08 eV at x = 0.15, highlighting the impact of co-doping on band gap tunability. Dielectric measurements indicated relaxor-like behavior at room temperature for x = 0.15, characterized by frequency-dependent anomalies in permittivity and dielectric loss, likely due to ionic disorder and structural distortions. These findings demonstrate the potential of Ni/Ba co-doped NaNbO3 ceramics for lead-free perovskite solar cells and other functional devices, where tunable optical and dielectric properties are highly desirable.
1. Introduction
Perovskite niobates, including NaNbO3, have attracted considerable attention due to their environmentally friendly characteristics and wide-ranging technological applications [1,2,3,4,5]. Among the limited class of lead-free antiferroelectric (AFE) perovskites, NaNbO3-based relaxor antiferroelectrics are particularly notable for their ultrahigh energy-storage density, positioning them as potential candidates for high-power electronics and energy-storage capacitors [6,7]. This exceptional energy-storage capability is largely attributed to their reversible phase transitions and high dielectric constants, which are crucial for capacitive energy storage. Additionally, the intrinsic high chemical stability of NaNbO3 enhances its utility in sensor applications, particularly in humidity sensing, where it offers reliable performance even under severe environmental conditions [8]. Recent advances have demonstrated that lead-free NaNbO3-based ceramics can exhibit relaxor-type dielectric behavior, characterized by diffuse phase transitions and a strong frequency dependence of the dielectric constant [9,10]. This makes them promising materials for applications in tunable microwave devices, actuators, and capacitors [11]. Sodium niobate, typically regarded as an AFE material, can transition to a ferroelectric state through suitable chemical doping [11,12] or the application of an external DC electric field [2]. This tunable ferroelectricity, driven by modifications in the crystal structure, is pivotal for applications in high-density optical data storage and energy storage, where controlled polarization states are crucial [11].
Recently, NaNbO3 has emerged as a promising photocatalytic material due to its greater stability compared to other Nb-based photocatalysts and its unique corner-shared [NbO6] octahedral crystal structure, which is reported to significantly enhance charge migration and reduce the recombination rates of photogenerated electron–hole pairs. Extensive studies have demonstrated that NaNbO3 is highly efficient in photocatalytic applications, such as hydrogen production through water splitting [13], CO2 reduction [13,14], decomposition of organic pollutants [15], and the degradation of organic contaminants in wastewater treatment [16]. These capabilities are largely attributed to its specific crystal structure and the efficient separation of charge carriers. However, the wide band gap, typically around 3.4 eV in pure NaNbO3, restricts its absorption to the ultraviolet (UV) range, which covers a limited part of the solar spectrum. This limitation reduces its efficiency as a visible-light photocatalyst. To overcome this limitation and enhance the photocatalytic performance of UV-active materials like NaNbO3, extending their light absorption capabilities into the visible range is crucial. Strategies such as metal decoration, including noble metals like Pt [17] and Au [18], and coupling with other narrow band gap semiconductors like AgO2 [19] and g-C3N4 [20] have shown some success in this regard. Moreover, doping with transition metals such as Ag [21] or nonmetals like N [22] has been investigated to reduce the band gap and enhance the absorption of visible light. More recently, research has shifted towards developing new photocatalysts with tunable band gaps and band-edge positions through precise chemical doping [23]. In particular, the high susceptibility of ABO3 perovskites to partial cation substitution at both the A and B sites presents a promising approach for continuous band energy modulation, facilitating the development of high-performance, visible-light-sensitive NaNbO3-based photocatalysts. This approach not only tailors the electronic structure but also improves the photocatalytic activity by optimizing the redox potential and enhancing charge carrier mobility.
Moreover, when these materials exhibit ferroelectric properties, their spontaneous polarization positions them as promising candidates for photovoltaic applications and other multifunctional devices [24,25]. This polarization can induce a bulk photovoltaic effect, where charge carriers, particularly electrons and holes, are efficiently separated, thereby reducing recombination rates [26]. This effect is particularly advantageous in ferroelectric materials, where the intrinsic electric field can drive charge separation without the need for an external p-n junction, leading to potential applications in self-powered devices. Several materials, such as KNbO3 [27], LiNbO3 [28], BaTiO3 [29], and BiFeO3 [30], have been recognized as potential candidates for photovoltaic applications due to their strong ferroelectric characteristics. These materials have been extensively studied for their ability to generate photocurrents under light illumination. Among them, BiFeO3 stands out for its relatively narrow band gap and notable ferroelectric properties, which significantly improve its photocatalytic and photovoltaic performances [31,32]. However, a primary challenge in utilizing perovskite-type ferroelectrics for photovoltaic applications is their inherently wide band gap. This wide band gap, influenced by the nature of the A-O and B-O metal–oxygen bonds, restricts light absorption primarily to the UV region. Extending light absorption into the visible wavelength range is therefore crucial for improving the photovoltaic efficiency of these materials. Recent research has focused on various strategies to narrow the band gap of these ferroelectrics, such as doping with transition metals or creating solid solutions with other perovskites [33,34]. These approaches aim to enhance visible light absorption and optimize the electronic structure for better photovoltaic performance, making these materials more competitive with other emerging photovoltaic technologies.
Identifying methods to reduce the band gap of ferroelectrics while preserving their beneficial ferroelectric properties could lead to significant advancements in ABO3 oxide materials. Recent theoretical work based on density functional theory (DFT) calculations suggests that the substitution of the B site by Group 10 metals such as Ni, Pd, and Pt, as well as stabilization of these substitutions by the introduction of oxygen vacancies, can significantly reduce the band gap while preserving or even increasing the spontaneous polarization of the parent phase [35]. These theoretical predictions have been experimentally validated by Grinberg et al., who demonstrated that Ni-containing (K1−xBax)(Nb1−x/2Nix/2)O3−δ (KBNNO) solid solutions exhibit both ferroelectricity and band gap tenability up to 2.7 eV [36]. Such doping strategies effectively narrow the band gap and enable these ferroelectric perovskites to absorb visible light, which opens promising pathways for the development of semiconductor-based ferroelectric perovskite solar cells and other advanced applications.
In this context, our approach involves developing NaNbO3-based materials by co-doping with Ni2+ and Ba2+ ions, selected specifically for their ability to adjust optical energy bands and modify dielectric properties. The substitution of the A-site (Na+) with the larger cation (Ba2+) is expected to further enhance solubility and promote the formation of vacancies. This study aims to understand how varying the concentration of these dopants affects the structural, dielectric, and optical properties of [NaNbO3]1−x[BaNi1/2Nb1/2O3−δ]x (NBNNOx) ceramics, synthesized via solid-state reactions. Structural characterization was performed using X-ray diffraction and Raman spectroscopy. The dielectric properties were conducted by measuring the dielectric constant and loss over a range of temperatures and frequencies, while optical properties were examined at room temperature using diffuse reflectance spectroscopy. The goal is to explore the potential applications of these materials in advanced functional devices, potentially advancing technologies for photocatalysis, photovoltaics, and other solar-light-sensitive applications.
2. Materials and Methods
[NaNbO3]1−x[BaNi1/2Nb1/2O3−δ]x ceramic samples with compositions of x = 0, 0.05, 0.10, and 0.15 were synthesized using the solid-state reaction method. These ceramic samples are subsequently designated as NNO, NBNNO0.05, NBNNO0.10, and NBNNO0.15, respectively. The starting materials, which included highly pure powders of Na2CO3, BaCO3, Nb2O5, and NiO (Sigma-Aldrich 99.9%, St. Louis, MO, USA), were dried at 473 K for 2 h. These powders were then weighed in stoichiometric ratios and mixed for 2 h in an agate mortar. The resulting mixtures were calcined at 1273 K for 12 h, followed by an additional 2 h mixing before being pressed into pellets measuring 8 mm in diameter and 1 mm in thickness. Finally, the pellets were sintered at 1473 K for 3 h. The compactness values (C), defined as the ratio of experimental density (dexp) to theoretical density (dtheo), for the sintered specimens increased from 93% for the undoped NNO (x = 0) to 96% for the NBNNO0.15-doped sample. The diameter shrinkages of the ceramic disks (ΔΦ/Φ) were calculated as (Φin − Φfin)/Φin, where Φin and Φfin represent the initial and final diameters, respectively. These values were found to range between 0.13 and 0.16. To form electrodes for dielectric measurements, silver paste was applied to both sides of the sintered ceramic pellets.
The crystal structure of the ceramic samples was analyzed at room temperature using X-ray diffraction (XRD). The XRD patterns were recorded on a Philips diffractometer (Philips, Eindhoven, The Netherlands) with CuKα radiation (λ = 1.5418 Å) over the angular range of 20° < 2θ < 70°, employing a step size of 0.02° and a counting time of 1 s per step. The surface morphology of the as-prepared ceramics was examined using an FEI XL-30 Scanning Electron Microscope (FEI, Oregon, OR, USA), which offers a typical resolution of 1.5 nm at 10 kV or higher. Raman scattering data were collected at room temperature in the wavenumber range of 50–1000 cm−1 using a Horiba HR800 Raman spectrometer (Horiba Scientific, Kyoto, Japan) equipped with a 632 nm red laser. Diffuse reflectance measurements were carried out at room temperature in the wavelength range of 350–900 nm, using an Ocean Optics HR2000 monochromator, a DH-2000-Bal lamp, a UV–Vis fiber, and a WS-1 reflectance standard featuring a PTFE optical diffuser (Ocean Optics, Dunedin, FL, USA). The temperature dependence of the complex relative permittivity and dielectric loss were measured using an HP 4192A impedance analyzer (HP, Santa Clara, CA, USA) within the temperature range of 100–800 K and at frequencies from 1 kHz to 1 MHz.
3. Results
3.1. Structural and Microstructure Analysis
3.1.1. X-Ray Diffraction
Figure 1a shows the XRD patterns of the sintered [NaNbO3]1−x[BaNi1/2Nb1/2O3−δ]x ceramics (NBNNOx), exhibiting typical diffraction peaks of an ABO3 perovskite structure. Room-temperature XRD analysis confirmed that the NBNNOx ceramics crystallized in a single-phase, with no traces of residual precursors detected. The indexing of Bragg reflections indicates that the NBNNOx ceramics crystallize in an orthorhombic structure, with progressive changes in crystal symmetry as the doping rate (x) increases. The identified space groups are Pbma (for x = 0), Pnma (for x = 0.05), and Amm2 (for both x = 0.10 and 0.15). Notably, the irregular shifts of the (020) diffraction peak observed in Figure 1b can be attributed to structural changes and space group transitions induced by doping. Transitions within orthorhombic phases (e.g., Pbma → Pnma or Pbma → Amm2) affect peak positions, even when lattice parameters change systematically. Factors such as octahedral tilting, atomic displacements, and internal stress likely contribute to these shifts. For NBNNO0.10 and NBNNO0.15 (both with the Amm2 space group), the observed leftward shift of the (020) and (111) peaks corresponds to an increase in unit cell volume, confirming that when the space group remains consistent, peak shifts align with the trends in lattice parameter expansion.
Figure 1.
(a) X-ray diffraction patterns of sintered NBNNOx ceramics recorded at room temperature; (b) Enlarged view of the XRD patterns in the rectangular window between 31° and 33°, focusing on the principal diffraction peaks.
Structural refinement of the XRD patterns was conducted using the Fullprof program. The experimental and calculated Rietveld-refined XRD patterns for NBNNOx ceramics are presented in Figure 2. To evaluate the quality of the refinement, various agreement factors between the observed and calculated profiles were defined in Fullprof (2020 version). Satisfactory agreement factors were achieved after several refinement steps. The refinement confirms the presence of an orthorhombic structure for all phases, with space groups Pbma for NNO, Pnma for NBNNO0.05, and Amm2 for NBNNO0.10 and NBNNO0.15 ceramics. Table 1 summarizes the Rietveld-refinement data, including the lattice parameters, unit cell volume, and adjustment parameters. The profile residual (Rp), weighted profile residual (Rwp), and goodness of fit (χ2) parameters are used to evaluate the quality of the refinement [37], all of which confirm the reliability of the XRD results.
Figure 2.
The Rietveld pattern obtained from X-ray powder diffraction of the NBNNOx ceramics. (a) NNO; (b) NBNNO0.05; (c) NBNNO0.10; (d) NBNNO0.15. The points represent the experimental profile, and the red solid line corresponds to the calculated profile. Positions of the Bragg reflections are indicated by green vertical bars. The blue curve at the bottom of the figure represents the discrepancy between the experimental and calculated profiles. The crystal structures were plotted inside using the “Diamond” program.
Table 1.
Rietveld-refined lattice parameters of NBNNOx compounds, bond lengths and bond angles, and discrepancy factors: profile residual (Rp), weighted profile residual (Rwp), and goodness of fit (χ2).
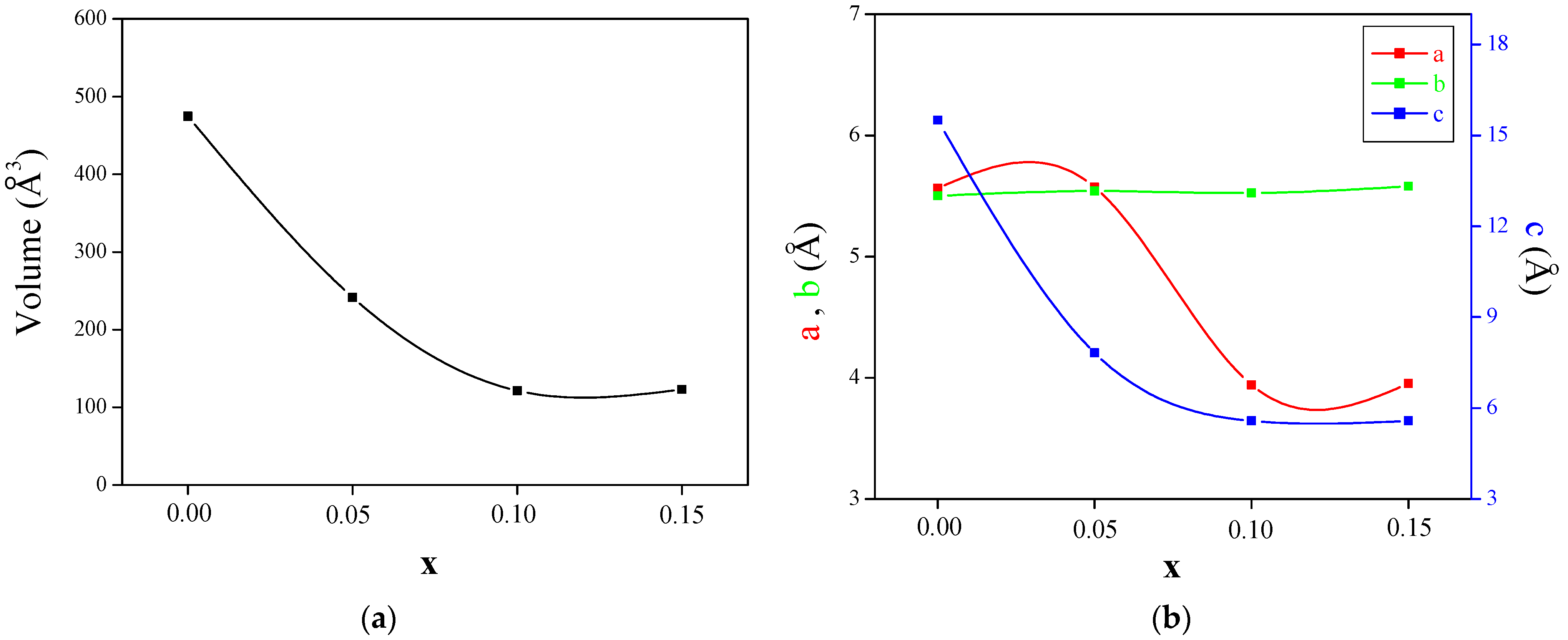
Figure 3 illustrates the variation in the unit cell volume and lattice parameters with respect to the Ni/Ba substitution content (x) in the NNO parent phase. It is evident that the change in space group leads to a significant decrease in the unit cell volume with an increased doping rate (x) (Figure 3a), with the volume for NBNNO0.10 being up to four times smaller compared to that of NNO. This reduction is mainly attributed to decreases in the lattice parameters (a) and (c), while the (b) parameter remains almost unchanged (Figure 3b). The observed lattice contraction in the (010) planes is likely due to the ionic character of the Ni-O bonds. However, when comparing NBNNO0.15 with NBNNO0.10, which are both crystallized in the same space group (Amm2) within the orthorhombic structure, a slight increase in cell volume (1.3%) is noted. This increase corresponds to the shift of diffraction peaks toward lower angles, as shown in Figure 1b. The larger ionic radii of Ba2+ (1.35 Å) and Ni2+ (0.69 Å) compared to Na+ (1.02 Å) and Nb⁵+ (0.64 Å) lead to an expansion of the unit cell volume, resulting in a shift of peak positions towards lower angles.
Figure 3.
(a) Variation in the unit cell volume of the NBNNOx orthorhombic phases; (b) Lattice parameters a and b shown on the left-hand side ordinate, and c on the right-hand side ordinate as a function of the doping content (x).
For a more detailed understanding of the structural changes induced by Ni/Ba substitution, the crystal structure and BO6 octahedra of the NBNNOx phases were visualized using the “Diamond” program, utilizing atomic positions derived from the Rietveld-refinement data. As shown in Figure 4, the BO6 octahedra form structural chains with periodically modulated tilt angles denoted as θ1 and θ2, within the orthorhombic structures of NBNNOx. The octahedra alternate between these angles, where pairs of neighboring octahedra are tilted by θ1 within each chain, and adjacent pairs are tilted by θ2 relative to each other. This alternating pattern of tilt angles influences the bonding environment and contributes to the structural stability of the material [38]. The values of the O–B–O angles θ1 and θ2 as a function of the doping rate (x) are measured and plotted in Figure 5. The O–B–O tilt angles change significantly with increasing content (x), which may lead to varying levels of structural ordering and distortions in the NBNNOx ceramics. The orthorhombic structure of the NNO parent phase with the Pbma space group exhibits two distinct tilt angles (θ1 and θ2). However, for compositions with x ≥ 0.05, these angles converge, signaling a transition toward a more symmetric configuration. This shift is accompanied by significant variations in the O–B–O angle. As shown in Figure 5a, the sequential change in space groups, from Pbma (x = 0) to Pnma (x = 0.05) and Amm2 (x = 0.10), is accompanied by decreasing tilt angles, which reflect increased misalignment between octahedra. The misalignment, defined as a 180° tilt angle, indicates that smaller tilt angles lead to greater structural distortion. Consequently, NBNNO0.05 and NBNNO0.10 show higher distortion compared to the NNO parent phase. Although both NBNNO0.10 and NBNNO0.15 adopt the Amm2 space group, the significant increase in the O–B–O tilt angle from 130° to 180° suggests reduced misalignment between adjacent octahedra, indicating enhanced structural stability and a decrease in the degree of crystal structure distortion, as discussed in the following section.
Figure 4.
Arrangements of the BO6 octahedra along the c-axis of the NBNNOx structures. θ1 and θ2 represent the periodically modulated tilt angles of the structural chains. The oxygen ions are represented by red spheres, and the Nb/Ni ions are represented by yellow spheres.
Figure 5.
(a) Variation in the tilt angles within the structural octahedral chain; (b) Variation in the axial, apical and average <(Nb/Ni)–O> bond lengths as a function of doping content (x).
Regarding the geometric aspects of the BO6 octahedron, this configuration typically exhibits distortions, giving rise to two types of nonequivalent B–O bonds: axial bonds and apical bonds. The axial bonds, aligned along the c-axis, are often either longer or shorter than the apical bonds, depending on the nature of the distortion and the surrounding bonding environment. The apical bonds, located within the (a, b) plane, form two pairs that may differ in length and angle relative to the axial bonds, further contributing to the overall distortion of the octahedron.
The variation in B–O bond lengths and angles usually influences the material’s physical properties and stability. A clear understanding of the differences between axial and apical bonds is essential for analyzing the electronic structure, bonding characteristics, and potential applications of materials with orthorhombic BO6 octahedra. In this context, the average bond lengths, <B–O>axial and <B–O>apical, representing the axial and apical bonds, respectively, were measured and are presented in Figure 5b. This can be useful in providing information on the lattice distortions induced by Ni/Ba substitution. The variation in <(Nb/Ni)–O> bond lengths as a function of the doping rate (x) shows a specific change in <(Nb/Ni)–O>axial and <(Nb/Ni)–O>apical bonding lengths for x = 0.05 compared to the other compositions. This change, characterized by an axial expansion accompanied by a planar shortening of the BO6 octahedra, highlights the presence of significant lattice distortion in the NBNNO0.05 compound. When examining the overall change by averaging the axial and apical bond lengths, as shown in Figure 5b, the substitution effect reveals an increase of about 2% in the <(Nb/Ni)–O> bond length for the NBNNO0.05 compound compared to the other compositions.
These observations confirm the presence of structural distortions in the crystal lattice, which are essential for preserving the perovskite structure of the doped compounds. This suggests that distortions in the BO6 octahedra, driven by variations in B–O bond lengths, contribute to an increased degree of local structural disorder, mainly induced by Ba and Ni substitutions at the A and B sites, respectively.
3.1.2. Raman Analysis
To obtain additional information on the structural features of the crystal lattice, such as order–disorder, crystallinity, and bond distortion, Raman analysis was carried out on NBNNOx ceramics. Figure 6 shows the Raman spectra recorded at room temperature for NBNNOx samples with different Ni/Ba contents, identifying various vibration modes. These modes are classified into the translational mode of an isolated cation at the A-site and six internal modes of the coordination polyhedra (BO6), as schematically illustrated in Figure 7. The internal vibration modes of the BO6 octahedra include three stretching modes (1A1g (ϑ1), 1Eg (ϑ2), and 1F1u (ϑ3)) and three bending modes (1F1u (ϑ4), 1F2g (ϑ5), and 1F2u (ϑ6)). It should be noted that the modes ϑ1, ϑ2, and ϑ5 are symmetrical, while the modes ϑ3, ϑ4, and ϑ6 exhibit non-symmetrical vibrations [39].
Figure 6.
Raman spectra recorded at room temperature for NBNNOx ceramics with different Ni/Ba contents. (a) NNO; (b) NBNNO0.05; (c) NBNNO0.10; (d) NBNNO0.15. Various vibration modes are identified from the deconvoluted Raman spectra, represented in different colors.
Figure 7.
Schematic representations of internal vibrational modes of BO6 octahedra, showing that the ϑ1, ϑ2, and ϑ5 modes are symmetric; the ϑ3, ϑ4, and ϑ6 modes are non-symmetric; 1A1g (ϑ1), 1Eg (ϑ2), and 1F1u (ϑ3) are stretching modes; and 1F1u (ϑ4), 1F2g (ϑ5), and 1F2u (ϑ6) are bending modes. The blue arrows indicate the direction of atom vibrations. The oxygen ions are represented by red spheres, and the Nb/Ni ions are represented by yellow spheres.
Three main frequency regions can be distinguished from the deconvoluted Raman spectra (Figure 6). The low-frequency region, below 150 cm−1, displays an intense peak at 71 cm−1, associated with translational movements of Na+ and/or Ba2+ cations. The intermediate region, extending over 150 to 450 cm−1, contains several fine peaks associated with the internal vibratory modes of BO6 (F2g (ϑ5) and F2u (ϑ6)) and a low band linked to the combination mode of stretching and bending vibrations F1u (ϑ4). The high-frequency region between 450 and 900 cm−1 displays three peaks corresponding to the stretching vibrations ϑ2, ϑ1, and ϑ3, located at 553, 598, and 665 cm−1, respectively [40].
Table 2 summarizes the vibration modes related to each NBNNOx sample, highlighting a significant substitution effect. As seen in Figure 6, the number of peaks related to the ϑ6 vibration mode decreases as the doping rate (x) increases, indicating a notable structural change in the crystal structure. Additionally, a broad peak at about 850 cm−1 is specifically observed in doped ceramics, associated with the combination of ϑ1 and ϑ5 modes [39,40]. This peak is attributed to the valence vibrations of the B–O–B bridges, where B designates the elements occupying site B (Nb5+, Ni2+). Its intensity increases with the Ni-doping rate, suggesting that the concentration of Ni–O–Nb bridges increases while that of Nb–O–Nb decreases as the Ni content increases. This vibrational mode may be associated with local cation ordering/disordering within the structure, which can be correlated with changes in the NbO6 octahedron parameters, such as volume, bond angles, and bond lengths, as previously confirmed by Rietveld refinement.
Table 2.
Vibration modes of NBNNOx ceramics, collected in the wavenumber range of 50–1000 cm−1.
The relative shifts in vibrational modes observed in the doped ceramics are closely associated with the significant lattice distortions induced by the incorporation of Ba2+ and Ni2+ ions into the crystal lattice of the NNO parent phase. These distortions introduce an imbalance in bond lengths and strengths between the B-site ions (Nb5+, Ni2+) and their coordinated oxygen atoms, resulting in shifts in the vibrational modes [41]. Specifically, the incorporation of these dopants modifies the local bonding environment by introducing lattice strain, octahedral tilting, and structural disorder.
To further illustrate these changes, Figure 8 shows the shifts in the internal vibration modes of the BO6 octahedra, with an emphasis on the bending mode ϑ1 and the stretching mode ϑ5, plotted as a function of doping content. A progressive red shift (the peak moves to lower wavenumbers) is observed for the ϑ5 mode with increasing Ni/Ba doping, indicating bond weakening due to lattice expansion and local distortions. In contrast, the ϑ1 mode exhibits a blue shift (peak moves to higher wavenumbers) at x = 0.05 and x = 0.10, suggesting bond strengthening or lattice compression. Notably, for the x = 0.15 composition, almost no shift is observed compared to the NNO parent phase (x = 0), indicating a structural stabilization at higher doping levels.
Figure 8.
Variation in the Raman peak position of the principal internal vibration modes of the BO6 octahedra, ϑ1 (bending mode) and ϑ5 (stretching mode), as a function of the doping content.
These mode shifts highlight the complex interplay between strengthened and weakened bonds, driven by lattice expansion, compression, and octahedral tilting. The results reflect the extensive structural distortions within the BO6 octahedra and the overall lattice disorder introduced by Ba and Ni co-doping, which plays a crucial role in modifying the material’s structural and dielectric behavior.
3.1.3. Microstructure Analysis
To investigate the microstructure changes in NBNNOx ceramics, the microstructural parameters, microstrain, and crystallite size are evaluated based on X-ray diffraction peak broadening. The integral breadth (β) of diffraction peaks is mainly associated with two contributions: βG, due to the presence of microstrain, and βL, related to crystallite size. These two effects were deconvoluted from the overall peak broadening using the Halder and Wagner formalism [42,43]. In this approach, the crystallite size contribution is modeled with a Lorentzian profile, while the microstrain contribution follows a Gaussian profile. The integral breadths βG and βL are related to the microstrain (ε) and crystallite size (D) via the Stokes and Wilson formula [44] and Scherrer’s equation [45], respectively:
where λ represents the wavelength of CuKα radiation, denotes the Bragg’s diffraction angle of the peak, and k is a constant, taken as 4/3 for spherical crystallites [46]. By applying these equations, the microstrain and crystallite size can be accurately determined, providing insight into the microstructural changes occurring in the NBNNOx ceramics.
The two contributions βG and βL are extracted from the integral broadening of the most intense diffraction peak using the “Winplotr” program. The microstrain (ε) and crystallite size (D) are then determined from Equations (1) and (2), respectively. The obtained microstructural parameters D and ε are plotted as a function of the substitution rate (x). The pronounced variation in microstructural parameters illustrated in Figure 9 underlines the notable influence of Ni/Ba substitution in the NNO parent phase. A sharp decrease in crystallite size, from 140 nm to 71 nm, is observed when the Ni/Ba content increases from x = 0 to x = 0.10. This effect is accompanied by an increase in microstrain which reaches its maximum level of about 0.3% for x = 0.05 and x = 0.10 compared to the other compositions. In contrast, the NBNNO0.15 ceramic exhibits a slight relaxation of microstrain, associated with a relative increase in crystallite size up to 86 nm. Such an observation indicates that the crystallinity of the NBNNO0.15 phase is relatively improved compared to the NBNNO0.10 phase.
Figure 9.
Variation in the microstructural parameters: crystallite size (D) and microstrain (ε) as a function of the doping content (x), determined through X-ray diffraction peak broadening and derived from the Halder–Wagner approach.
For further microstructural analysis, the surface morphology of the NBNNO0.15-doped ceramic was examined and compared to that of the NNO parent phase. The SEM micrographs in Figure 10 reveal significant changes in grain size and porosity between the two samples. The NNO parent phase consists of large particles averaging about 3 μm in size, with clearly visible pores identified by dark contrasts as depicted in Figure 10a. In contrast, the NBNNO0.15-doped ceramic, shown in Figure 10b, exhibits a surface morphology with low porosity and well-faceted, uniformly distributed fine grains, averaging about 0.75 μm in size. This marked reduction in grain size is consistent with various studies reported in the literature [47,48,49]. It is suggested that oxygen vacancies influence grain growth differently depending on the material system, doping levels, and synthesis conditions. On one hand, they can enhance ion transport by providing vacant sites for diffusion, promoting grain growth, particularly in high-temperature sintering processes. On the other hand, they can accumulate at grain boundaries, forming space charge layers that inhibit grain boundary migration and thereby reduce grain size. Additionally, the substitution of Ni2+ and Ba2+ ions introduces chemical disorder, which creates lattice distortions, oxygen vacancies, and internal stresses that further impede grain boundary movement. This combined effect of oxygen vacancies and chemical disorder likely accounts for the smaller grain size observed in the doped sample compared to the larger grains of the undoped NNO ceramic.
Figure 10.
SEM micrographs using secondary electron imaging of (a) parent phase NNO; (b) doped NBNNO0.15 ceramic.
In conclusion, the substitution of Ba and Ni substitution at the A and B sites induces significant structural distortions in the crystal lattice, as evidenced by structural, microstructural, and Raman analysis. These distortions contribute to increasing the local structural disorder in the doped compounds, which are expected to influence their optical and dielectric properties.
3.2. Diffuse Reflectance Study
The diffuse reflectance spectra (DRS) at room temperature for NBNNOx ceramics, measured in the 350–900 nm range, are shown in Figure 11. A comparison with the parent NNO phase reveals significant changes in the DRS profiles of the doped NBNNOx ceramics. While the NNO phase shows a stable reflectance plateau over the 450–900 nm spectral range, the doped NBNNOx ceramics exhibit an enhanced absorption band in the visible region, particularly in the red-light spectrum. This suggests that the incorporation of Ni2+ and Ba2+ ions alters the optical properties, likely due to modifications in the electronic structure [35,36].
Figure 11.
Diffuse reflectance spectra of NBNNOx ceramics measured at room temperature in the 350–900 nm range.
Moreover, the diffuse reflectance of the doped ceramics decreases significantly compared to the parent NNO, which maintains a reflectance as high as 96%. The reduction in reflectance becomes increasingly pronounced with higher doping contents (x), indicating a clear correlation between doping levels and optical response. This change in reflectance and absorption is likely influenced by multiple factors, including surface roughness, crystallinity, and grain size [50,51,52]. Surface roughness, in particular, plays a key role, as it has been widely reported that rougher surfaces tend to produce more diffuse reflection [53]. Additionally, variations in grain size and the crystallinity of the materials may contribute to the observed optical changes, affecting light scattering and absorption behavior within the ceramic matrix.
3.2.1. Band Gap Energy
The optical band gap energy (Eg) of NBNNOx compounds was estimated through diffuse reflectance measurements using the Kubelka–Munk method [54], which allows for precise extraction of the Eg value. The reflectance data were first converted into the Kubelka–Munk function following the expression below [55].
where denotes the Kubelka–Munk function, indicates the relative diffuse reflectance of the layer with respect to a standard, K represents the absorption coefficient of the sample, and S is the scattering coefficient.
When materials scatter in a perfectly diffuse manner, the Kubelka–Munk absorption coefficient K varies proportional to the linear absorption coefficient [55]. The optical band gap Eg is related to this coefficient by the following equation [56]:
where hv is the photon energy, C1 is a proportionality constant, and n an exponent that reflects the type of electronic transition, with n = 1/2 indicating direct allowed transitions and n = 2 indicating indirect allowed transitions.
Assuming K is equal to 2 for perfect scattering and incorporating this relation into Equation (4), the Kubelka–Munk expression is reformulated as follows:
The n value is evaluated following the method outlined in [57]. By plotting ln(F(R)hv) against ln(hv − Eg) for an estimated Eg value, the slope of the linear region near the band edge provides the n value. This value is found to be equal to 2, affirming that the optical transition is indirectly allowed for the undoped and doped compounds. In this case, the photon absorption process promotes an indirect electronic transition between the valence and conduction bands. The Eg values for NBNNOx ceramics are determined by plotting versus ( and extrapolating the linear region of the curve to its intercept with the abscissa.
As shown in Figure 12, the extrapolation of the linear part of the Kubelka–Munk curves, derived from the absorption data, reveals a significant reduction in the band gap of the doped NBNNOx compounds. Additionally, Figure 13 illustrates a nearly linear correlation between the band gap and the doping content. The Eg value decreases significantly from 3.34 eV to 1.08 eV as the doping content increases from 0 to 0.15, corresponding to a band gap tunability of 2.26 eV. A similar extensive band gap tunability has also been reported in KBNNO solid solutions [36,58].
Figure 12.
Kubelka–Munk transformed reflectance spectra of NBNNOx ceramics at room temperature (solid lines), showing the determination of the band gap energy (Eg) through the extrapolation of the linear portion of the spectra (dotted lines).
Figure 13.
Dependence of the band gap and Urbach energy on doping content. The Urbach energy (Eu) is extracted from the slope of the linear fit in the plot of ln(F(R)) versus photon energy (hν).
These findings highlight the critical role of Ni, as well as the generated oxygen vacancies, in the significant lowering of the band gap, consistent with theoretical expectations for Ni-doped PbTiO3 ceramics [35]. Specifically, it has been proven that the Ni–VO–Nb configuration tailored by the oxygen vacancies generates a higher density of Ni-3d states in the valence band. In this case, the valence band maximum consists of hybridized Ni-3d and O-2p states, while the conduction band minimum is governed by Nb-4d states. The presence of filled Ni-3d gap states within the NNO host is thus expected to play a crucial role in the observed reduction in the Eg band gap. In contrast, the wide band gap of the parent NNO phase arises from the intrinsic properties of the metal–oxygen (Nb–O) bonds, where the excitation across the band gap mainly involves charge transfer from the O-2p states at the valence band maximum to the Nb-4d states at the conduction band minimum.
The pronounced band gap reduction observed in NBNNOx ceramics highlights the significant influence of transition metal doping on the electronic structure of perovskite materials. The quasi-linear relationship between band gap energy and doping content indicates that the degree of band gap tunability can be precisely controlled by adjusting the dopant concentration, making these materials highly versatile for various applications. These findings confirm the crucial role of Ni and oxygen vacancies in modulating the material’s optical properties, potentially enabling their use in visible-light-driven photocatalysis or other applications where light absorption is critical. Additionally, comparisons with KBNNO solid solutions suggest that such band gap engineering strategies may be widely applicable to similar perovskite systems, paving the way for the design of functional materials with tailored properties [36,58,59].
3.2.2. Urbach Energy
In general, numerous factors associated with structural disorder in the lattice can significantly affect the energy band structure [13,60]. Specifically, structural defects introduced within the band gap can contribute prominently to reducing the Eg value by generating intermediate levels within the band gap [61]. The extent of these defects can be quantified through the Urbach energy (Eu), which measures the magnitude of defect-related energy states [62,63]. The Urbach energy is determined using the following equation [64]:
where is the absorption coefficient and 0 is a constant. Since the absorption coefficient is proportional to the Kubelka–Munk function F(R), Equation (6) can be rewritten in logarithmic form as follows:
where C is a constant. The Urbach energy Eu is determined by plotting ln(F(R)) against photon energy (hν). The reciprocal of the slope of the linear fit provides the Eu value. The obtained Eu values, along with the corresponding band gap energy (Eg), are depicted in Figure 13. The graph clearly shows that the Urbach energy increases significantly with higher Ni/Ba content, rising from 170 meV for x = 0 to 700 meV for x = 0.15. This suggests that as the defect energy increases, the band gap decreases. This observation highlights how structural defects contribute to the narrowing of the band gap and emphasizes the role of defect states in modifying the material’s optical properties, as commonly reported in several works [49,61,65].
It can be concluded that the substantial increase in Urbach energy with higher Ni/Ba doping confirms that the introduction of these elements leads to a higher density of defect states. This increased defect density contributes to the effective narrowing of the band gap. Understanding this phenomenon is crucial for elucidating the electronic and optical behavior of doped NBNNOx ceramics and is valuable for applications that require precise band gap tuning.
3.3. Dielectric Study
Figure 14 shows the temperature dependence of the real part of the dielectric permittivity () and dielectric loss (δ) of the NBNNOx ceramics, measured at various frequencies.
Figure 14.
Temperature dependence of the real part of the dielectric permittivity (εr′) and dielectric loss (δ) of the NBNNOx ceramics: (a) NNO; (b) NBNNO0.05; (c) NBNNO0.10; (d) NBNNO0.15. The dielectric loss (δ) curves are presented in the inset of each figure.
The pure NNO ceramic, featuring a Pbma antiferroelectric structure, known as the P phase, displays three distinct dielectric peaks, each associated with a phase transition during heating, as shown in Figure 14a. The first dielectric peak at 686 K indicates the transition from the P phase to the antiferroelectric R phase, which has an orthorhombic Pmmn structure. The second peak, observed near 765 K, marks the transition from the R phase to the paraelectric S phase, also adopting an orthorhombic Pmmn structure. The third peak, observed at 796 K, is attributed to the paraelectric–paraelectric transition from the S phase to the T(1) phase, characterized by an orthorhombic Ccmm structure. At higher temperatures, further transitions are expected to occur from the T(1) phase to the T(2) phase, and subsequently to the C phase [66]. These subsequent transitions involve paraelectric phases that do not exhibit spontaneous polarization. Instabilities in the tilting of the oxygen octahedra and the displacement of the Nb5+ ions from the centers of their octahedral sites drive these temperature-induced phase transitions.
Upon heating, the material undergoes successive phase transitions, progressively reducing tilts and displacements until it achieves the cubic aristotype structure (Pm3m). Both the permittivity and dielectric loss peaks show significant frequency dispersion, while the corresponding TP−R, TR−S, and TR−T(1) phase transition temperatures remain invariant with frequency. The high values of at low frequencies can be attributed to the presence of various types of polarizations (interfacial, dipolar, atomic, ionic, and electronic) within the ceramic. However, at high frequencies, some of these polarizations contribute less to , which is consistent with normal dielectric behavior.
A significant change in dielectric behavior is observed in NBNNOx ceramics, characterized by a noticeable shift of the dielectric peaks toward lower temperatures at specific frequencies, as shown in Figure 14b–d. In doped NBNNOx ceramics, two primary dielectric transition peaks are observed. We define Region I as the temperature range corresponding to the first transition, occurring at the temperature T1m. Region II is defined by a higher temperature range, where the second phase transition occurs at the temperature T2m, indicated by a second peak.
At a lower doping level, the NBNNO0.05 ceramic sample exhibits two distinct dielectric transitions, characterized by sharp and intense permittivity peaks at 710 K and 734 K, as shown in Figure 14b. The peak maxima shift significantly toward higher temperatures with increasing frequency, indicating a significant frequency dependence of Tm, which suggests relaxor-like behavior in the material. As the doping level increases, an interesting feature emerges in Figure 14c,d. The permittivity of NBNNO0.10 and NBNNO0.15 ceramics exhibits a broad main peak at temperatures T1m of 445 K and 270 K for 1 kHz, respectively. These dielectric transitions are marked by a diffuse nature, with frequency-dependent variations in both permittivity and dielectric loss around the peak maxima. Specifically, in the NBNNO0.15 sample, the temperature T1m of the maximum shifts to higher values with increasing frequency, while the intensity of the maximum decreases (Figure 14d). This temperature shift and significant frequency dispersion observed for T < T1m suggest relaxor-like behavior for this transition. At higher temperatures, both NBNNO0.10 and NBNNO0.15 ceramics exhibit a second phase transition, as clearly shown by the dielectric loss curves in the inset of Figure 14c,d. The T2m temperature decreases from 605 K to 480 K with increasing doping, along with a reduction in the intensity of the corresponding permittivity and dielectric loss peaks. In contrast to NBNNO0.10, the second transition in NBNNO0.15 ceramic shows a slight shift to higher temperatures with increasing frequency, confirming the relaxor-like behavior of this transition. These dielectric changes in doped NBNNOx ceramics are generally attributed to the inhomogeneous distribution of incorporated ions within the NNO host. It can be concluded that substituting Ni2+ for Nb5+ and Ba2+ for Na+, along with the creation of oxygen vacancies, primarily influences the dielectric properties of NaNbO3 by lowering the transition temperature and promoting relaxor-like behavior. Similar dielectric behavior has been observed in other NaNbO3-based lead-free solid solutions, including Na1−xBaxNbxTi1−xO3 [4,67] and Zr/Ln co-doped Na0.8Ba0.2Nb0.8Ti0.2O3 [10].
Based on the temperature dependence of dielectric permittivity, several empirical parameters can be defined to thoroughly evaluate the nature of the dielectric response in NBNNOx ceramics. Among these parameters, ΔTm is commonly used to indicate the degree of deviation from the Curie–Weiss law, while the coefficient γ reflects the degree of diffuseness in dielectric transitions. Additionally, the Trelax parameter, which describes the frequency dispersion of Tm, mainly reflects the degree of relaxor behavior [68,69,70].
The deviation of the observed dielectric transitions in the doped NBNNOx ceramics from the Curie–Weiss law, which is typically associated with normal dielectric behavior, is evaluated by plotting the inverse dielectric permittivity against temperature at 1 kHz, as illustrated in Figure 15. Extrapolating the linear region at higher temperatures clearly shows a deviation from the Curie–Weiss law (Equation (8)) for all compounds [71].
where C is the Curie–Weiss constant and T0 is the Curie–Weiss temperature. The degree of deviation ΔTm from the Curie–Weiss law is defined as follows [72]:
where Tdev indicates the temperature at which the permittivity begins to deviate from the Curie–Weiss law, while Tm corresponds to the temperature of the dielectric maximum, as illustrated in Figure 15. The calculated ΔTm values and the fitting parameters T0 and C, derived for each dielectric transition using Equation (8), are shown in Table 3. The observed deviation of dielectric transitions in the doped NBNNOx ceramics from the Curie–Weiss law offers significant insights into the complex dielectric behavior of these materials. The increase in ΔTm with higher levels of Ni and Ba doping, particularly evident in the first transition of the NBNNO0.10 and NBNNO0.15 ceramics, suggests the emergence of diffuse phase transition behavior. This diffuse transition is characterized by a broadening of the dielectric peak and a more gradual change in permittivity with temperature, rather than a sharp, well-defined transition typical of standard dielectric materials. Similar dielectric behavior has been noted in various lead-free compounds, including Ba(ZryTi1−y)O3 [69], (1 − x)BaTiO3–xBi(Zn0.5Ti0.5)O3 [73], and Na1−xBaxNbxTi1−xO3 [4,67].
Figure 15.
Temperature dependence of the inverse dielectric constant for the doped NBNNOx ceramics at 1 kHz: (a) NBNNO0.05; (b) NBNNO0.10; (c) NBNNO0.15. Solid lines represent the experimental data, while dotted lines indicate the extrapolation of the linear fit to the Curie–Weiss law. Tm marks the temperature of the dielectric constant maximum, and Tdev denotes the temperature above which the dielectric constant follows the Curie–Weiss law. The deviation from the Curie–Weiss law is illustrated for the first dielectric transition.
Table 3.
The Curie–Weiss temperature (T0), Curie–Weiss constant (C), temperature of the dielectric permittivity constant maximum (Tm), the temperature above which the dielectric constant follows the Curie–Weiss law (Tdev), and the degree of deviation from the Curie–Weiss law parameter (ΔTm) for the doped NBNNOx ceramics at 1 kHz.
The diffuseness of the dielectric transition can be effectively modeled by the modified Curie–Weiss law introduced by Uchino and Nomura, expressed as follows [74]:
where γ reflects the diffuseness degree indicator (1 ≤ γ ≤ 2) and C′ is the modified Curie–Weiss constant. The value of γ provides insight into the nature of the phase transition: γ = 1 indicates respect for the normal Curie–Weiss law, while γ = 2 signifies a complete diffuse phase transition. According to Equation (10), the plots of ln(1/r′ − 1/r′m) versus ln(T − Tm) at 1 kHz are presented in Figure 16. A clear linear relationship is evident for all studied compositions, suggesting the effectiveness of the modified Curie–Weiss law.
Figure 16.
Plot of ln(1/r′ − 1/r′m) versus ln(T − Tm) for the doped NBNNOx ceramics at 1 kHz: (a) NBNNO0.05; (b) NBNNO0.10; (c) NBNNO0.15. The filled squares represent the experimental data, while the dotted lines indicate the extrapolation of the linear fit to the modified Curie–Weiss law. The slope of the fitting curves reflects the degree of diffuseness, γ.
The slope of the fitting curves determines the γ value. The fitting parameters γ and C′, obtained using Equation (10), are listed in Table 4. The high γ values clearly indicate that the doped NBNNOx ceramics display strong diffuse phase transition behavior, with a near-complete diffuse transition observed specifically in the NBNNO0.05 and NBNNO0.10 ceramics. This pronounced diffuseness implies that the dielectric response becomes increasingly complex and less characteristic of normal dielectric behavior. This suggests that the introduction of Ni2+ and Ba2+ ions induces greater structural disorder, leading to a more gradual transition and a broader temperature range over which the dielectric constant changes.
Table 4.
The dielectric permittivity maximum (r′m), the temperature of the dielectric permittivity maximum (Tm), the diffuseness parameter (γ), and the modified Curie–Weiss constant (C′) for the doped NBNNOx ceramics at 1 kHz.
The diffuse phase behavior can thus be related to the disruption of long-range ordering and lattice distortion induced by the substitution of Ni2+ and Ba2+ ions in the NNO host lattice. The incorporation of these ions creates a complex local environment, introducing strain and disorder due to variations in ionic radii and valence states. Consequently, this results in a broadening of the phase transition, where different regions within the material undergo the transition over a range of temperatures.
The degree of relaxor behavior parameter δTrelax, which characterizes the frequency dispersion of the temperature at the maximum dielectric constant, Tm, is expressed as follows [10]:
δTrelax = Tm (1 MHz) − Tm (1 kHz)
This parameter, derived from the dielectric measurements of NBNNOx ceramics, quantifies the material’s tendency toward relaxor-like behavior. Higher δTrelax values indicate a stronger relaxor characteristic. The δTrelax values listed in Table 5 reveal a distinct evolution in the dielectric behavior of the NBNNOx ceramics. For the NBNN0.05 and NBNNO0.15 compositions, these values suggest a clear transition from normal dielectric behavior to relaxor-like characteristics, indicative of the increasing complexity and disorder within the material’s structure. This effect is particularly evident in the NBNNO0.15 ceramic, where a strong relaxor behavior is observed near ambient temperature, marking a notable shift in the material’s dielectric properties. The enhanced relaxor behavior observed in the NBNNO0.05 and NBNNO0.15 ceramics can be attributed to the significant lattice distortion and chemical disorder resulting from the Ni2+ and Ba2+ ion incorporation into the NNO parent phase. The partial substitution of Na+ by Ba2+ and Nb5+ by Ni2+ results in significant local compositional fluctuations, which disrupt the long-range Coulombic interactions critical for the stabilization of ferroelectric microdomains. This disruption prevents the formation of long-range ordered ferroelectric domains, instead giving rise to nano-polar regions characterized by short-range order [75,76,77]. Within these regions, each nano-domain undergoes a phase transition at a distinct temperature, contributing to the diffuse nature of the phase transition and the pronounced relaxor behavior observed in the NBNNO0.05 and NBNNO0.15 ceramics. In contrast, the NBNNO0.10 ceramic exhibits only a pronounced diffuseness in the dielectric transition, without fully developing the relaxor-like behavior seen in the other compositions. This suggests that while NBNNO0.10 does experience a disruption in long-range ferroelectric order, it does not reach the same level of disorder and local heterogeneity necessary to fully manifest relaxor properties. The differences in dielectric response among these compositions highlight the critical role of doping concentration in tuning the material’s phase transition behavior, offering valuable insights for the design of materials with tailored dielectric properties.
Table 5.
The temperature of the dielectric permittivity maximum (Tm) and the degree of relaxor behavior parameter (δTrelax) for the doped NBNNOx ceramics.
4. Conclusions
The incorporation of Ni and Ba into NaNbO3 antiferroelectric ceramics has profoundly influenced their structural, dielectric, and optical properties, with promising implications for advanced technologies. Doping introduced significant distortions in the crystal lattice and BO6 octahedra, preserving the perovskite structure in [NaNbO3]1−x[BaNi1/2Nb1/2O3−δ]x ceramics and heightening local structural disorder, which in turn impacted the material’s dielectric and optical behaviors. Ni and Ba doping led to lead-free ceramics with strong relaxor behavior near room temperature, particularly at x = 0.15, making them ideal for applications requiring stable dielectric properties. Additionally, the optical band gap energy was reduced from 3.34 eV to 1.08 eV, demonstrating remarkable tunability, which underscores the role of Ni and oxygen vacancies in modulating the material’s electronic structure, making it suitable for photocatalysis and photovoltaic applications. The combination of room-temperature relaxor behavior and significant band gap tunability positions NBNNOx ceramics as excellent candidates for multifunctional applications, such as cellular solar energy, photocatalysis, and energy storage. These structural, dielectric, and optical advancements expand the potential of perovskite materials in high-performance, environmentally friendly devices and mark a major step forward in the development of lead-free materials for energy and electronic technologies.
Author Contributions
Conceptualization, T.C., Z.B., N.A. and S.Z.; methodology, T.C., Z.B., N.A. and S.Z.; formal analysis, T.C. and S.Z.; investigation T.C., Z.B., N.A. and S.Z.; resources, Z.B., N.A. and S.Z.; writing—original draft preparation, T.C.; review, and editing, S.Z. and Z.B.; visualization, T.C., Z.B., N.A. and S.Z.; supervision, S.Z. All authors have read and agreed to the published version of the manuscript.
Funding
Tunisian Ministry of Higher Education.
Institutional Review Board Statement
Not applicable.
Informed Consent Statement
Not applicable.
Data Availability Statement
The original contributions presented in the study are included in the article, further inquiries can be directed to the corresponding authors.
Acknowledgments
Zohra Benzarti gratefully acknowledges her support by Project No. 7225-ILLIANCE. Projeto apoiado pelo PRR-Plano de Recuperaçaõ e Resiliência e pelos Fundos Europeus Next Generation EU, na sequência do AVISO No. 02/C05-i01/2022, Componente 5-Capitalizaçaõ e Inovaçaõ Empresarial-Agendas Mobilizadores para a Inovaçao Empresarial. She also acknowledges her support by national funds through FCT-Fundaçaõ para a Ciência e a Tecnologia under the project UID/EMS/00285/2020, ARISE-LA/P/0112/2020.
Conflicts of Interest
The authors declare no conflicts of interest.
References
- Saito, Y.; Takao, H.; Tani, T.; Nonoyama, T.; Takatori, K.; Homma, T.; Nagaya, T.; Nakamura, M. Lead-free piezoceramics. Nature 2004, 432, 84–87. [Google Scholar] [CrossRef] [PubMed]
- Cross, E. Lead-free at last. Nature 2004, 432, 24–25. [Google Scholar] [CrossRef] [PubMed]
- Shrout, T.R.; Zhang, S.J. Lead-free piezoelectric ceramics: Alternatives for PZT. J. Electroceramics 2007, 19, 113–126. [Google Scholar] [CrossRef]
- Zuo, R.; Qi, H.; Fu, J.; Li, J.; Shi, M.; Xu, Y. Giant electrostrictive effects of NaNbO3-BaTiO3 lead-free relaxor ferroelectrics. Appl. Phys. Lett. 2016, 108, 232904. [Google Scholar] [CrossRef]
- Rödel, J.; Jo, W.; Seifert, K.T.P.; Anton, E.M.; Granzow, T.; Damjanovic, D. Perspective on the Development of Lead-Free Piezoceramics. J. Am. Ceram. Soc. 2009, 92, 1153–1177. [Google Scholar] [CrossRef]
- Jiang, J.; Li, X.; Li, L.; Guo, S.; Zhang, J.; Wang, J.; Zhu, H.; Wang, Y.; Zhang, S.-T. Novel lead-free NaNbO3-based relaxor antiferroelectric ceramics with ultrahigh energy storage density and high efficiency. J. Materiomics 2022, 8, 295–301. [Google Scholar] [CrossRef]
- Qi, H.; Zuo, R.; Xie, A.; Tian, A.; Fu, J.; Zhang, Y.; Zhang, S. Ultrahigh energy-storage density in NaNbO3-based lead-free relaxor antiferroelectric ceramics with nanoscale domains. Adv. Funct. Mater. 2019, 29, 1903877. [Google Scholar] [CrossRef]
- Gu, L.; Zhou, D.; Cao, J.C. Piezoelectric Active Humidity Sensors Based on Lead-Free NaNbO3 Piezoelectric Nanofibers. Sensors 2016, 16, 833. [Google Scholar] [CrossRef] [PubMed]
- Khemakhem, H.; Simon, A.; Von Der Mühll, R.; Ravez, J. Relaxor or classical ferroelectric behaviour in ceramics with composition Ba1−xNaxTi1−xNbxO3. J. Phys. Condens. Matter. 2000, 12, 5951–5959. [Google Scholar] [CrossRef]
- Ben Mrad, M.; Hannachi, R.; Dammak, M.; Abdelmoula, N.; Zghal, S.; Khemakhem, H. Zirconium and lanthanide effects on the structural, dielectric and optical properties of Na0.8Ba0.2Nb0.8Ti0.2O3 ferroelectric ceramic. Mater. Today Commun. 2020, 24, 101223. [Google Scholar] [CrossRef]
- Xie, A.; Zuo, R.; Qiao, Z.; Fu, Z.; Hu, T.; Fei, L. NaNbO3-(Bi0.5Li0.5)TiO3 Lead-Free Relaxor Ferroelectric Capacitors with Superior Energy-Storage Performances via Multiple Synergistic Design. Adv. Energy Mater. 2021, 11, 2101378. [Google Scholar] [CrossRef]
- Shirane, G.; Newnham, R.; Pepinsky, R. Dielectric Properties and Phase Transitions of NaNbO3 and (Na, K)NbO3. Phys. Rev. 1954, 96, 581–588. [Google Scholar] [CrossRef]
- Li, P.; Ouyang, S.; Xi, G.; Kako, T.; Ye, J. The effects of crystal structure and electronic structure on photocatalytic H2 evolution and CO2 reduction over two phases of perovskite-structured NaNbO3. J. Phys. Chem. C 2012, 116, 7621–7628. [Google Scholar] [CrossRef]
- Fresno, F.; Jana, P.; Reñones, P.; Coronado, J.M.; Serrano, D.P.; De La Peña O’Shea, V.A. CO2 Reduction over NaNbO3 and NaTaO3 Perovskite Photocatalysts. Photochem. Photobiol. Sci. 2017, 16, 17–23. [Google Scholar] [CrossRef]
- Li, G. Photocatalytic properties of NaNbO3 and Na0.6Ag0.4NbO3 synthesized by polymerized complex method. Mater. Chem. Phys. 2010, 121, 42–46. [Google Scholar] [CrossRef]
- Sharma, A.; Bhardwaj, U.; Jain, D.; Kushwaha, H.S. NaNbO3 Nanorods: Photopiezocatalysts for Elevated Bacterial Disinfection and Wastewater Treatment. ACS Omega 2022, 7, 7595–7605. [Google Scholar] [CrossRef]
- Liu, Q.; Chai, Y.; Zhang, L.; Ren, J.; Dai, W.-L. Highly efficient Pt/NaNbO3 nanowire photocatalyst: Its morphology effect and application in water purification and H2 production. Appl. Catal. B Environ. 2017, 205, 505–513. [Google Scholar] [CrossRef]
- Baeissa, E.S. Photocatalytic degradation of malachite green dye using Au/NaNbO3 nanoparticles. J. Alloys Compd. 2016, 672, 564–570. [Google Scholar] [CrossRef]
- Zhang, B.; Zhang, D.; Xi, Z.; Wang, P.; Pu, X.; Shao, X.; Yao, S. Synthesis of Ag2O/NaNbO3 p-n junction photocatalysts with improved visible light photocatalytic activities. Sep. Purif. Technol. 2017, 178, 130–137. [Google Scholar] [CrossRef]
- Shi, H.; Chen, G.; Zhang, C.; Zou, Z. Polymeric g-C3N4 coupled with NaNbO3 nanowires toward enhanced photocatalytic reduction of CO2 into renewable fuel. ACS Catal. 2014, 4, 3637–3643. [Google Scholar] [CrossRef]
- Li, G.; Kako, T.; Wang, D.; Zou, Z.; Ye, J. Composition dependence of the photophysical and photocatalytic properties of (AgNbO3)1−x(NaNbO3)x solid solutions. J. Solid State Chem. 2007, 180, 2845–2850. [Google Scholar] [CrossRef]
- Shi, H.; Li, X.; Iwai, H.; Zou, Z.; Ye, J. 2-Propanol photodegradation over nitrogen-doped NaNbO3 powders under visible-light irradiation. J. Phys. Chem. Solids 2009, 70, 931–935. [Google Scholar] [CrossRef]
- Tong, H.; Ouyang, S.; Bi, Y.; Umezawa, N.; Oshikiri, M.; Ye, J. Nano-photocatalytic Materials: Possibilities and Challenges. Adv. Mater. 2012, 24, 229–251. [Google Scholar] [CrossRef]
- Choi, T.; Lee, S.; Choi, Y.J.; Kiryukhin, V.; Cheong, S.W. Switchable ferroelectric diode and photovoltaic effect in BiFeO3. Science 2009, 324, 63–66. [Google Scholar] [CrossRef]
- Brody, P.S. High voltage photovoltaic effect in barium titanate and lead titanate-lead zirconate ceramics. J. Solid State Chem. 1975, 12, 193–200. [Google Scholar] [CrossRef]
- Inoue, Y.; Sato, K.; Sato, K.; Miyama, H. Photoassisted water decomposition by ferroelectric lead zirconate titanate ceramics with anomalous photovoltaic effects. Phys. Chem. 1986, 90, 2809–2810. [Google Scholar] [CrossRef]
- Tiwari, R.P.; Birajdar, B.; Ghosh, R.K. Strain engineering of ferroelectric KNbO3 for bulk photovoltaic applications: An insight from density functional theory calculations. J. Phys. Condens. Matter 2019, 31, 505502. [Google Scholar] [CrossRef]
- Simon, M.; Wevering, S.; Buse, K.; Krätzig, E. The bulk photovoltaic effect of photorefractive LiNbO3: Fe crystals at high light intensities. J. Phys. D Appl. Phys. 1997, 30, 144–149. [Google Scholar] [CrossRef]
- Zenkevich, A.; Matveyev, Y.; Maksimova, K.; Gaynutdinov, R.; Tolstikhina, A.; Fridkin, V. Giant bulk photovoltaic effect in thin ferroelectric BaTiO3 films. Phys. Rev. B 2014, 90, 161409. [Google Scholar] [CrossRef]
- Ji, W.; Yao, K.; Liang, Y.C. Bulk Photovoltaic Effect at Visible Wavelength in Epitaxial Ferroelectric BiFeO3 Thin Films. Adv. Mater. 2010, 22, 1763–1766. [Google Scholar] [CrossRef]
- Haruna, A.; Abdulkadir, I.; Idris, S.O. Photocatalytic activity and doping effects of BiFeO3 nanoparticles in model organic dyes. Heliyon 2020, 6, e03237. [Google Scholar] [CrossRef] [PubMed]
- Tablero, C. An evaluation of BiFeO3 as a photovoltaic material. Sol. Energy Mater. Sol. Cells. 2017, 171, 161–165. [Google Scholar] [CrossRef]
- Yang, F.; Lin, S.; Yang, L.; Liao, J.; Chen, Y.; Wang, C.-Z. First-principles investigation of metal-doped cubic BaTiO3. Mater. Res. Bull. 2017, 96, 4372–4378. [Google Scholar] [CrossRef]
- Wang, J.; Peng, Z.; Wang, J.; Wu, D.; Yang, Z.; Chao, X. Band gap tunning to enhance photovoltaic response in NaNbO3-based bulk ferroelectrics. Scr. Mater. 2022, 221, 114976. [Google Scholar] [CrossRef]
- Bennett, J.W.; Grinberg, I.; Rappe, A.M. New Highly Polar Semiconductor Ferroelectrics through d8 Cation-O Vacancy Substitution into PbTiO3: A Theoretical Study. J. Am. Chem. Soc. 2008, 130, 17409–17412. [Google Scholar] [CrossRef] [PubMed]
- Grinberg, I.; West, D.V.; Torres, M.; Gou, G.; Stein, D.M.; Wu, L.; Chen, G.; Gallo, E.M.; Akbashev, A.R.; Davies, P.K.; et al. Perovskite oxides for visible-light-absorbing ferroelectric and photovoltaic materials. Nature 2013, 503, 509–512. [Google Scholar] [CrossRef]
- Kichanov, S.E.; Kozlenko, D.P.; Belozerova, N.M.; Jabarov, S.H.; Mehdiyeva, R.Z.; Lukin, E.V.; Mammadov, A.I.; Liermann, H.-P.; Morgenroth, W.; Dubrovinsky, L.S.; et al. An intermediate antipolar phase in NaNbO3 under compression. Ferroelectrics 2017, 520, 22–33. [Google Scholar] [CrossRef]
- Rietveld, H. A profile refinement method or nuclear and magnetic structures. J. Appl. Crystallogr. 1969, 2, 65–71. [Google Scholar] [CrossRef]
- Jarupoom, P.; Pengpat, K.; Pisitpipathsin, N.; Eitssayeam, S.; Intatha, U.; Rujijanagul, G.; Tunkasiri, T. Development of electrical properties in lead-free bismuth sodium lanthanum titanate–barium titanate ceramic near the morphotropic phase boundary. Current Appl. Phys. 2008, 8, 253–257. [Google Scholar] [CrossRef]
- Kakimoto, K.-I.; Akao, K.; Guo, Y.; Ohsato, H. Raman Scattering Study of Piezoelectric (Na0.5K0.5)NbO3-LiNbO3 Ceramics. Jpn. J. Appl. Phys. 2005, 44, 7064–7067. [Google Scholar] [CrossRef]
- Shen, Z.X.; Wang, X.B.; Kuok, M.H.; Tang, S.H. Raman Scattering Investigations of the Antiferroelectric–Ferroelectric Phase Transition of NaNbO3. J. Raman Spectrosc. 1998, 29, 379–384. [Google Scholar] [CrossRef]
- Halder, N.C.; Wagner, C.N.J. Separation of particle size and lattice strain in integral breadth measurements. Acta Crystallogr. 1966, 20, 312–313. [Google Scholar] [CrossRef]
- Halder, N.C.; Wagner, C.N.J. Analysis of the broadening of powder pattern peaks using variance, integral breadth, and Fourier coefficients of the line profile. Adv. X-Ray Anal. 1966, 9, 91–102. [Google Scholar]
- Stokes, A.R.; Wilson, A.J.C. The diffraction of X rays by distorted crystal aggregates—I. Proc. Phys. Soc. 1944, 56, 174. [Google Scholar] [CrossRef]
- Scherrer, P. Bestimmung der Größe und der inneren Struktur von Kolloidteilchen mittels Röntgenstrahlen. In Nachrichten von der Gesellschaft der Wissenschaften zu Göttingen, Mathematisch-Physikalische Klasse; Forgotten Books: London, UK, 1918; pp. 96–100. [Google Scholar]
- Ida, T.; Shimazaki, S.; Hibino, H.; Toraya, H. Diffraction peak profiles from spherical crystallites with lognormal size distribution. J. Appl. Crystallogr. 2003, 36, 1107–1115. [Google Scholar] [CrossRef]
- Chou, X.; Zhai, J.; Jiang, H.; Yao, X. Dielectric properties and relaxor behavior of rare-earth (La, Sm, Eu, Dy, Y) substituted barium zirconium titanate ceramics. J. Appl. Phys. 2007, 102, 084106. [Google Scholar] [CrossRef]
- Reddy, S.B.; Rao, K.P.; Rao, M.S.R. Effect of La substitution on the structural and dielectric properties of BaZr0.1Ti0.9O3 ceramics. J. Alloys Compd. 2009, 481, 692–696. [Google Scholar] [CrossRef]
- Chalfouh, C.; Lahmar, A.; Zghal, S.; Hannachi, R.; Abdelmoula, N.; Khemakhem, H. Effects of lanthanide amphoteric incorporation on structural, electrical, and photoluminescence properties of BaTi0.925(Yb0.5Nb0.5)0.075O3 ceramic. J. Alloys Compd. 2017, 711, 205–214. [Google Scholar] [CrossRef]
- Teixeira, G.F.; Silva Junior, E.; Simoes, A.Z.; Longo, E.; Zaghete, M.A. Unveiling the correlation between structural order-disorder character and photoluminescence emissions of NaNbO3. Cryst. Eng. Comm. 2017, 19, 4378–4392. [Google Scholar] [CrossRef]
- Kortum, G. Reflectance Spectroscopy: Principles, Methods, Applications; Springer: Berlin/Heidelberg, Germany, 1969. [Google Scholar]
- Alkallas, F.H.; Elshokrofy, K.M.; Mansour, S.A. Structural and diffuse reflectance characterization of cobalt-doped titanium dioxide nanostructured powder prepared via facile sonochemical hydrolysis technique. Nanomater. Nanotechnol. 2019, 9, 1–7. [Google Scholar] [CrossRef]
- Tian, P.; Chen, X.; Jin, J.; Lu, J.Q.; Liang, X.; Hu, X.-H. Stochastic model for quantifying effect of surface roughness on light reflection by diffuse reflectance standards. Opt. Eng. 2018, 57, 094104. [Google Scholar] [CrossRef]
- Kubelka, P.; Munk, F. Ein Beitrag Zur Optik Der Farbanstriche. Z. Tech. Phys. 1931, 12, 593–601. [Google Scholar]
- Morales, A.E.; Mora, E.S.; Pal, U. Use of diffuse reflectance spectroscopy for optical characterization of un-supported nanostructures. Rev. Mex. Fis. 2007, 53, 18–22. [Google Scholar]
- Smith, R.A. Semiconductors, 2nd ed.; Cambridge University Press: London, UK, 1978; pp. 434–436. [Google Scholar]
- Tang, J.W.; Zou, Z.G.; Ye, J.H. Photophysical and Photocatalytic Properties of AgInW2O8. J. Phys. Chem. B 2003, 107, 14265–14269. [Google Scholar] [CrossRef]
- Zhou, W.; Deng, H.; Yang, P.; Chu, J. Structural phase transition, narrow band gap, and room-temperature ferromagnetism in [KNbO3]1−x[BaNi1/2Nb1/2O3−δ]x ferroelectrics. Appl. Phys. Lett. 2014, 105, 111904. [Google Scholar] [CrossRef]
- Song, B.; Wang, X.; Xin, C.; Zhang, L.; Song, B.; Zhang, Y.; Wang, Y.; Wang, J.; Liu, Z.; Sui, Y.; et al. Multiferroic properties of Ba/Ni co-doped KNbO3 with narrow band-gap. J. Alloys Compd. 2017, 703, 67–72. [Google Scholar] [CrossRef]
- Vlazan, P.; Rus, S.F.; Poienar, M.; Sfirloaga, P. The effect of dopant concentrations on the structural, morphological and optical properties of NaNbO3 semiconductor materials. Mater. Sci. Semicond. Proc. 2019, 102, 104602. [Google Scholar] [CrossRef]
- Parida, S.; Satapathy, A.; Sinha, E.; Bisen, A.; Rout, S.K. Effect of Neodymium on Optical Band Gap and Microwave Dielectric Properties of Barium Zirconate Ceramic. Met. Mat. Trans. A 2015, 46, 1277–1286. [Google Scholar] [CrossRef]
- Saadi, H.; Khaldi, O.; Dahri, A.; Abdelmoula, N.; Hammami, I.; Graça, M.P.F.; Benzarti, Z. Influence of (Co+Al) Co-Doping on Structural, Micro-Structural, Optical and Electrical Properties of Nanostructured Zinc Oxide. Ceram. Int. 2024; in press. [Google Scholar]
- Borah, M.; Mohanta, D. Structural and optoelectronic properties of Eu2+ doped nanoscale barium titanates of pseudo-cubic form. J. Appl. Phys. 2012, 112, 124321. [Google Scholar] [CrossRef]
- Urbach, F. The long-wavelength edge of photographic sensitivity and of the electronic absorption of solids. Phys. Rev. 1953, 92, 1324. [Google Scholar] [CrossRef]
- Parida, S.; Rout, S.K. Effect of zirconia on the structural and optical properties of strontium titanate ceramic. Ferroelectrics 2017, 517, 81–89. [Google Scholar] [CrossRef]
- Mishra, S.K.; Choudhury, N.; Chaplot, S.L.; Krishna, P.S.R.; Mittal, R. Competing antiferroelectric and ferroelectric interactions in NaNbO3: Neutron diffraction and theoretical studies. Phys. Rev. B 2007, 76, 024110. [Google Scholar] [CrossRef]
- Lu, X.; Hou, L.; Jin, L.; Wang, L.; Tian, Y.; Yu, K.; Hu, Q.; Zhang, L.; Wei, X. Structure evolution and exceptionally ultra-low hysteresis unipolar electric field-induced strain in (1−x)NaNbO3-xBaTiO3 lead-free ferroelectrics. Ceram. Int. 2018, 44, 5492–5499. [Google Scholar] [CrossRef]
- Gaied, A.I.; Dahri, A.; Perrin, V.; Seveyrat, L.; Sassi, Z.; Khemakhem, H.; Abdelmoula, N.; Benzarti, Z. Synergistic effects of Zn B-site substitution in lead-free Ba0.95Ca0.05Ti0.92Sn0.08O3 ferroelectric ceramics for enhancing piezoelectric properties in energy harvesting applications. J. Alloys Compd. 2023, 958, 170419. [Google Scholar] [CrossRef]
- Tang, X.G.; Chew, K.-H.; Chan, H.L.W. Diffuse phase transition and dielectric tunability of Ba(ZryTi1-y)O3 relaxor ferroelectric ceramics. Acta Mater. 2004, 52, 5177–5183. [Google Scholar] [CrossRef]
- Yu, Z.; Ang, C.; Guo, R.; Bhalla, A.S. Dielectric properties of Ba(Ti1−xZrx)O3 solid solutions. Mater. Lett. 2007, 61, 326–329. [Google Scholar] [CrossRef]
- Sun, E.; Qi, X.; Yuan, Z.; Sang, S.; Zhang, R.; Yang, B.; Cao, W.; Zhao, L. Relaxation behavior in 0.24Pb(In1/2Nb1/2)O3–0.49Pb(Mg1/3Nb2/3)O3–0.27PbTiO3 ferroelectric single crystal. Ceram. Int. 2016, 42, 4893–4898. [Google Scholar] [CrossRef]
- Bourguiba, F.; Dhahri, A.; Tahri, T.; Dhahri, J.; Abdelmoula, N.; Taibi, K.; Hlil, E.K. Structure Properties and Relaxor Characteristics of the Phases Transformation in BaTi0.5(Fe0.33Mo0.17)O3 Perovskite Ceramic. J. Alloys Compd. 2016, 675, 174–182. [Google Scholar] [CrossRef]
- Ostos, C.; Mestres, L.; Martinez-Sarrion, M.L.; Garcia, J.E.; Albareda, A.; Perez, R. The influence of A-site rare-earth for barium substitution on the chemical structure and ferroelectric properties of BZT thin films. Solid State Sci. 2009, 11, 1016–1022. [Google Scholar] [CrossRef]
- Uchino, K.; Nomura, S. Critical exponents of the dielectric constants in diffused-phase-transition crystals. Ferroelectrics Lett. 1982, 44, 55–61. [Google Scholar] [CrossRef]
- Cross, L.E. Relaxor ferroelectrics. Ferroelectrics 1987, 76, 241–267. [Google Scholar] [CrossRef]
- Cross, L.E. Relaxor ferroelectrics: An overview. Ferroelectrics 1994, 151, 305–320. [Google Scholar] [CrossRef]
- Ravez, J.; Broustera, C.; Simon, A. Lead-free ferroelectric relaxor ceramics in the BaTiO3-BaZrO3-CaTiO3 system. J. Mater. Chem. 1999, 9, 1609–1613. [Google Scholar] [CrossRef]
Disclaimer/Publisher’s Note: The statements, opinions and data contained in all publications are solely those of the individual author(s) and contributor(s) and not of MDPI and/or the editor(s). MDPI and/or the editor(s) disclaim responsibility for any injury to people or property resulting from any ideas, methods, instructions or products referred to in the content. |
© 2024 by the authors. Licensee MDPI, Basel, Switzerland. This article is an open access article distributed under the terms and conditions of the Creative Commons Attribution (CC BY) license (https://creativecommons.org/licenses/by/4.0/).


















