Abstract
The estimation of energy expenditure (EE) is often an integral part of algorithms for wearable electronics. In field practice, procedures based on an indirect estimation of EE from the heart rate (using empirically or statistically based relationships) work correctly only in a narrow range of physical loads, yet they are current considered state of the art. This pilot study aims to experimentally assess novel method using a wide range of input sensors and parameters (heart rate, RR intervals, and 3D motion activity in several places on the body) and neural network (NN) algorithms. Our proposed method consists of training an NN on a specific subject, with a specific set and placement of sensors during the so-called training run, using the golden standard method of indirect calorimetry as a reference. Then, the subject’s EE can be estimated using trained NN. The results of the experiments (carried out on a total of 12 subjects during various physical activities) show a statistically significant improvement in EE estimation with the new prospective method, and it outperforms the state-of-the-art method based on the heart rate and regression model.
1. Introduction
Energy expenditure (EE) estimation is now an important part of wearable electronics and special surveillance systems for the health and safety monitoring of demanding professions such as firefighters, soldiers, operators of complex technical equipment, etc. There are several methods by which an individual can accurately determine his/her energy expenditure. These include direct and indirect calorimetry or the double-labeled water method [1]. These methods hardly apply to field and semi-field conditions and usual daily activities. However, they find their application as reference methods.
One approach to estimating energy expenditure in field conditions’ usual activities is based on regression using actual heart rate. Such an approach utilizes the high linearity of the relationship between oxygen consumption and heart rate under moderate and high loads [2]. EE can be calculated as an indirect calorimetry method based on oxygen consumption and knowledge of its energy equivalent. This method is widely used, but some errors that are not negligible must be considered [3], especially under low loads.
A significant improvement can be achieved by combining heart rate and other sensors, especially motion activity measured by wearable, modern MEMS accelerometers [4]. However, to some extent, this approach presents a problem where the exact mathematical relationships for calculating EE estimates from accelerometer data for different types of physical activity are not known. Unlike methods based solely on the estimation of heart rate, where not only a dependence but also a specific relationship between heart rate and energy expenditure has been demonstrated, the situation for accelerometers is not so simple for several reasons. Unlike heart rate, which measurement is greatly reproducible, using accelerometers brings much more variability. A broad range of accelerometers placed in various body sites may be used, which limits the reproducibility of a method (different devices possess different characteristics, including, e.g., sampling speed, sensitivity, range, number of axes, etc.). Moreover, the output information of used devices may not be compatible. The output of modern devices (accelerometers) is not limited to acceleration but may include the calculated level of motion activities and classification of activities. When combined with (usually integrated) a gyroscope and a magnetometer, such devices can form a complete inertial system that provides information on a specific motion. For example, there are several approaches to aggregate accelerometer data with heart rate data [5,6].
This paper presents a novel method for crafting a personalized energy expenditure estimation model that provides more accurate estimates than state-of-the-art methods. This method utilizes artificial intelligence and neural networks, boosted with an appropriate set of wearable electronic sensors. Based on our proposed method, energy expenditure in various activities may be estimated without prior knowledge of a particular activity type.
2. Materials and Methods
A group of healthy volunteers was instructed to perform a set of low to moderately demanding physical activities from their daily life (walking, light manual work, etc.) for 60–90 min in a “training” run. An EE estimate was observed using the golden standard method of indirect calorimetry. Simultaneously, heart rate and activity at various body sites were recorded.
Subsequently, the neural network in our prospective model was trained using data provided by the golden standard device. In the following stage, the set of activities was repeated in an altered sequence. EE was estimated using both our model and the golden standard method. For convenience, we also included an EE estimate based solely on heart rate, which is simple and limited yet widely used in current wearables.
Finally, the difference in outcome of all methods was assessed and discussed using standard statistical methods. Details concerning all stages of our pilot study are covered below.
2.1. Indirect Calorimetry
Jaeger Oxycon mobile system (Carefusion, Hoechberg, Germany) was used as the golden standard device for indirect calorimetry, i.e., providing an estimate of energy expenditure based on oxygen consumption. The device not only measures oxygen consumption but also carbon dioxide production and calculates an individual’s energy expenditure based on the following equation:
where EE is the energy expenditure [kcal/day]; VO2 is the oxygen consumption [L/day], and VCO2 is the carbon dioxide production [L/day].
The device comprises a half mask, covering the subject’s nose and mouth. A propeller-type gas flow sensor is inserted into the mask to measure breathing volumes and airflows. A sampling tube is also connected to the mask, feeding samples of exhaled and inhaled gasses into an integrated gas analyzer.
The subject also wears a simple jacket/harness attached to the evaluation sensor unit (O2 and CO2 gas analyzer + air flow sensor interface). The setup includes a power and communications unit with a Wi-Fi interface. Live data can be viewed online in real-time on a PC during the measurement. The airflow sensor and the inhaled/exhaled air analyzer must be calibrated before each use (see Figure 1).
Figure 1.
Jaeger Oxycon mobile system: (a) system placement on the subject; (b) system during calibration.
2.2. Wearables Sensor Platform
For our pilot study, we utilized the FlexiGuard/MOSENZ biosensor platform (see Figure 2) [7]. It is currently available as an experimental platform for training firefighters, monitoring their responses to stressful situations, and investigating their progress during training. Heart rate, RR intervals, and multi-point physical activity were used out of several modalities. The core of this system is a chest belt with an ECG sensor which extracts QRS complexes (Hamilton–Tompkins algorithm [8]), computes RR intervals and real-time heart rate, and also monitors ambient environment, including surface temperature of the skin, temperature and humidity under protective clothing, multimodal motion activity and acceleration (in 3D), and GPS position. A wide range of additional external sensors was used as in our case. During this study, in addition to basic parameters, three external additional sensors were used, each measuring 3D motion activity, skin surface temperature, and temperature with relative humidity under clothing.
Figure 2.
FlexiGuard/MOSENZ wearables sensor platform: (a) Chest belt on the subject body; (b) Complete unit including chest belt, sensors, receiver, and visualization unit.
In addition to being stored on an embedded micro SD card, live data were monitored on the PC using an 868 MHz ISM band (Digi Xbee, Hopkins, MN, USA) wireless interface.
External sensors were connected using a 2.4 GHz ANT interface (Dynastream Innovations Inc., Cochrante, AB, Canada).
2.3. Measurement Methodology
Each subject underwent two sets of specified activities, each lasting between 60 and 90 min. The first run was defined as training measurement, i.e., the data obtained were used to train the neural network. The second run was defined as a test one, from which the data were used only to test the model derived from the first measurement. A break of at least 24 h was scheduled between the two sessions so that the exhausted subject would not bias the data, etc. Due to the study organization and volunteers’ availability, this break lasted up to 7 days.
The subjects were not instructed in any way regarding their (physical) condition for the experiment. Consequently, some subjects may have been, for example, performing other physical activity prior to one run and, on the other hand, totally relaxed prior to the second run of the experiment, which was a clear limitation of our approach. Similarly, experiments were deliberately not scheduled for any specific time of day but were performed according to each subject’s capabilities. The aim was not to limit the experimental setup in any way so as not to create artificial conditions so that the neural network would be easier to train; instead, our data show that the neural network can learn from arbitrary data and then apply the model to any similar activity performed by the subject.
Neither the sequence of the activities nor the time for which they were carried out were fixed. Only a general set of activities that the participants should carry out was selected, but it was left to individual discretion, time availability, and other circumstances to decide whether to participate in activities, the duration of activities, and how they carried out the activities. Activities across a full spectrum of intensities were selected, from low through medium to high, as shown, for example, in a study [9]. Activities carried out by each subject included the following (see Figure 3):
Figure 3.
Examples of activities during measurement.
- Resting on the bed;
- Resting on the bed after physically demanding activity;
- Working on a PC (text editor);
- Working on a PC after physically demanding activity;
- Walking with no elevation;
- Walking on stairs;
- Carrying weight (10 kg for men and 5 kg for women) between various locations and rooms (no elevation);
- Household cleaning (vacuum cleaner and mop).
In addition to the activities described above, some subjects performed additional activities according to their abilities:
- Fast walking upstairs, combined with load (10 kg for men and 5 kg for women);
- Driving a car;
- Cleaning windows.
The order of performed tasks was up to each individual. Some activities were even performed only during the verification phase of the experiment, so our model had to estimate the EE during this activity, although it was not conducted during the training period. In other cases, specified activities were performed during both periods but at different intensities. Subjects were instructed to perform each activity entirely at their discretion and not necessarily in the same way or with the same intensity as during the training period.
2.4. Classical Method of Energy Expenditure Estimation from Heart Rate
Calculating energy expenditure from heart rate is performed by applying a series of relationships [10]. First, resting energy expenditure EErest [Watt] is calculated [11] as
and
for men and women, respectively, where m is the mass [kg]; h is the height [cm], and a is the age [years].
Using the energy equivalent of oxygen, resting oxygen consumption VO2rest is then calculated as
The maximum oxygen consumption VO2max is calculated using Equation [12]:
where HRmax is the maximal heart rate [beats/min]; HRrest is the resting heart rate [beats/min], and m is the mass [kg].
Using heart rate and Astrand–Ryhming nomogram [13], we calculate the actual oxygen consumption VO2 base on the heart rate:
where HR is the current heart rate [beats/min].
Finally, the current energy expenditure estimate EE [Watt] is calculated using the energy equivalent of oxygen:
2.5. Novel Method of Energy Expenditure Estimation Using Neural Networks
We used the Tensor Flow and Keras libraries in Python 3.9 for data processing, including training and testing. The data obtained from Oxycon mobile (the golden standard device for energy expenditure estimation) at a frequency of 0.05 Hz, i.e., once every 20 s, were resampled to 5 Hz (the Oxycon mobile EE value averaged over 20 s was used as a reference for 100 corresponding wearable electronics samples) to meet the sampling rate of the rest of the system used to gather biomedical data.
Training data were created using a sliding window on resampled data. We used a set of 17 parameters in our experiment. The parameters used are described in Table 1.
Table 1.
Training data parameters.
The neural network was implemented as a dynamic multilayer perceptron structure (see Figure 4). We adhered to a dynamic structure due to the structure of our data, particularly its high variability. Such design allows for flexible change without modification of the neural network code. Consequently, it is possible to deploy the resulting neural network in different setups, for example, when using different quantities of sensors.
Figure 4.
Used neural network structure input, hidden layers, and output.
In our experiment, a data segment of 100 input values was chosen for the prediction, corresponding to a time window of 20 s. Thus, since 17 input parameters, with a 20-s time window, of the biosensor system were selected, this corresponds to a vector size of 1700 parameters input for each EE prediction.
Based on the testing and iterative process, two types of activation functions were selected in the neural network structure, and the following configuration was shown to be the best. The Leaky RELU activation function is used in the first hidden layer with a negative slope coefficient of 0.3. The RELU activation function is also used in the input, output, and second hidden layers.
Another critical parameter is the number of training epochs. Since the entire process was initially planned to be as autonomous as possible, choosing the number of epochs to train the neural network for a particular subject’s training data was necessary. The number of epochs was finally set to ten epochs. The number of training periods affects both the time the model is trained (which is not a critical parameter in our case) and the model itself. It was found that the accuracy of the results was not satisfactory with a smaller number of training periods, while increasing the number of periods did not significantly improve the accuracy of the results. Furthermore, when a large number of training epochs were used, over learning occurred, and on the contrary, the results of the estimation experiment were inaccurate.
In addition, the Adam algorithm was used as a back-propagation optimizer in the default settings of all parameters. The testing process shows that the changes in the parameters had no significant impact on the speed and quality of the trained networks. The testing metrics used to find the best neural network settings used the average square error.
3. Results
The methodology was tested on 12 subjects (ten males and two females, average age 38.5 ± 11 years, average weight 78.4 ± 19 kg, and average height 179.8 ± 8.4 cm). Our model was trained for each subject based on the data gathered in the first stage of the experiment, and the trained model underwent verification based on data obtained in the second stage of the experiment.
For further data evaluation, biosensor data were averaged over a 20-s window to follow the sampling rate of the golden standard device.
To compare our prospective method to the ‘simplified method’ based on heart rate, the obtained heart rate was also averaged over 20 s, and the EE was computed based on the abovementioned relationships (Equations (2)–(7)). This enabled us to compare EE’s neural network estimates not only with the golden standard (indirect calorimetry) but also with these two estimation methods and assess the prospective method’s performance.
The graph in Figure 5 shows an example of EE progression for a selected subject. The graph contains three curves: progress of EE as measured by the golden standard device (Oxycon Mobile device) (blue), estimated values based solely on heart rate measurement (green), and EE estimated using the prospective neural network model method (red).
Figure 5.
Graph of the energy expenditure of the selected subject. The reference method (blue curve), the estimation using the neural network (red curve), and the estimation using the heart rate only (green curve).
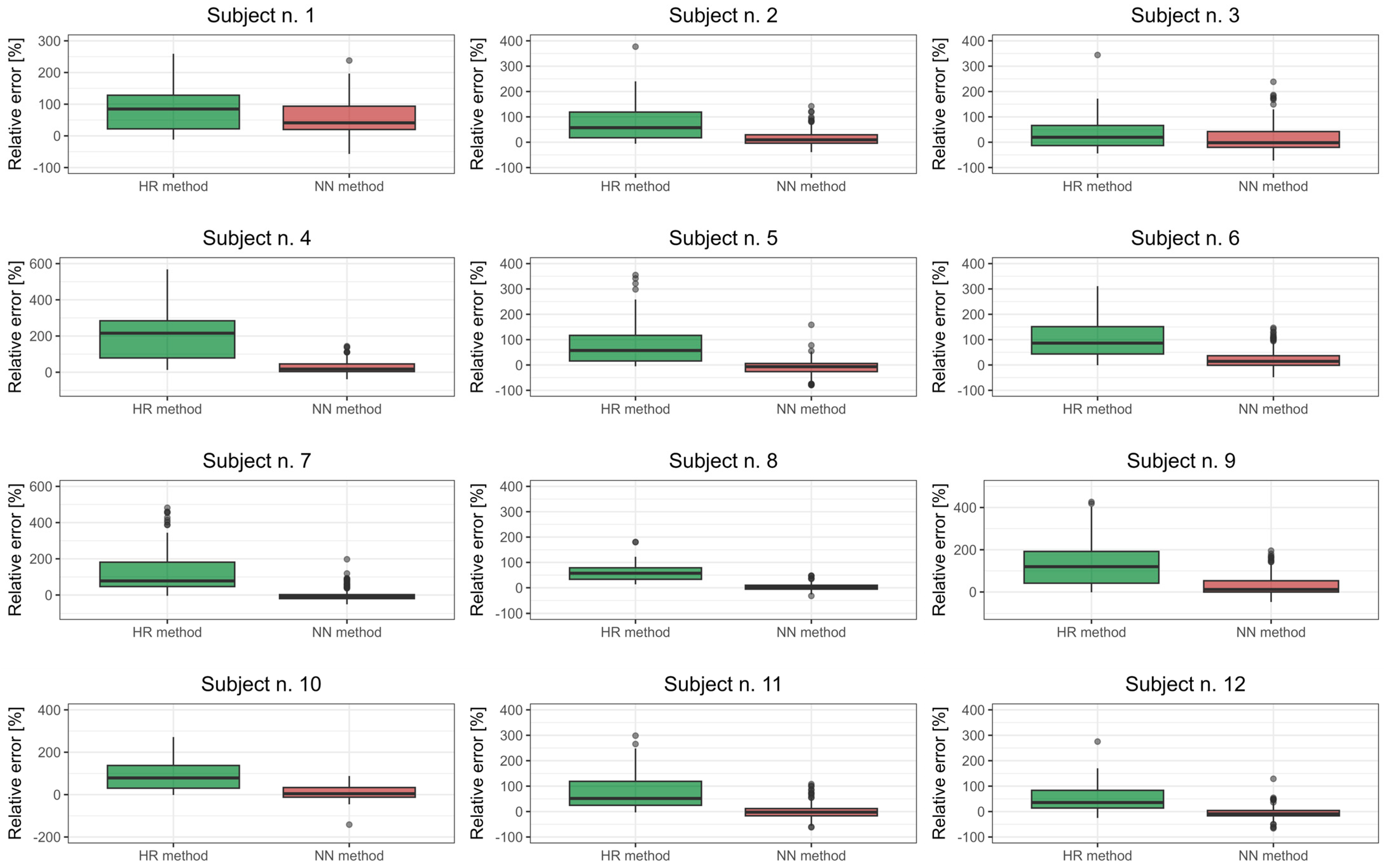
The relative errors of the two methods were calculated for statistical comparison. As the data are divided into 20 s and the individual measurements for each subject have taken 60–90 min, there are about 180–270 error values to be compared with the reference method.
The box plot in Figure 6 covers the assessment of relative errors. The plot shows that the size and variation in relative errors are smaller for our prospective neural network-based method than for the state-of-the-art, simplified, heart rate-based method.
Figure 6.
Comparison of the relative errors of the two methods for all subjects. HR-based method, i.e., state-of-the-art (green) and neural network-based method (red).
For statistical evaluation of the aforementioned results, we conducted both a two-sample unpaired Wilcoxon test and a two-sample unpaired t-test (with the null hypothesis being that the relative error of the prospective method is greater than or equal to the relative error of the state-of-the-art method), with respect to the limited number of participants in our pilot study.
The results are presented in Table 2. All tests show that the relative error of the prospective method is smaller than the relative error of the heart rate method (p = 0.05). This statement can be clearly proven by considering the p values. This only confirms the hypothesis that was already clearly visible from the previous graphs of Figure 5 and Figure 6.
Table 2.
Results of the statistical tests for individual subjects.
Additionally, the relative error variance was tested for the two comparison methods. The aim was to investigate if the prospective method’s relative error variance is smaller than the simplified, state-of-the-art method. The results of this test are shown in Table 2, meaning that the output from our prospective method features lower variance (and thus provides finer results) than the state-of-the-art method (this was true in 11 out of 12 subjects on a 95% level of significance). All tests support the present prospective method.
Another way to evaluate the outcome of the aforementioned methods to the golden standard is to calculate the total work carried out and compare the results to values provided by the golden standard device. Such an indicator is often the most desirable representation of energy expenditure. Although such information is limited when observing the actual course of timed workload, it depicts the total workload over a given period, i.e., energy expenditure during specific work sessions, sporting activities, etc.
Since the individual energy expenditure data (references or estimates based on the above methods) are on average 20 s, we calculate the total work performed as follows:
where W is the work [joules], and EE is the average energy expenditure in 20 s [Watt].
Table 3 shows the values of the work performed for all subjects based on the reference method and also based on both estimation methods. In addition, the absolute and relative errors of the estimation methods are shown in the table, i.e., for the heart rate-based method and our prospective neural network-based method.
Table 3.
Results of statistical tests for individual subjects.
When we consider the error of both methods, it is once again clear that our prospective method, based on artificial intelligence and neural networks, is more accurate and outperforms the state-of-the-art HR method. This is valid for all 12 subjects.
4. Discussion
Several multilayer perceptron structures were tested when implementing neural networks for our particular problem. More complex and profound structures were characterized by overtraining, thus adversely affecting estimates. Smaller structures then lost their ability to make meaningful estimates. Nevertheless, the post-training structure yielded promising results on test data. Using even a simple AI model led to statistically better results than the state-of-the-art method based on heart rate. However, alternative or hybrid AI methods could achieve even better results. These have yet to be tested, but we would like to focus on other types of neural networks used in biomedicine, such as convolution [14] or LSTM [15]. In particular, LSTM networks could support certain aspects of these data types and thus improve estimates. In our work, multilayer perceptron was chosen for faster training and the possibility of deploying the resulting neural network-trained microcontrollers or other low-power portable devices.
Our method outperforms the state-of-the-art methods, which were backed up by statistical evaluation. However, it must be emphasized that our results are limited to some extent due to a rather small subject count.
In 11 out of 12 subjects, the relative error and variance of the new prospective method were demonstrated to be lower than those of the state-of-the-art method, on a 99% level of significance. Only in one subject were the results indistinct; the cause is unknown and possible factors include, for example, the subject’s indisposition during one of the measurements, improper sensor placement, artifacts, a combination of the above, or other unknown causes. However, by considering energy expenditure and relative error maps, we see that even in this case, the results are better than those of the heart rate-based method (the average relative error is closer to zero).
The total energy expenditure (work performed) was also compared during the test measurement. In all 12 measurements, the relative and absolute errors of the new method were lower than those of the old method. The relative error of the old method was found to be 54.8 ± 30.5%. The maximum error recorded by the old method for a subject was 133.9%, the second worst was 79.1%, and the minimum was 6.7%. On the other hand, the new methodology shows an average relative error of 5 ± 12.8%, with a maximum error of 37.7% for a single band, the next worst being 16.2%, and the minimum error within a subject being 0.7%.
In recent years, using methods based on large neural networks has been impossible due to high computational power requirements. The computational requirements depend on the complexity of the neural network, the number of input parameters, and other parameters. Concerning the time complexity, we must observe the time complexity of the training process (not so important, as the network can be trained in advance from the available training data) and, above all, the time complexity of estimating EE with the help of the trained neural network (in this case, it is already an important parameter, especially when we want to estimate EE in real-time).
During our experiments, training and testing (estimation) were carried out on a regular PC with an i5-10510U processor (Intel, Santa Clara, CA, USA). Training and estimation times were about 1:4–1:5. Consequently, training and estimation of about 80 min long recordings (average value) took about 15–20 min. This means that the actual estimate can be conducted in real time. Of course, it is also possible to optimize neural networks to further reduce the demand for computational power or to use computational accelerators that accelerate actual computation using appropriate and specific hardware. Further reductions in computational power requirements will be the subject of subsequent developments.
Training can be performed on a set of measurement data that has not been specified in any specific way. Of course, it is necessary to carry out activities that are close to the energy expenditure estimated during the training measurement. For example, data obtained on a firefighter who completes 1–2 h of training may be used to gather data for training neural networks incorporated in our prospective method. Such a task would require a reference device (i.e., an analyzer including a face mask). However, any further activity (including actual intervention) would require only a set of unobtrusive biosensors in order to estimate his or her energy expenditure. As shown above, such an estimate is of acceptable quality and keeps track of the reference method.
It must be emphasized that the model’s quality will depend on the amount of training data provided; simply put, the more, the better. However, the applicability of the developed methodology has already been demonstrated for a training record of only 60–90 min. Although it is necessary to include as similar activities as possible in training data to those that will be performed in actual estimation, our experiment has confirmed that the method can also estimate EE for other activities not explicitly used in the training process.
Care must be taken to carefully attach the individual sensors, particularly the accelerometers, in the same way as training and verification measurements. Accelerometers sense motion activity in three mutually perpendicular axes, and the neuronal network learns and accepts each signal separately as input. Changes in the location of the accelerometer could affect, for example, the dominant axis in which a particular motion is measured, and the data would then be biased and burdened with more errors. However, placing sensors similarly does not pose any problem given their small number and convenient placements.
5. Conclusions
Our pilot study showed that the proposed method for estimating energy expenditure, featuring a neural network and evaluating data from heart rate and multi-point actigraphy, delivers higher precision than the state-of-the-art method based solely on heart rate [2]. Our proposed method was proven to be appropriate for improving the estimate of energy expenditure. The system is characterized by a rapid retraining of the entire neural network, and its simple structure allows it to be deployed on many types of devices. Therefore, it is possible to quickly create a custom model for each subject and deploy it immediately.
Furthermore, this method is highly transferable to other sensor configurations (e.g., various sensor placements in different professions, measurement ranges, etc.) and is widely applied in the field due to its design. One of the most significant advantages of the newly developed method is the ability to estimate EE with relatively high precision, comparable to indirect calorimetry, without the need to specify or discriminate, in any other way, the activity being performed. This makes our proposed method more convenient for practical use than existing methods.
Author Contributions
Conceptualization, T.V.; methodology, T.V.; software, R.K.; validation, T.V., R.K. and P.S.; formal analysis, T.V.; investigation, T.V.; resources, T.V. and Z.H.; data curation, M.V.; writing—original draft preparation, T.V.; writing—review and editing, M.V.; visualization, T.V.; supervision, K.H. and P.S.; project administration, Z.H.; funding acquisition, P.S., K.H., and Z.H. All authors have read and agreed to the published version of the manuscript.
Funding
This research was funded by the Ministry of Interior of Czech Republic, grant number VJ02010031 (Modular multisensory professional clothing for risk management, health protection and safety of IRS members using artificial intelligence methods).
Institutional Review Board Statement
The study was conducted in accordance with the Declaration of Helsinki and approved by the Institutional Review Board (or Ethics Committee) of the Faculty of Biomedical Engineering, Czech Technical University in Prague (protocol C5/0117 date of approval 15 May 2017).
Informed Consent Statement
Informed consent was obtained from all subjects involved in the study.
Data Availability Statement
The raw data supporting the conclusions of this article will be made available by the authors on request.
Acknowledgments
The authors would like to thank all the subjects who underwent the measurement.
Conflicts of Interest
The funders had no role in the design of the study; in the collection, analyses, or interpretation of data; in the writing of the manuscript; or in the decision to publish the results.
References
- Holeček, M. Regulace Metabolizmu Cukrů, Tuků, Bílkovin a Aminokyselin; Grada: Praha, Czech Republic, 2006; ISBN 80-247-1562-7. [Google Scholar]
- Schrack, J.A.; Zipunnikov, V.; Goldsmith, J.; Bandeen-Roche, K.; Crainiceanu, C.M.; Ferrucci, L. Estimating energy expenditure from heart rate in older adults: A case for calibration. PLoS ONE 2014, 9, e93520. [Google Scholar] [CrossRef] [PubMed]
- Bednář, A. Implementation, Calibration and Experimental Verification of the Algorithms for the Body Energy Expenditure and Stress-Level Estimation in Members of the Integrated Rescue System. Bachelor’s Thesis, Faculty of Biomedical Engineering CTU in Prague, Kladno, Czech Republic, 2013. [Google Scholar]
- Jang, Y.; Jung, M.; Kang, J.; Chan Kim, H. An Wearable Energy Expenditure Analysis System based on the 15-channel Whole-body Segment Acceleration Measurement. Conf. Proc. IEEE Eng. Med. Biol. Soc. 2005, 2005, 3834–3836. [Google Scholar] [CrossRef] [PubMed]
- Thompson, D.; Batterham, A.M.; Bock, S.; Robson, C.; Stokes, K. Assessment of low-to-moderate intensity physical activity thermogenesis in young adults using synchronized heart rate and accelerometry with branched-equation modeling. J. Nutr. 2006, 136, 1037–1042. [Google Scholar] [CrossRef] [PubMed]
- Crouter, S.E.; Churilla, J.R.; Bassett, D.R., Jr. Accuracy of the Actiheart for the assessment of energy expenditure in adults. Eur. J. Clin. Nutr. 2008, 62, 704–711. [Google Scholar] [CrossRef] [PubMed]
- Schlenker, J.; Socha, V.; Smrčka, P.; Hána, K.; Begera, V.; Kutilek, P.; Hon, Z.; Kašpar, J.; Kučera, L.; Mužík, J.; et al. FlexiGuard: Modular biotelemetry system for military applications. In Proceedings of the International Conference on Military Technologies (ICMT) 2015, Brno, Czech Republic, 19–21 May 2015; pp. 1–6. [Google Scholar] [CrossRef]
- Hamilton, P.S.; Tompkins, W.J. Quantitative investigation of QRS detection rules using the MIT/BIH arrhythmia database. IEEE Trans. Biomed. Eng. 1986, BME-33, 1157–1165. [Google Scholar] [CrossRef] [PubMed]
- Mudiyanselage, S.E.; Nguyen, P.H.D.; Rajabi, M.S.; Akhavian, R. Automated Workers’ Ergonomic Risk Assessment in Manual Material Handling Using sEMG Wearable Sensors and Machine Learning. Electronics 2021, 10, 2558. [Google Scholar] [CrossRef]
- Veselý, T.; Janatová, M.; Smrčka, P.; Vítězník, M.; Kliment, R.; Hána, K. Measuring of the Energy Expenditure during Balance Training Using Wearable Electronics. Electronics 2022, 11, 1096. [Google Scholar] [CrossRef]
- Mifflin, M.D.; St Jeor, S.T.; Hill, L.A.; Scott, B.J.; Daugherty, S.A.; Koh, Y.O. A new predictive equation for resting energy expenditure in healthy individuals. Am. J. Clin. Nutr. 1990, 51, 241–247. [Google Scholar] [CrossRef] [PubMed]
- Uth, N.; Sørensen, H.; Overgaard, K.; Pedersen, P.K. Estimation of VO2max from the ratio between HRmax and HRrest–the Heart Rate Ratio Method. Eur. J. Appl. Physiol. 2004, 91, 111–115. [Google Scholar] [CrossRef] [PubMed]
- Astrand, P.O.; Ryhming, I. A nomogram for calculation of aerobic capacity (physical fitness) from pulse rate during sub-maximal work. J. Appl. Physiol. 1954, 7, 218–221. [Google Scholar] [CrossRef] [PubMed]
- Nannavecchia, A.; Girardi, F.; Fina, P.R.; Scalera, M.; Dimauro, G. Personal Heart Health Monitoring Based on 1D Convolutional Neural Network. J. Imaging 2021, 7, 26. [Google Scholar] [CrossRef] [PubMed]
- Song, T.A.; Chowdhury, S.R.; Malekzadeh, M.; Harrison, S.; Hoge, T.B.; Redline, S.; Stone, K.L.; Saxena, R.; Purcell, S.M.; Dutta, J. AI-Driven sleep staging from actigraphy and heart rate. PLoS ONE 2023, 18, e0285703. [Google Scholar] [CrossRef] [PubMed]
Disclaimer/Publisher’s Note: The statements, opinions and data contained in all publications are solely those of the individual author(s) and contributor(s) and not of MDPI and/or the editor(s). MDPI and/or the editor(s) disclaim responsibility for any injury to people or property resulting from any ideas, methods, instructions or products referred to in the content. |
© 2024 by the authors. Licensee MDPI, Basel, Switzerland. This article is an open access article distributed under the terms and conditions of the Creative Commons Attribution (CC BY) license (https://creativecommons.org/licenses/by/4.0/).





